Free Vibration of Single-Walled Carbon Nanotubes Using Nonlocal Truncated Timoshenko-Ehrenfest Beam Theory
Abstract
1. Introduction
2. Theoretical Formulation: Equations of Motion for Nonlocal Timoshenko Beams Model
Eringen Nonlocal Theory Assumptions and Stress Resultants in Nonlocal Theory
3. Timoshenko’s Non-Local Truncated Theory: Dynamic Analysis
3.1. Equation of Motion for a Truncated Timoshenko Beam: Euler Method
3.2. Equations of Motion for a Truncated Timoshenko Beam: Variational Method
Equations of Motion for a Timoshenko SWCNT: Truncated Theory
3.3. The Solution of Differential Equations System
3.4. Boundary Conditions
3.5. Comparison of the Two Methods
4. Numerical Examples
Numerical Comparison between the Two Theories: Conventional and Truncated Theories
- -
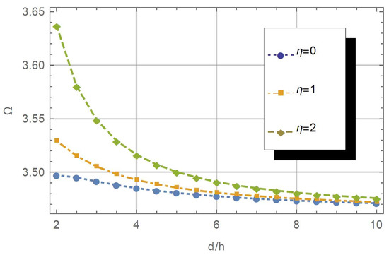
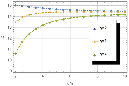
- For L/d = 5 and d/h = 3, the lowest frequency parameter ratio of the simply-supported SWCNT with , 2 are around 0.75 and 0.63, and they are 0.50, 0.36, and 0.36, 0.26 for the second and third modes, respectively. These findings demonstrate that the impact of the small-scale parameter on the frequency parameter of the SWCNT is greater for higher vibration modes than for lower modes.
- -
- For L/d = 10 and d/h = 3, the nonlocal effect parameter and for four boundary conditions (simply-supported (SS), clamped-clamped (CC), clamped-supported (CS) and clamped-free (CF) the frequency parameter ratios for the first vibration mode of the SWCNT are 0.75, 0.72, 0.73 and 1.03, respectively. According to the results, the SWCNT with SS, CC, and CS boundary conditions exhibit a small scale parameter effect on the frequency parameter that is more important than the SWCNT with CF boundary conditions.
| [nm] | d/h | L/d | SS | CC | CS | CF | |||||
|---|---|---|---|---|---|---|---|---|---|---|---|
| [34] | Present | [34] | Present | [34] | Present | [34] | Present | ||||
| 0 | 3 | 5 | 1st | 9.3349 | 9.3254 | 18.3188 | 18.2653 | 13.6062 | 13.5807 | 3.4213 | 3.4208 |
| 2nd | 32.7567 | 32.4455 | 42.3973 | 41.9378 | 37.7664 | 37.3703 | 18.6875 | 18.6268 | |||
| 3rd | 63.1739 | 61.5730 | 71.1007 | 69.5058 | 67.2925 | 65.6741 | 44.9335 | 44.3155 | |||
| 10 | 1st | 9.7254 | 9.7247 | 21.1019 | 21.0951 | 14.8938 | 14.8912 | 3.4915 | 3.4914 | ||
| 2nd | 37.3394 | 37.3015 | 54.4248 | 54.3228 | 45.7322 | 45.6670 | 21.0258 | 21.0189 | |||
| 3rd | 79.1305 | 78.8118 | 98.9624 | 98.4371 | 89.0947 | 88.6763 | 55.6261 | 55.5123 | |||
| 25 | 1st | 9.8460 | 9.8460 | 22.1535 | 22.1533 | 15.3303 | 15.3302 | 3.5120 | 3.5120 | ||
| 2nd | 39.1056 | 39.1044 | 60.3036 | 60.2992 | 49.1981 | 49.1957 | 21.8628 | 21.8625 | |||
| 3rd | 86.9790 | 86.9659 | 116.3020 | 116.2720 | 101.2204 | 101.2000 | 60.5724 | 60.5679 | |||
| 50 | 1st | 9.8637 | 9.8637 | 22.3177 | 22.3177 | 15.3961 | 15.3961 | 3.5150 | 3.5150 | ||
| 2nd | 39.3840 | 39.3839 | 61.3211 | 61.3208 | 49.7694 | 49.7692 | 21.9912 | 21.9911 | |||
| 3rd | 88.3501 | 88.3501 | 119.6965 | 119.6940 | 103.4615 | 103.4600 | 61.4093 | 61.4090 | |||
| 100 | 1st | 9.8681 | 9.8681 | 22.3593 | 22.3593 | 15.4127 | 15.4127 | 3.5158 | 3.5158 | ||
| 2nd | 39.4547 | 39.4547 | 61.5843 | 61.5843 | 49.9157 | 49.9157 | 22.0236 | 22.0236 | |||
| 3rd | 88.7067 | 88.7066 | 120.5979 | 120.5980 | 104.0492 | 104.0490 | 61.6248 | 61.6248 | |||
| 3 | 5 | 1st | 7.0339 | 7.0314 | 13.2521 | 13.1938 | 9.9602 | 9.9381 | 3.5232 | 3.5225 | |
| 2nd | 16.3059 | 16.1509 | 20.4210 | 20.0819 | 18.5642 | 18.3205 | 12.6427 | 12.5757 | |||
| 3rd | 22.5773 | 22.0042 | 25.4238 | 24.5612 | 24.0527 | 23.3419 | 21.2597 | 20.8030 | |||
| 10 | 1st | 8.9163 | 8.9156 | 19.0006 | 18.9939 | 13.4846 | 13.4823 | 3.5195 | 3.5195 | ||
| 2nd | 28.1544 | 28.1258 | 39.8407 | 39.7524 | 33.9813 | 33.9290 | 18.6756 | 18.6677 | |||
| 3rd | 48.0901 | 47.8965 | 58.9143 | 58.5214 | 53.5671 | 53.2866 | 40.4636 | 40.3540 | |||
| 25 | 1st | 9.6999 | 9.6999 | 21.7469 | 21.7466 | 15.0661 | 15.0661 | 3.5167 | 3.5167 | ||
| 2nd | 36.9279 | 36.9267 | 56.4535 | 56.4493 | 46.2499 | 46.2477 | 21.4257 | 21.4255 | |||
| 3rd | 77.0842 | 77.0725 | 101.9404 | 101.9080 | 89.1923 | 89.1725 | 56.6912 | 56.6867 | |||
| 50 | 1st | 9.8265 | 9.8265 | 22.2119 | 22.2119 | 15.3284 | 15.3284 | 3.5162 | 3.5162 | ||
| 2nd | 38.7995 | 38.7994 | 60.2646 | 60.2643 | 48.9689 | 48.9688 | 21.8794 | 21.8794 | |||
| 3rd | 85.4800 | 85.4792 | 115.3995 | 115.3960 | 99.9168 | 99.9148 | 60.3525 | 60.3522 | |||
| 100 | 1st | 9.8588 | 9.8588 | 22.3330 | 22.3330 | 15.3956 | 15.3956 | 3.5161 | 3.5161 | ||
| 2nd | 38.3059 | 39.3059 | 61.3136 | 61.3136 | 49.7112 | 49.7112 | 21.9955 | 21.9955 | |||
| 3rd | 87.9589 | 87.9588 | 119.4686 | 119.4680 | 103.1218 | 103.1210 | 61.3546 | 61.3546 | |||
| 2 | 3 | 5 | 1st | 5.8830 | 5.8770 | 10.8642 | 10.8026 | 8.2156 | 8.1952 | 3.6507 | 3.6495 |
| 2nd | 12.3183 | 12.2013 | 15.3213 | 15.0436 | 14.0142 | 13.8182 | 9.7649 | 9.7140 | |||
| 3rd | 16.4993 | 16.0812 | 18.6614 | 17.9761 | 17.6063 | 17.0662 | 16.4645 | 16.0494 | |||
| 10 | 1st | 8.2804 | 8.2798 | 17.4090 | 17.4022 | 12.4063 | 12.4043 | 3.5488 | 3.5489 | ||
| 2nd | 23.5318 | 23.5079 | 32.8628 | 32.7809 | 28.2456 | 28.1993 | 16.8709 | 16.8630 | |||
| 3rd | 37.6594 | 37.5078 | 45.9992 | 45.6612 | 41.8802 | 41.6497 | 33.4683 | 33.3679 | |||
| 25 | 1st | 9.5601 | 9.5601 | 21.3611 | 21.3609 | 14.8149 | 14.8148 | 3.5213 | 3.5213 | ||
| 2nd | 35.0776 | 35.0765 | 53.2455 | 53.2412 | 43.7742 | 43.7720 | 21.0096 | 21.0093 | |||
| 3rd | 69.9442 | 69.9336 | 91.8434 | 91.8105 | 80.6349 | 80.6157 | 53.4678 | 53.4633 | |||
| 50 | 1st | 9.7897 | 9.7897 | 22.1096 | 22.1096 | 15.2616 | 15.2616 | 3.5173 | 3.5173 | ||
| 2nd | 38.2403 | 38.2402 | 59.2597 | 59.2593 | 48.2057 | 48.2056 | 21.7690 | 21.7690 | |||
| 3rd | 82.8719 | 82.8710 | 111.5318 | 111.5270 | 96.7128 | 96.7103 | 59.3479 | 59.3476 | |||
| 100 | 1st | 9.8495 | 9.8495 | 22.3067 | 22.3067 | 15.3787 | 15.3787 | 3.5163 | 3.5164 | ||
| 2nd | 39.1587 | 39.1587 | 61.0463 | 61.0463 | 49.5092 | 49.5092 | 21.9675 | 21.9675 | |||
| 3rd | 87.2297 | 87.2297 | 118.3702 | 118.3690 | 102.2186 | 102.2180 | 61.0879 | 61.0879 | |||
5. Conclusions
- -
- the first three nondimensional frequencies decrease with increasing of nonlocal effect;
- -
- the first three nondimensional frequencies increase with increasing the ratio L/d;
- -
- the effect of the small scale parameter on the frequency parameter of the SWCNT with SS, CC and CS boundary conditions is more significant than that of the SWCNT with CF boundary conditions.
Author Contributions
Funding
Informed Consent Statement
Data Availability Statement
Conflicts of Interest
References
- Krishnan, A.; Dujardin, E.; Ebbesen, T.W.; Yianilos, P.N.; Treacy, M.M.J. Young’s modulus of single-walled nanotubes. Phys. Rev. B 1998, 58, 14013–14019. [Google Scholar] [CrossRef]
- Demczyk, B.G.; Wang, Y.M.; Cumings, J.; Hetman, M.; Han, W.; Zettl, A.; Ritchie, R.O. Direct mechanical measurement of the tensile strength and elastic modulus of multiwalled carbon nanotubes. Mat. Sci. and Eng. A 2002, 334, 173–178. [Google Scholar] [CrossRef]
- Ruoff, R.S.; Qian, D.; Liu, W.K. Mechanical properties of carbon nanotubes: Theoretical predictions and experimental measurements. C. R. Phys. 2003, 4, 993–1008. [Google Scholar] [CrossRef]
- Ansari, R.; Rouhi, H.; Rad, A.N. Vibrational analysis of carbon nanocones under different boundary conditions: An analytical approach. Mech. Res. Commun. 2014, 56, 130–135. [Google Scholar] [CrossRef]
- Elishakoff, I.; Versaci, C.; Muscolino, G. Clamped-free double-walled car-bon nanotube-based mass sensor. Acta Mech. 2011, 219, 29–43. [Google Scholar] [CrossRef]
- Elishakoff, I.; Pentaras, D. Fundamental natural frequencies of double-walled nanotubes. Int. J. Sound Vib. 2009, 322, 652–664. [Google Scholar] [CrossRef]
- Ru, C.Q. Column buckling of multiwalled carbon nanotubes with interlayer radial displacements. Phys. Rev. B 2000, 62, 16962–16967. [Google Scholar] [CrossRef]
- Wang, Q.; Hu, T.; Chen, Q.J. Bending instability characteristics of double walled nanotubes. Phys. Rev. B 2005, 71, 045403. [Google Scholar] [CrossRef]
- Zhang, Y.Y.; Wang, C.M.; Tan, V.B.C. Buckling of multiwalled carbon nanotubes using Timoshenko beam theory. J. Eng. Mech. 2006, 132, 952–958. [Google Scholar] [CrossRef]
- Rafiee, R.; Moghadam, R.M. On the modeling of carbon nanotubes: A critical review. Compos. Part B Eng. 2014, 56, 435–449. [Google Scholar] [CrossRef]
- Eringen, A.C. Nonlocal polar elastic continua. Int. J. Eng. Sci. 1972, 10, 1–16. [Google Scholar] [CrossRef]
- Eringen, A.C. On differential equations of non local elasticity and solutions of screw dislocation and surface-waves. J. Appl. Phys. 1983, 54, 4703–4710. [Google Scholar] [CrossRef]
- Reddy, J.N. Nonlocal theories for bending, buckling and vibration of beams. Int. J. Eng. Sci. 2007, 45, 288–307. [Google Scholar] [CrossRef]
- Wang, L.; Hu, H. Flexural wave propagation in single-walled carbon nanotubes. Phys. Rev. B 2005, 71, 195412. [Google Scholar] [CrossRef]
- Lu, P.; Lee, H.P.; Lu, C.; Zhang, P.Q. Dynamic properties of exural beams using a nonlocal elasticity model. Appl. Phys. 2006, 99, 073510. [Google Scholar] [CrossRef]
- De Rosa, M.A.; Lippiello, M. Free vibration analysis of DWCNTs using CDM and Rayleigh-Schimdt based on nonlocal Euler-Bernoulli beam theory. Sci. World J. 2014, 2014, 194529. [Google Scholar] [CrossRef]
- Reddy, J.N.; Pang, S.D. Nonlocal continuum theories of beams for the analysis of carbon nanotubes. J. Appl. Phys. 1998, 103, 023511. [Google Scholar] [CrossRef]
- De Rosa, M.A.; Lippiello, M. Hamilton principle for SWCN and a modified approach for nonlocal frequency analysis of nanoscale biosensor. Int. J. Recent Sci. Res. 2015, 6, 2355–2365. [Google Scholar]
- Kucuk, I.; Sadek, I.S.; Adali, S. Variational principles for multiwalled carbon nanotubes undergoing vibrations on nonlocal Timoshenko beam theory. J. Nanomat. 2010, 2010, 461252. [Google Scholar] [CrossRef]
- De Rosa, M.A.; Lippiello, M.; Martin, H.D. Free vibrations of a cantilevered SWCNT with distributed mass in the presence of non local effect. Sci. World J. 2015, 2015, 825342. [Google Scholar] [CrossRef]
- De Rosa, M.A.; Lippiello, M. Nonlocal frequency analysis of embedded singlewalled carbon nanotube using the Differential Quadrature Method. Compos. Part B Eng. 2016, 84, 41–51. [Google Scholar] [CrossRef]
- De Rosa, M.A.; Lippiello, M.; Martin, H.D.; Piovan, M.T. Nonlocal frequency analysis of nanosensors with different boundary conditions and attached distributed biomolecules: An approximate method. Acta Mech. 2016, 227, 2323–2342. [Google Scholar] [CrossRef]
- De Rosa, M.A.; Lippiello, M. Nonlocal Timoshenko frequency analysis of single-walled carbon nanotube with attached mass: An alternative Hamiltonian approach. Compos. Part B Eng. 2017, 111, 409–418. [Google Scholar] [CrossRef]
- De Rosa, M.A.; Lippiello, M.; Tomasiello, S. Differential quadrature solutions for the nonconservative instability of a class of single-walled carbon nanotubes. Eng. Comput. 2018, 35, 251–267. [Google Scholar] [CrossRef]
- Auciello, N.M.; De Rosa, M.A.; Lippiello, M.; Tomasiello, S. Non-conservative instability of cantilevered nanotube via cell discretization method. Springer Proc. Math. Stat. 2018, 248, 13–24. [Google Scholar]
- De Rosa, M.A.; Lippiello, M.; Auciello, N.M.; Martin, H.D.; Piovan, M.T. Variational method for non-conservative instability of a cantilever SWCNT in the presence of variable mass or crack. Arch. Appl. Mech. 2021, 91, 301–316. [Google Scholar] [CrossRef]
- De Rosa, M.A.; Lippiello, M.; Babilio, E.; Ceraldi, C. Nonlocal Vibration Analysis of a Nonuniform Carbon Nanotube with Elastic Constraints and an Attached Mass. Materials 2021, 14, 3445. [Google Scholar] [CrossRef]
- Faghidian, S.A.; Tounsi, A. Dynamic characteristics of mixture unified gradient elastic nanobeams. Facta Univ. Ser. Mech. Eng. 2022, 20, 539–552. [Google Scholar] [CrossRef]
- Vinh, P.V.; Tounsi, A. The role of spatial variation of the nonlocal parameter on the free vibration of functionally graded sandwich nanoplates. Eng. Comp. 2022, 38, 4301–4319. [Google Scholar] [CrossRef]
- Vinh, P.V.; Tounsi, A. Free vibration analysis of functionally graded doubly curved nanoshells using nonlocal first-order shear deformation theory with variable nonlocal parameters. Thin-Walled Struct. 2022, 174, 109084. [Google Scholar] [CrossRef]
- De Rosa, M.A.; Lippiello, M.; Elishakoff, I. Variational Derivation of Truncated Timoshenko-Ehrenfest Beam Theory. J. Appl. Comput. Mech. 2022, 8, 996–1004. [Google Scholar]
- Elishakoff, I. An Equation Both More Consistent and Simpler Than Bresse-Timoshenko Equation. In Advances in Mathematical Modeling and Experimental Methods for Materials and Structures; Gilat, R., Sills-Banks, L., Eds.; Springer: Berlin/Heidelberg, Germany, 2009; pp. 249–254. [Google Scholar]
- Wolfram, S. The Mathematica 8; Cambridge University Press: Cambridge, UK, 2010. [Google Scholar]
- Wu, C.P.; Lai, W.W. Free vibration of an embedded single-walled carbon nanotube with various boundary conditions using the RMVT-based nonlocal Timoshenko beam theory and DQ method. Phys. E 2015, 68, 8–21. [Google Scholar] [CrossRef]
- Onorato, A. A New Theory for Dynamic Analysis of Timoshenko SWCNT. Degree Thesis, University of Basilicata “School of Engineering”, Potenza, Italy, 2023. [Google Scholar]





| SWCNT Properties | Symbol | Value | Unit |
|---|---|---|---|
| Cross-sectional area | (d − h) h | m | |
| Thickness | h | 0.34 × 10 | m |
| Moment of inertia | 1/8 | m | |
| Density | 2300 | kg/m | |
| Young’s modulus | E | 1000 | GPa |
| Poisson’s ratio | 0.19 | - | |
| Shear modulus | G | GPa |
| [nm] | L/d | SS | CC | CS | CF | |
|---|---|---|---|---|---|---|
| % Error | ||||||
| 0 | 5 | 1st | 0.102 | 0.292 | 0.187 | 0.016 |
| 2nd | 0.950 | 1.084 | 1.049 | 0.325 | ||
| 3rd | 2.534 | 2.243 | 2.405 | 1.375 | ||
| 10 | 1st | 0.008 | 0.032 | 0.017 | 0.002 | |
| 2nd | 0.102 | 0.187 | 0.143 | 0.033 | ||
| 3rd | 0.403 | 0.531 | 0.470 | 0.205 | ||
| 5 | 1st | 0.035 | 0.440 | 0.222 | 0.021 | |
| 2nd | 0.951 | 1.661 | 1.313 | 0.530 | ||
| 3rd | 2.538 | 3.393 | 2.955 | 2.148 | ||
| 10 | 1st | 0.008 | 0.035 | 0.017 | 0.000 | |
| 2nd | 0.102 | 0.222 | 0.154 | 0.042 | ||
| 3rd | 0.403 | 0.667 | 0.524 | 0.271 | ||
| 2 | 5 | 1st | 0.102 | 0.567 | 0.248 | 0.033 |
| 2nd | 0.950 | 1.813 | 1.399 | 0.521 | ||
| 3rd | 2.534 | 3.672 | 3.068 | 2.521 | ||
| 10 | 1st | 0.007 | 0.039 | 0.016 | 0.003 | |
| 2nd | 0.102 | 0.249 | 0.164 | 0.047 | ||
| 3rd | 0.403 | 0.735 | 0.550 | 0.300 | ||
Disclaimer/Publisher’s Note: The statements, opinions and data contained in all publications are solely those of the individual author(s) and contributor(s) and not of MDPI and/or the editor(s). MDPI and/or the editor(s) disclaim responsibility for any injury to people or property resulting from any ideas, methods, instructions or products referred to in the content. |
© 2023 by the authors. Licensee MDPI, Basel, Switzerland. This article is an open access article distributed under the terms and conditions of the Creative Commons Attribution (CC BY) license (https://creativecommons.org/licenses/by/4.0/).
Share and Cite
De Rosa, M.A.; Lippiello, M.; Onorato, A.; Elishakoff, I. Free Vibration of Single-Walled Carbon Nanotubes Using Nonlocal Truncated Timoshenko-Ehrenfest Beam Theory. Appl. Mech. 2023, 4, 699-714. https://doi.org/10.3390/applmech4020035
De Rosa MA, Lippiello M, Onorato A, Elishakoff I. Free Vibration of Single-Walled Carbon Nanotubes Using Nonlocal Truncated Timoshenko-Ehrenfest Beam Theory. Applied Mechanics. 2023; 4(2):699-714. https://doi.org/10.3390/applmech4020035
Chicago/Turabian StyleDe Rosa, Maria Anna, Maria Lippiello, Antonella Onorato, and Isaac Elishakoff. 2023. "Free Vibration of Single-Walled Carbon Nanotubes Using Nonlocal Truncated Timoshenko-Ehrenfest Beam Theory" Applied Mechanics 4, no. 2: 699-714. https://doi.org/10.3390/applmech4020035
APA StyleDe Rosa, M. A., Lippiello, M., Onorato, A., & Elishakoff, I. (2023). Free Vibration of Single-Walled Carbon Nanotubes Using Nonlocal Truncated Timoshenko-Ehrenfest Beam Theory. Applied Mechanics, 4(2), 699-714. https://doi.org/10.3390/applmech4020035

