Temporal Variations in Wave Systems in a Multimodal Sea State in the Coastal Waters of the Eastern Arabian Sea
Abstract
1. Introduction
2. Materials and Methods
- If the spread of either peak (δf2) satisfied the peak separation criterion f2 ≤ k δf2, then the two peaks were combined. The value of the spread factor (k) was taken as 0.4.
- If the squared distance between the two swell peaks was less than (6 × df)2, then the directional separation between the two peaks was less than 90°. Here ‘df’ is the difference between the frequencies of the two swell peaks.
- Only the partitions above the noise level and those with peak frequencies below 0.58 Hz were selected.
- The remaining partitions that did not have a valley between them were merged.
3. Results and Discussion
3.1. Variations in the Monthly Averaged Wave Spectra
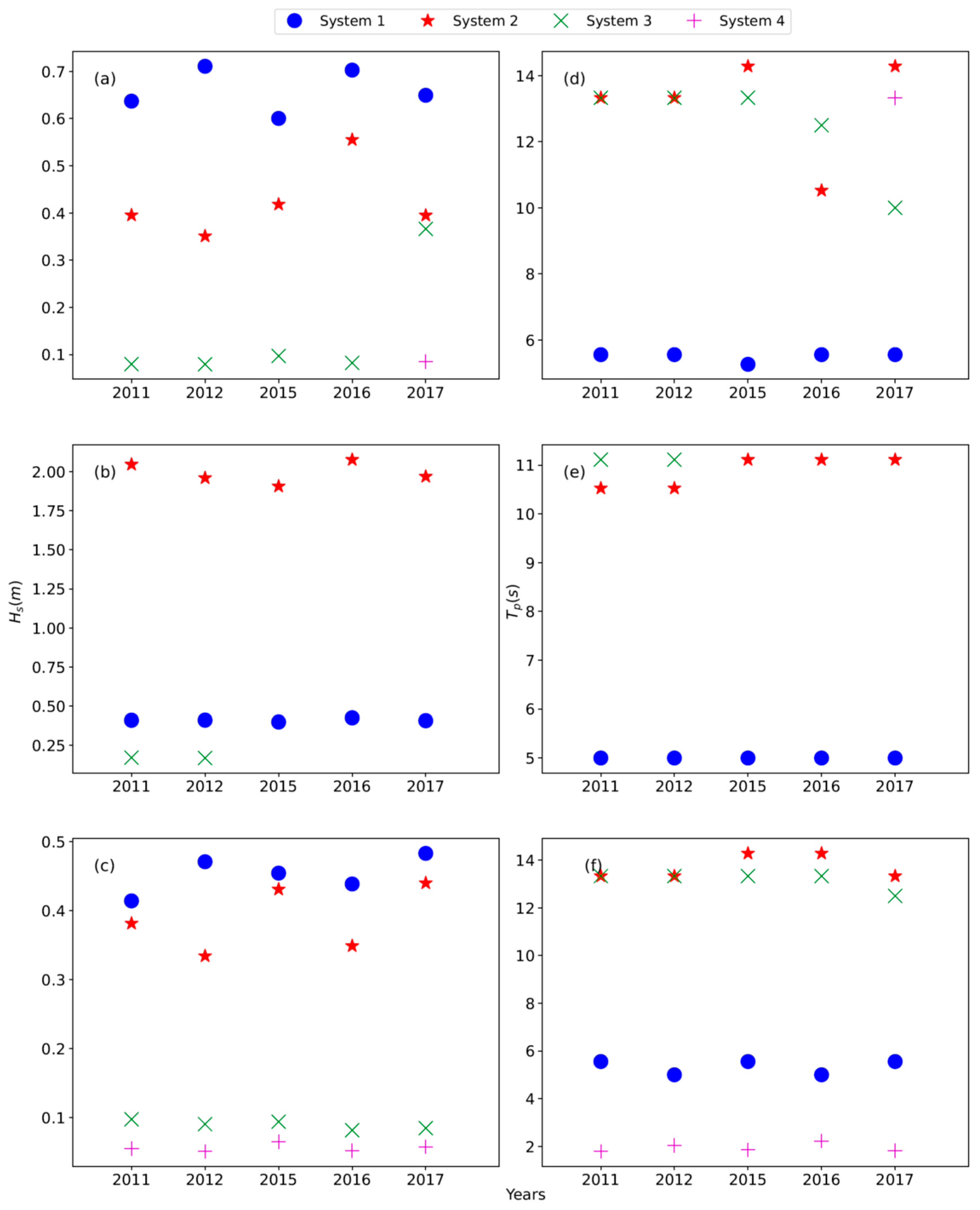
3.2. Interannual Variation in System-Wise Significant Wave Height
3.3. Interannual Variation in System-Wise Peak Wave Period
3.4. Interannual Variation in the Seasonally Averaged Wave Spectrum
3.5. Spatial Variation in Wave Systems Along the Eastern Arabian Sea
4. Discussion
5. Concluding Remarks
Supplementary Materials
Author Contributions
Funding
Data Availability Statement
Acknowledgments
Conflicts of Interest
References
- Munk, W.H. Origin and Generation of Waves; Technical Report; Scripps Institution of Oceanography: La Jolla, CA, USA, 1951. [Google Scholar]
- Munk, W.H.; Miller, G.R.; Snodgrass, F.E.; Barber, N.F. Directional recording of swell from distant storms. Philos. Trans. R. Soc. Lond. A 1963, 255, 505–584. [Google Scholar] [CrossRef] [PubMed]
- Sverdrup, H.; Munk, W. Wind, Sea and Swell: Theory of Relations for Forecasting; Publ. Tech. Rep. No. 601. Scripps Institution of Oceanography: La Jolla, CA, USA, 1947. Available online: https://www.biodiversitylibrary.org/page/26779390 (accessed on 6 August 2025).
- Young, I.R.; Zieger, S.; Babanin, A.V. Global trends in wind speed and wave height. Science 2011, 332, 451–455. [Google Scholar] [CrossRef]
- Jiang, H. Wave Climate Patterns from Spatial Tracking of Global Long-Term Ocean Wave Spectra. J. Clim. 2020, 33, 3381–3393. [Google Scholar] [CrossRef]
- Wingfield, D.K.; Storlazzi, C.D. Spatial and temporal variability in oceanographic and meteorologic forcing along Central California and its implications on nearshore processes. J. Mar. Syst. 2007, 68, 457–472. [Google Scholar] [CrossRef]
- Portilla-Yandún, J. The World Ocean Wave Fields Discerned From ERA-Interim Spectra. J. Geophys. Res. Oceans 2022, 127, e2022JC018775. [Google Scholar] [CrossRef]
- Portilla, J.; Ocampo-Torres, F.J.; Monbaliu, J. Spectral Partitioning and Identification of Wind Sea and Swell. J. Atmos. Ocean Technol. 2009, 26, 107–122. [Google Scholar] [CrossRef]
- Hegermiller, C.A.; Antolinez, J.A.A.; Rueda, A.; Camus, P.; Pérez, J.; Erikson, L.H.; Barnard, P.L.; Méndez, F.J. A Multimodal Wave Spectrum–Based Approach for Statistical Downscaling of Local Wave Climate. J. Phys. Oceanogr. 2017, 47, 375–386. [Google Scholar] [CrossRef]
- Longuet-Higgins, M.S. Mass transport in water waves. Philos. Trans. R. Soc. Lond. A 1953, 245, 535–581. [Google Scholar] [CrossRef]
- Antolinez, J.A.A.; Hoogervorst, C.D.; Portilla, J. Sediment transport driven by multimodal nearshore wind-waves in the Dutch shoreface. Coastal Sediments 2023, 1833–1838. [Google Scholar]
- Wu, L.; Sahlée, E.; Nilsson, E.; Rutgersson, A. A review of surface swell waves and their role in air–sea interactions. Ocean Model. 2024, 190, 102397. [Google Scholar] [CrossRef]
- Chen, G.B.; Chapron, R.; Ezraty, D.; Vandemark, D. A global view of swell and wind sea climate in the ocean by satellite altimeter and scatterometer. J. Atmos. Ocean. Technol. 2002, 19, 1849–1859. [Google Scholar] [CrossRef]
- Semedo, A.; Sušelj, K.; Rutgersson, A.; Sterl, A. A global view on the wind sea and swell climate and variability from ERA-40. J. Clim. 2011, 24, 1461–1479. [Google Scholar] [CrossRef]
- Jiang, H.; Chen, G. A global view on the swell and wind sea climate by the Jason-1 Mission: A revisit. J. Atmos. Ocean. Technol. 2013, 30, 1833–1841. [Google Scholar] [CrossRef]
- Echevarria, E.R.; Hemer, M.A.; Holbrook, N.J. Seasonal variability of the global spectral wind-wave climate. J. Geophys. Res. Oceans 2019, 124, 2924–2939. [Google Scholar] [CrossRef]
- Gerling, T.W. Partitioning Sequences and Arrays of Directional Ocean Wave Spectra into Component Wave Systems. J. Atmos. Ocean. Technol. 1992, 9, 444–458. [Google Scholar] [CrossRef]
- Hasselmann, S.; Bruning, C.; Hasselmann, K.; Heimbach, P. An improved algorithm for the retrieval of ocean wave spectra from synthetic aperture radar image spectra. J. Geophys. Res. Oceans 1996, 101, 16615–16629. [Google Scholar] [CrossRef]
- Reguero, B.G.; Losada, I.J.; Méndez, F.J. A global wave power resource and its seasonal, interannual and long-term variability. Appl. Energy 2015, 148, 366–380. [Google Scholar] [CrossRef]
- Portilla, J.; Cavaleri, L.; Van Vledder, G. Wave spectra partitioning and long-term statistical distribution. Ocean Model. 2015, 96, 148–160. [Google Scholar] [CrossRef]
- Douglas, C.; Voulgaris, G. WavePart v1.1, MATLAB(r) Scripts for the Partition of 2-D Ocean Wave Spectra and Identification of Swell and Wind Wave Trains. Zenodo. Available online: https://zenodo.org/records/3495817 (accessed on 6 August 2025).
- Jiang, H.; Mu, L. Wave climate from spectra and its connections with local and remote wind climate. J. Phys. Oceanogr. 2019, 49, 543–559. [Google Scholar] [CrossRef]
- Portilla, J.; Salazar, A.; Cavaleri, L. Climate patterns derived from ocean wave spectra. Geophys. Res. Lett. 2016, 43, 11736–11743. [Google Scholar] [CrossRef]
- Zheng, Z.; Dong, G.; Ma, X.; Dong, H.; Huang, X.; Tang, M. Investigation of multimodal wave climate using spectral partitioning and wave system tracking algorithms. Ocean Model. 2024, 188, 102327. [Google Scholar] [CrossRef]
- Zheng, C.W.; Li, C.Y.; Pan, J. Propagation route and speed of swell in the Indian Ocean. J. Geophys. Res. Oceans 2018, 123, 8–21. [Google Scholar] [CrossRef]
- Sandhya, K.G.; Harikumar, R.; Francis, P.A.; Baduru, B.; Balakrishnan Nair, T.M. On the role of Sri Lankan land mass in safeguarding the southeastern coast of India from Southern Ocean swell attacks. J. Earth Syst. Sci. 2025, 134. [Google Scholar] [CrossRef]
- Sreejith, M.; Remya, P.G.; Kumar, B.P.; Raj, A.; Nair, T.M.B. Exploring the impact of southern ocean sea ice on the Indian Ocean swells. Sci. Rep. 2022, 12, 12360. [Google Scholar] [CrossRef] [PubMed]
- Lobeto, H.; Menendez, M.; Losada, I.J. The effect of climate change on wind-wave directional spectra. Glob. Planet. Change 2022, 213, 103820. [Google Scholar] [CrossRef]
- Lemos, G.; Semedo, A.; Hemer, M.; Menendez, M.; Miranda, M.A. Remote climate change propagation across the oceans—The directional swell signature. Environ. Res. Lett. 2021, 16, 064080. [Google Scholar] [CrossRef]
- Casas-Prat, M.; Hemer, M.A.; Dodet, G.; Morim, J.; Wang, X.L.; Mori, N.; Young, I.; Erikson, L.; Kamranzad, B.; Kumar, P.; et al. Wind-wave climate changes and their impacts. Nat. Rev. Earth Environ. 2024, 5, 23–42. [Google Scholar] [CrossRef]
- George, J.; Kumar, V.S. Climatology of wave period in the Arabian Sea and its variability during the recent 40 years. Ocean Eng. 2020, 216, 108014. [Google Scholar] [CrossRef]
- Findlater, J. A major low-level air current near the Indian Ocean during the northern summer. Q. J. R. Meteorol. Soc. 1969, 95, 362–380. [Google Scholar] [CrossRef]
- Aboobacker, V.M.; Vethamony, P.; Rashmi, R. “Shamal” swells in the Arabian Sea and their influence along the west coast of India. Geophys. Res. Lett. 2011, 38. [Google Scholar] [CrossRef]
- Anoop, T.R.; Shanas, P.R.; Aboobacker, V.M.; Kumar, V.S.; Nair, L.S.; Prasad, R.; Reji, S. On the generation and propagation of Makran swells in the Arabian Sea. Int. J. Climatol. 2020, 40, 585–593. [Google Scholar] [CrossRef]
- Pathak, A.; Ghosh, S.K.J.; Martínez, A.; Dominguez, F.; Kumar, P. Role of Oceanic and Land Moisture Sources and Transport in the Seasonal and Interannual Variability of Summer Monsoon in India. J. Clim. 2017, 30, 1839–1859. [Google Scholar] [CrossRef]
- Glejin, J.; Kumar, V.S.; Balakrishnan Nair, T.M.; Singh, J. Influence of winds on temporally varying short and long period gravity waves in the near shore regions of the eastern Arabian Sea. Ocean Sci. 2013, 9, 343–353. [Google Scholar] [CrossRef]
- Aboobacker, V.M.; Shanas, P.R.; Al-Ansari, E.M.A.S.; Kumar, V.S.; Vethamony, P. The maxima in northerly wind speeds and wave heights over the Arabian Sea, the Arabian/Persian Gulf and the Red Sea derived from 40 years of ERA5 data. Clim. Dyn. 2021, 56, 1037–1052. [Google Scholar] [CrossRef]
- Kumar, V.S.; Sivakrishnan, K.K. Ocean surface wave dynamics off the southern tip of Indian mainland. Dyn. Atmos. Oceans 2023, 104, 101411. [Google Scholar] [CrossRef]
- Naseef, T.M.; Kumar, V.S. Climatology and trends of the Indian Ocean surface waves based on 39-year long ERA5 reanalysis data. Int. J. Climatol. 2020, 40. [Google Scholar] [CrossRef]
- Amrutha, M.M.; Kumar, V.S. Identification of wave systems in the multimodal sea state along the Indian shelf seas. Ocean Dyn. 2021, 71, 589–600. [Google Scholar] [CrossRef]
- Nayak, S.; Bhaskaran, P.K.; Venkatesan, R.; Dasgupta, S. Modulation of local wind-waves at Kalpakkam from remote forcing effects of Southern Ocean swells. Ocean Eng. 2013, 64, 23–35. [Google Scholar] [CrossRef]
- Sabique, L.; Annapurnaiah, K.; Nair, T.M.B.; Srinivas, K. Contribution of Southern Indian Ocean swells on the wave heights in the Northern Indian Ocean: A modeling study. Ocean Eng. 2012, 43, 113–120. [Google Scholar] [CrossRef]
- Remya, P.G.; Vishnu, S.; Praveen Kumar, B.; Nair, T.M.B.; Rohith, B. Teleconnection between the North Indian Ocean high swell events and meteorological conditions over the Southern Indian Ocean. J. Geophys. Res. Oceans 2016, 121, 7476–7494. [Google Scholar] [CrossRef]
- Neetu, S.; Shetye, S.; Chandramohan, P. Impact of sea breeze on wind–seas off Goa, west coast of India. J. Earth Syst. Sci. 2006, 115, 229–234. [Google Scholar] [CrossRef]
- Nair, M.A.; Kumar, V.S. Spectral wave climatology off Ratnagiri, northeast Arabian Sea. Nat. Hazards 2016, 82, 1565–1588. [Google Scholar] [CrossRef]
- Datawell. Datawell Waverider Reference Manual; Datawell BV Oceanographic Instruments: Amsterdam, The Netherlands, 2009; p. 123. [Google Scholar]
- Hanson, J.L.; Phillips, O.M. Automated Analysis of Ocean Surface Directional Wave Spectra. J. Atmos. Ocean. Technol. 2001, 18, 277–293. [Google Scholar] [CrossRef]
- Christensen, H.H.; Röhrs, J.; Ward, B.; Fer, I.; Broström, G.; Saetra, Ø.; Breivik, Ø. Surface wave measurements using a ship-mounted ultrasonic altimeter. Methods Oceanogr. 2013, 6, 1–15. [Google Scholar] [CrossRef]








Disclaimer/Publisher’s Note: The statements, opinions and data contained in all publications are solely those of the individual author(s) and contributor(s) and not of MDPI and/or the editor(s). MDPI and/or the editor(s) disclaim responsibility for any injury to people or property resulting from any ideas, methods, instructions or products referred to in the content. |
© 2025 by the authors. Licensee MDPI, Basel, Switzerland. This article is an open access article distributed under the terms and conditions of the Creative Commons Attribution (CC BY) license (https://creativecommons.org/licenses/by/4.0/).
Share and Cite
Kalappurakal, S.K.; Puthuveetil, S.R.; Kumar, V.S. Temporal Variations in Wave Systems in a Multimodal Sea State in the Coastal Waters of the Eastern Arabian Sea. Oceans 2025, 6, 53. https://doi.org/10.3390/oceans6030053
Kalappurakal SK, Puthuveetil SR, Kumar VS. Temporal Variations in Wave Systems in a Multimodal Sea State in the Coastal Waters of the Eastern Arabian Sea. Oceans. 2025; 6(3):53. https://doi.org/10.3390/oceans6030053
Chicago/Turabian StyleKalappurakal, Sivakrishnan K., Shanas R. Puthuveetil, and V. Sanil Kumar. 2025. "Temporal Variations in Wave Systems in a Multimodal Sea State in the Coastal Waters of the Eastern Arabian Sea" Oceans 6, no. 3: 53. https://doi.org/10.3390/oceans6030053
APA StyleKalappurakal, S. K., Puthuveetil, S. R., & Kumar, V. S. (2025). Temporal Variations in Wave Systems in a Multimodal Sea State in the Coastal Waters of the Eastern Arabian Sea. Oceans, 6(3), 53. https://doi.org/10.3390/oceans6030053

