Next Article in Journal
Optimization Design of Body-in-White Stiffness Test Rig Based on the Global Adaptive Algorithm of the Hybrid Element Model
Previous Article in Journal
Continuous Cooling Transformation of Tool Steels X153CrMoV12 and 100MnCrW4: Analysis of Microstructure and Hardness Changes
 
 
Font Type:
Arial Georgia Verdana
Font Size:
Aa Aa Aa
Line Spacing:
Column Width:
Background:
Article

Sensitivity Analysis of 3D Printing Parameters on Mechanical Properties of Fused Deposition Modeling-Printed Polylactic Acid Parts

1
Department of Industrial Engineering, University of Florence, Via Di Santa Marta, 3, 50139 Florence, Italy
2
Bio- Electro- And Mechanical Systems (BEAMS) Department, Université Libre de Bruxelles, Av. F. D. Roosevelt 50, 1050 Brussels, Belgium
*
Author to whom correspondence should be addressed.
Appl. Mech. 2025, 6(1), 17; https://doi.org/10.3390/applmech6010017
Submission received: 10 February 2025 / Revised: 25 February 2025 / Accepted: 26 February 2025 / Published: 28 February 2025

Abstract

This study investigates the influence of various printing parameters on the tensile, compressive, and bending stiffness of fused deposition modeling (FDM)-printed polylactic acid (PLA) parts through a comprehensive full factorial design of experiment. Key factors, including infill percentage, infill pattern, number of outer shells, and part orientation, were systematically varied to quantify their impact on mechanical performance. A total of 36 parameter combinations, selected based on a literature review and experimental feasibility, were tested using standardized specimens: beams for bending, cylinders for compression, and dogbones for tensile testing. Mechanical tests were performed according to ISO 5893:2019, employing a 1 kN load cell to determine stiffness and elastic modulus. The results indicate that the number of outer shells and infill density are the most influential parameters, whereas infill pattern and part orientation have a minor effect, depending on the loading condition. This study provides a novel and robust evaluation of the interactions between key printing parameters, offering new insights into optimizing the mechanical properties of FDM-printed parts. These findings establish a foundation for further optimization and material selection in future additive manufacturing research.

1. Introduction

Overall, various printing parameters significantly influence the mechanical properties of a 3D-printed part. Parameters such as extrusion temperature, infill density, infill pattern, orientation, number of outer shells, layer height, and printing temperature directly impact factors like the strength, flexibility, and durability of the printed object [1,2,3,4]. Optimal infill percentage and pattern selection can enhance structural integrity while adjusting layer height affects surface smoothness and Y-axis resolution. Moreover, printing temperature plays a crucial role in ensuring proper layer adhesion and material bonding, thereby affecting overall mechanical performance. Balancing these parameters is essential for achieving the desired mechanical properties and ensuring the adequate performance of the printed device.
Fused Deposition Modeling (FDM) is a popular additive manufacturing technique renowned for its efficacy in fabricating prototypes and functional parts, whose properties highly rely on printing parameters [5,6]. This paper focuses on identifying which FDM printing parameters significantly impact the mechanical properties of the printed pieces by performing a sensitivity analysis on different printing parameters.
In detail, this study aimed to understand how infill density, infill pattern, orientation, and number of outer shells affect tensile, compressive, and bending properties, using a multi-test approach, providing a basis for a future study on different filaments.
Compared to the existing literature, the innovative aspect of this study lies in its use of a full factorial design, allowing for the comprehensive examination of interactions between the selected parameters, some of which have been less studied than others [7]. Additionally, using quantitative data under three different loading conditions (tensile, compressive, and bending) offers a deeper understanding of how these four parameters influence mechanical properties, providing a more robust and statistically significant analysis.

2. 3D Printing Parameters

After an extensive literature review, it has emerged that many printing parameters significantly influence the mechanical properties of 3D-printed parts. The main ones are discussed below.

2.1. Orientation

Among the parameters that impact the mechanical properties of the printed parts is orientation, defined as the inclination of the part concerning the printing plane. Its impact on tensile and compressive strength properties has been widely assessed [7,8,9,10,11,12,13,14]. The orientation of layers relative to the direction of compression and tension results in complementary effects. When the printing direction aligns parallel to the filament orientation, the material exhibits an increase in tensile strength. Conversely, when the printing direction is perpendicular to the filament orientation, the material demonstrates higher compressive strength [8].

2.2. Infill Percentage

Another parameter that has been widely studied in the literature is infill density, which refers to the density of the internal structure of the printed object, and the consensus among scholars is that higher infill percentages correlate with increased resistance [8,9,10,13,14,15,16,17,18].

2.3. Layer Thickness

Lower values of layer thickness positively influence the mechanical properties of printed parts but have a negative impact on the printing time, which tends to dilate. This is because thinner layers lead to better adhesion between layers, resulting in stronger and more durable parts. However, printing with thinner layers requires more layers to be printed for a given part height, which significantly extends the total printing time [7,9,12,14,19,20,21,22,23,24].

2.4. Infill Pattern

Among the parameters that impact the mechanical strength of the 3D-printed pieces is the infill pattern [5,14,16,18,24,25,26]. Alongside the gyroid pattern, for which Murali et al. observed a higher mechanical strength and high strain rates compared with cubic, octet, quarter cubic, gyroid, and cubic subdivision patterns [8], cubic and 3D honeycomb have also been shown to have superior properties compared with other non-isotropic patterns [17].

2.5. Velocity

Print velocity is another influencing factor [7,14,24] and is commonly maintained at 60 mm/min [9,22], a value optimized by printer manufacturers and seemingly inconsequential to the mechanical properties of printed parts according to the study by Ding et al. [19].

2.6. Number of Outer Shells

The number of outer shells refers to the layers of material deposited around the perimeter of each printed layer and is another influencing parameter [14]. Increasing the number of outer shells enhances the surface quality, strength, and durability of the printed object by providing additional structural support and minimizing the risk of delamination. This parameter is particularly significant for parts requiring high mechanical integrity and resistance to external forces [17,27]. However, excessive outer shells can lead to longer print times and increased material usage, necessitating a balance between structural requirements and production efficiency.

2.7. Temperature

Printing temperature refers to the temperature at which the filament is melted and extruded from the 3D printer’s nozzle during the printing process. It is a critical parameter that significantly influences the quality and properties of the printed object [14,24]. The optimal printing temperature varies depending on the type of filament being used. Printing temperature also affects the mechanical properties, such as tensile strength and impact resistance, as well as the surface finish of the printed part. Deviating from the recommended temperature range can result in issues like poor layer adhesion, warping, or stringing. Additionally, adjusting the printing temperature can help optimize specific characteristics of the printed part. For example, printing at a slightly lower temperature may enhance surface quality, while printing at a higher temperature may improve layer adhesion and strength [17,23].

3. Materials and Methods

3.1. Material Selection

The material chosen for this study is polylactic acid (PLA), a widely used thermoplastic polymer in FDM due to its ease of processing, biodegradability, and good mechanical properties. The selected PLA filament, manufactured by eSUN (Shenzhen, China), has a nominal diameter of 1.75 mm and a density of 1.23 g/cm3. Its melt temperature ranges between 205 °C and 225 °C, which aligns with the nozzle temperature used in this study. PLA exhibits a high elastic modulus and good stiffness but is inherently brittle compared to other thermoplastics like acrylonitrile butadiene styrene (ABS) or polyethylene terephthalate glycol (PETG). Table 1 summarizes the material properties as specified by the manufacturer.

3.2. Methodology

In this study, a full factorial design was employed to systematically analyze the influence of four key 3D printing parameters on the stiffness and elastic modulus of the printed parts. This methodology enabled the exploration of interactions between the factors (infill percentage, infill pattern, print orientation, and the number of outer shells) across three different load conditions: tensile, compression, and bending. Each parameter combination was tested to collect quantitative data and determine how each factor affects the overall mechanical properties. This detailed analysis, accounting for parameter interactions, was made possible by the experimental design, resulting in a more robust understanding of the mechanical behavior of the printed materials.

3.3. Design of Experiment (DOE)

The experiment was conducted with four factors of interest, considering infill percentage, infill pattern, print orientation, and the number of outer shells. This study focuses on geometric factors rather than technological ones such as printing speed and nozzle temperature [28], for two main reasons: (1) geometric factors are independent, allowing for a clearer analysis of their individual impact, and (2) they are not constrained by manufacturer guidelines and can be adjusted freely without compromising print quality. By adhering to the manufacturer’s recommended settings for speed and temperature, we aim to optimize the printing process and ensure reliable results.
Layer height was not considered at this stage, as each manufacturer recommends a specific value to ensure an optimal balance between print quality and production time.
In the DOE study, each factor had two or three levels, and the responses were the stiffness values in response to tensile, compression, and bending tests. The combinations of those parameters led to thirty-six parameter combinations.
Given the widely assessed correlation between infill percentage and mechanical properties, with increased infill leading to enhanced strength, this study goes beyond merely reaffirming this relationship. Instead, it aims to quantify the extent to which infill percentage interacts with other parameters (infill pattern, shell number, and orientation) under different loading conditions (tensile, compression, and bending), using a multi-test approach.
Moreover, while prior research has individually assessed the effect of infill density, a systematic evaluation of its interaction with other key parameters using a full factorial design has not been widely explored.
Three levels were chosen for the infill pattern parameter: gyroid, 3D honeycomb, and cubic. To consider those three patterns was considered consistent, as they maintain geometric isotropy within the inherent anisotropy introduced by the 3D printing process. These three patterns were chosen because, despite the inherent anisotropy introduced by the 3D printing process, they exhibit geometric isotropy (Figure 1).
Regarding the number of outer shells, three levels (1, 2, and 4) were selected to evaluate the effect of mass concentration around the perimeter on mechanical stiffness. The selection of these levels was based on a combination of a literature review and preliminary testing. As already discussed, prior studies suggest that increasing the number of shells enhances mechanical strength by improving load distribution and resistance to delamination. However, an excessive number of shells leads to increased material usage and print time, which can limit practical applications. A preliminary pilot test was conducted to confirm that a shell number beyond 4 resulted in negligible additional gains in stiffness while significantly increasing print time and material consumption. Therefore, the three chosen levels balance structural reinforcement and practical feasibility.
To assess the impact of printing direction (orientation) on mechanical properties, two values, 0° and 75°, were selected. The choice of 0° was straightforward, as it represents the most common printing orientation, aligning the layers with the print bed. The selection of 75°, however, was made because (1) it represents a highly anisotropic configuration, allowing us to analyze how mechanical properties degrade when layers are less favorably aligned with the loading direction, and (2) it avoids the use of support structures. This approach ensured that specimen integrity was preserved while still testing a highly off-axis orientation that challenges the material’s mechanical behavior, thereby ensuring more reliable results.
While other process parameters such as layer height, printing speeds, and temperature could influence mechanical properties, this study prioritized those found to be the most influential according to the literature analyzed in Section 2. A full factorial design was employed to systematically analyze the influence of infill percentage, infill pattern, number of outer shells, and orientation. The four variable printing settings and their respective levels are summarized in Table 2.
The combination of these factors resulted in 36 unique experimental conditions. Each of them was replicated four times to mitigate potential variability between spatial arrangements on the printing plate and to reduce human error during the specimen positioning into the testing machine, leading to a total of 144 printed specimens per test to be performed.
Given the extensively researched influence of layer thickness on the mechanical properties of printed parts, alongside the need to adhere to printing time constraints, it was decided to maintain this parameter at a constant value of 0.15 mm. This choice was based on the literature indicating that this thickness strikes a balance, being sufficiently low to avoid adverse effects on mechanical properties while meeting time-related requirements [9,19,20,21,22,23].
Since each manufacturer reports the optimal temperature range for its material, this parameter was kept fixed at a temperature of 210 °C, within the range recommended by the manufacturer of the PLA used in this study. Similarly, the printing plate temperature remained unaltered, maintained at a constant value of 60 °C. Furthermore, considering the potential application of this study’s results in assessing the mechanical properties of various filament materials with distinct extrusion temperature requirements, introducing temperature as a variable parameter into this study would have been impractical. Following other studies [9,29] on the influence of printing parameters on the mechanical properties of 3D-printed parts, print velocity was set at a constant value of 60 mm/min, per what was found in the literature and previously discussed. The fixed printing parameters are summarized in Table 3.

3.4. Specimen’s Fabrication

Common shapes such as the dogbone for tensile tests, the cylinder for compression tests, and the beam for bending tests have been chosen for the design of the specimens. The 48 mm × 10 mm × 3 mm dogbone is characterized by a narrower central section and two wider ends. This geometry ensures that failure occurs away from the grip areas of the testing machine, where undesirable stresses may concentrate, and it helps maintain a uniform stress state in the central section. The R5 × 25 mm cylinder offers a uniform distribution of compressive stress across the entire cross-section, reducing the risk of lateral instability. The cylindrical shape is indeed stable under compressive load, reducing the risk of lateral bending during the test. The 60 mm × 10 mm × 3 mm beam allows for the observation of stress variation along the specimen’s cross-section, which varies linearly from compression to tension. Additionally, the rectangular bar can be easily supported on two supports and loaded at the center to perform three-point bending tests. Specimens were designed using the computer-aided design (CAD) software Solidworks 2024 SP01 (Dassault Systèmes, Vélizy-Villacoublay, France). Unlike studies strictly following ASTM or ISO guidelines, the specimen geometries in this work were selected based on the prior literature and practical considerations to ensure reliable and repeatable mechanical testing under the given constraints. Geometry and dimensions of tensile, compression, and bending specimens are reported in Figure 2.
The 3D printing of all PLA samples was performed using the FDM Prusa printer i3 MK3 (Prusa Research, Prague, Czech Republic). The machine has a printing volume of 250 mm × 210 mm × 210 mm and is equipped with a 0.4 diameter nozzle that moves in the X- and Z-directions while the build platform moves in the Y-direction. The printing was carried out under controlled environmental conditions, with a room temperature of approximately 22 °C and humidity levels maintained at 50%. These conditions were consistent throughout the entire printing process to minimize any external factors that could influence the results.
After generating the STL files from the CAD models, PrusaSlicer-2.7.4 (Prusa Research, Prague, Czech Republic), Prusa’s slicing software, was employed for preprocessing and generating the requisite G-code and tool paths for 3D printing. Each plate contained specimens corresponding to one combination of infill percentage, infill pattern, and no. of outer shells in both x-axis 0° and 75° orientations (Figure 3a). The spatial arrangement of specimens on the printing plate was rigorously maintained constant for each configuration to avoid introducing potential bias stemming from variations in the arrangement. Additionally, as illustrated in Figure 3b, it is apparent that supports impact only a limited portion of the specimens, as a result of the accurate selection of the specimens’ orientation along the x-axis as previously discussed. Completed specimen fabrication is reported in Figure 3c.

3.5. Test Campaign

Mechanical tests were conducted using the LS1 single-column universal testing machine (Lloyd Materials Testing, Ametek Inc., Berwyn PA, USA) equipped with a 1 kN load cell and force–displacement curves were acquired. The testing machine offers a load measurement accuracy of ±0.5% within the range of 1% to 100% of the load cell’s nominal capacity. This means that the 1 kN load cell maintains an accuracy of ±0.5% for applied forces ranging from 10 N to 1000 N. The specimens were securely positioned into the machine, ensuring proper alignment using hand-marked markers, and thereby enhancing result repeatability. The dogbone specimens for tensile tests were secured in a manner to minimize slippage from the grips and ensure uniform solicitation along the axis (Figure 4a), while for compression tests, cylindric supports were used (Figure 4b). The three-point bending test setup consisted of two supports with a radius of 5 mm and a spacing of 48 mm, along with an arm to which the load was applied, also featuring a radius of 5 mm (Figure 4c). The testing machine was calibrated before each test to ensure accurate measurements by verifying the load cell and displacement systems, as well as the proper alignment of the specimens. Tests were performed at room temperature (22 °C) and 50% humidity to ensure consistent environmental conditions.
The specimens after tensile, compression, and bending tests are shown in Figure 5. As expected, both the tensile and bending tests resulted in specimen failure, confirming their destructive nature. In contrast, the compression test left the cylindrical specimen intact from a macroscopic perspective, despite potential internal damage.
Given that increasing the strain rate can lead to a transition from ductile to brittle failure modes and referencing the work of Luo et al. [30], who developed a model using the Cowper–Symonds plasticity model to delineate the influence of strain rate on the mechanical properties of PLA printed parts, data for different strain rate values can be derived through interpolation. Therefore, the nominal strain rate was set at 1.0 mm/min, allowing for controlled deformation and mitigating potential dynamic effects that could arise at higher strain rates, following the standard ISO 5893:2019 [31] for rubber and plastics test equipment, which specifies testing instrumentation for tensile, flexural, and compression types with a constant rate of traverse. Tensile, compression, and bending tests were conducted using the settings, respectively, reported in ISO 527-1 [32] and ISO 527-2 [33], ISO 604 [34], and ISO 178 [35]. The preload value and the initial system speed were, respectively, set to 1N and 0.5 mm/min. This makes the software start recording the test when the specimen is subject to a force greater than the set value, which is when the specimen is stressed. The parameters inherent to tensile load, nominal strain rate, hold time, and limit value were, respectively, set to 900 N, 1 mm/min, 5.0 s, and 950 N.
For tensile tests, the dogbone-shaped specimens were securely attached to the grips, ensuring alignment with the stress axis was verified. The cylinder-shaped specimens were positioned between the two plates, ensuring alignment with the stress axis was verified, while the beam specimen was placed between the two supports (5 mm radius), ensuring they were placed at a distance of 48 mm, and aligning the loading arm (5 mm radius) centrally. After operating the software and recording the response, since these are semi-destructive or destructive tests, the specimens were disposed of.

4. Results

After each test, data were recorded and stiffness and elastic modulus were calculated, respectively, from the force–displacement and stress–strain curves as the angular coefficient of the linear trend, even for bending stress conditions. Besides tensile and compression tests, it was decided to include the bending test to ensure completeness, recognizing the significant influence of inertial properties on stress distribution and material deformation during flexural loading. It is crucial to highlight that these inertial properties cannot be determined with the same precision through theoretical calculations as in the case of tensile and compressive tests. The incorporation of bending tests enriches the understanding of material behavior under diverse loading conditions, albeit necessitating careful interpretation. The average of the four values obtained from repeating the tests on the specimens was then calculated. Examples are shown in Figure 6.
The significance of the variable factors included in this study was assessed by performing the main effect plot both for stiffness and elastic modulus (E), which displays the mean response values at each level of a design parameter or process variable to compare the relative strength of the effects of different factors (Figure 7 and Figure 8).
The main effect plots obtained for tensile, compressive, and bending stiffness show a similar behavior concerning infill, orientation, and shell number. Notably, an increase in stiffness with higher infill is expected, as it increases the material percentage compared to void space. Regarding orientation, when the piece is printed at a 0° angle to the print bed, layers are arranged to better withstand the load, thereby increasing overall stiffness.
A noteworthy point for discussion is the number of outer shells. Our findings indicate that an increase in this parameter results in greater stiffness, aligning with theoretical expectations. This can be attributed to the fact that a greater number of outer shells contribute to better load distribution and resistance to applied forces.
However, a particularly interesting aspect is the influence of the pattern used during the printing process on the mechanical properties. Our analysis indicates that the optimal pattern varies depending on different loading conditions. This suggests that the choice of pattern can significantly influence the mechanical performance of the final product in response to various types of stresses. This aspect may have significant implications for the optimal design of 3D-printed products based on specific usage requirements and anticipated loading conditions.
Similar conclusions can be drawn regarding the influence of parameters on the elastic modulus.
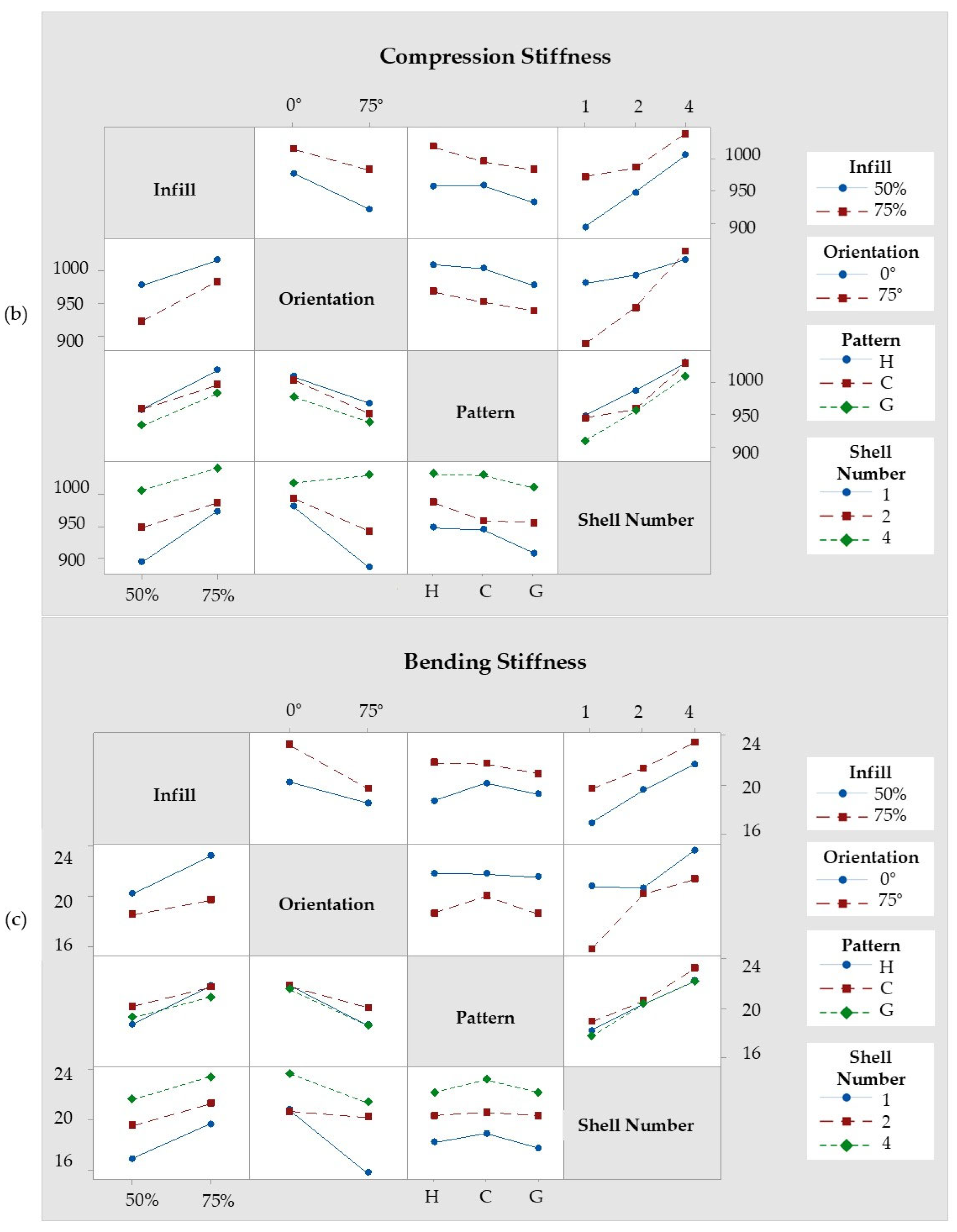
Interaction plots were also performed to visually ascertain if the effect of one variable on another differs depending on the level of the third variable and therefore assess the presence of any two-way interactions. If the lines on the plot were parallel, it indicated no interaction between the factors as the effect of one factor remained constant across all levels of the other factor. Figure 9 and Figure 10 report the results obtained for tensile, compression, and bending stiffness and E.
By analyzing the pattern of the lines representing different levels of one factor to another, interactions can be identified based on their alignment. If the lines are parallel, it indicates no significant interaction, as the effect of one factor remains consistent regardless of the other. This is observed, for example, in the case of patterns depending on orientation in tensile and compression stiffness (Figure 9a,b), as well as for patterns depending on shell number or infill depending on shell number in bending stiffness (Figure 9c).
When the lines are not parallel, an interaction is present: if they gradually converge or diverge, it suggests that the effect of one factor changes depending on the level of the other. This occurs in the case of orientation depending on the infill in tensile, compression, and bending stiffness.
A strong interaction is evident when the lines cross, as this implies that the factors have opposite effects at different levels, significantly influencing the behavior of the dependent variable. This is the case for pattern and orientation depending on shell number in tensile stiffness (Figure 9a).
The interpretation of the main effect plot for E naturally follows the same principles as those of stiffness. Consequently, the same types of conclusions can be drawn, allowing for a consistent analysis of factor influences across both response variables.
By reading the main effect plots and the main interaction plots regarding the stiffness values, it can be observed that the shell number is the most important parameter out of the ones that have been considered, particularly affecting tensile stiffness values. Specifically, while the values obtained for a shell number of 1 and 2 can be considered close, a significant increase in tensile stiffness properties is observed for a shell number of 4. Tensile stiffness has an increase of 4.5% when selecting 2 shells over 1, and an additional increase of 15.2% when switching to 4. Compression stiffness increases by 4.3% when switching from 1 to 2 outer shells and by 5.1% when switching from 2 to 4. The increase in bending stiffness is almost linear, respectively by 10% and 9.7%.
The second most influential parameter is the infill percentage, where an increase from 50% to 75% tends to increase the stiffness values in all tested scenarios. Even the orientation of the part on the print bed is an influential parameter: mechanical characteristics consistently show significantly better performance for parts oriented at 0° on the printing plane compared to those oriented at 75° on the plane.
Finally, the pattern, although less impactful than other parameters, shows varying effects depending on the type of stress. For tensile and compressive stiffness, the trends are similar, with the 3D honeycomb pattern performing better than the gyroid. However, for bending stiffness, the variation was initially estimated using the main effect plots, which may not fully capture the actual scenario. To ensure accuracy, we recalculated the range of variation based on the full dataset, considering the interaction effects. This revised analysis indicates that the infill pattern has a more noticeable influence than initially concluded. The trend appears statistically significant, albeit with a smaller range of variation compared to shell number and infill percentage. Thus, while infill pattern is not the dominant factor, it cannot be considered negligible, particularly for specific loading conditions. The same conclusions can be drawn by observing the interaction plots regarding the elastic modulus.
Moreover, a statistical analysis was performed using Welch’s unpaired two-tail (α = 0.05) to evaluate the influence of the parameters studied (orientation, infill percentage, infill pattern, and shell number) on the mechanical properties. A Welch’s unpaired t-test was used because the groups being compared are independent, while a two-tailed test was chosen to detect any significant difference between groups, regardless of direction, rather than assuming a specific increase or decrease in mechanical properties.
The resulting p-values, which confirm the results drawn from the main effect plots and the main interaction plots, are presented in Table 4.
Shell number exhibited a strong influence on multiple mechanical properties, particularly tensile stiffness and tensile E (p < 0.0001), as well as bending and compressive stiffness, and compressive and bending E (p < 0.05). These results indicate that increasing the shell number enhances the structural integrity, likely due to the greater contribution of the outer layers to the load-bearing capacity of the specimen.
Infill percentage also played a significant role, affecting all mechanical properties except compression stiffness. The stiffness and modulus values increased with higher infill percentages, confirming that the material distribution inside the structure is crucial in determining mechanical performance. The strong impact on bending stiffness (p = 0.00001) and compressive E (p < 0.0001) suggests that a denser infill leads to improved resistance to both flexural and compressive loads.
Orientation significantly influenced bending stiffness (p < 0.0001), and tensile, compressive, and bending E, indicating that the fiber alignment within the layers affects the mechanical behavior, particularly in bending and compression. The high significance in bending properties confirms that layer alignment plays a major role in flexural performance, with certain orientations optimizing the resistance to bending loads.
Pattern, on the other hand, had a limited effect on the mechanical properties, with a significant influence observed only on compressive E (p = 0.0165). This suggests that for the tested material and conditions, the internal infill geometry does not drastically alter the mechanical response. Unlike shell number and infill percentage, which directly impact material density and structural integrity, the choice of pattern appears to have a secondary role.

5. Discussion

In this study, the authors explored the influence of various printing parameters on the mechanical properties of 3D-printed PLA parts using Fused Deposition Modeling (FDM). The analysis focused on parameters such as infill percentage, infill pattern, print orientation, number of outer shells, and infill percentage, which are known to affect mechanical, thermal, and surface properties.
Analyzing the mechanical test data, it is evident that the parameters influence the material’s stiffness and elastic modulus differently. In accordance with the findings of Le et al. [17], the results indicate that the number of outer shells is the most influential parameter on mechanical strength, particularly for bending and tensile stiffness. Analyzing the values in the main effect plots, increasing the number of shells from 1 to 4 resulted in an average increase of 23% in tensile stiffness, 9% in compressive stiffness, and 27% in bending stiffness. This can be attributed to the additional material reinforcement along the perimeter of the specimen, which enhances resistance to deformation and distributes applied loads more efficiently.
The infill percentage also shows a significant effect in determining mechanical strength, confirming what has been reported in other studies [8,9,15,17,18]. Increasing the infill from 50% to 75% led to an 8.7% increase in tensile stiffness, a 5.2% increase in compression stiffness, and an 11% increase in bending stiffness. This trend is expected, as higher infill density reduces internal voids and enhances the material’s ability to withstand mechanical loads.
The effect of print orientation was also notable, especially in tensile and bending tests. When specimens were printed at 0° relative to the build plate, they exhibited significantly better mechanical performance compared to those printed at 75°, confirming previous findings [8,17]. This parameter may have different effects depending on the type of stress. For tensile strength, the overall superiority of 0° orientation is due to the alignment of filament deposition with the applied load direction, which minimizes stress concentrations at layer boundaries and improves interlayer adhesion. Orientation had a smaller but still measurable effect on compressive strength, where the layer-by-layer structure played a lesser role in resisting axial loads.
The influence of the infill pattern, while unexpectedly less pronounced compared to other factors, is not negligible. The discrepancy between the results and theoretical expectations can be attributed to several factors. First, the contribution of the perimeter walls may have been predominant compared to that of the internal infill, as the highest stresses are concentrated on the outer layers, making the role of the internal core less influential. Additionally, the stress transmission between the infill and the outer walls may have reduced the impact of internal geometry on overall stiffness.
The results show that the 3D honeycomb pattern provided higher stiffness values in tensile and compressive tests compared to the gyroid pattern, expanding Murali et al.’s findings [8]. However, for bending tests, the effect was less consistent. While initial analyses based on main effect plots suggested that the pattern had a minimal impact, further evaluation considering interaction effects revealed that certain patterns can provide structural advantages under specific loading conditions. Therefore, the choice of infill pattern should be carefully considered depending on the intended application and expected loading conditions.
Key findings across tensile, compressive, and bending tests are summarized in Table 5.
Furthermore, our study identified optimal printing parameters for achieving higher values of mechanical properties, highlighting how balancing these parameters is crucial for ensuring the functionality and structural integrity of 3D-printed parts. These findings highlight the need for future research to explore the combined effects of multiple parameters using higher-resolution experimental designs and rigorous statistical validation methods, such as analysis of variance (ANOVA). This would enable a more precise assessment of each factor’s significance and impact on the outcome.
Overall, our findings contribute to a better understanding of how printing parameters affect mechanical properties and provide valuable insights for optimizing the design and fabrication of 3D-printed components for various applications.
One of the notable limitations of this study is the relatively small selection of printing variables considered, along with the restricted number of levels for each of the four parameters investigated, which may limit the comprehensiveness of the findings and their applicability to a broader range of printing conditions. Additionally, the reduced sample size may limit the statistical power of the findings, potentially affecting the robustness of the conclusions drawn. To broaden the scope of the investigation, future studies could delve into a wider set of levels for each parameter and incorporate additional variables that were neglected in this study, such as layer height, extrusion temperature, and printing speed. It would be beneficial to also consider expanding the sample size to enhance the reliability and statistical significance of the results obtained.
Another constraint lies in the analysis of factors exclusively for PLA. Future investigations should aim to determine whether the findings of this study hold across filaments with diverse compositions. Such studies are imperative for comprehensively understanding the broader applicability of the observed trends and insights gleaned from this research.
Future developments of this study should include evaluating the extensibility of the results to other geometries, such as lattice structures or thin-walled components where parameter interactions may differ. Although the authors recognize that studying the mechanical characteristics of objects made by FDM is particularly complex, this study aims to lay the groundwork for a detailed analysis of how the findings can be applied to various geometric configurations beyond the initial scope of the research. Additionally, this exploration may involve adapting the methodologies to suit new geometrical contexts, thereby enhancing the applicability and relevance of the findings across a broader range of scenarios.
Finally, future research should explore additional aspects such as failure modes, interlayer adhesion, and surface roughness, as discussed in recent studies [36,37,38,39], to further understand the microscopic behavior of 3D-printed materials and enhance the reliability of mechanical performance predictions.

6. Conclusions

In conclusion, this study provides valuable insights into the influence of various printing parameters on the mechanical properties of FDM-printed PLA parts. The results demonstrate that the number of outer shells and the infill percentage are the most influential parameters, significantly affecting tensile, compressive, and bending stiffness. Increasing the number of shells from 1 to 4 led to a substantial enhancement in stiffness across all loading conditions, while raising the infill percentage from 50% to 75% resulted in measurable improvements in mechanical performance.
Print orientation also plays a crucial role, with specimens printed at 0° exhibiting superior mechanical properties compared to those printed at 75°, highlighting the importance of layer alignment in load-bearing applications. Although initially considered less impactful, the infill pattern was found to have a non-negligible effect, particularly in tensile and compressive strength, where the 3D honeycomb pattern outperformed the gyroid.
A key strength of this study is its integrated analysis of multiple mechanical tests, which distinguishes it from previous works that primarily analyze individual factors in isolation. By employing a full factorial design of experiments, we systematically assessed the combined effects of infill percentage, infill pattern, number of outer shells, and orientation on mechanical properties. Furthermore, the rigorous analysis, including main effect and interaction plots, allowed for more precise quantification of these relationships.
The innovative aspect of this study lies in its simultaneous evaluation of tensile, compressive, and bending properties, providing a more holistic understanding of parameter interactions.
This novel approach provides a deeper understanding of how specific parameter combinations influence stiffness and elastic modulus, enhancing the reliability of our findings.
The findings of this study have significant practical implications for optimizing 3D printing parameters in various applications. By understanding how factors such as the number of outer shells, infill percentage, print orientation, and infill pattern affect mechanical properties, manufacturers can tailor these parameters to meet specific performance requirements for different use cases. For example, in structural applications where high bending or tensile strength is required, increasing the number of outer shells and adjusting the infill percentage can improve stiffness and strength. Conversely, for applications where weight reduction is a priority, optimizing the infill pattern and percentage can help balance strength and material usage. Additionally, adjusting print orientation is crucial in load-bearing parts, as printing at specific angles can enhance the overall mechanical performance. By considering these findings, engineers can make informed decisions when selecting print settings, ultimately improving the functionality, reliability, and cost-efficiency of 3D-printed components in diverse industries.
While this study provides a detailed quantitative analysis, it is limited by the selection of parameters and materials used. Future research should explore a broader range of process variables, such as layer height, extrusion temperature, and printing speed, and investigate the applicability of these findings to different filament types and geometries. Additionally, further statistical validation, such as ANOVA analysis, could enhance the robustness of the conclusions drawn.
Overall, this research advances the understanding of how 3D printing parameters interact to influence mechanical performance, offering a foundation for optimizing FDM-printed components for many applications. These insights will guide subsequent research stages and facilitate the precise adjustment of parameter selection to proceed with the characterization of various filaments to determine the best combination of material and parameters according to specific needs.

Author Contributions

Conceptualization, M.M., B.I. and Y.V.; methodology, M.M.; validation, M.M. and L.P.; formal analysis, M.M., L.P., B.I. and Y.V.; investigation, M.M.; resources, M.M., M.S. and B.I.; data curation, M.M.; writing—original draft preparation, M.M.; writing—review and editing, L.P., B.I. and Y.V.; visualization, M.M.; supervision, L.P., B.I. and Y.V.; project administration, B.I. and Y.V. All authors have read and agreed to the published version of the manuscript.

Funding

This research received no external funding.

Institutional Review Board Statement

Not applicable.

Informed Consent Statement

Not applicable.

Data Availability Statement

The data presented in this study are available on request from the corresponding author due to the large volume of data, which requires controlled access for proper interpretation.

Conflicts of Interest

The authors declare no conflicts of interest.

References

  1. Bouzaglou, O.; Golan, O.; Lachman, N. Process Design and Parameters Interaction in Material Extrusion 3D Printing: A Review. Polymers 2023, 15, 2280. [Google Scholar] [CrossRef]
  2. Ćwikła, G.; Grabowik, C.; Kalinowski, K.; Paprocka, I.; Ociepka, P. The influence of printing parameters on selected mechanical properties of FDM/FFF 3D-printed parts. In IOP Conference Series: Materials Science and Engineering, Proceedings of the ModTech International Conference—Modern Technologies in Industrial Engineering V, Sibiu, Romania, 14–17 June 2017; Institute of Physics Publishing: Bristol, UK, 2017. [Google Scholar] [CrossRef]
  3. Gao, G.; Xu, F.; Xu, J.; Tang, G.; Liu, Z. A Survey of the Influence of Process Parameters on Mechanical Properties of Fused Deposition Modeling Parts. Micromachines 2022, 13, 553. [Google Scholar] [CrossRef] [PubMed]
  4. Kumar, S.; Singh, R.; Singh, T.; Batish, A. 3D printed tensile and flexural prototypes of thermoplastic matrix reinforced with multi-materials: A statistical analysis. Mater. Today Proc. 2021, 44, 79–85. [Google Scholar] [CrossRef]
  5. Chadha, A.; Ulh Haq, M.I.; Raina, A.; Singh, R.R.; Penumarti, N.B.; Bishnoi, M.S. Effect of fused deposition modelling process parameters on mechanical properties of 3D printed parts. World J. Eng. 2019, 16, 550–559. [Google Scholar] [CrossRef]
  6. Mangla, S.K.; Kazancoglu, Y.; Sezer, M.D.; Top, N.; Sahin, I. Optimizing fused deposition modelling parameters based on the design for additive manufacturing to enhance product sustainability. Comput. Ind. 2023, 145, 103833. [Google Scholar] [CrossRef]
  7. Dey, A.; Yodo, N. A systematic survey of FDM process parameter optimization and their influence on part characteristics. J. Manuf. Mater. Process. 2019, 3, 64. [Google Scholar] [CrossRef]
  8. Murali, A.; Vakkattil, M.A.; Parameswaran, R. Investigating the Effect of Processing Parameters on Mechanical Behavior of 3D Fused Deposition Modeling Printed Polylactic Acid. J. Mater. Eng. Perform. 2023, 32, 1089–1102. [Google Scholar] [CrossRef]
  9. Hasan, A.; Fahad, M.; Khan, M.A. Effect of print parameters on the tensile strength and built time of FDM-printed PLA parts. Int. J. Adv. Manuf. Technol. 2024, 132, 3047–3065. [Google Scholar] [CrossRef]
  10. Ranganathan, S.; Kumar, S.K.; Gopal, S.; Pradeep, C. The Effect of Print Orientation and Infill Density for 3D Printing on Mechanical and Tribological Properties; SAE Technical Papers; SAE International: Warrendale, PA, USA, 2020. [Google Scholar] [CrossRef]
  11. Vălean, C.; Marșavina, L.; Mărghitaș, M.; Linul, E.; Razavi, J.; Berto, F. Effect of manufacturing parameters on tensile properties of FDM printed specimens. In Procedia Structural Integrity; Elsevier B.V.: Amsterdam, The Netherlands, 2020; pp. 313–320. [Google Scholar] [CrossRef]
  12. Hanon, M.M.; Dobos, J.; Zsidai, L. The influence of 3D printing process parameters on the mechanical performance of PLA polymer and its correlation with hardness. Procedia Manuf. 2021, 54, 244–249. [Google Scholar] [CrossRef]
  13. Hanon, M.M.; Marczis, R.; Zsidai, L. Influence of the 3D printing process settings on tensile strength of PLA and HT-PLA. Period Polytech. Mech. Eng. 2020, 65, 38–46. [Google Scholar] [CrossRef]
  14. Cojocaru, V.; Frunzaverde, D.; Miclosina, C.-O.; Marginean, G. The Influence of the Process Parameters on the Mechanical Properties of PLA Specimens Produced by Fused Filament Fabrication—A Review. Polymers 2022, 14, 886. [Google Scholar] [CrossRef] [PubMed]
  15. Estefani, A.; Távara, L. Numerical multiscale analysis of 3D printed short fiber composites parts: Filament anisotropy and toolpath effects. Eng. Rep. 2023, 6, 12799. [Google Scholar] [CrossRef]
  16. Żur, A.; Żur, P.; Michalski, P.; Baier, A. Preliminary Study on Mechanical Aspects of 3D-Printed PLA-TPU Composites. Materials 2022, 15, 2364. [Google Scholar] [CrossRef] [PubMed]
  17. Le, L.; Rabsatt, M.A.; Eisazadeh, H.; Torabizadeh, M. Reducing print time while minimizing loss in mechanical properties in consumer FDM parts. Int. J. Light. Mater. Manuf. 2022, 5, 197–212. [Google Scholar] [CrossRef]
  18. Fernandez-Vicente, M.; Calle, W.; Ferrandiz, S.; Conejero, A. Effect of Infill Parameters on Tensile Mechanical Behavior in Desktop 3D Printing. 3D Print. Addit. Manuf. 2016, 3, 183–192. [Google Scholar] [CrossRef]
  19. Ding, Q.; Li, X.; Zhang, D.; Zhao, G.; Sun, Z. Anisotropy of poly(lactic acid)/carbon fiber composites prepared by fused deposition modeling. J. Appl. Polym. Sci. 2020, 137, 48786. [Google Scholar] [CrossRef]
  20. Hasan, M.R.; Davies, I.J.; Pramanik, A.; John, M.; Biswas, W.K. Impact of process parameters on improving the performance of 3D printed recycled polylactic acid (rPLA) components. Int. J. Adv. Manuf. Technol. 2024, 131, 3751–3779. [Google Scholar] [CrossRef]
  21. Khosravani, M.R.; Sadeghian, H.; Ayatollahi, M.R.; Reinicke, T. Optimization of fracture toughness in 3D-printed parts: Experiments and numerical simulations. Compos. Struct. 2024, 329, 117766. [Google Scholar] [CrossRef]
  22. Hamed, M.A.; Abbas, T.F. The Impact of FDM Process Parameters on the Compression Strength of 3D Printed PLA Filaments for Dental Applications. Adv. Sci. Technol. Res. J. 2023, 17, 121–129. [Google Scholar] [CrossRef]
  23. Syrlybayev, D.; Perveen, A.; Talamona, D. Fused deposition modelling: Effect of extrusion temperature on the accuracy of print. Mater. Today Proc. 2021, 44, 832–837. [Google Scholar] [CrossRef]
  24. Sandanamsamy, L.; Harun, W.S.W.; Ishak, I.; Romlay, F.R.M.; Kadirgama, K.; Ramasamy, D.; Idris, S.R.A.; Tsumori, F. A comprehensive review on fused deposition modelling of polylactic acid. Prog. Addit. Manuf. 2023, 8, 775–799. [Google Scholar] [CrossRef] [PubMed]
  25. Cho, E.E.; Hein, H.H.; Lynn, Z.; Hla, S.J.; Tran, T. Investigation on Influence of Infill Pattern and Layer Thickness on Mechanical Strength of PLA Material in 3D Printing Technology. J. Eng. Sci. Res. 2019, 3, 27–37. [Google Scholar] [CrossRef]
  26. Akhoundi, B.; Behravesh, A.H. Effect of Filling Pattern on the Tensile and Flexural Mechanical Properties of FDM 3D Printed Products. Exp. Mech. 2019, 59, 883–897. [Google Scholar] [CrossRef]
  27. Saad, M.S.; Nor, A.M.; Zakaria, M.Z.; Baharudin, M.E.; Yusoff, W.S. Modelling and evolutionary computation optimization on FDM process for flexural strength using integrated approach RSM and PSO. Prog. Addit. Manuf. 2021, 6, 143–154. [Google Scholar] [CrossRef]
  28. Gonabadi, H.; Hosseini, S.F.; Chen, Y.; Bull, S. Size effects of voids on the mechanical properties of 3D printed parts. Int. J. Adv. Manuf. Technol. 2024, 132, 5439–5456. [Google Scholar] [CrossRef]
  29. Tafaoli-Masoule, M.; Shakeri, M.; Zahedi, S.A.; Vaezi, M. Experimental investigation of process parameters in polyether ether ketone 3D printing. Proc. Inst. Mech. Eng. Part E J. Process. Mech. Eng. 2024, 238, 267–279. [Google Scholar] [CrossRef]
  30. Luo, J.; Luo, Q.; Zhang, G.; Li, Q.; Sun, G. On strain rate and temperature dependent mechanical properties and constitutive models for additively manufactured polylactic acid (PLA) materials. Thin-Walled Struct. 2022, 179, 109624. [Google Scholar] [CrossRef]
  31. ISO 5893:2019; Rubber and Plastics Test Equipment—Tensile, Flexural and Compression Types (Constant Rate of Traverse)—Specification. International Organization for Standardization: Geneva, Switzerland, 2019.
  32. ISO 527-1:2019; Plastics—Determination of Tensile Properties—Part 1: General Principles. International Organization for Standardization: Geneva, Switzerland, 2019.
  33. ISO 527-2:2012; Plastics—Determination of Tensile Properties—Part 2: Test Conditions for Moulding and Extrusion Plastics. International Organization for Standardization: Geneva, Switzerland, 2012.
  34. ISO 604:2002; Plastics—Determination of Compressive Properties. International Organization for Standardization: Geneva, Switzerland, 2002.
  35. ISO 178:2019; Plastics—Determination of Flexural Properties. International Organization for Standardization: Geneva, Switzerland, 2019.
  36. Chen, K.; Zhu, Z.; Yang, Z.; Xia, Y.; Sun, Y.; Liu, T.; Cheng, Q.; Yao, C.; Jiang, H. Investigating inter/intralayer interface-triggered toughening mechanisms of three-dimensional printed polylactic acid using double-notch four-point-bending method. Eng. Fract. Mech. 2023, 284, 109277. [Google Scholar] [CrossRef]
  37. Khudiakova, A.; Arbeiter, F.; Spoerk, M.; Wolfahrt, M.; Godec, D.; Pinter, G. Inter-layer bonding characterisation between materials with different degrees of stiffness processed by fused filament fabrication. Addit. Manuf. 2019, 28, 184–193. [Google Scholar] [CrossRef]
  38. Aliheidari, N.; Christ, J.; Tripuraneni, R.; Nadimpalli, S.; Ameli, A. Interlayer adhesion and fracture resistance of polymers printed through melt extrusion additive manufacturing process. Mater. Des. 2018, 156, 351–361. [Google Scholar] [CrossRef]
  39. Lambiase, F.; Stamopoulos, A.G.; Pace, F.; Paoletti, A. Influence of the deposition pattern on the interlayer fracture toughness of FDM components. Int. J. Adv. Manuf. Technol. 2023, 128, 4269–4281. [Google Scholar] [CrossRef]
Figure 1. Different infill patterns included in this study: (a) gyroid, (b) 3D honeycomb, and (c) cubic. Source: www.prusa3d.com (accessed on 27 February 2025).
Figure 1. Different infill patterns included in this study: (a) gyroid, (b) 3D honeycomb, and (c) cubic. Source: www.prusa3d.com (accessed on 27 February 2025).
Applmech 06 00017 g001
Figure 2. Geometry and dimensions (expressed in mm) of tensile (a), compression (b), and bending (c) specimens.
Figure 2. Geometry and dimensions (expressed in mm) of tensile (a), compression (b), and bending (c) specimens.
Applmech 06 00017 g002
Figure 3. (a) Spatial arrangement of the specimens on the printing plate (kept constant for each configuration), (b) preview of the print once the supports are automatically generated, and (c) specimen fabrication completed. Brim was added to improve adhesion to the printing plate.
Figure 3. (a) Spatial arrangement of the specimens on the printing plate (kept constant for each configuration), (b) preview of the print once the supports are automatically generated, and (c) specimen fabrication completed. Brim was added to improve adhesion to the printing plate.
Applmech 06 00017 g003
Figure 4. Test machine set up for tensile (a), compression (b), and bending test (c).
Figure 4. Test machine set up for tensile (a), compression (b), and bending test (c).
Applmech 06 00017 g004
Figure 5. Specimens after tensile (a), compression (b), and bending (c) testing.
Figure 5. Specimens after tensile (a), compression (b), and bending (c) testing.
Applmech 06 00017 g005
Figure 6. Examples of computation of stiffness from the linear section of the force–displacement curve for tensile (a), compression (b), and bending tests (c). The four curves are obtained by testing the four copies of the same specimen.
Figure 6. Examples of computation of stiffness from the linear section of the force–displacement curve for tensile (a), compression (b), and bending tests (c). The four curves are obtained by testing the four copies of the same specimen.
Applmech 06 00017 g006
Figure 7. Main effect plot for tensile (a), compressive (b), and bending (c) stiffness for the different printing parameters considered in this study. H, C, and G, respectively, stand for 3D honeycomb, cubic, and gyroid patterns.
Figure 7. Main effect plot for tensile (a), compressive (b), and bending (c) stiffness for the different printing parameters considered in this study. H, C, and G, respectively, stand for 3D honeycomb, cubic, and gyroid patterns.
Applmech 06 00017 g007
Figure 8. Main effect plot for tensile (a), compressive (b), and bending (c) elastic modulus (E) for the different printing parameters considered in this study. H, C, and G, respectively, stand for 3D honeycomb, cubic, and gyroid patterns.
Figure 8. Main effect plot for tensile (a), compressive (b), and bending (c) elastic modulus (E) for the different printing parameters considered in this study. H, C, and G, respectively, stand for 3D honeycomb, cubic, and gyroid patterns.
Applmech 06 00017 g008
Figure 9. Interaction plot for tensile (a), compressive (b), and bending (c) stiffness for the different printing parameters considered in this study. H, C, and G, respectively, stand for 3D honeycomb, cubic, and gyroid patterns.
Figure 9. Interaction plot for tensile (a), compressive (b), and bending (c) stiffness for the different printing parameters considered in this study. H, C, and G, respectively, stand for 3D honeycomb, cubic, and gyroid patterns.
Applmech 06 00017 g009aApplmech 06 00017 g009b
Figure 10. Interaction plot for tensile (a), compressive (b), and bending (c) E for the different printing parameters considered in this study. H, C, and G, respectively, stand for 3D honeycomb, cubic, and gyroid patterns.
Figure 10. Interaction plot for tensile (a), compressive (b), and bending (c) E for the different printing parameters considered in this study. H, C, and G, respectively, stand for 3D honeycomb, cubic, and gyroid patterns.
Applmech 06 00017 g010aApplmech 06 00017 g010b
Table 1. PLA properties given by the manufacturer.
Table 1. PLA properties given by the manufacturer.
PropertyValue
Diameter (mm)1.75
Density (g/cm3)1.23
Melt Temperature (°C)205–225
Tensile Strength (MPa)~60
Elastic Modulus (GPa)~3.5
Glass Transition Temperature (°C)55–60
Table 2. Variable printing settings.
Table 2. Variable printing settings.
Printing ParameterNo. of LevelsLevels
Infill percentage250–75%
Infill pattern3Gyroid—3D Honeycomb—Cubic
No. outer shells31–2–4
Orientation20°–75°
Table 3. Fixed printing parameters used for all the sets of specimens as recommended by the PLA manufacturer.
Table 3. Fixed printing parameters used for all the sets of specimens as recommended by the PLA manufacturer.
Printing ParameterValue
Layer height (mm)0.15
Nozzle temperature (°C)210 ± 5
Bed temperature (°C)60 ± 5
Print speed (mm/min)60
Table 4. p-values.
Table 4. p-values.
PropertyShell NumberInfillOrientationPattern
Tensile Stiffness<0.00010.00010.12930.1483
Compression Stiffness0.00590.55560.17770.4089
Bending Stiffness0.00010.00001<0.00010.8003
Tensile E<0.00010.00010.03430.1335
Compressive E0.0055<0.00010.000010.0165
Bending E0.00090.0004<0.00010.7773
Table 5. Key findings across tensile, compressive, and bending tests.
Table 5. Key findings across tensile, compressive, and bending tests.
Tensile TestsCompressive TestsBending Tests
Adding more outer shells and selecting higher infill percentages result in stiffer parts.
Parts printed at 0° outperform those printed at 75°.
3D honeycomb pattern results in stiffer parts.3D honeycomb pattern results in stiffer parts.Cubic pattern results in stiffer parts.
Disclaimer/Publisher’s Note: The statements, opinions and data contained in all publications are solely those of the individual author(s) and contributor(s) and not of MDPI and/or the editor(s). MDPI and/or the editor(s) disclaim responsibility for any injury to people or property resulting from any ideas, methods, instructions or products referred to in the content.

Share and Cite

MDPI and ACS Style

Mencarelli, M.; Sisella, M.; Puggelli, L.; Innocenti, B.; Volpe, Y. Sensitivity Analysis of 3D Printing Parameters on Mechanical Properties of Fused Deposition Modeling-Printed Polylactic Acid Parts. Appl. Mech. 2025, 6, 17. https://doi.org/10.3390/applmech6010017

AMA Style

Mencarelli M, Sisella M, Puggelli L, Innocenti B, Volpe Y. Sensitivity Analysis of 3D Printing Parameters on Mechanical Properties of Fused Deposition Modeling-Printed Polylactic Acid Parts. Applied Mechanics. 2025; 6(1):17. https://doi.org/10.3390/applmech6010017

Chicago/Turabian Style

Mencarelli, Marta, Mattia Sisella, Luca Puggelli, Bernardo Innocenti, and Yary Volpe. 2025. "Sensitivity Analysis of 3D Printing Parameters on Mechanical Properties of Fused Deposition Modeling-Printed Polylactic Acid Parts" Applied Mechanics 6, no. 1: 17. https://doi.org/10.3390/applmech6010017

APA Style

Mencarelli, M., Sisella, M., Puggelli, L., Innocenti, B., & Volpe, Y. (2025). Sensitivity Analysis of 3D Printing Parameters on Mechanical Properties of Fused Deposition Modeling-Printed Polylactic Acid Parts. Applied Mechanics, 6(1), 17. https://doi.org/10.3390/applmech6010017

Article Metrics

Back to TopTop