Post-Heuristic Cancer Segmentation Refinement over MRI Images and Deep Learning Models
Abstract
1. Introduction
2. Related Work
2.1. Research Challenges
2.2. Research Contribution
- WAO definition with Gaussian peak localization validated against a Butterworth alternative;
- Instead of resorting to memory-intensive 3D CNNs, lightweight post-processing using percentile-based refinement with removal and addition modes is applied only post-peak with an early-stop boundary;
- Cohort-level gains from tiny edits, where 0.1–0.3% removal lifts cohort mIoU above baseline to 0.832 and benefits up to 67 of 101 patients with about 2 s per patient runtime;
- Strong slice-level baseline using Attention U-Net with Dice loss achieving mIoU 0.857 on a patient-wise split.
3. Materials and Methods
3.1. Dataset
3.1.1. Dataset Information
- IDH/1p-19q mutation status;
- RNA-Seq clusters (R1-R4);
- DNA-methylation clusters (M1-M5);
- Copy-number clusters (C1-C3);
- Micro-RNA clusters (mi1-mi4);
- “Cluster-of-clusters” integrative labels (coc1-coc3).
3.1.2. Dataset Visualization
3.1.3. Dataset Preprocessing
3.2. Deep Learning Segmentation
3.2.1. U-Net Architecture
3.2.2. Attention U-Net Architecture
3.3. Deep Learning Segmentation Model Training
3.4. Evaluation Metrics
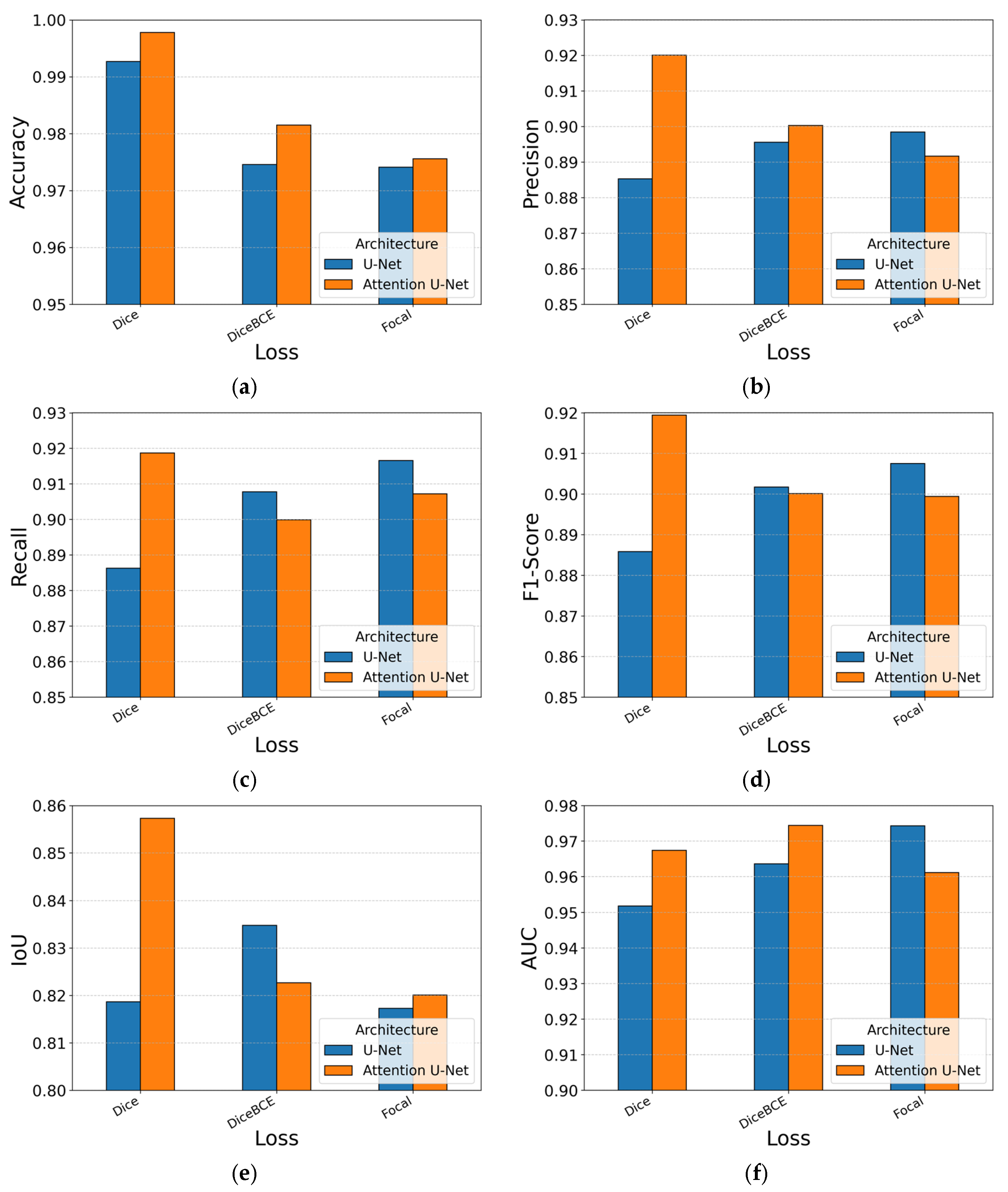
4. Results
4.1. Assessment of Deep Learning Segmentation Models
4.1.1. Assessment of Sigmoid Output Layer Architectures
4.1.2. Assessment of Softmax Output Layer Architectures
4.2. Qualitative Results
4.3. Voting Mechanism and Post-Heuristic Segmentation Refinement
4.3.1. White-Area Overlap Between Sequential Slices
| Algorithm 1 Calculation of White-Area Overlap (WAO) between two slices |
| Input: Binary tumor masks and Output: Overlap percentage 1: Identify all foreground (tumor) pixel in slice . 2: Count how many of these pixels are also tumor in slice . 3: Compute overlap percentage: |
4.3.2. Peak Localization of White-Area Overlap via Gaussian Smoothing
4.3.3. Heuristic Refinement of Ambiguous Softmax Pixels
Removal of Ambiguous Softmax Pixels
Addition of Ambiguous Softmax Pixels
4.4. Assessment of the Holistic Approach of Voting Mechanism and Post-Heuristic Refinement
5. Discussion and Future Work
6. Conclusions
Author Contributions
Funding
Institutional Review Board Statement
Informed Consent Statement
Data Availability Statement
Acknowledgments
Conflicts of Interest
Abbreviations
| AG | Attention Gate |
| AI | Artificial Intelligence |
| AUC | Area Under the ROC Curve |
| CNNs | Convolutional Neural Networks |
| CT | Computed Tomography |
| DL | Deep Learning |
| DiceBCE | Dice and Binary Cross-Entropy |
| FLAIR | Fluid-Attenuated Inversion-Recovery |
| FN | False Negative |
| FP | False Positive |
| IoU | Intersection-over-Union |
| LGGs | Lower-Grade Gliomas |
| MRI | Magnetic Resonance Imaging |
| SGD | Stochastic Gradient Descent |
| TCGA | The Cancer Genome Atlas |
| TCIA | The Cancer Imaging Archive |
| TN | True Negative |
| FP | True Positive |
| WAO | White-Area Overlap |
| WHO | World Health Organization |
Appendix A




Appendix B
| Patient ID | GT Peak | GT Gaussian Peak | GT Butterworth Peak | Predicted Peak | Predicted Gaussian Peak | Predicted Butterworth Peak |
|---|---|---|---|---|---|---|
| TCGA_DU_7010_19860307 | 35 | 35 | 36 | 36 | 35 | 36 |
| TCGA_DU_8162_19961029 | 11 | 13 | 14 | 12 | 13 | 14 |
| TCGA_FG_A4MT_20020212 | 11 | 11 | 14 | 10 | 17 | 16 |
| TCGA_FG_5964_20010511 | 13 | 13 | 14 | 12 | 14 | 14 |
| TCGA_DU_A5TS_19970726 | 14 | 13 | 14 | 14 | 14 | 15 |
| TCGA_HT_7692_19960724 | 15 | 17 | 19 | 15 | 18 | 19 |
| TCGA_DU_5849_19950405 | 20 | 22 | 24 | 19 | 22 | 24 |
| TCGA_FG_A60K_20040224 | 45 | 44 | 45 | 37 | 43 | 45 |
| TCGA_HT_7475_19970918 | 17 | 22 | 22 | 18 | 22 | 22 |
| TCGA_FG_6691_20020405 | 20 | 24 | 24 | 22 | 24 | 24 |
| TCGA_HT_7684_19950816 | 14 | 16 | 17 | 14 | 16 | 17 |
| TCGA_CS_6188_20010812 | 14 | 15 | 16 | 0 | 0 | 0 |
| TCGA_HT_7694_19950404 | 9 | 11 | 11 | 6 | 11 | 11 |
| TCGA_DU_A5TR_19970726 | 14 | 16 | 17 | 14 | 16 | 17 |
| TCGA_DU_7300_19910814 | 14 | 15 | 16 | 14 | 16 | 17 |
| TCGA_DU_7018_19911220 | 12 | 18 | 18 | 11 | 15 | 18 |
| TCGA_DU_7301_19911112 | 19 | 21 | 22 | 17 | 21 | 21 |
| TCGA_DU_7302_19911203 | 18 | 21 | 22 | 22 | 22 | 22 |
| TCGA_HT_8018_19970411 | 8 | 8 | 8 | 8 | 8 | 8 |
| TCGA_FG_6692_20020606 | 15 | 17 | 18 | 16 | 17 | 17 |
| TCGA_DU_5854_19951104 | 25 | 25 | 26 | 25 | 25 | 25 |
| TCGA_DU_7299_19910417 | 22 | 23 | 24 | 9 | 24 | 25 |
| TCGA_HT_A5RC_19990831 | 24 | 22 | 21 | 19 | 21 | 22 |
| TCGA_HT_8105_19980826 | 16 | 19 | 21 | 16 | 19 | 21 |
| TCGA_HT_8563_19981209 | 10 | 11 | 11 | 10 | 10 | 10 |
| TCGA_HT_A61A_20000127 | 22 | 32 | 31 | 45 | 54 | 53 |
| TCGA_CS_4944_20010208 | 8 | 8 | 9 | 8 | 9 | 9 |
| TCGA_FG_7643_20021104 | 27 | 27 | 28 | 24 | 26 | 26 |
| TCGA_DU_8163_19961119 | 14 | 15 | 16 | 15 | 15 | 15 |
| TCGA_CS_6669_20020102 | 10 | 13 | 13 | 11 | 12 | 13 |
| TCGA_DU_7013_19860523 | 24 | 23 | 22 | 25 | 23 | 23 |
| TCGA_FG_8189_20030516 | 18 | 23 | 24 | 18 | 24 | 24 |
| TCGA_HT_8111_19980330 | 14 | 16 | 15 | 14 | 16 | 15 |
| TCGA_CS_5396_20010302 | 13 | 15 | 16 | 14 | 15 | 16 |
| TCGA_DU_7294_19890104 | 21 | 23 | 24 | 21 | 23 | 24 |
| TCGA_HT_7879_19981009 | 10 | 12 | 13 | 12 | 13 | 13 |
| TCGA_EZ_7264_20010816 | 16 | 18 | 17 | 16 | 18 | 17 |
| TCGA_DU_8164_19970111 | 20 | 25 | 25 | 20 | 24 | 25 |
| TCGA_HT_7860_19960513 | 14 | 14 | 14 | 14 | 14 | 14 |
| TCGA_HT_7881_19981015 | 26 | 27 | 29 | 22 | 26 | 29 |
| TCGA_DU_6400_19830518 | 20 | 21 | 23 | 15 | 20 | 23 |
| TCGA_HT_7686_19950629 | 10 | 11 | 11 | 11 | 11 | 11 |
| TCGA_FG_6688_20020215 | 19 | 24 | 24 | 24 | 26 | 24 |
| TCGA_DU_6401_19831001 | 19 | 27 | 29 | 23 | 27 | 29 |
| TCGA_CS_4943_20000902 | 15 | 13 | 13 | 15 | 13 | 13 |
| TCGA_DU_A5TW_19980228 | 16 | 20 | 21 | 17 | 18 | 18 |
| TCGA_HT_7473_19970826 | 14 | 14 | 16 | 9 | 13 | 15 |
| TCGA_DU_5853_19950823 | 25 | 27 | 28 | 27 | 27 | 27 |
| TCGA_CS_6290_20000917 | 7 | 8 | 8 | 8 | 8 | 8 |
| TCGA_DU_6399_19830416 | 18 | 18 | 20 | 14 | 18 | 20 |
| TCGA_CS_4942_19970222 | 10 | 11 | 10 | 10 | 11 | 11 |
| TCGA_DU_5872_19950223 | 33 | 37 | 41 | 33 | 38 | 41 |
| TCGA_HT_7616_19940813 | 16 | 18 | 20 | 14 | 18 | 20 |
| TCGA_DU_7019_19940908 | 11 | 14 | 15 | 11 | 14 | 14 |
| TCGA_DU_5871_19941206 | 19 | 21 | 23 | 17 | 21 | 22 |
| TCGA_CS_6666_20011109 | 15 | 17 | 17 | 14 | 16 | 17 |
| TCGA_FG_7637_20000922 | 19 | 18 | 21 | 16 | 21 | 22 |
| TCGA_CS_5397_20010315 | 7 | 8 | 8 | 6 | 8 | 8 |
| TCGA_CS_4941_19960909 | 11 | 13 | 14 | 11 | 13 | 13 |
| TCGA_HT_7874_19950902 | 8 | 10 | 10 | 9 | 11 | 11 |
| TCGA_DU_6404_19850629 | 29 | 33 | 35 | 29 | 33 | 35 |
| TCGA_DU_8166_19970322 | 20 | 23 | 25 | 18 | 22 | 23 |
| TCGA_HT_7605_19950916 | 26 | 25 | 24 | 22 | 25 | 25 |
| TCGA_FG_5962_20000626 | 25 | 26 | 30 | 22 | 30 | 31 |
| TCGA_HT_7856_19950831 | 16 | 17 | 20 | 14 | 17 | 20 |
| TCGA_DU_6405_19851005 | 41 | 45 | 45 | 43 | 45 | 45 |
| TCGA_DU_5852_19950709 | 15 | 15 | 15 | 14 | 13 | 13 |
| TCGA_HT_8114_19981030 | 11 | 13 | 14 | 11 | 14 | 14 |
| TCGA_FG_7634_20000128 | 19 | 21 | 22 | 18 | 19 | 19 |
| TCGA_CS_6665_20010817 | 16 | 14 | 15 | 13 | 14 | 15 |
| TCGA_HT_7855_19951020 | 8 | 11 | 11 | 15 | 11 | 11 |
| TCGA_HT_7602_19951103 | 8 | 8 | 8 | 8 | 8 | 8 |
| TCGA_DU_8167_19970402 | 12 | 16 | 17 | 12 | 16 | 18 |
| TCGA_DU_7309_19960831 | 24 | 24 | 24 | 12 | 24 | 24 |
| TCGA_DU_5874_19950510 | 22 | 23 | 23 | 21 | 23 | 23 |
| TCGA_DU_6407_19860514 | 20 | 24 | 25 | 21 | 24 | 26 |
| TCGA_HT_7690_19960312 | 14 | 16 | 16 | 13 | 16 | 16 |
| TCGA_HT_7884_19980913 | 6 | 8 | 8 | 6 | 8 | 8 |
| TCGA_DU_5855_19951217 | 14 | 16 | 17 | 13 | 16 | 17 |
| TCGA_DU_7298_19910324 | 10 | 12 | 12 | 8 | 12 | 12 |
| TCGA_FG_A4MU_20030903 | 13 | 14 | 16 | 16 | 16 | 17 |
| TCGA_CS_6667_20011105 | 10 | 12 | 12 | 11 | 13 | 12 |
| TCGA_HT_7877_19980917 | 20 | 22 | 22 | 20 | 22 | 22 |
| TCGA_DU_A5TT_19980318 | 41 | 43 | 46 | 41 | 44 | 46 |
| TCGA_FG_6689_20020326 | 25 | 28 | 28 | 28 | 28 | 28 |
| TCGA_HT_A61B_19991127 | 41 | 39 | 39 | 40 | 39 | 36 |
| TCGA_HT_8107_19980708 | 9 | 10 | 10 | 9 | 10 | 10 |
| TCGA_DU_A5TY_19970709 | 22 | 24 | 25 | 22 | 24 | 24 |
| TCGA_HT_7608_19940304 | 16 | 16 | 17 | 15 | 16 | 16 |
| TCGA_CS_6186_20000601 | 15 | 17 | 17 | 14 | 16 | 16 |
| TCGA_DU_5851_19950428 | 14 | 16 | 17 | 13 | 16 | 17 |
| TCGA_HT_7693_19950520 | 11 | 13 | 13 | 13 | 13 | 13 |
| TCGA_DU_8165_19970205 | 12 | 13 | 13 | 15 | 15 | 15 |
| TCGA_DU_8168_19970503 | 19 | 20 | 20 | 18 | 19 | 20 |
| TCGA_DU_7008_19830723 | 13 | 18 | 22 | 12 | 19 | 22 |
| TCGA_HT_7882_19970125 | 11 | 15 | 18 | 17 | 16 | 19 |
| TCGA_DU_7304_19930325 | 26 | 25 | 23 | 21 | 20 | 23 |
| TCGA_CS_5393_19990606 | 5 | 8 | 8 | 8 | 8 | 9 |
| TCGA_DU_7014_19860618 | 35 | 35 | 35 | 35 | 35 | 34 |
| TCGA_HT_8106_19970727 | 14 | 12 | 13 | 7 | 11 | 12 |
| TCGA_CS_6668_20011025 | 15 | 17 | 17 | 15 | 17 | 17 |
| TCGA_HT_7680_19970202 | 5 | 5 | 7 | 5 | 5 | 7 |
| TCGA_FG_6690_20020226 | 30 | 30 | 30 | 29 | 30 | 30 |
| TCGA_DU_6408_19860521 | 27 | 28 | 32 | 27 | 27 | 31 |
| TCGA_DU_A5TU_19980312 | 12 | 14 | 15 | 13 | 14 | 15 |
| TCGA_HT_A616_19991226 | 13 | 15 | 16 | 15 | 15 | 16 |
| TCGA_CS_5395_19981004 | 12 | 12 | 12 | 13 | 12 | 11 |
| TCGA_HT_8113_19930809 | 14 | 15 | 14 | 11 | 14 | 13 |
| TCGA_DU_A5TP_19970614 | 23 | 25 | 27 | 22 | 24 | 26 |
| TCGA_DU_7306_19930512 | 16 | 19 | 20 | 15 | 20 | 20 |
| Absolute Peak Difference Value | Gaussian Filter—GT | Butterworth Filter— GT | Gaussian Filter—Predicted | Butterworth Filter—Predicted |
|---|---|---|---|---|
| 0 | 18 | 12 | 21 | 16 |
| 1 | 26 | 18 | 21 | 18 |
| 2 | 41 | 23 | 26 | 26 |
| Total | 85 | 53 | 68 | 60 |
References
- Mazurowski, M.A.; Clark, K.; Czarnek, N.M.; Shamsesfandabadi, P.; Peters, K.B.; Saha, A. Radiogenomics of lower-grade glioma: Algorithmically-assessed tumor shape is associated with tumor genomic subtypes and patient outcomes in a multi-institutional study with The Cancer Genome Atlas data. J. Neurooncol. 2017, 133, 27–35. [Google Scholar] [CrossRef] [PubMed]
- Ostrom, Q.T.; Price, M.; Neff, C.; Cioffi, G.; Waite, K.A.; Kruchko, C.; Barnholtz-Sloan, J.S. CBTRUS Statistical Report: Primary Brain and Other Central Nervous System Tumors Diagnosed in the United States in 2016–2020. Neuro-Oncology 2023, 25, iv1–iv99. [Google Scholar] [CrossRef] [PubMed]
- Ullah, W.; Naveed, H.; Ali, S. Deep Learning for Precise MRI Segmentation of Lower-Grade Gliomas. Sustain. Mach. Intell. J. 2025, 10, 23–36. [Google Scholar] [CrossRef]
- Menze, B.H.; Jakab, A.; Bauer, S.; Kalpathy-Cramer, J.; Farahani, K.; Kirby, J.; Burren, Y.; Porz, N.; Slotboom, J.; Wiest, R.; et al. The Multimodal Brain Tumor Image Segmentation Benchmark (BRATS). IEEE Trans. Med. Imaging 2015, 34, 1993–2024. [Google Scholar] [CrossRef]
- Naser, M.A.; Deen, M.J. Brain tumor segmentation and grading of lower-grade glioma using deep learning in MRI images. Comput. Biol. Med. 2020, 121, 103758. [Google Scholar] [CrossRef]
- Bowden, S.G.; Neira, J.A.; Gill, B.J.A.; Ung, T.H.; Englander, Z.K.; Zanazzi, G.; Chang, P.D.; Samanamud, J.; Grinband, J.; Sheth, S.A.; et al. Sodium Fluorescein Facilitates Guided Sampling of Diagnostic Tumor Tissue in Nonenhancing Gliomas. Neurosurgery 2018, 82, 719. [Google Scholar] [CrossRef]
- Dhar, T.; Dey, N.; Borra, S.; Sherratt, R.S. Challenges of Deep Learning in Medical Image Analysis—Improving Explainability and Trust. IEEE Trans. Technol. Soc. 2023, 4, 68–75. [Google Scholar] [CrossRef]
- Castiglioni, I.; Rundo, L.; Codari, M.; Leo, G.D.; Salvatore, C.; Interlenghi, M.; Gallivanone, F.; Cozzi, A.; D’Amico, N.C.; Sardanelli, F. AI applications to medical images: From machine learning to deep learning. Phys. Medica Eur. J. Med. Phys. 2021, 83, 9–24. [Google Scholar] [CrossRef]
- Jiang, X.; Hu, Z.; Wang, S.; Zhang, Y. Deep Learning for Medical Image-Based Cancer Diagnosis. Cancers 2023, 15, 3608. [Google Scholar] [CrossRef]
- Litjens, G.; Kooi, T.; Bejnordi, B.E.; Setio, A.A.A.; Ciompi, F.; Ghafoorian, M.; van der Laak, J.A.W.M.; van Ginneken, B.; Sánchez, C.I. A survey on deep learning in medical image analysis. Med. Image Anal. 2017, 42, 60–88. [Google Scholar] [CrossRef]
- Yildirim, K.; Bozdag, P.G.; Talo, M.; Yildirim, O.; Karabatak, M.; Acharya, U.R. Deep learning model for automated kidney stone detection using coronal CT images. Comput. Biol. Med. 2021, 135, 104569. [Google Scholar] [CrossRef]
- Bhati, D.; Neha, F.; Amiruzzaman, M. A Survey on Explainable Artificial Intelligence (XAI) Techniques for Visualizing Deep Learning Models in Medical Imaging. J. Imaging 2024, 10, 239. [Google Scholar] [CrossRef]
- Vu, M.H.; Grimbergen, G.; Nyholm, T.; Löfstedt, T. Evaluation of multislice inputs to convolutional neural networks for medical image segmentation. Med. Phys. 2020, 47, 6216–6231. [Google Scholar] [CrossRef]
- Yu, Q.; Xia, Y.; Xie, L.; Fishman, E.K.; Yuille, A.L. Thickened 2D Networks for Efficient 3D Medical Image Segmentation. arXiv 2019, arXiv:1904.01150. [Google Scholar] [CrossRef]
- Milletari, F.; Navab, N.; Ahmadi, S.-A. V-Net: Fully Convolutional Neural Networks for Volumetric Medical Image Segmentation. In Proceedings of the 2016 Fourth International Conference on 3D Vision (3DV), Stanford, CA, USA, 25–28 October 2016; pp. 565–571. [Google Scholar] [CrossRef]
- Çiçek, Ö.; Abdulkadir, A.; Lienkamp, S.S.; Brox, T.; Ronneberger, O. 3D U-Net: Learning Dense Volumetric Segmentation from Sparse Annotation. In Proceedings of the Medical Image Computing and Computer-Assisted Intervention—MICCAI 2016, Athens, Greece, 17–21 October 2016; Ourselin, S., Joskowicz, L., Sabuncu, M.R., Unal, G., Wells, W., Eds.; Springer International Publishing: Cham, Switzerland, 2016; pp. 424–432. [Google Scholar] [CrossRef]
- Zhang, Y.; Liao, Q.; Ding, L.; Zhang, J. Bridging 2D and 3D segmentation networks for computation-efficient volumetric medical image segmentation: An empirical study of 2.5D solutions. Comput. Med. Imaging Graph. 2022, 99, 102088. [Google Scholar] [CrossRef] [PubMed]
- Fawzi, A.; Achuthan, A.; Belaton, B. Brain Image Segmentation in Recent Years: A Narrative Review. Brain Sci. 2021, 11, 1055. [Google Scholar] [CrossRef] [PubMed]
- Shen, D.; Wu, G.; Suk, H.-I. Deep Learning in Medical Image Analysis. Annu. Rev. Biomed. Eng. 2017, 19, 221–248. [Google Scholar] [CrossRef]
- Voulodimos, A.; Doulamis, N.; Doulamis, A.; Protopapadakis, E. Deep Learning for Computer Vision: A Brief Review. Comput. Intell. Neurosci. 2018, 2018, 7068349. [Google Scholar] [CrossRef]
- Pasvantis, K.; Protopapadakis, E. Enhancing Deep Learning Model Explainability in Brain Tumor Datasets Using Post-Heuristic Approaches. J. Imaging 2024, 10, 232. [Google Scholar] [CrossRef]
- Ronneberger, O.; Fischer, P.; Brox, T. U-Net: Convolutional Networks for Biomedical Image Segmentation. In Proceedings of the Medical Image Computing and Computer-Assisted Intervention—MICCAI 2015, Munich, Germany, 5–9 October 2015; Navab, N., Hornegger, J., Wells, W.M., Frangi, A.F., Eds.; Springer International Publishing: Cham, Switzerland, 2015; pp. 234–241. [Google Scholar] [CrossRef]
- Azad, R.; Aghdam, E.K.; Rauland, A.; Jia, Y.; Avval, A.H.; Bozorgpour, A.; Karimijafarbigloo, S.; Cohen, J.P.; Adeli, E.; Merhof, D. Medical Image Segmentation Review: The success of U-Net 2022. IEEE Trans. Pattern Anal. Mach. Intell. 2024, 46, 10076–10095. [Google Scholar] [CrossRef]
- Mazurowski, M.A.; Buda, M.; Saha, A.; Bashir, M.R. Deep learning in radiology: An overview of the concepts and a survey of the state of the art with focus on MRI. J. Magn. Reson. Imaging 2019, 49, 939–954. [Google Scholar] [CrossRef] [PubMed]
- Voulodimos, A.; Protopapadakis, E.; Katsamenis, I.; Doulamis, A.; Doulamis, N. A Few-Shot U-Net Deep Learning Model for COVID-19 Infected Area Segmentation in CT Images. Sensors 2021, 21, 2215. [Google Scholar] [CrossRef] [PubMed]
- Maganaris, C.; Protopapadakis, E.; Bakalos, N.; Doulamis, N.; Kalogeras, D.; Angeli, A. Evaluating Transferability for Covid 3D Localization Using CT SARS-CoV-2 segmentation models 2022. arXiv 2022, arXiv:2205.02152. [Google Scholar] [CrossRef]
- Qin, C.; Wu, Y.; Zeng, J.; Tian, L.; Zhai, Y.; Li, F.; Zhang, X. Joint Transformer and Multi-scale CNN for DCE-MRI Breast Cancer Segmentation. Soft Comput. 2022, 26, 8317–8334. [Google Scholar] [CrossRef]
- Özkaraca, O.; Bağrıaçık, O.İ.; Gürüler, H.; Khan, F.; Hussain, J.; Khan, J.; Laila, U. e Multiple Brain Tumor Classification with Dense CNN Architecture Using Brain MRI Images. Life 2023, 13, 349. [Google Scholar] [CrossRef]
- Wong, K.C.L.; Moradi, M.; Wu, J.; Syeda-Mahmood, T. Identifying disease-free chest x-ray images with deep transfer learning. In Proceedings of the Medical Imaging 2019: Computer-Aided Diagnosis, San Diego, CA, USA, 17–20 February 2019; SPIE: Bellingham, WA, USA, 2019; Volume 10950, pp. 179–184. [Google Scholar] [CrossRef]
- Muhammad Hussain, N.; Rehman, A.U.; Othman, M.T.B.; Zafar, J.; Zafar, H.; Hamam, H. Accessing Artificial Intelligence for Fetus Health Status Using Hybrid Deep Learning Algorithm (AlexNet-SVM) on Cardiotocographic Data. Sensors 2022, 22, 5103. [Google Scholar] [CrossRef]
- Dorfner, F.J.; Patel, J.B.; Kalpathy-Cramer, J.; Gerstner, E.R.; Bridge, C.P. A review of deep learning for brain tumor analysis in MRI. Npj Precis. Oncol. 2025, 9, 2. [Google Scholar] [CrossRef]
- Pravitasari, A.A.; Iriawan, N.; Almuhayar, M.; Azmi, T.; Irhamah, I.; Fithriasari, K.; Purnami, S.W.; Ferriastuti, W. UNet-VGG16 with transfer learning for MRI-based brain tumor segmentation. TELKOMNIKA Telecommun. Comput. Electron. Control 2020, 18, 1310–1318. [Google Scholar] [CrossRef]
- Bukhari, S.T.; Mohy-ud-Din, H. E1D3 U-Net for Brain Tumor Segmentation: Submission to the RSNA-ASNR-MICCAI BraTS 2021 Challenge 2022. arXiv 2022, arXiv:2110.02519. [Google Scholar] [CrossRef]
- Allah, A.M.G.; Sarhan, A.M.; Elshennawy, N.M. Edge U-Net: Brain tumor segmentation using MRI based on deep U-Net model with boundary information. Expert Syst. Appl. 2023, 213, 118833. [Google Scholar] [CrossRef]
- Kamnitsas, K.; Ledig, C.; Newcombe, V.F.J.; Simpson, J.P.; Kane, A.D.; Menon, D.K.; Rueckert, D.; Glocker, B. Efficient multi-scale 3D CNN with fully connected CRF for accurate brain lesion segmentation. Med. Image Anal. 2017, 36, 61–78. [Google Scholar] [CrossRef]
- Pham, T.X.; Siarry, P.; Oulhadj, H. Integrating fuzzy entropy clustering with an improved PSO for MRI brain image segmentation. Appl. Soft Comput. 2018, 65, 230–242. [Google Scholar] [CrossRef]
- Pham, T.X.; Siarry, P.; Oulhadj, H. A multi-objective optimization approach for brain MRI segmentation using fuzzy entropy clustering and region-based active contour methods. Magn. Reson. Imaging 2019, 61, 41–65. [Google Scholar] [CrossRef] [PubMed]
- Wang, G.; Li, W.; Ourselin, S.; Vercauteren, T. Automatic Brain Tumor Segmentation Using Convolutional Neural Networks with Test-Time Augmentation. In Brainlesion: Glioma, Multiple Sclerosis, Stroke and Traumatic Brain Injuries; Crimi, A., Bakas, S., Kuijf, H., Keyvan, F., Reyes, M., van Walsum, T., Eds.; Springer International Publishing: Cham, Switzerland, 2019; pp. 61–72. [Google Scholar] [CrossRef]
- Chen, C.; Qin, C.; Qiu, H.; Tarroni, G.; Duan, J.; Bai, W.; Rueckert, D. Deep Learning for Cardiac Image Segmentation: A Review. Front. Cardiovasc. Med. 2020, 7, 25. [Google Scholar] [CrossRef] [PubMed]
- Sudre, C.H.; Li, W.; Vercauteren, T.; Ourselin, S.; Jorge Cardoso, M. Generalised Dice Overlap as a Deep Learning Loss Function for Highly Unbalanced Segmentations. In Deep Learning in Medical Image Analysis and Multimodal Learning for Clinical Decision Support; Cardoso, M.J., Arbel, T., Carneiro, G., Syeda-Mahmood, T., Tavares, J.M.R.S., Moradi, M., Bradley, A., Greenspan, H., Papa, J.P., Madabhushi, A., Eds.; Springer International Publishing: Cham, Switzerland, 2017; pp. 240–248. [Google Scholar] [CrossRef]
- Yu, L.; Cheng, J.-Z.; Dou, Q.; Yang, X.; Chen, H.; Qin, J.; Heng, P.-A. Automatic 3D Cardiovascular MR Segmentation with Densely-Connected Volumetric ConvNets. In Medical Image Computing and Computer-Assisted Intervention—MICCAI 2017; Descoteaux, M., Maier-Hein, L., Franz, A., Jannin, P., Collins, D.L., Duchesne, S., Eds.; Springer International Publishing: Cham, Switzerland, 2017; pp. 287–295. [Google Scholar] [CrossRef]
- Xia, Q.; Yao, Y.; Hu, Z.; Hao, A. Automatic 3D Atrial Segmentation from GE-MRIs Using Volumetric Fully Convolutional Networks. In Statistical Atlases and Computational Models of the Heart; Atrial Segmentation and LV Quantification Challenges; Pop, M., Sermesant, M., Zhao, J., Li, S., McLeod, K., Young, A., Rhode, K., Mansi, T., Eds.; Springer International Publishing: Cham, Switzerland, 2019; pp. 211–220. [Google Scholar] [CrossRef]
- Tejani, A.S.; Klontzas, M.E.; Gatti, A.A.; Mongan, J.T.; Moy, L.; Park, S.H.; Kahn, C.E. Checklist for Artificial Intelligence in Medical Imaging (CLAIM): 2024 Update. Radiol. Artif. Intell. 2024, 6, e240300. [Google Scholar] [CrossRef] [PubMed]
- FDA. FDA Good Machine Learning Practice for Medical Device Development: Guiding Principles. Available online: https://www.fda.gov/medical-devices/software-medical-device-samd/good-machine-learning-practice-medical-device-development-guiding-principles (accessed on 26 August 2025).
- Brain MRI Segmentation. Available online: https://www.kaggle.com/datasets/mateuszbuda/lgg-mri-segmentation (accessed on 9 July 2024).
- TCGA-LGG Phenotype Research Group—The Cancer Imaging Archive (TCIA) Public Access—Cancer Imaging Archive Wiki. Available online: https://wiki.cancerimagingarchive.net/display/Public/TCGA-LGG+Phenotype+Research+Group (accessed on 9 July 2024).
- The Cancer Imaging Archive, TCGA-LGG. Available online: https://www.cancerimagingarchive.net/collection/tcga-lgg/#citations (accessed on 9 July 2024).
- Paszke, A.; Gross, S.; Massa, F.; Lerer, A.; Bradbury, J.; Chanan, G.; Killeen, T.; Lin, Z.; Gimelshein, N.; Antiga, L.; et al. PyTorch: An imperative style, high-performance deep learning library. In Proceedings of the 33rd International Conference on Neural Information Processing Systems, Vancouver, BC, Canada, 3 December 2019; Curran Associates Inc.: Red Hook, NY, USA, 2019; pp. 8026–8037. [Google Scholar]
- Oktay, O.; Schlemper, J.; Folgoc, L.L.; Lee, M.; Heinrich, M.; Misawa, K.; Rueckert, D. Attention U-Net: Learning Where to Look for the Pancreas. arXiv 2018, arXiv:1804.03999. [Google Scholar] [CrossRef]
- Kingma, D.P.; Ba, J. Adam: A Method for Stochastic Optimization. arXiv 2014, arXiv:1412.6980. [Google Scholar] [CrossRef]
- Ruder, S. An overview of gradient descent optimization algorithms. arXiv 2017, arXiv:1609.04747. [Google Scholar] [CrossRef]
- Abraham, N.; Khan, N.M. A Novel Focal Tversky loss function with improved Attention U-Net for lesion segmentation. arXiv 2018, arXiv:1810.07842. [Google Scholar] [CrossRef]
- Vossough, A.; Khalili, N.; Familiar, A.M.; Gandhi, D.; Viswanathan, K.; Tu, W.; Haldar, D.; Bagheri, S.; Anderson, H.; Haldar, S.; et al. Training and Comparison of nnU-Net and DeepMedic Methods for Autosegmentation of Pediatric Brain Tumors. AJNR Am. J. Neuroradiol. 2024, 45, 1081–1089. [Google Scholar] [CrossRef]
- Matta, S.; Lamard, M.; Zhang, P.; Le Guilcher, A.; Borderie, L.; Cochener, B.; Quellec, G. A systematic review of generalization research in medical image classification. Comput. Biol. Med. 2024, 183, 109256. [Google Scholar] [CrossRef]























| Reference ID | Type/Architecture | Metrics | Limitations |
|---|---|---|---|
| [21] | Post-Processing Mechanisms LIME Library/image explainer ResNet50V2 | Accuracy, Precision, Recall, F1-Score | Reliant on initial segmentation quality |
| [22] | Segmentation U-Net | IoU, Dice | Heavy data augmentation, Can lead to slice-wise inconsistencies |
| [25] | Segmentation Few-Shot U-Net | Accuracy, Precision, Recall, F1-Score, IoU | Data dependency |
| [26] | Transfer learning 3D COVID-19 CT segmentation | Accuracy, Precision, Recall, F1-Score | Domain shift, Limited data, Limited zero-shot transfer |
| [27] | Segmentation U-Net | Dice, IoU, Sensitivity, Positive Predicted Value | Further study with 3D segmentation needed |
| [28] | Classification DenseNet | Accuracy | High computational cost and inference time |
| [29] | Classification Inception-ResNet-v2 | Precision, Recall | Trade-off between recall and precision |
| [30] | Classification Hybrid AlexNet–SVM | Accuracy, Precision, Recall | Computational complexity |
| [32] | Segmentation UNet-VGG16 | Accuracy, Dice | Optimal epoch not decided for optimal computing time |
| [33] | Segmentation E1D3 U-Net | Dice, Hausdorff Distance | Generalization to raw clinical MRI or other tumor types is not proven |
| [34] | Segmentation Edge U-Net | IoU, Dice | Precomputed edge maps |
| [35] | Segmentation 3D CNN and CRF | Dice | CRF tuning, Higher compute |
| [36] | Segmentation Fuzzy Clustering and PSO | Dice, Accuracy | Parameter-sensitive |
| [37] | Segmentation Fuzzy Clustering and Active Contour | Dice, Hausdorff Distance, Jaccard Index, Accuracy | Limited scalability |
| Set | Class | Labels | Samples Count | Proportion |
|---|---|---|---|---|
| Train | Tumor | 961 | 2750 | 69.99% |
| Normal | 1789 | |||
| Val | Tumor | 288 | 825 | 21.00% |
| Normal | 537 | |||
| Test | Tumor | 124 | 354 | 9.01% |
| Normal | 230 |
| Set | Patients | Class | Labels | Samples Count | Proportion |
|---|---|---|---|---|---|
| Train | 79 | Tumor | 991 | 2828 | 71.98% |
| Normal | 1837 | ||||
| Val | 20 | Tumor | 256 | 708 | 18.02% |
| Normal | 452 | ||||
| Test | 11 | Tumor | 126 | 393 | 10.00% |
| Normal | 267 |
| Architecture | Loss | Accuracy | Precision | Recall | F1-Score | IoU | AUC | Epoch |
|---|---|---|---|---|---|---|---|---|
| U-Net | Dice | 0.9978 | 0.9182 | 0.8803 | 0.8974 | 0.8166 | 0.9473 | 97 |
| U-Net | DiceBCE | 0.9754 | 0.9103 | 0.8933 | 0.9006 | 0.8214 | 0.9753 | 71 |
| U-Net | Focal | 0.9732 | 0.8777 | 0.9248 | 0.8989 | 0.8194 | 0.9688 | 94 |
| Attention U-Net 1 | Dice | 0.9981 | 0.9195 | 0.8968 | 0.9071 | 0.8319 | 0.9536 | 71 |
| Attention U-Net 2 | Dice | 0.9704 | 0.8576 | 0.8905 | 0.8739 | 0.7739 | 0.9341 | 79 |
| Attention U-Net | DiceBCE | 0.9979 | 0.8997 | 0.9071 | 0.9021 | 0.8239 | 0.9778 | 77 |
| Attention U-Net | Focal | 0.9568 | 0.8933 | 0.9080 | 0.8988 | 0.8187 | 0.9614 | 97 |
| Architecture | Loss | Accuracy | Precision | Recall | F1-Score | IoU | AUC | Epoch |
|---|---|---|---|---|---|---|---|---|
| U-Net | Dice | 0.9927 | 0.8853 | 0.8863 | 0.8858 | 0.8187 | 0.9518 | 82 |
| U-Net | DiceBCE | 0.9746 | 0.8956 | 0.9078 | 0.9017 | 0.8348 | 0.9636 | 70 |
| U-Net | Focal | 0.9741 | 0.8985 | 0.9166 | 0.9075 | 0.8173 | 0.9743 | 96 |
| Attention U-Net 3 | Dice | 0.9978 | 0.9201 | 0.9187 | 0.9194 | 0.8573 | 0.9674 | 76 |
| Attention U-Net 4 | Dice | 0.9731 | 0.8428 | 0.9002 | 0.8704 | 0.7692 | 0.9412 | 70 |
| Attention U-Net | DiceBCE | 0.9815 | 0.9003 | 0.8999 | 0.9001 | 0.8227 | 0.9744 | 74 |
| Attention U-Net | Focal | 0.9756 | 0.8917 | 0.9072 | 0.8994 | 0.8201 | 0.9611 | 97 |
| Case Type | Figure Reference | Observation | Representative IoU Values |
|---|---|---|---|
| Softmax vs Sigmoid | Figure 12 | Softmax detects small lesions missed by sigmoid; prevents false positives in tumor-free slices | 0.615 vs. 0.000; 0.779 vs. 0.505 |
| Accurate segmentation | Figure 13 | Predicted masks closely follow tumor boundaries and details | 0.946, 0.940, 0.892 |
| Inaccurate segmentation | Figure 14 | Fragmented or under-segmented predictions, especially for complex tumor morphologies | 0.599, 0.598, 0.378 |
| mIoU Before Refinement | mIoU After Raw Refinement | mIoU After Refinement with Ending |
|---|---|---|
| 0.799 | 0.761 | 0.812 |
| mIoU Before Refinement | mIoU After Raw Refinement (1.5%) | mIoU After Raw Refinement (0.3%) | mIoU After Refinement with Ending (0.3%) |
|---|---|---|---|
| 0.914 | 0.355 | 0.411 | 0.956 |
| Refinement Strategy | mIoU Before Refinement | Threshold Percentage | mIoU After Refinement | Number of Improved Patients |
|---|---|---|---|---|
| Ambiguous Removal | 0.815 | 3% | 0.610 | 9 |
| 2.5% | 0.647 | 10 | ||
| 2% | 0.687 | 12 | ||
| 1.5% | 0.727 | 18 | ||
| 1% | 0.769 | 25 | ||
| 0.5% | 0.803 | 38 | ||
| 0.3% | 0.816 (3) | 56 | ||
| 0.2% | 0.825 (2) | 61 | ||
| 0.1% | 0.832 (1) | 67 | ||
| Ambiguous Addition | 0.815 | 3% | 0.586 | 7 |
| 2.5% | 0.622 | 9 | ||
| 2% | 0.660 | 9 | ||
| 1.5% | 0.702 | 10 | ||
| 1% | 0.745 | 11 | ||
| 0.5% | 0.784 | 19 | ||
| 0.3% | 0.795 | 26 | ||
| 0.2% | 0.800 | 28 | ||
| 0.1% | 0.804 | 32 |
Disclaimer/Publisher’s Note: The statements, opinions and data contained in all publications are solely those of the individual author(s) and contributor(s) and not of MDPI and/or the editor(s). MDPI and/or the editor(s) disclaim responsibility for any injury to people or property resulting from any ideas, methods, instructions or products referred to in the content. |
© 2025 by the authors. Licensee MDPI, Basel, Switzerland. This article is an open access article distributed under the terms and conditions of the Creative Commons Attribution (CC BY) license (https://creativecommons.org/licenses/by/4.0/).
Share and Cite
Christakakis, P.; Protopapadakis, E. Post-Heuristic Cancer Segmentation Refinement over MRI Images and Deep Learning Models. AI 2025, 6, 212. https://doi.org/10.3390/ai6090212
Christakakis P, Protopapadakis E. Post-Heuristic Cancer Segmentation Refinement over MRI Images and Deep Learning Models. AI. 2025; 6(9):212. https://doi.org/10.3390/ai6090212
Chicago/Turabian StyleChristakakis, Panagiotis, and Eftychios Protopapadakis. 2025. "Post-Heuristic Cancer Segmentation Refinement over MRI Images and Deep Learning Models" AI 6, no. 9: 212. https://doi.org/10.3390/ai6090212
APA StyleChristakakis, P., & Protopapadakis, E. (2025). Post-Heuristic Cancer Segmentation Refinement over MRI Images and Deep Learning Models. AI, 6(9), 212. https://doi.org/10.3390/ai6090212
