Distributed Hierarchical MPC for Consensus and Stability of Vehicle Platoons with Mixed Communication Topologies
Abstract
1. Introduction
2. Problem Formulation and Preliminaries
3. Distributed Control Strategy
3.1. Control Strategy
3.2. Algorithm
- 1.
- Initialization (k = 0):
- (1)
- At k = 0, vehicle , i = 1, ⋯, n, receives reference speed , let ϕi(xi(0),λi) be a sufficiently large value. The lead car solves Problem 1 without considering the constraint (12), transmits the optimal state to all the followers, then applies the optimal control input sequence to itself.
- (2)
- Each vehicle , i = 2, ⋯, n, receives the state from the lead car. Problem 1 is solved by replacing (12) withvehicle pi will transmit the assumed sequence to the vehicle , and the optimal control sequence will be applied to itself, where the parameter (ζi,γi) ∈ (0, 1).
- 2.
- Iteration (k = 1, ⋯):
- (1)
- Vehicle , i = 2, ⋯, n, receives the assumed state information from vehicle .
- (2)
- Solve Problem 1, where an additional constraint Equation (23) is added for the lead car:for i = 2, ⋯, n − 1for i = n, the right-hand side of the inequality (24) is replaced by .
- (3)
- Vehicle , i = 1, ⋯, n, receives the state information from vehicle , and solves Problem 1 to obtain the optimal control input, then the assumed state sequence of pi is transmitted to the vehicle , and the optimal control input is applied to itself. Let k = k + 1 go back to step 1).
4. Stability and String Stability Analysis
4.1. Recursive Feasibility Analysis
4.2. Stability Analysis
4.3. Guaranteed String Stability
5. Simulation Verification and Analysis
5.1. Comparison of Proposed Strategy and Weighted Method
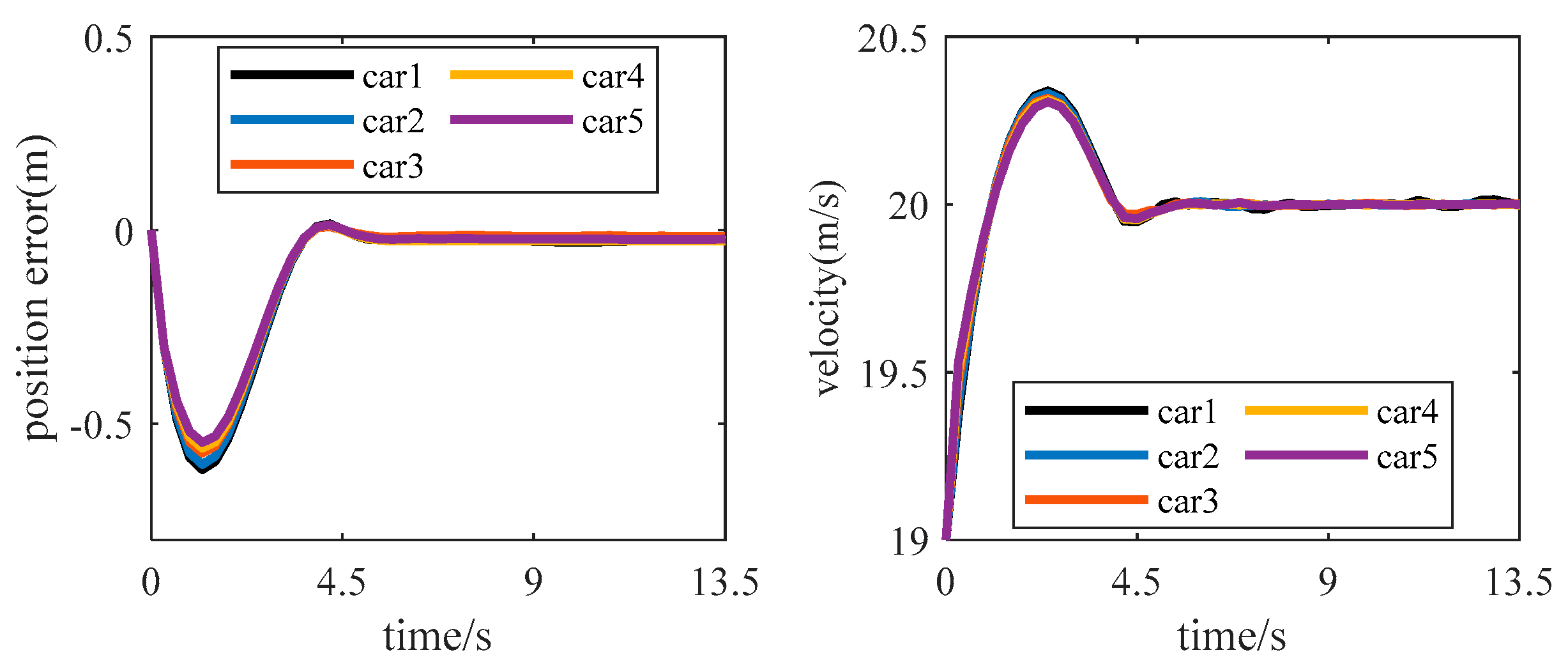
5.2. Heterogeneity Analysis
5.3. Scalability
5.4. Consensus Under Mixed Communication Topologies
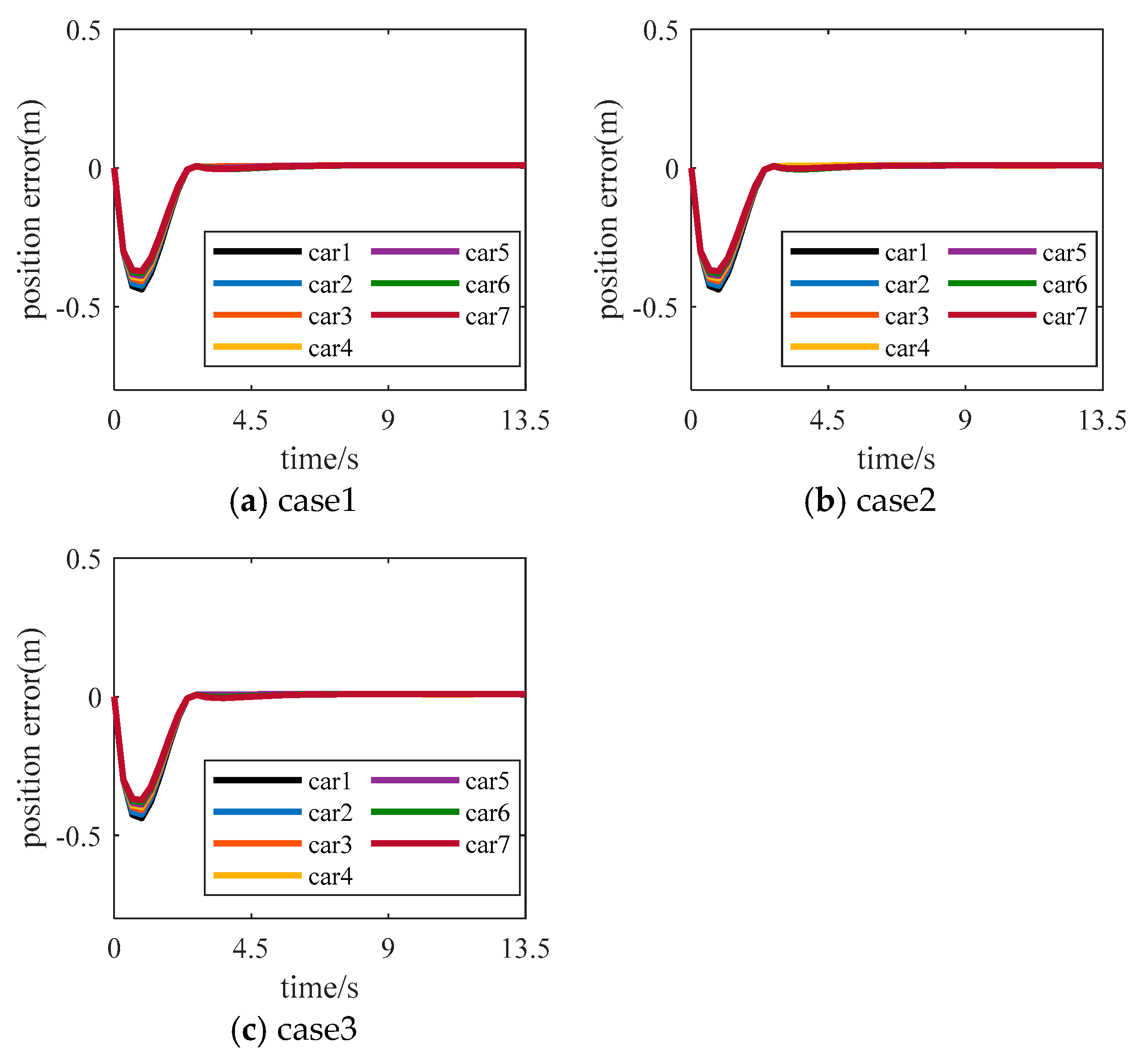
5.5. Convergence Analysis Under Different Weights
5.6. Performance Validation Under Complex Dynamic Conditions
6. Discussion
6.1. Advanced Graph Representations and Adaptive Parameter Learning
6.2. Robustness Against Communication Imperfections and Offset-Free Mechanisms
6.3. Conceptual Bridges to Federated Learning for Heterogeneous Platoons
7. Conclusions
Author Contributions
Funding
Data Availability Statement
Acknowledgments
Conflicts of Interest
Abbreviations
| MPC | Model predictive control |
| LQR | Linear quadratic regulator |
References
- Shladove, S.E.; Desoer, C.A. Auto-mated Vehicle Control Developments in the PATH Program. IEEE Trans. Veh. Technol. 1991, 40, 114–130. [Google Scholar] [CrossRef]
- Thunberg, J.; Lyamin, N.; Sjöberg, K.; Vinel, A. Vehicle-to-Vehicle Communications for Platooning: Safety Analysis. IEEE Netw. Lett. 2019, 1, 168–172. [Google Scholar] [CrossRef]
- Zhang, M.Q.; Wang, C.Y.; Zhao, W.Z.; Liu, J.; Zhang, Z. A Multi-Vehicle Self-Organized Cooperative Control Strategy for Platoon Formation in Connected Environment. IEEE Trans. Intell. Transp. Syst. 2025, 26, 4002–4008. [Google Scholar] [CrossRef]
- Zhang, P.Y.; Tian, D.X.; Zhou, J.S.; Duan, X.; Sheng, Z.; Zhao, D.; Cao, D. Joint Optimization of Platoon Control and Resource Scheduling in Cooperative Vehicle-Infrastructure System. IEEE Trans. Intell. Veh. 2023, 8, 3629–3646. [Google Scholar] [CrossRef]
- Du, G.D.; Zou, Y.; Zhang, X.D.; Fan, J.; Sun, W.; Li, Z. Efficient Motion Control for Heterogeneous Autonomous Vehicle Platoon Using Multilayer Predictive Control Framework. IEEE Internet Things J. 2024, 11, 38273–38290. [Google Scholar] [CrossRef]
- Li, H.; Li, X. Distributed Fixed-Time Consensus of Discrete-Time Heterogeneous Multi-Agent Systems via Predictive Mechanism and Lyapunov Approach. IEEE Trans. Circuits Syst. II Exp. Briefs 2024, 71, 321–325. [Google Scholar] [CrossRef]
- Wang, Q.S.; Duan, Z.S.; Lv, Y.Z.; Wang, Q.; Chen, G. Distributed Model Predictive Control for Linear-Quadratic Performance and Consensus State Optimization of Multiagent Systems. IEEE Trans. Cybern. 2021, 51, 2905–2915. [Google Scholar] [CrossRef]
- Wei, H.L.; Hu, B.B.; Wang, Y.; Lv, C. Scalable and Constrained Consensus in Multiagent Systems: Distributed Model Predictive Control-Based Approaches. IEEE Trans. Ind. Inform. 2024, 20, 5969–5978. [Google Scholar] [CrossRef]
- Zhou, J.S.; Wang, M.Q.; Tian, D.X.; Shao, Y.; Sheng, Z.; Leung, V.C.M. Joint Fuel-Efficient Vehicle Platooning and Data Transmission Scheduling for MEC-Enabled Cooperative Vehicle-Infrastructure Systems. IEEE Trans. Intell. Transp. Syst. 2025, 26, 2057–2074. [Google Scholar] [CrossRef]
- Wen, J.H.; Wang, S.; Wu, C.Z.; Xiao, X.; Lyu, N. A Longitudinal Velocity CF-MPC Model for Connected and Automated Vehicle Platooning. IEEE Trans. Intell. Transp. Syst. 2023, 24, 6463–6476. [Google Scholar] [CrossRef]
- Li, W.; Yan, S.; Shi, L.; Yue, J.; Shi, M.; Lin, B.; Qin, K. Multiagent Consensus Tracking Control Over Asynchronous Cooperation–Competition Networks. IEEE Trans. Cybern. 2025, 55, 4347–4360. [Google Scholar] [CrossRef]
- Gratzer, A.L.; Thormann, S.; Schirrer, A.; Jakubek, S. String Stable and Collision-Safe Model Predictive Platoon Control. IEEE Trans. Intell. Transp. Syst. 2022, 23, 19358–19373. [Google Scholar] [CrossRef]
- Guo, J.Z.; Guo, H.Y.; Liu, J.; Cao, D.; Chen, H. Distributed Data-Driven Predictive Control for Hybrid Connected Vehicle Platoons With Guaranteed Robustness and String Stability. IEEE Internet Things J. 2022, 9, 16308–16321. [Google Scholar] [CrossRef]
- Wang, S.Y.; Yang, X.J.; Chen, Z.; Zhang, Y.J. Distributed Nonlinear Model Predictive Control of Vehicular Platoon Orienting Practical Driving Conditions. IEEE Trans. Transp. Electrif. 2025, 11, 2684–2695. [Google Scholar] [CrossRef]
- Hu, M.J.; Li, C.K.; Bian, Y.G. Fuel Economy-Oriented Vehicle Platoon Control Using Economic Model Predictive Control. IEEE Trans. Intell. Transp. Syst. 2022, 23, 20836–20849. [Google Scholar] [CrossRef]
- Xu, Z.; Yang, Z.; Wang, D.; Wu, Z. Category-Guided Graph Convolution Network for Semantic Segmentation. IEEE Trans. Netw. Sci. Eng. 2024, 11, 6080–6089. [Google Scholar] [CrossRef]
- Xu, Z.Y.; Wang, Y.J.; Wu, Z.; Hu, C. Federated Learning-Based Offset-Free Distributed Control of Nonlinear Networked Systems With Application to IIoT. IEEE Trans. Netw. Sci. Eng. 2025, 12, 1859–1871. [Google Scholar] [CrossRef]
- Xu, Z.Y.; Wu, Z. Personalized Federated Learning-Based Distributed Model Predictive Control With Predictive Error Compensation for Nonlinear Networked Systems. IEEE Trans. Autom. Sci. Eng. 2025, 22, 20837–20853. [Google Scholar] [CrossRef]
- Xu, Z.; Zheng, W.X.; Wang, Y.; Wang, D.; Wu, Z. Federated learning-based distributed model predictive control. J. Process Control 2025, 152, 103472. [Google Scholar] [CrossRef]
- Xu, Z.Y.; Ge, S.Z.; Liu, W.H.; Yi, G.; Xie, Z.; Li, K. Intermittently dynamic fuzzy learning-based tracking control of amplitude signals for vibratory gyroscopes with composite identification. IEEE Trans. Instrum. Meas. 2025, 74, 9518508. [Google Scholar] [CrossRef]
- Ge, X.H.; Han, Q.L.; Wang, J.; Zhang, X.M. Scalable and Resilient Platooning Control of Cooperative Automated Vehicles. IEEE Trans. Veh. Technol. 2022, 71, 3595–3608. [Google Scholar] [CrossRef]
- Qiu, M.; Liu, D.; Baldi, S.; Yin, G.; Yu, W.; Cao, M. Scalable Input-to-State Stability of Heterogeneous Systems With Applications in Vehicle Platooning. IEEE Trans. Intell. Veh. 2024, 10, 3743–3754. [Google Scholar] [CrossRef]
- Chen, Y.Z.; Yan, B.Z. Vehicle Platoon Control Based on Third-Order Heterogeneous Model and Predictive Spacing Strategy. IEEE Trans. Intell. Transp. Syst. 2024, 25, 4458–4469. [Google Scholar] [CrossRef]
- Lin, Y.D.; Tiwari, A.; Fabien, B.; Devasia, S. Constant-Spacing Connected Platoons With Robustness to Communication Delays. IEEE Trans. Intell. Transp. Syst. 2023, 24, 3370–3382. [Google Scholar] [CrossRef]
- Wang, B.; Gu, G.X.; Patton, R.J. A Passivity Approach to String Stability and Distributed Adaptive Control of Vehicle Platoons. IEEE Trans. Veh. Technol. 2025, 74, 11698–11714. [Google Scholar] [CrossRef]
- Han, J.H.; Zhang, J.Z.; He, C.K.; Lv, C.; Hou, X.; Ji, Y. Distributed Finite-Time Safety Consensus Control of Vehicle Platoon With Senor and Actuator Failures. IEEE Trans. Veh. Technol. 2023, 72, 162–175. [Google Scholar] [CrossRef]
- Wu, Y.; Li, S.B.; Cortes, J.; Poolla, K. Distributed Sliding Mode Control for Nonlinear Heterogeneous Platoon Systems With Positive Definite Topologies. IEEE Trans. Control Syst. Technol. 2020, 28, 1272–1283. [Google Scholar] [CrossRef]
- Zheng, Y.; Li, S.; Li, K.; Borrelli, F.; Hedrick, J.K. Distributed model predictive control for heterogeneous vehicle platoons under unidirectional topologies. IEEE Trans. Control Syst. Technol. 2017, 25, 899–910. [Google Scholar] [CrossRef]
- Pauca, O.; Lazar, M.; Caruntu, C.F. Hybrid Cost Function Distributed MPC for Vehicle Platoons With Stability and String Stability Properties. IEEE Control Syst. Lett. 2023, 7, 2257–2262. [Google Scholar] [CrossRef]
- Wang, S.Y.; Yang, X.J.; Chen, Z.; Zhang, Y.J. Integrated Distributed Model Predictive Control for Vehicular Platoon Considering Node Vehicle Dynamics. IEEE Trans. Veh. Technol. 2025, 74, 11939–11950. [Google Scholar] [CrossRef]
- Bian, Y.G.; Du, C.K.; Hu, M.J.; Li, S.E.; Liu, H.; Li, C. Fuel Economy Optimization for Platooning Vehicle Swarms via Distributed Economic Model Predictive Control. IEEE Trans. Autom. Sci. Eng. 2022, 19, 2711–2723. [Google Scholar] [CrossRef]
- Qiu, M.; Liu, D.; Wang, H.; Yu, W.; Baldi, S. A Cooperative Implementation of Mesh Stability in Vehicular Platoons. IEEE Trans. Netw. Sci. Eng. 2023, 10, 1537–1550. [Google Scholar] [CrossRef]
- Mayne, D.Q. Model predictive control: Recent developments and future promise. Automatica 2014, 50, 2967–2986. [Google Scholar] [CrossRef]
- Dunbar, W.B.; Caveney, D.S. Distributed receding horizon control of vehicle platoons: Stability and string stability. IEEE Trans. Autom. Control 2012, 57, 620–633. [Google Scholar] [CrossRef]
- Chen, H.; Allgower, F. A quasi-infinite horizon nonlinear model predictive control scheme with guaranteed stability. Automatica 1998, 34, 1205–1217. [Google Scholar] [CrossRef]













| mi (kg) | CA,i (N·s2·m−2) | ri (m) | μi | ηT,i |
|---|---|---|---|---|
| 1035.7 | 0.30 | 0.30 | 0.0155 | 0.965 |
| Qi | Ri | Fi | Gi | Pi | Ki | λi |
|---|---|---|---|---|---|---|
| [0.05, 0; 0, 2] | 1 × 10−5 | [2, 0; 0, 2] | [2, 0; 0, 2] | [1110.5572, 159.9096; 159.9096, 47.0108] | [14,903.5714, 4381.4081] | 0.8 |
| Vehicle | 1 | 2 | 3 | 4 | 5 | 6 | 7 |
|---|---|---|---|---|---|---|---|
| Mean (m) | 9.4011 × 10−3 | 9.7291 × 10−3 | 9.5974 × 10−3 | 9.4428 × 10−3 | 9.8525 × 10−3 | 9.3977 × 10−3 | 9.8703 × 10−3 |
| std (m) | 1.3932 × 10−4 | 1.5916 × 10−4 | 2.4344 × 10−4 | 1.8980 × 10−4 | 1.3932 × 10−4 | 3.5266 × 10−4 | 1.4889 × 10−4 |
| Vehicle | 1 | 2 | 3 | 4 | 5 | 6 | 7 |
|---|---|---|---|---|---|---|---|
| Max (s) | 0.2766 | 0.2756 | 0.2818 | 0.2756 | 0.2784 | 0.2700 | 0.2798 |
| Avg (s) | 0.2245 | 0.2252 | 0.2378 | 0.2374 | 0.2297 | 0.2337 | 0.1373 |
| mi (kg) | CA,i (N·s2·m−2) | ri (m) | μi | ηT,i | |
|---|---|---|---|---|---|
| 1 | 1625.33 | 1.10 | 0.35 | 0.0165 | 0.950 |
| 2 | 1801.69 | 1.12 | 0.39 | 0.0150 | 0.950 |
| 3 | 1885.35 | 1.15 | 0.40 | 0.0154 | 0.960 |
| 4 | 1725.33 | 1.10 | 0.36 | 0.0160 | 0.950 |
| 5 | 1805.28 | 1.13 | 0.37 | 0.0150 | 0.955 |
| Weights | Case1 | Case2 | Case3 |
|---|---|---|---|
| Fi | 2I2 | 2I2 | 6I2 |
| Gi | 2I2 | 6I2 | 2I2 |
Disclaimer/Publisher’s Note: The statements, opinions and data contained in all publications are solely those of the individual author(s) and contributor(s) and not of MDPI and/or the editor(s). MDPI and/or the editor(s) disclaim responsibility for any injury to people or property resulting from any ideas, methods, instructions or products referred to in the content. |
© 2026 by the authors. Licensee MDPI, Basel, Switzerland. This article is an open access article distributed under the terms and conditions of the Creative Commons Attribution (CC BY) license.
Share and Cite
Li, Z.; Fang, Z.; Fang, Y.; Luo, S. Distributed Hierarchical MPC for Consensus and Stability of Vehicle Platoons with Mixed Communication Topologies. Vehicles 2026, 8, 82. https://doi.org/10.3390/vehicles8040082
Li Z, Fang Z, Fang Y, Luo S. Distributed Hierarchical MPC for Consensus and Stability of Vehicle Platoons with Mixed Communication Topologies. Vehicles. 2026; 8(4):82. https://doi.org/10.3390/vehicles8040082
Chicago/Turabian StyleLi, Zhuang, Zhenqi Fang, Yao Fang, and Shaoxuan Luo. 2026. "Distributed Hierarchical MPC for Consensus and Stability of Vehicle Platoons with Mixed Communication Topologies" Vehicles 8, no. 4: 82. https://doi.org/10.3390/vehicles8040082
APA StyleLi, Z., Fang, Z., Fang, Y., & Luo, S. (2026). Distributed Hierarchical MPC for Consensus and Stability of Vehicle Platoons with Mixed Communication Topologies. Vehicles, 8(4), 82. https://doi.org/10.3390/vehicles8040082

