Fracture Analysis for a Crack in Orthotropic Material Subjected to Combined 2i-Order Symmetrical Thermal Flux and 2j-Order Symmetrical Mechanical Loading
Abstract
1. Introduction
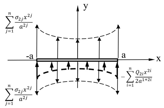
2. Problem Statement
3. Solution Procedure
3.1. Temperature Field
3.2. Elastic Field
3.3. Crack-Tip Field
3.4. Explicit Expressions for the Particular Case of Combined the Constant Thermo-Mechanical Loading
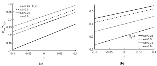
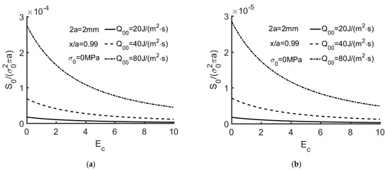
4. Numerical Results
5. Conclusions
Author Contributions
Funding
Conflicts of Interest
References
- Nowacki, W. Thermoelasticity; Pergamon Press: New York, NY, USA, 1962. [Google Scholar]
- Sih, G.C.; Michaopoloulos, J.; Chou, S.C. Hygrothermoelasticity; Martinus Niijhoof Publishing: Leiden, The Netherlands, 1986. [Google Scholar]
- Nowinski, J.L. Theory of Thermoelasticity with Applications; Sijthoff and Noordhoff: Amsterdam, The Netherlands, 1978. [Google Scholar]
- Sih, G.C. Thermomechanics of solids: Non-equilibrium and irreversibility. Theor. Appl. Fract. Mec. 1988, 9, 175–198. [Google Scholar] [CrossRef]
- Olesiak, Z.; Sneddon, I.N. The distribution of thermal stress in an infinite elastic solid containing a penny-shaped crack. Arch. Ration. Mech. Anal. 1959, 4, 238–254. [Google Scholar] [CrossRef]
- Fabrikant, V.I. Mixed Boundary Value Problem of Potential Theory and Their Applications in Engineering; Kluwer Academic Publishers: Dordrecht, The Netherlands, 1991. [Google Scholar]
- Fabrikant, V.I. Complete solution to the problem of an external circular crack in a transversely isotropic body subjected to arbitrary shear loading. Int. J. Solids. Struct. 1996, 33, 167–191. [Google Scholar] [CrossRef]
- Georgiadis, H.G.; Brock, L.M.; Rigatos, A.P. Transient concentrated thermal/mechanical loading of the faces of a crack in a coupled-thermoelastic solid. Int. J. Solids. Struct. 1998, 35, 1075–1097. [Google Scholar] [CrossRef]
- Sih, G.C. On the singular character of thermal stress near a crack tip. J. Appl. Mech. 1962, 29, 587–589. [Google Scholar] [CrossRef]
- Tsai, Y.M. Orthotropic thermoelastic problem of uniform heat flow disturbed by a central crack. J. Compos. Mater. 1984, 18, 122–131. [Google Scholar] [CrossRef]
- Chen, B.X.; Zhang, X.Z. Thermoelasticity problem of an orthotropic plate with two collinear cracks. Int. J. Fract. 1988, 38, 161–192. [Google Scholar]
- Wilson, W.K.; Yu, I.W. The use of J-integral in thermal stress crack problems. Int. J. Fract. 1979, 15, 377–387. [Google Scholar]
- Prasad, N.N.V.; Aliabaid, M.H. The dual boundary element method for transient thermoelastic crack problems. Int. J. Solids Struct. 1996, 33, 2695–2718. [Google Scholar] [CrossRef]
- Yang, J.; Jin, X.Y.; Jin, N.G. A penny-shaped crack in an infinite linear transversely isotropic triple medium subjected to uniform anti-symmetric heat flux: Closed-form solution. Eur. J. Mech. A Solids 2014, 47, 254–270. [Google Scholar] [CrossRef]
- Hu, K.Q.; Chen, Z.T. Thermoelastic analysis of a partially insulated crack in a strip under thermal impact loading using the hyperbolic heat conduction theory. Int. J. Eng. Sci. 2012, 51, 144–160. [Google Scholar] [CrossRef]
- Hu, K.Q.; Chen, Z.T. Transient heat conduction analysis of a cracked half-plane using dual-phase-lag theory. Int. J. Heat Mass Transf. 2013, 62, 445–451. [Google Scholar] [CrossRef]
- Brock, L.M. Reflection and diffraction of plane temperature-step waves in orthotropic thermoelastic solids. J. Therm. Stresses 2010, 33, 879–904. [Google Scholar] [CrossRef]
- Wu, B.; Zhu, J.G.; Peng, D. Thermoelastic analysis for two collinear cracks in an orthotropic solid disturbed by anti-symmetrical linear heat flow. Math. Probl. Eng. 2017, 10, 1–10. [Google Scholar]
- Wu, B.; Peng, D.; Jones, R. The analysis of cracking under a combined quadratic thermal flux and a quadratic mechanical loading. Appl. Math. Model. 2019, 68, 182–197. [Google Scholar] [CrossRef]
- Rekik, M.; Neifar, M.; El-Borgi, S. An axisymmetric problem of a partially insulated crack embedded in a graded layer bonded to a homogeneous half-space under thermal loading. J. Therm. Stresses 2011, 34, 201–227. [Google Scholar] [CrossRef]
- Yang, W.; Pourasghar, A.; Chen, Z. Thermoviscoelastic fracture analysis of a cracked orthotropic fiber reinforced composite strip by the dual-phase-lag theory. Compos. Struct. 2021, 258, 113194. [Google Scholar] [CrossRef]
- Pourasghar, A.; Chen, Z. Dual-phase-lag heat conduction in the composites by introducing a new application of DQM. Heat Mass Transf. 2020, 56, 1171–1177. [Google Scholar] [CrossRef]
- Kuo, A.Y. Effects of crack surface heat conductance on stress intensity factors. Math. Probl. Eng. 1990, 57, 354–358. [Google Scholar] [CrossRef]
- Lee, Y.D.; Erdogan, F. Interface cracking of FGM coatings under steady-state heat flow. Eng. Fract. Mech. 1998, 59, 361–380. [Google Scholar] [CrossRef]
- Lee, K.Y.; Park, S.J. Thermal stress intensity factors for partially insulated interface crack under uniform heat flow. Eng. Fract. Mech. 1995, 50, 475–482. [Google Scholar] [CrossRef]
- Zhou, Y.T.; Li, X.; Yu, D.B. A partially insulated interface crack between a graded orthotropic coating and a homogeneous orthotropic substrate under heat flux supply. Int. J. Solids Struct. 2010, 47, 768–778. [Google Scholar] [CrossRef]
- Zhong, X.C. Closed-form solutions for two collinear dielectric crack in mageto-electroelastic solid. Appl. Math. Model. 2011, 35, 2930–2944. [Google Scholar] [CrossRef]
- Wu, B. Closed-Form Solutions of Cracked Elastic Solids under a Combined Thermal Flux and a Mechanical Loading and Application. Ph.D. Thesis, HHu, Nanjing, China, 2019. [Google Scholar]
- Gradshteyn, I.S.; Ryzhik, I.M. Table of Integrals, Series, and Products; Elsevier Academic Press: Cambridge, MA, USA, 2007. [Google Scholar]
- Sih, G.C. Mechanics of Fracture Initiation and Propagation; Kluwer Academic Publishers: Boston, MA, USA, 1991. [Google Scholar]
- Itou, S. Thermal stress intensity factors of an infinite orthotropic layer with a crack. Int. J. Fract. 2000, 103, 279–291. [Google Scholar] [CrossRef]














| 135 | 87 | 50 | 0.15 | 0.09667 | 0.32 | 0.32 | 3.08 | 2.81 |
| 205900 | 205900 | 79200 | 0.3 | 0.303 | 48.6 | 48.6 |
Publisher’s Note: MDPI stays neutral with regard to jurisdictional claims in published maps and institutional affiliations. |
© 2021 by the authors. Licensee MDPI, Basel, Switzerland. This article is an open access article distributed under the terms and conditions of the Creative Commons Attribution (CC BY) license (http://creativecommons.org/licenses/by/4.0/).
Share and Cite
Wu, B.; Peng, D.; Jones, R. Fracture Analysis for a Crack in Orthotropic Material Subjected to Combined 2i-Order Symmetrical Thermal Flux and 2j-Order Symmetrical Mechanical Loading. Appl. Mech. 2021, 2, 127-146. https://doi.org/10.3390/applmech2010008
Wu B, Peng D, Jones R. Fracture Analysis for a Crack in Orthotropic Material Subjected to Combined 2i-Order Symmetrical Thermal Flux and 2j-Order Symmetrical Mechanical Loading. Applied Mechanics. 2021; 2(1):127-146. https://doi.org/10.3390/applmech2010008
Chicago/Turabian StyleWu, Bing, Daren Peng, and Rhys Jones. 2021. "Fracture Analysis for a Crack in Orthotropic Material Subjected to Combined 2i-Order Symmetrical Thermal Flux and 2j-Order Symmetrical Mechanical Loading" Applied Mechanics 2, no. 1: 127-146. https://doi.org/10.3390/applmech2010008
APA StyleWu, B., Peng, D., & Jones, R. (2021). Fracture Analysis for a Crack in Orthotropic Material Subjected to Combined 2i-Order Symmetrical Thermal Flux and 2j-Order Symmetrical Mechanical Loading. Applied Mechanics, 2(1), 127-146. https://doi.org/10.3390/applmech2010008

