From Language Models to Medical Diagnoses: Assessing the Potential of GPT-4 and GPT-3.5-Turbo in Digital Health
Abstract
1. Research in Context
1.1. Evidence Before This Study
1.2. Added Value of This Study
1.3. Implications of All the Available Evidence
2. Introduction
3. Methods
3.1. Study Design
3.2. Sampling of Exam Questions
3.3. Prompting
- -
- English: “You are a medical expert (professor at a prominent US university hospital) tasked with determining the most likely diagnosis based on patient histories. Answer only in this format: <List of 3 diagnoses, the most probable first>”.
- -
- German: “Du bist ein Medizinexperte (Professor an einer renommierten medizinischen Universitätsklinik) und möchtest die wahrscheinlichste Diagnose basierend auf Patientenanamnese bestimmen. Antworte nur in diesem Format: <Liste von 3 Diagnosen, die wahrscheinlichste zuerst>”.
3.4. Concept Detection and Diagnosis Matching
3.5. Bing Search Term Similarity Evaluation
4. Statistical Analysis
Declaration of Generative AI and AI-Assisted Technologies in the Writing Process
5. Results
5.1. Matched Concepts
5.2. Correct Diagnosis in LLM Predictions
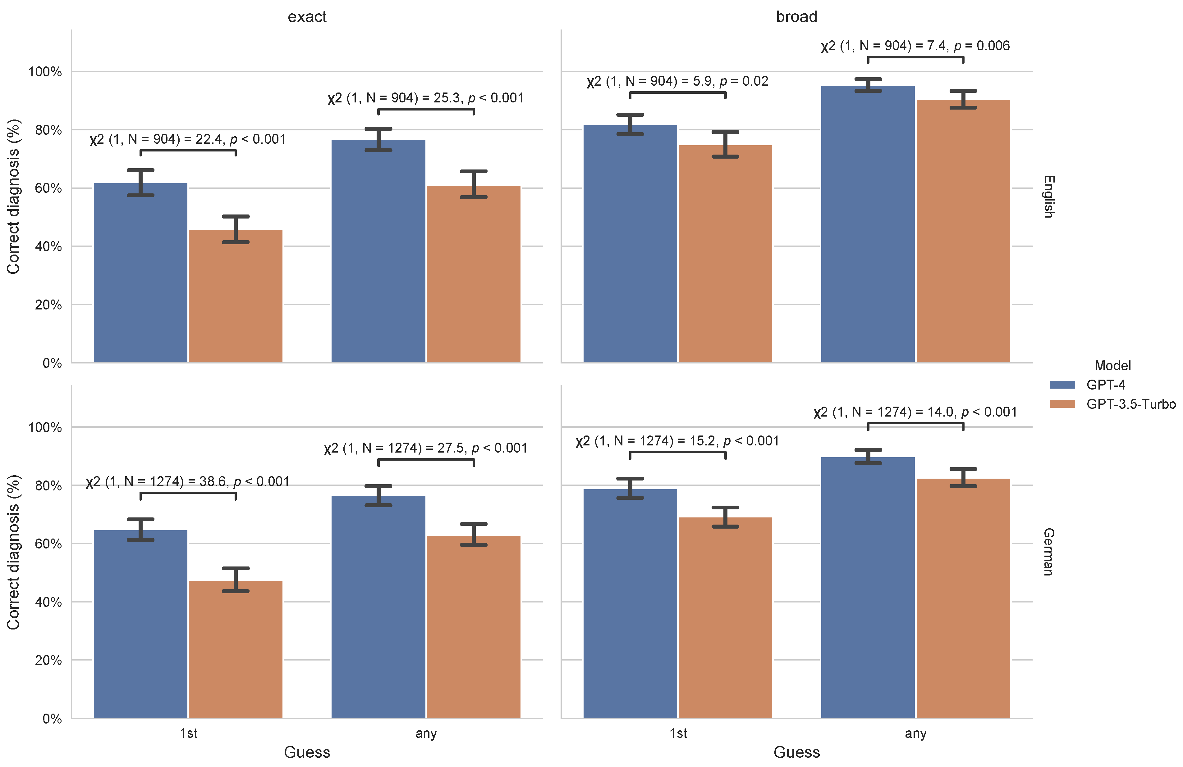
5.3. Statistical Comparisons Between LLMs
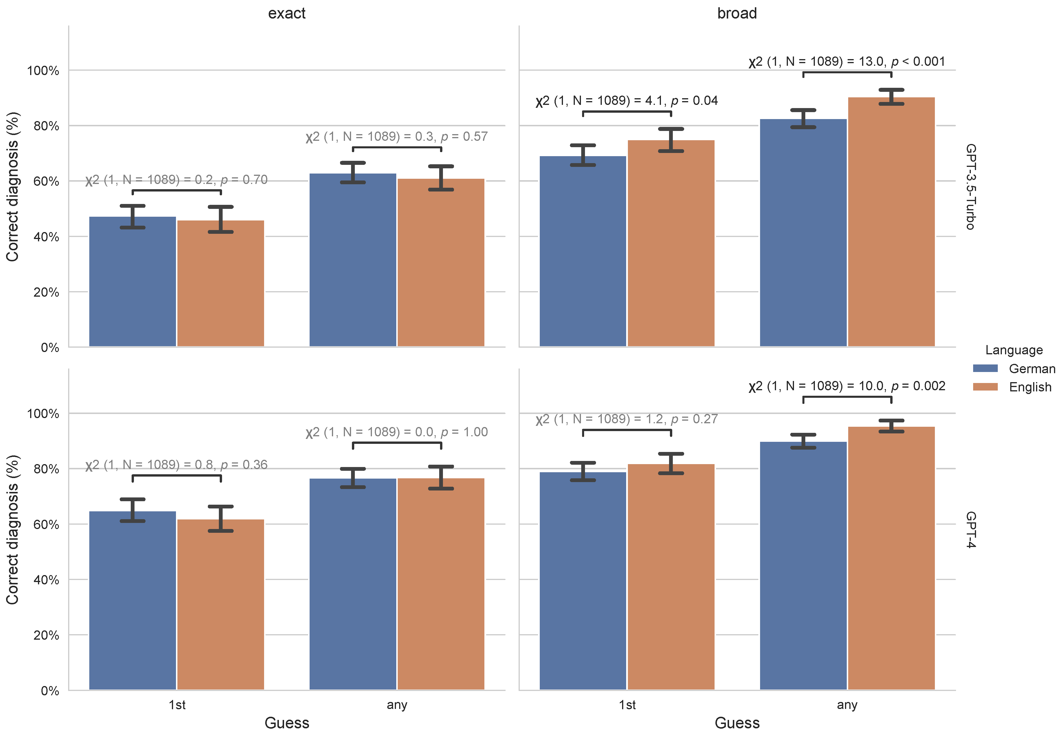
5.4. Differences Between Languages
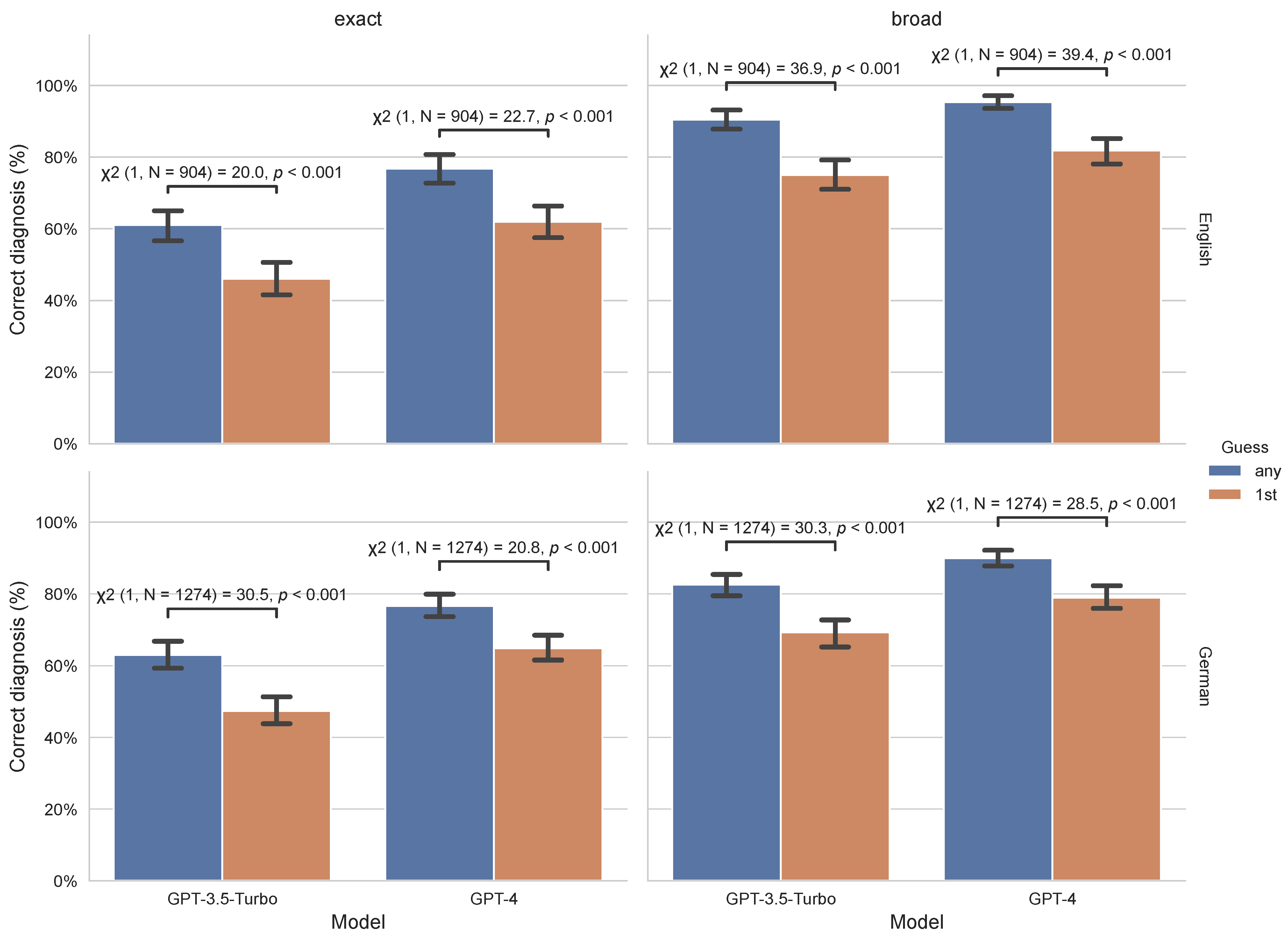
5.5. Comparative Analysis Between First Guess and Any Guess
5.6. Question Difficulty and Correct LLM Diagnoses
5.7. Bing Evaluation of GPT-4 and GPT-3.5-Turbo Results
6. Discussion
Supplementary Materials
Author Contributions
Funding
Institutional Review Board Statement
Informed Consent Statement
Data Availability Statement
Conflicts of Interest
References
- Sallam, M. ChatGPT Utility in Healthcare Education, Research, and Practice: Systematic Review on the Promising Perspectives and Valid Concerns. Healthcare 2023, 11, 887. [Google Scholar] [CrossRef] [PubMed]
- Cascella, M.; Montomoli, J.; Bellini, V.; Bignami, E. Evaluating the Feasibility of ChatGPT in Healthcare: An Analysis of Multiple Clinical and Research Scenarios. J. Med. Syst. 2023, 47, 33. [Google Scholar] [CrossRef]
- Kim, J.K.; Chua, M.; Rickard, M.; Lorenzo, A. ChatGPT and large language model (LLM) chatbots: The current state of acceptability and a proposal for guidelines on utilization in academic medicine. J. Pediatr. Urol. 2023, 19, 598–604. [Google Scholar] [CrossRef]
- Introducing ChatGPT. Available online: https://openai.com/blog/chatgpt (accessed on 22 June 2023).
- Timothy, M. ChatGPT with Browsing vs. ChatGPT Plugins: Which Version of ChatGPT Should You Use? MUO. 4 July 2023. Available online: https://www.makeuseof.com/which-version-of-chatgpt-should-you-use/ (accessed on 3 September 2023).
- Brown, T.B.; Mann, B.; Ryder, N.; Subbiah, M.; Kaplan, J.; Dhariwal, P.; Amodei, D. Language Models are Few-Shot Learners. 2020. Available online: https://arxiv.org/abs/2005.14165 (accessed on 22 June 2023).
- Learnprompt.org. Know the Difference—Chat GPT 3.5 vs GPT 4 [UPDATED]. LearnPrompt.Org. 2023. Available online: https://www.learnprompt.org/chat-gpt-3-vs-gpt-4/ (accessed on 3 September 2023).
- Confirmed: The New Bing Runs on OpenAI’s GPT-4. 14 March 2023. Available online: https://blogs.bing.com/search/march_2023/Confirmed-the-new-Bing-runs-on-OpenAI’s-GPT-4/ (accessed on 11 September 2023).
- Kung, T.H.; Cheatham, M.; Medenilla, A.; Sillos, C.; De Leon, L.; Elepaño, C.; Madriaga, M.; Aggabao, R.; Diaz-Candido, G.; Maningo, J.; et al. Performance of ChatGPT on USMLE: Potential for AI-assisted medical education using large language models. PLoS Digit. Health 2023, 2, e0000198. [Google Scholar] [CrossRef] [PubMed]
- Ärzteblatt, D.Ä.G. Redaktion Deutsches ChatGPT Passes German State Examination in Medicine with Picture Questions Omitted (30 May 2023). Deutsches Ärzteblatt. Available online: https://www.aerzteblatt.de/int/archive/article?id=231006 (accessed on 3 September 2023).
- Ali, R.; Tang, O.Y.; Connolly, I.D.; Sullivan, P.L.Z.; Shin, J.H.; Fridley, J.S.; Asaad, W.F.; Cielo, D.; Oyelese, A.A.; Doberstein, C.E.; et al. Performance of ChatGPT and GPT-4 on Neurosurgery Written Board Examinations. Neurosurgery 2023, 93, 1353–1365. [Google Scholar] [CrossRef] [PubMed]
- Friederichs, H.; Friederichs, W.J.; März, M. ChatGPT in medical school: How successful is AI in progress testing? Med. Educ. Online 2023, 28, 2220920. [Google Scholar] [CrossRef] [PubMed]
- Medizin-www.impp.de. Available online: https://www.impp.de/pruefungen/medizin.html (accessed on 3 September 2023).
- Step 3 Exam Content|USMLE. Available online: https://www.usmle.org/step-exams/step-3/step-3-exam-content (accessed on 3 September 2023).
- Strong, E.; DiGiammarino, A.; Weng, Y.; Kumar, A.; Hosamani, P.; Hom, J.; Chen, J.H. Chatbot vs Medical Student Performance on Free-Response Clinical Reasoning Examinations. JAMA Intern. Med. 2023, 183, 1028–1030. [Google Scholar] [CrossRef] [PubMed]
- Long, C.; Lowe, K.; Santos, A.D.; Zhang, J.; Alanazi, A.; O’Brien, D.; Wright, E.; Cote, D. Evaluating ChatGPT-4 in Otolaryngology–Head and Neck Surgery Board Examination using the CVSA Model. MedRxiv 2023. [Google Scholar] [CrossRef]
- TrueHealth|Free Online Digital Clinic. Available online: https://www.truehealthapp.com/ (accessed on 3 September 2023).
- What Is Google Health?—Google Health. Available online: https://health.google/ (accessed on 3 September 2023).
- Health. Powered by Ada. Available online: https://ada.com/ (accessed on 3 September 2023).
- Rubeis, G.; Dubbala, K.; Metzler, I. “Democratizing” artificial intelligence in medicine and healthcare: Mapping the uses of an elusive term. Front. Genet. 2022, 13, 902542. [Google Scholar] [CrossRef]
- Roth, P.H.; Bruni, T. Participation, Empowerment, and Evidence in the Current Discourse on Personalized Medicine: A Critique of “Democratizing Healthcare”. Sci. Technol. Hum. Values 2022, 47, 1033–1056. Available online: https://journals.sagepub.com/doi/abs/10.1177/01622439211023568 (accessed on 3 September 2023). [CrossRef]
- Grishman, R.; Sundheim, B. Message Understanding Conference-6: A brief history. In Proceedings of the 16th Conference on Computational Linguistics, Kiev, Ukraine, 21–23 April 2021; Association for Computational Linguistics: Monroe County, PA, USA, 1996; pp. 466–471. [Google Scholar] [CrossRef]
- Zhang, S.; Cheng, H.; Gao, J.; Poon, H. Optimizing Bi-Encoder for Named Entity Recognition via Contrastive Learning. arXiv 2023. Available online: http://arxiv.org/abs/2208.14565 (accessed on 3 September 2023).
- Zhang, S.; Cheng, H.; Vashishth, S.; Wong, C.; Xiao, J.; Liu, X.; Naumann, T.; Gao, J.; Poon, H. Knowledge-Rich Self-Supervision for Biomedical Entity Linking. In Findings of the Association for Computational Linguistics: EMNLP 2022; Association for Computational Linguistics: Monroe County, PA, USA, 2022; pp. 868–880. [Google Scholar] [CrossRef]
- ChatGPT—Release Notes|OpenAI Help Center. Available online: https://help.openai.com/en/articles/6825453-chatgpt-release-notes (accessed on 3 September 2023).
- Medizinwissen, Auf Das Man Sich Verlassen Kann|AMBOSS. Available online: https://www.amboss.com/de (accessed on 3 September 2023).
- Roos, J.; Kasapovic, A.; Jansen, T.; Kaczmarczyk, R. Artificial Intelligence in Medical Education: Comparative Analysis of ChatGPT, Bing, and Medical Students in Germany. JMIR Med. Educ. 2023, 9, e46482. [Google Scholar] [CrossRef] [PubMed]
- Schultebraucks, K.; Chang, B.P. The opportunities and challenges of machine learning in the acute care setting for precision prevention of posttraumatic stress sequelae. Exp. Neurol. 2021, 336, 113526. [Google Scholar] [CrossRef] [PubMed]
- Levine, D.M.; Tuwani, R.; Kompa, B.; Varma, A.; Finlayson, S.G.; Mehrotra, A.; Beam, A. The Diagnostic and Triage Accuracy of the GPT-3 Artificial Intelligence Model. medRxiv 2023. [Google Scholar] [CrossRef]
- Hirosawa, T.; Harada, Y.; Yokose, M.; Sakamoto, T.; Kawamura, R.; Shimizu, T. Diagnostic Accuracy of Differential-Diagnosis Lists Generated by Generative Pretrained Transformer 3 Chatbot for Clinical Vignettes with Common Chief Complaints: A Pilot Study. Int. J. Environ. Res. Public Health 2023, 20, 3378. [Google Scholar] [CrossRef] [PubMed]
- Zheng, R.; Dou, S.; Gao, S.; Hua, Y.; Shen, W.; Wang, B.; Liu, Y.; Jin, S.; Liu, Q.; Zhou, Y.; et al. Secrets of RLHF in Large Language Models Part I: PPO. arXiv 2023. [Google Scholar] [CrossRef]
- GPT-4. Available online: https://openai.com/research/gpt-4 (accessed on 3 September 2023).
- He, J.; Baxter, S.L.; Xu, J.; Xu, J.; Zhou, X.; Zhang, K. The practical implementation of artificial intelligence technologies in medicine. Nat. Med. 2019, 25, 30–36. [Google Scholar] [CrossRef]
- Introducing ChatGPT Enterprise. Available online: https://openai.com/blog/introducing-chatgpt-enterprise (accessed on 3 September 2023).
- Schnack, H.; Uthoff, S.A.K.; Ansmann, L. The perceived impact of physician shortages on human resource strategies in German hospitals—A resource dependency perspective. J. Health Organ. Manag. 2022, 36, 196–211. [Google Scholar] [CrossRef]
- Winter, V.; Schreyögg, J.; Thiel, A. Hospital staff shortages: Environmental and organizational determinants and implications for patient satisfaction. Health Policy 2020, 124, 380–388. [Google Scholar] [CrossRef]
- Karches, K.E. Against the iDoctor: Why artificial intelligence should not replace physician judgment. Theor. Med. Bioeth. 2018, 39, 91–110. [Google Scholar] [CrossRef]
- Gala, D.; Makaryus, A.N. The Utility of Language Models in Cardiology: A Narrative Review of the Benefits and Concerns of ChatGPT-4. Int. J. Environ. Res. Public. Health 2023, 20, 6438. [Google Scholar] [CrossRef] [PubMed]
- Bianchi, D.W. The power of human touch in the era of artificial intelligence. Pediatr. Res. 2019, 86, 670–671. [Google Scholar] [CrossRef] [PubMed]
- Shuaib, A.; Arian, H.; Shuaib, A. The Increasing Role of Artificial Intelligence in Health Care: Will Robots Replace Doctors in the Future? Int. J. Gen. Med. 2020, 13, 891–896. [Google Scholar] [CrossRef] [PubMed]
- Aminololama-Shakeri, S.; López, J.E. The Doctor-Patient Relationship with Artificial Intelligence. Am. J. Roentgenol. 2019, 212, 308–310. [Google Scholar] [CrossRef]
- Wang, S.; Sun, X.; Li, X.; Ouyang, R.; Wu, F.; Zhang, T.; Li, J.; Wang, G. GPT-NER: Named Entity Recognition via Large Language Models. arXiv 2023. [Google Scholar] [CrossRef]
- Zhou, W.; Zhang, S.; Gu, Y.; Chen, M.; Poon, H. Universal NER: Targeted Distillation from Large Language Models for Open Named Entity Recognition. arXiv 2023. [Google Scholar] [CrossRef]




| Percentage of Correct Answers for Each Difficulty Category | Spearman | |||||||||
|---|---|---|---|---|---|---|---|---|---|---|
| Language | Metric | Model | Guess | Very Easy | Easy | Intermediate | Difficult | Very Difficult | r | p |
| English N = 452 df = 450 | broad | GPT-3.5-Turbo | 1st | 77.1 | 74.5 | 72.2 | 78 | 73.7 | −0.02 | 0.68 |
| any | 91.5 | 89.2 | 91.7 | 92 | 84.2 | −0.01 | 0.87 | |||
| GPT-4 | 1st | 83.1 | 80.3 | 83.3 | 84 | 73.7 | −0.01 | 0.89 | ||
| any | 94.9 | 93.6 | 99.1 | 96 | 89.5 | 0.03 | 0.48 | |||
| exact | GPT-3.5-Turbo | 1st | 47.5 | 45.2 | 43.5 | 50 | 47.4 | 0 | 0.94 | |
| any | 66.1 | 56.7 | 59.3 | 66 | 63.2 | −0.02 | 0.73 | |||
| GPT-4 | 1st | 68.6 | 55.4 | 67.6 | 58 | 52.6 | −0.04 | 0.38 | ||
| any | 79.7 | 68.8 | 83.3 | 82 | 73.7 | 0.04 | 0.44 | |||
| N (%) | 118 (26.1%) | 157 (34.7%) | 108 (23.9%) | 50 (11.1%) | 19 (4.2%) | −0.01 | 0.72 | |||
| German N = 637 df = 635 | broad | GPT-3.5-Turbo | 1st | 72 | 66.8 | 71.4 | 62.9 | 70 | −0.03 | 0.45 |
| any | 84.5 | 80.3 | 85.1 | 80.6 | 75 | −0.02 | 0.60 | |||
| GPT-4 | 1st | 78.8 | 82.7 | 77.3 | 75.8 | 65 | −0.04 | 0.30 | ||
| any | 91.7 | 90.4 | 89.6 | 90.3 | 70 | −0.06 | 0.13 | |||
| exact | GPT-3.5-Turbo | 1st | 56 | 46.2 | 46.8 | 30.6 | 35 | −0.13 | <0.001 | |
| any | 68.4 | 60.6 | 66.9 | 48.4 | 50 | −0.08 | 0.04 | |||
| GPT-4 | 1st | 68.4 | 69.2 | 62.3 | 51.6 | 45 | −0.11 | 0.007 | ||
| any | 77.2 | 79.3 | 76.6 | 71 | 60 | −0.05 | 0.22 | |||
| N (%) | 193 (30.3%) | 208 (32.7%) | 154 (24.2%) | 62 (9.7%) | 20 (3.1%) | −0.06 | <0.001 | |||
| Metric | Exact Matches | Approximate Matches |
|---|---|---|
| Accuracy | 0.79 | 0.79 |
| Sensitivity | 0.74 | 0.83 |
| Specificity | 0.86 | 0.64 |
| Positive Predictive Value (PPV) | 0.90 | 0.92 |
| Negative Predictive Value (NPV) | 0.67 | 0.44 |
Disclaimer/Publisher’s Note: The statements, opinions and data contained in all publications are solely those of the individual author(s) and contributor(s) and not of MDPI and/or the editor(s). MDPI and/or the editor(s) disclaim responsibility for any injury to people or property resulting from any ideas, methods, instructions or products referred to in the content. |
© 2024 by the authors. Licensee MDPI, Basel, Switzerland. This article is an open access article distributed under the terms and conditions of the Creative Commons Attribution (CC BY) license (https://creativecommons.org/licenses/by/4.0/).
Share and Cite
Roos, J.; Wilhelm, T.I.; Martin, R.; Kaczmarczyk, R. From Language Models to Medical Diagnoses: Assessing the Potential of GPT-4 and GPT-3.5-Turbo in Digital Health. AI 2024, 5, 2680-2692. https://doi.org/10.3390/ai5040128
Roos J, Wilhelm TI, Martin R, Kaczmarczyk R. From Language Models to Medical Diagnoses: Assessing the Potential of GPT-4 and GPT-3.5-Turbo in Digital Health. AI. 2024; 5(4):2680-2692. https://doi.org/10.3390/ai5040128
Chicago/Turabian StyleRoos, Jonas, Theresa Isabelle Wilhelm, Ron Martin, and Robert Kaczmarczyk. 2024. "From Language Models to Medical Diagnoses: Assessing the Potential of GPT-4 and GPT-3.5-Turbo in Digital Health" AI 5, no. 4: 2680-2692. https://doi.org/10.3390/ai5040128
APA StyleRoos, J., Wilhelm, T. I., Martin, R., & Kaczmarczyk, R. (2024). From Language Models to Medical Diagnoses: Assessing the Potential of GPT-4 and GPT-3.5-Turbo in Digital Health. AI, 5(4), 2680-2692. https://doi.org/10.3390/ai5040128

