Next Article in Journal
Vehicle Delay Prediction at Urban Roundabouts: Comparing Historical, Operational, and Demand-Based Features
Previous Article in Journal
Coordinated Optimization of Passenger Flow Control and Train Skip-Stop Strategy in Metro Systems Incorporating Reservation
 
 
Font Type:
Arial Georgia Verdana
Font Size:
Aa Aa Aa
Line Spacing:
Column Width:
Background:
Article

State Observer Design for LCC-S Wireless Power Transfer Systems Based on State-Space Modeling

Engineering Research Center of Automotive Electronics Drive Control and System Integration, Ministry of Education, Harbin University of Science and Technology, Harbin 150080, China
*
Author to whom correspondence should be addressed.
Vehicles 2026, 8(3), 63; https://doi.org/10.3390/vehicles8030063
Submission received: 4 January 2026 / Revised: 13 February 2026 / Accepted: 26 February 2026 / Published: 17 March 2026

Abstract

In wireless power transfer (WPT) systems, magnetically coupled wireless power transfer has become a major research focus due to its advantages such as long transmission distance, strong tolerance to misalignment, and high power transfer capability. It is also widely applied in vehicle wireless power transfer systems. From the perspective of practical engineering applications, this paper investigates the problem of system parameter variations caused by changes in inductance and load, in combination with magnetically coupled structures. During actual system operation, misalignment of the coupling mechanism leads to variations in mutual inductance, while the load resistance may also fluctuate. These parameter changes result in alterations to the overall output characteristics of the system, which are detrimental to stable system operation. Moreover, adopting a dual-side communication control strategy is susceptible to interference from the system’s power circuitry. To address these issues, this paper proposes a novel state variable modeling method and designs a state observer based on the extended Kalman filter (EKF) algorithm to estimate the secondary-side parameters, thereby enabling observation of the voltage across the load at the receiver side. The state observer is configured with two operating modes to monitor variations in mutual inductance and load resistance. The observer outputs are compared with the actual load-side voltage, and the effectiveness of the proposed state observer is verified.

1. Introduction

Wireless power transfer (WPT) technology, benefiting from its contactless operation, high degree of automation, and superior safety, has become a major research focus in energy replenishment systems for electric vehicles (EVs) and mobile robots [1]. Among various resonant compensation topologies, the LCC-S (primary-side LCC and secondary-side series) compensation network has been widely adopted in medium- and high-power wireless charging systems due to its constant-current output characteristic at the transmitter side, soft-switching capability over the entire load range, and strong robustness against coupling misalignment [2,3].
However, a WPT system is inherently a high-order, strongly nonlinear, and time-varying system. During long-term operation, key components in the compensation network—particularly the tuning inductors L —are prone to parameter drift caused by ambient temperature variations, magnetic core aging, and saturation effects. Such drift leads to resonant frequency deviation, which in turn degrades power transfer efficiency or induces excessive voltage stress on power devices [4]. In addition, the battery load ( Load ) exhibits significant nonlinear variation with respect to the state of charge (SOC) during the charging process and is susceptible to external disturbances [5]. To ensure efficient and stable system operation and enable accurate closed-loop control, it is of great engineering significance to achieve real-time online identification of key circuit parameters and load conditions in the LCC-S system without introducing additional sensor hardware costs [6].
Establishing an accurate mathematical model suitable for digital implementation is the foundation of state observer design. For resonant systems such as the LCC-S topology operating at resonance, the conventional state-space averaging (SSA) method, which neglects AC ripple components, is no longer applicable. The generalized state-space averaging (GSSA) method proposed by Sanders et al. retains selected harmonic components through Fourier series expansion and has become a mainstream theoretical tool for modeling resonant converters [7]. To date, several studies have employed GSSA to develop dynamic models of LCC topologies and applied them to steady-state analysis and control design [8,9].
Despite its theoretical accuracy in capturing system dynamics, GSSA faces significant challenges in practical engineering applications. The standard GSSA framework is based on complex frequency-domain modeling and inherently introduces the imaginary unit j . Consequently, the system state equations involve complex-valued coefficient matrices, and state variables—such as inductor current and capacitor voltage envelopes—are represented as complex quantities. However, existing industrial digital signal processors (DSPs) and microcontroller units (MCUs) are primarily optimized for real number computations. Directly handling complex-valued differential equations in embedded systems not only substantially increases computational burden and memory consumption, but also introduces numerical compatibility issues during data type conversion, thereby severely limiting the practical feasibility of this modeling approach [10]. Therefore, breaking the constraints of complex-domain modeling and establishing a hybrid-domain control model that better aligns with practical engineering requirements has become an urgent problem to be addressed.
In the field of parameter identification, the Kalman filter (KF) and its extended form (EKF) are widely used for parameter monitoring in WPT systems due to their optimal state estimation capability in the presence of random noise [11]. For example, Ref. [12] utilized EKF to estimate mutual inductance variations in a WPT system online, while Ref. [13] explored a load identification strategy based on a Kalman observer.
However, existing KF-based observer designs are often limited by the form of the underlying model. When directly using the complex-domain GSSA model, the filter algorithm must derive the Jacobian matrix in the complex domain, which is computationally complex and prone to convergence issues. On the other hand, simplified approximate models often neglect the coupling relationships between variables, leading to accuracy degradation. Therefore, there is an urgent need for an improved method that can project the complex-state variables of GSSA into the real domain while preserving the integrity of the model, thus enabling seamless integration with the Kalman filter algorithm.
To address the challenges of “complex models being difficult to digitize” and “real-time parameter observation”, this paper proposes a state observer design method for the LCC-S system based on an improved generalized state-space averaging modeling approach.
First, this paper improves and reconstructs the traditional GSSA method. To overcome the limitations of the complex domain, a state variable complex-to-real decoupling transformation strategy is proposed. This method separates the real and imaginary parts of the complex variables, eliminating the imaginary unit in the state equations, and fully reconstructing the original complex-domain model into a system of higher-order differential equations in the real domain. This real-valued reconstruction not only eliminates numerical compatibility barriers in controller algorithm development but also retains the original model’s complete description of system dynamics.
Second, based on the improved real-domain model, an extended Kalman filter (EKF) state observer is designed. Thanks to the real-valued transformation and high accuracy of the model, this observer can run with low computational cost on digital processors, enabling real-time, decoupled observation of LCC-S system inductor parameter drift and load changes. The simulation and experimental results validate the superiority of the proposed method across a wide range of operating conditions.

2. Analytic Model

The core idea of the generalized state-space averaging (GSSA) method lies in employing Fourier series to decompose periodic nonsinusoidal signals in power electronic converters into multiple frequency components, enabling separate modeling of the dynamic characteristics of the fundamental and harmonic components. Specifically, time-varying waveforms are expanded into a set of linear equations with Fourier coefficients as state variables, thereby transforming the nonlinear time-varying system induced by switching actions into multiple linear time-invariant subsystems. By retaining key harmonic information, this method overcomes the limitations of conventional averaging techniques in high-frequency dynamic analysis and provides an effective framework for frequency-domain control design of nonlinear systems.

2.1. Generalized State-Space Averaging Modeling of LCC-S Systems

The equivalent circuit diagram of the system is shown in Figure 1.
From the KVL and KCL theorems, the system of equations for the primary and secondary sides of the LCC-S circuit system can be listed as follows.
L f d I L f d t = S ( t ) U DC U C f C f d U C f d t = I L f I 1 C 1 d U C 1 d t = I 1 L 1 d I 1 d t = U C f U C 1 + j ω M I 2 L 2 d I 2 d t = j ω M I 1 U C 1 I 2 R eq C 2 d U C 2 d t = I 2
In Equation (1), ILf is the compensation inductor current at the transmitter end, UCf is the voltage at both ends of the compensation capacitor at the transmitter end, UC1 is the voltage at both ends of the compensation capacitor of the transmitter coil, I1 is the coil current at the transmitter end, I2 is the coil current at the receiver end, and UC2 is the voltage at both ends of the compensation capacitor of the receiver coil. S(t) is the switching function of the full-bridge resonant converter and can be expressed as
S ( t ) = 1 ,     n T t < ( 2 n + 1 ) T 2 1 , ( 2 n + 1 ) T 2 t ( n + 1 ) T
where n is a positive integer.
The generalized state-space averaging (GSSA) method represents a given variable over a specified time interval as an approximation with the desired accuracy by means of a Fourier series expansion. Since the time interval varies dynamically, the complex Fourier coefficients can be regarded as time-varying functions. Accordingly, the k -th complex Fourier coefficient can be expressed as
x k t = 1 T 0 T x ( t T + τ ) e j k ω ( t T + τ ) d τ
Equation (3) gives the Fourier coefficient function in the actual waveform with T as the time length, from which the state-space model with this equation as the state variable can be obtained.
The Fourier kth coefficient expressed in Equation (3) is differentiated with respect to time as shown in the following equation:
d d t x k ( t ) = d d t x k ( t ) j k ω x k ( t )
In the dynamic modeling analysis of magnetically coupled resonant wireless energy transmission systems, the Fourier coefficient averaging method provides a key theoretical support for solving the circuit characterization under time-varying frequency conditions. Especially in the topology design of resonant power converters, the dynamic time-varying characteristics of the system angular frequency significantly affect the energy transfer efficiency and frequency stability. Aiming at the time-varying operating modes of resonant converters in magnetically coupled wireless energy transmission technology, the modeling method effectively solves the technical bottleneck that the traditional steady-state model cannot accurately describe the dynamic harmonic characteristics through the time–frequency domain parameter equivalent conversion mechanism. This modeling strategy based on the cycle averaging principle not only improves the accuracy of system parameter identification but also provides an important basis for the optimal design of resonant networks under complex operating conditions.

2.2. Improved Generalized State-Space Averaging Modeling

In the applied research of the generalized state-space averaging method based on the complex frequency-domain modeling theory, the characteristic of imaginary units must be introduced into its mathematical architecture, which makes the method produce significant limitations in the digital control of power electronic energy conversion devices, and directly undermines the feasibility of this modeling strategy in engineering practice. Therefore, it is necessary to convert the model state variables from complex to real quantities to realize the fully realized reconstruction of the dynamic system equations. This variable decoupling method not only eliminates the numerical compatibility obstacle in the development of controller algorithms but also provides a basis for establishing a mixed-domain control model that meets the actual engineering requirements.
Put the Equation (3) into the form shown below:
x k = a + j b
Equation (5) has the following properties:
x k = x k * = a j b
where * denotes the conjugate operation, and a and b are the real and imaginary parts of (x)k, respectively.
In a modeling study of a wireless energy transmission system with LCC-S topology, theoretical derivations and experimental data show that the steady-state resonant characteristics of the system in the rated frequency domain are mainly reflected in the dynamic response of the fundamental frequency component. The Fourier fundamental frequency decomposition method proposed in this study successfully constructs an equivalent dynamic model of the system by extracting the parameters of the DC and fundamental frequency components. The method combines the filtering and attenuation properties of the resonant network for higher harmonics, and achieves an effective balance between the efficiency and accuracy of the model computation while eliminating the interference of high-frequency components in the modeling of transient processes. This modeling strategy not only allows the high-frequency harmonic energy on the system dynamics to be ignored but also provides a reliable mathematical model basis for the design of real-time control algorithms under complex working conditions. That is, the actual state variables of the system can be expressed as
x ( t ) = x 1 e j ω t + x 1 e j ω t + x 0
Fourier coefficient decomposition of the key variables ILf, UCf, UC1, I1, I2, and UC2 of the resonant network is required to model the system dynamics using the generalized state-space averaging method. By using a joint modeling approach of the DC component and the fundamental wave component Fourier coefficients, each electrical variable can be separately characterized in the form of the following Equation (8), where the real and imaginary parts of the solving process will result in three independent state quantities. Therefore, the 6 state variables are processed by the fundamental wave approximation to construct a reduced order model containing 18 state variables.
I Lf 1 = x 1 + j x 2 U Cf 1 = x 3 + j x 4 U C 1 1 = x 5 + j x 6 I L 1 1 = x 7 + j x 8 I L 2 1 = x 9 + j x 10 U C 2 1 = x 11 + j x 12 I Lf 0 = x 13 U Cf 0 = x 14 U C 1 0 = x 15 I L 1 0 = x 16 I L 2 0 = x 17 U C 2 0 = x 18
From Equation (6) there is
I Lf 1 = I Lf 1 U Cf 1 = U Cf 1 U C 1 1 = U C 1 1 I L 1 1 = I L 1 1 I L 2 1 = I L 2 1 U C 2 1 = U C 2 1
The Fourier coefficient operation on the switching function of the full-bridge inverter of Equation (2) has
S ( t ) 0 = 0 S ( t ) 1 = 2 j π
According to the transformation of Equation (1) by the GSSA method, the state-space equations for the coupling of the dc component to the fundamental wave component can be obtained.
d d t x 0 = A 1 x 0 + A 2 x 1 d d t x 1 = A 3 x 0 + A 4 x 1 + B U D C
The 18 state variables are divided into two groups to represent the state components corresponding to order 0 and order 1, which can be expressed as
x 0 x 13 x 14 x 15 x 16 x 17 x 18 T
x 1 x 1 x 2 x 3 x 4 x 5 x 6 x 7 x 8 x 9 x 10 x 11 x 12 T
vector 6 and matrix B and matrices A1~A4 respectively:
B = 0 2 π L f 0 0 0 0 0 0 0 0 0 0
A 1 = 0 1 L f 0 0 0 0 1 C f 0 0 1 C f 0 0 0 0 0 1 C 1 0 0 0 1 L 1 1 L 1 0 j ω M L 1 0 0 0 0 j ω M L 2 R e q L 2 1 L 2 0 0 0 0 1 C 2 0
A 2 = A 3 = 0
Matrix A4 is
0 ω 1 L f 0 0 0 0 0 0 0 0 0 ω 0 0 1 L f 0 0 0 0 0 0 0 0 1 C f 0 0 ω 0 0 1 C f 0 0 0 0 0 0 1 C f ω 0 0 0 0 1 C f 0 0 0 0 0 0 0 0 0 ω 1 C 1 0 0 0 0 0 0 0 0 0 ω 0 0 1 C 1 0 0 0 0 0 0 1 L 1 0 1 L 1 0 0 ω 0 ω M L 1 0 0 0 0 0 1 L 1 0 1 L 1 ω 0 ω M L 1 0 0 0 0 0 0 0 1 L 2 0 0 ω M L 2 R e q L 2 ω 0 0 0 0 0 0 0 1 L 2 ω M L 2 0 ω R e q L 2 0 0 0 0 0 0 0 0 0 0 1 C 2 0 0 ω 0 0 0 0 0 0 0 0 0 1 C 2 ω 0
Equation (11) above shows the GSSA models for the voltage-based MCR-WPT system.
Based on Equation (7) the expression for the actual state variables of the system can be obtained as
I L f = 2 x 1 cos ω t 2 x 2 sin ω t + x 13 U C f = 2 x 3 cos ω t 2 x 4 sin ω t + x 14 U C 1 = 2 x 5 cos ω t 2 x 6 sin ω t + x 15 I 1 = 2 x 7 cos ω t 2 x 8 sin ω t + x 16 I 2 = 2 x 9 cos ω t 2 x 10 sin ω t + x 17 U C 2 = 2 x 11 cos ω t 2 x 12 sin ω t + x 18
Since the dynamic mathematical model constructed above is up to the 18th order, which will greatly increase the difficulty of solving the system, Equation (11) is downgraded by using selective modal analysis.
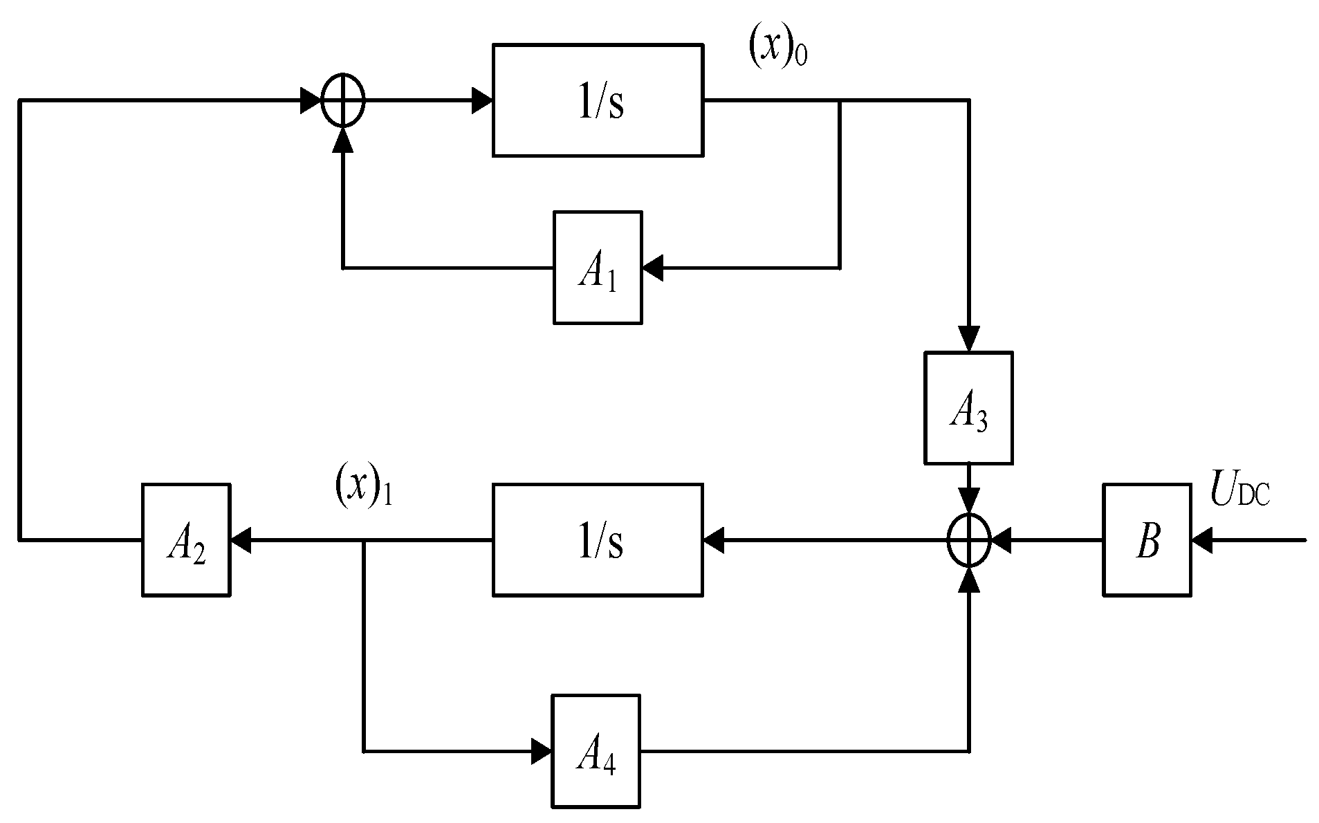
In Equation (11), the 0th-order averaging model represents the state-space averaging model of the system, while the 1st-order averaging model represents the fundamental-wave component dynamics model of the system, and the coupling between the 0th-order model and the 1st-order model can be obtained from Equation (11) as shown in Figure 2.
According to the theory of selective modal analysis method, the dynamic model of the fundamental wave components can be directly decoupled from the 0th-order average model. In addition, the DC model represented by the 0th-order averaging model has little relationship with the dynamic characteristics in the converter, while the fundamental wave characteristics of the system can be directly represented by the 1st-order system. The system dynamic model can thus be down-ordered to Equation (19):
d d t x 1 = A 4 x 1 + B U DC
The system model after decoupling can be simplified as
I L f = 2 x 1 cos ω t 2 x 2 sin ω t U C f = 2 x 3 cos ω t 2 x 4 sin ω t U C 1 = 2 x 5 cos ω t 2 x 6 sin ω t I 1 = 2 x 7 cos ω t 2 x 8 sin ω t I 2 = 2 x 9 cos ω t 2 x 10 sin ω t U C 2 = 2 x 11 cos ω t 2 x 12 sin ω t

3. Design of the State Observer

In the study of magnetically coupled resonant wireless energy transmission systems, the real-time accurate acquisition of the receiving side parameters is a technical difficulty in realizing the closed-loop control. Aiming at the problem of the difficulty in measuring the electrical quantity of the secondary side due to the non-contact structure, this study proposes to use the extended Kalman filter algorithm to construct the state observer.
Not only can the algorithm effectively reconstruct the undetectable state quantities of the system by fusing the system dynamics equations with the statistical characteristics of noise, but it also possesses the unique advantages of suppressing the high-frequency switching noise and sensor measurement errors. Based on the easy-to-detect characteristics of the transmitter coil current signal I1, its amplitude is selected as the input quantity of the observer model, and combined with the system state-space expression established by Equation (20), the parameter observation model applicable to the magnetically coupled wireless energy transmission system is constructed, which provides a reliable state estimation basis for the closed-loop power control. where the amplitude of I1 is
I 1 = 2 x 7 2 + x 8 2
Combining Equations (19) and (21), the 12th-order dynamic model of the magnetically coupled wireless energy transmission system can be expressed in the following structural form:
x ˙ e = A 4 x e + B U
y = 2 x 7 2 + x 8 2
where Xe = X1; U represents the DC bus voltage input to the full-bridge inverter circuit.
During the design of the state observer for the MCR-WPT system, although Equation (22) presents linear characteristics, the nonlinear nature of Equation (23) leads to the fact that the traditional linear Kalman filter algorithm is no longer applicable. To meet the state estimation requirements of this nonlinear system, an extended Kalman filtering method applicable to nonlinear systems is required for observer construction.
Since the extended Kalman filtering algorithm is built in the framework of discrete systems, Equations (22) and (23) must be discretized and transformed into the Gauss–Markov model structure of Equation (24). This discretization transformation not only meets the basic requirements of the algorithm implementation but also provides a rigorous mathematical basis for the statistical characterization of the system noise, thus ensuring that the state estimation process meets the optimal filtering criterion for dynamic systems.
x e ( k + 1 ) = F x e ( k ) + G U ( k ) + w ( k ) = f x e ( k ) , U ( k ) + w ( k )
y ( k ) = H ( k ) x e ( k ) + v ( k ) = y x e ( k ) + v ( k )
F = e A 4 T S
G = ( 0 T s e A 4 s d s ) B
TS is the system sampling period. Equations (26) and (27) can be used to approximate F(k) and G(k) by
ψ = 0 T s e A 4 s d s = I T s + A 4 T s 2 2 ! + A 4 2 T s 3 3 ! +
F I + A 4 T s + A 4 2 T s 2 2 !
G = ψ B ( I T s + A 4 2 T s 2 2 ! ) B
When improving the system modeling accuracy requirements, the approximation accuracy can be improved by increasing the number of Taylor series expansion terms. To address the uncertainties in the dynamic equations of the system, a noise statistical model is required: where both the process noise w(k) and the measurement noise v(k) belong to mutually uncorrelated zero-mean white noise processes.
The mathematical description of this noise model can be expressed in the form of a combination of mean and covariance equations, where the mean equation is specified as
E w k = E v k = 0
The covariance matrix of the systematic error is defined as
E w k w k T = Q
The covariance matrix of the measurement noise is defined as
E v k v k T = S
where Q is the constant matrix size 12 × 12 and S is the constant matrix size 1 × 1. The initial value vector xe(0) of the state variable can be represented by its mean and covariance matrix:
x ^ e 0 = E x e 0
P 0 = [ x e 0 x ^ e 0 ] [ x e 0 x ^ e 0 ] T
H(k) is the gradient of Equation (23) with respect to the vector x e , and this gradient is time-varying. In the modeling of voltage-based magnetically coupled resonant systems, the quasi-linear model established by Equation (22) provides the basis for state estimation, but its essence still belongs to the category of approximate estimation. Figure 1 illustrates the observer architecture based on extended Kalman filtering, and the core requirement for the implementation of this algorithm lies in the completion of real-time sampling of the primary winding current I1 before each discretized recursive computation step. By constructing a system observable measurement containing the amplitude of I1, the observer can dynamically solve the unmeasurable parameters such as the secondary-side current I2 with the capacitor voltage UC2 and the load terminal voltages Uout. These estimated values will be used as key inputs to the closed-loop control strategy, and the precise control of the system power transfer characteristics will be finally realized by dynamically adjusting the operation frequency and modulation strategy of the primary-side resonant converter.
The EKF algorithm can be divided into two components, prediction and correction, and combined with the dynamic system model equation. Based on Equations (24) and (25) discussed earlier, the EKF algorithm can be expressed as follows:
Step 1: Prediction
x ^ ek + 1 / k = f k ( x ^ ek / k , U k )
P k + 1 / k = F k P k / k F k T + Q
Step 2: Calibration
x ^ ek + 1 / k + 1 = x ^ ek + 1 / k + K k [ y k + 1 H k + 1 ( x ^ ek + 1 / k ) ]
K k + 1 = P k + 1 / k H k + 1 T [ H k P k + 1 / k H k + 1 T + S ] 1
P k + 1 / k 1 = P k + 1 / k K k + 1 H k + 1 P k + 1 / k
Among them,
H k + 1 = y / x e | x e = x ek + 1 / k
In the covariance matrix system of the Kalman filtering algorithm, P characterizes the uncertainty of the state estimation error, Q reflects the statistical properties of the process noise, and S characterizes the distribution of the measurement noise. The Kalman gain matrix Kk+1 serves as the key correction coefficient for minimizing the state estimation error.
x ^ represents the optimal estimation value, k/k denotes the filtering update based on all the observation information at k moments, and k + 1/k refers to the a priori prediction of k + 1 states based on the information at k moments. This recursive estimation process effectively integrates the dynamic model of the system and the real-time observation data through step-by-step iterations in the time domain, and finally achieves the optimal estimation of the state vector.
In Figure 3, Kk+1 is the transformation matrix between the state vector xe in the GSSA model and the actual system state vector, which can be expressed by Equation (42):
E k + 1 = 2 cos ω t k + 1 1 0 0 0 0 0 0 0 0 0 0 0 0 0 1 0 0 0 0 0 0 0 0 0 0 0 0 0 1 0 0 0 0 0 0 0 0 0 0 0 0 0 1 0 0 0 0 0 0 0 0 0 0 0 0 0 1 0 0 0 0 0 0 0 0 0 0 0 0 0 1 0 2 sin ω t k + 1 0 1 0 0 0 0 0 0 0 0 0 0 0 0 0 1 0 0 0 0 0 0 0 0 0 0 0 0 0 1 0 0 0 0 0 0 0 0 0 0 0 0 0 1 0 0 0 0 0 0 0 0 0 0 0 0 0 1 0 0 0 0 0 0 0 0 0 0 0 0 0 1
where tk+1 denotes the k + 1st sampling moment and ω is the operating angular frequency of the MCR-WPT system.
Since the state quantities in the GSSA model are not the operational state quantities of the actual system, the output of the EKF algorithm must be processed by Ek+1 before it can be used as the actual state observations of the system. The processing is performed as follows:
Z k + 1 = E k + 1 x ^ e k + 1 / k + 1
Among them,
Z k = I Lf k U Cf k U C 1 k I 1 k I 2 k U C 2 k T
At this point the magnitude MK+1 of the observation vector Zk+1 can be expressed as follows:
M K + 1 = 2 x ^ 1 k + 1 / k + 1 2 + x ^ 2 k + 1 / k + 1 2 2 x ^ 3 k + 1 / k + 1 2 + x ^ 4 k + 1 / k + 1 2 2 x ^ 5 k + 1 / k + 1 2 + x ^ 6 k + 1 / k + 1 2 2 x ^ 7 k + 1 / k + 1 2 + x ^ 8 k + 1 / k + 1 2 2 x ^ 9 k + 1 / k + 1 2 + x ^ 10 k + 1 / k + 1 2 2 x ^ 11 k + 1 / k + 1 2 + x ^ 12 k + 1 / k + 1 2
In this study, we propose a receiver-side parameter identification method based on extended Kalman filtering for the state observation problem of wireless energy transmission systems. Theoretical derivation and simulation verification show that the algorithm can accurately reconstruct the state parameters of the system.
Compared with the traditional dual-closed-loop control architecture, this unilateral observation scheme successfully avoids the need for sensor configuration at the receiver side by establishing a dynamic error correction model. This single-side parameter reconfiguration strategy not only simplifies the system topology but also fundamentally eliminates the signal delay and electromagnetic interference problems caused by the wireless communication module, providing an innovative solution for engineering applications.

4. Experimental Verification and Simulation

Since the system contains many energy storage elements, the initial state of the system is unknown. In addition, due to the symmetry of the resonant converter output, the average value of its output is zero, so the initial value of the EKF algorithm is set near the average value as follows:
x e 0 / 0 = 0.5 0.5 0.5 0.5 0.5 0.5 0.5 0.5 0.5 0.5 0.5 0.5 T
Set the covariance matrix of the estimation error to a relatively high value, i.e.,
P 0 / 0 = 10 I
where I is the unit matrix of 12 × 12; this setting method indicates that the initial value of xe 0/0 set is not trusted, and it is hoped that the EKF algorithm will quickly converge to the value of the true system.
In the extended Kalman filtering algorithm, the configuration of the system error covariance matrix Q directly affects the state estimation performance.
It is shown that the numerical setting of the diagonal elements of the Q-matrix reflects a quantitative assessment of the model uncertainty: increasing the element values enhances the filtering gain and thus speeds up the dynamic response, but it needs to be balanced against its effect on noise sensitivity.
In this study, for the property that the observation equations of the wireless energy transmission system are only related to the primary-side currents, it is found that all the elements in the Q matrix except for the 7th and 8th diagonal elements have no significant effect on the state update process by combining numerical simulation and experimental validation.
Based on this, the 7th and 8th diagonal elements are used as the main adjustment parameters, and the iterative calibration of the matrix parameters is achieved by combining parameter sensitivity analysis and multi-objective optimization.
The experimental results show that the method can effectively compensate the system model bias and verify the correlation properties between the dimension of the observation equation and the effective parameters of the Q matrix. The system error covariance matrix is set as
Q = d i a g 0 0 0 0 0 0 0.0001 0.0001 0 0 0 0
To reduce the additional cost caused by secondary-side measurements, a method for identifying secondary-side parameters based on primary-side parameter measurements is proposed, and the corresponding equivalent circuit is shown in Figure 4. By measuring the voltage across the compensation capacitor C f and the transmitter-side current I 1 using voltage and current sensors, the mutual inductance and load parameters can be identified. The specific process flowchart is shown in Figure 5.
In Figure 4, U C f denotes the input voltage of the compensation capacitor C f , I 1 represents the transmitter-side current, and I 2 denotes the receiver-side current. R e q is the equivalent resistance of the system after equivalent transformation, while R 1 and R 2 are the internal resistances of the transmitter and receiver coils, respectively.
According to Kirchhoff’s voltage law (KVL), the circuit shown in Figure 4 can be expressed as follows:
U C f = R 1 + j ω L 1 1 ω C 1 I 1 + j ω M I 2 0 = j ω M I 1 + R 2 + j ω L 2 1 ω C 2 + R eq I 2
where the relationship between R e q and the actual load is given by
R eq = 8 π 2 R 0
Define Z i n , C f as the primary-side input impedance:
Z in _ C f = U C f I 1
By solving Equation (49), Equation (51) can be rewritten as Equation (52).
Z in _ C f = R 1 + j ( ω L 1 1 ω C 1 ) + ω 2 M 2 R 2 + R eq + j ( ω L 2 1 ω C 2 )
It can be seen from Equation (52) that Z i n _ C f contains the mutual inductance information. According to Equation (52), the real part Z i n _ C f re and the imaginary part Z i n _ C f im of the input impedance can be expressed as Equation (53).
Z in _ C f _ re = R 1 + ( ω M ) 2 ( R 2 + R eq ) ( R 2 + R eq ) 2 + ( L 2 C 2 ω 2 1 ) 2 C 2 2 ω 2 Z in _ C f _ im = ( ω M ) 2 C 1 ( L 2 C 2 ω 2 1 ) C 2 ( R 2 + R eq ) 2 + ( L 2 C 2 ω 2 1 ) 2 C 2 2 ω 2 L 1 C 1 ω 2 + 1 ω C 1
Based on Equation (53), the mutual inductance can be calculated as shown in Equation (54).
M = C 1 ( Z in _ C f _ im ω L 1 + 1 ω C 1 ) ( ω 2 L 2 C 2 1 ) C 1 C 2 ( ω C 1 Z in _ C f _ im ω 2 L 1 C 1 + 1 ) ω ( ω C 1 Z in _ C f _ im ω 2 L 1 C 1 + 1 ) R eq = C 1 ( R 1 Z in _ C f _ re R 1 C 2 ω 2 L 2 + C 2 ω 2 L 2 Z in _ C f _ re ) C 2 C 1 C 2 ω 2 L 1 + C 1 C 2 ω Z in _ C f _ im R 2
Two operating modes are designed to validate the observer. In mode 1, the load resistance changes from 100 Ω to 50 Ω at 0.3 s. In mode 2, the mutual inductance of the coupling mechanism changes from 5.8 µH to 8.5 µH at 0.5 s.

4.1. Mode 1 State Observer Output

Figure 6 below shows the state observer observation waveform for mode 1.
It can be seen from the Figure 7 that there is a large error between the observed value of the observer and the true value of the system at the beginning of the observation. This is due to the time lag link between the observer and the system at the very beginning of the simulation.
From Figure 8, it can be seen that the system is basically stabilized at 0.002 s. At this time, the waveform of 0.0012–0.0026 s is intercepted, as shown in Figure 6, and at this time, it can be seen that the system completes the tracking observation after experiencing a time of about 0.0018 s. At this time, the amplitude of the output voltage of the observer and the amplitude of the voltage at the two ends of the actual load are the same.
From Figure 9, it can be seen that the observer output remains essentially constant when the load is varied. This is due to the fact that the internal resistance of the transmitter and receiver coils is neglected in the design of the system observer, at which point the LCC-S system operates with a constant voltage output. The output voltage of the system is only related to the mutual inductance value M and the compensation inductance value Lf.

4.2. Mode 2 State Observer Output

The mode 2 state observer output waveform is shown in Figure 10.
From Figure 10, it can be seen that the waveform of mode 2 is the same as that of mode 1 before 0.005 s, but when the mutual inductance value of mode 2 is changed abruptly at 0.005 s at this time, the system voltage will continue to rise with the increase in the mutual inductance value without constant voltage control, and at this time, the output voltage of the system is positively proportional to the mutual inductance value.
As a result, when the mutual inductance value fluctuates greatly, the output voltage of the system will produce a wide range of voltage fluctuations, and such voltage fluctuations will produce voltage shocks on the components of the system, which is not conducive to the stability of the system. From Figure 11, it can be seen that with the mutual inductance of the sudden change in the system output voltage will continue to increase. Eventually it stabilizes after 6.5 ms, at which time the output of the observer is as shown in Figure 11.

4.2.1. Statistical Performance Analysis

To quantitatively evaluate the robustness of the proposed GSSA-based EKF observer against parameter mismatches and measurement noise, a Monte Carlo statistical analysis was conducted. The simulation setup involved 100 independent trials. In each trial, the key system parameters (mutual inductance M and load resistance R) were randomly varied following a uniform distribution within ±20% of their nominal values.
Figure 12 presents the statistical results. Figure 12a illustrates the distribution of the Root Mean Square Error (RMSE) of the estimated current. It can be observed that the RMSE follows a normal distribution centered at approximately 0.33 A, with a maximum deviation below 0.35 A. Given the operating current level, this represents a high estimation accuracy.
Furthermore, Figure 12b depicts the average convergence trajectory of the estimation error. The results demonstrate that the observer consistently exhibits a fast dynamic response. The estimation error decays exponentially and settles into a steady state (within the 5% error band) in approximately 2 ms. This performance strictly satisfies the design requirement of converging within 2 ms, confirming the observer’s robustness even under significant parameter uncertainties.

4.2.2. Discussion on Harmonics and Optimal Power Transfer

In tightly coupled WPT systems, the nonlinearity of the rectifier and strong magnetic coupling can introduce harmonic components. However, the energy transfer in LCC-S topologies is predominantly carried by the fundamental component. The proposed GSSA modeling approach explicitly targets the fundamental frequency dynamics (k = 1).
Although high-order harmonics effectively act as unmodeled disturbances, the statistical analysis in Figure 12 confirms that the EKF observer maintains high tracking accuracy (RMSE ≈ 0.33 A) even in the presence of noise and uncertainty. By accurately estimating the fundamental states, the controller can lock the system phase to the fundamental resonant point. Since the fundamental component accounts for the vast majority of the total power, ensuring fundamental resonance is practically equivalent to achieving the optimal condition for maximum output power, despite minor harmonic distortions.
In summary, from mode 1 and mode 2, two parameter changes to the output of the observer can be seen when the parameter fluctuates in the system; the observer can complete the convergence within 2 ms, which shows that the convergence speed of the observer is fast, with stable convergence ability and strong robustness, in line with the design requirements.

5. Conclusions

This paper proposes an improved generalized state-space averaging (GSSA) modeling approach for LCC-S wireless power transfer systems. By transforming state variables from complex-valued to real-valued representations, a fully real-valued reconstruction of the dynamic system equations is achieved. This variable decoupling method eliminates numerical compatibility issues, providing a robust basis for hybrid-domain control models.
Based on this accurate model, an extended Kalman filter (EKF) state observer is designed to estimate system states under variations in mutual inductance and load resistance.
Rigorous statistical analyses, including 100 Monte Carlo simulations, quantitatively validate the observer’s performance. The results demonstrate that the estimation Root Mean Square Error (RMSE) follows a normal distribution centered at approximately 0.33 A, indicating high precision. Furthermore, the observer consistently converges within 2 ms even under significant parameter uncertainties. Finally, the analysis confirms that the observer accurately tracks fundamental components, facilitating the optimal resonant condition for maximum power transfer despite harmonic distortions in tightly coupled scenarios.

Author Contributions

Conceptualization, X.G.; methodology, J.W. (Jixing Wang); software, S.G.; validation, J.W. (Jixing Wang); formal analysis, J.W. (Jixing Wang); investigation, J.W. (Jiapeng Wang); resources, X.G.; data J.W. (Jiapeng Wang); writing—original draft preparation, J.W. (Jixing Wang); writing—review and editing, J.W. (Jixing Wang); visualization, X.G.; supervision, X.G.; project administration, X.G. All authors have read and agreed to the published version of the manuscript.

Funding

This research received no external funding.

Data Availability Statement

The original contributions presented in this study are included in the article. Further inquiries can be directed to the corresponding author.

Conflicts of Interest

The authors declare no conflict of interest.

References

  1. Zhang, Z.; Pang, H.; Georgiadis, A.; Cecati, C. Wireless power transfer—An overview. IEEE Trans. Ind. Electron. 2019, 66, 1044–1058. [Google Scholar] [CrossRef]
  2. Li, S.; Li, W.; Deng, J.; Nguyen, T.D.; Mi, C.C. A double-sided LCC compensation network and its tuning method for wireless power transfer. IEEE Trans. Veh. Technol. 2015, 64, 2261–2273. [Google Scholar] [CrossRef]
  3. Chen, Y.; Zhang, H.; Shin, C.-S.; Jo, C.-H.; Park, S.-J.; Kim, D.-H. An Efficiency Optimization-Based Asymmetric Tuning Method of Double-Sided LCC Compensated WPT System for Electric Vehicles. IEEE Trans. Power Electron. 2020, 35, 11475–11487. [Google Scholar] [CrossRef]
  4. Matsumoto, R.; Fujita, T.; Fujimoto, H. Communicationless Reactance Compensation Using PWM-Controlled Switched Capacitors for Wireless Power Transfer. IEEE Trans. Power Electron. 2023, 38, 13194–13206. [Google Scholar] [CrossRef]
  5. Natella, D.; Onori, S.; Vasca, F. A co-estimation framework for state of charge and parameters of lithium-ion battery with robustness to aging and usage conditions. IEEE Trans. Ind. Electron. 2023, 70, 5760–5770. [Google Scholar] [CrossRef]
  6. Liu, Y.; Wang, S.; Xie, Y.; Ji, W.; Zhang, Y. Research on Li-ion battery modeling and SoC estimation based on online parameter identification and improved 2RC-PNGV model. Energy Storage Sci. Technol. 2021, 10, 2312. [Google Scholar]
  7. Sanders, S.R.; Noworolski, J.M.; Liu, Z.Z.; Verghese, G.C. Generalized averaging method for power conversion circuits. IEEE Trans. Power Electron. 1991, 6, 251–259. [Google Scholar] [CrossRef]
  8. Bo, Q.; Zhang, Y.; Guo, Y.; Wang, L.; Liu, Z.; Li, S. Sensitivity Analysis to Parameter Variations in LCC-S Compensated Inductive Power Transfer Systems. In Proceedings of the 2020 IEEE PELS Workshop on Emerging Technologies: Wireless Power Transfer (WoW), Seoul, Republic of Korea, 15–19 November 2020; pp. 233–237. [Google Scholar]
  9. Chen, Y.; Dong, S.; Wei, B.; Zhang, B.; Ma, H.; Zhu, C. Research on GSSA Model of Wireless Power Transfer System Using a quasi Z-source Converter. In Proceedings of the 2022 IEEE 5th International Electrical and Energy Conference (CIEEC), Nangjing, China, 27–29 May 2022; pp. 1876–1881. [Google Scholar]
  10. Zhao, S.; Tang, C.; Fei, Y.; Deng, P. Research on Order Reduction and Control of Double-sided LCC Wireless Power Transfer System Based on GSSA Model. In Proceedings of the 2022 IEEE 9th International Conference on Power Electronics Systems and Applications (PESA), Hong Kong, China, 20–22 September 2022; pp. 1–6. [Google Scholar]
  11. Rana, M.M.; Xiang, W.; Wang, E.; Li, X.; Choi, B.J. Internet of Things Infrastructure for Wireless Power Transfer Systems. IEEE Access 2018, 6, 19295–19303. [Google Scholar] [CrossRef]
  12. Zeng, J. A Fast Front-End Monitoring Method for Mutual Inductance and Load Movement in SS-Compensated Wireless Power Transfer Systems Based on Harmonics Extraction. IEEE Trans. Power Electron. 2025, 40, 2569–2580. [Google Scholar] [CrossRef]
  13. Shingote, S.; Shejwalkar, A.; Swain, S. Comparative Analysis for State-of-Charge Estimation of Lithium-Ion Batteries using Non-Linear Kalman Filters. In Proceedings of the 2023 IEEE 3rd International Conference on Sustainable Energy and Future Electric Transportation (SEFET), Bhubaneswar, India, 9–12 August 2023; pp. 1–6. [Google Scholar]
Figure 1. Equivalent circuit diagram of LCC-S system.
Figure 1. Equivalent circuit diagram of LCC-S system.
Vehicles 08 00063 g001
Figure 2. Diagram showing 0th-order and 1st-order system coupling.
Figure 2. Diagram showing 0th-order and 1st-order system coupling.
Vehicles 08 00063 g002
Figure 3. Block diagram of EKF theory-based observer in WPT system.
Figure 3. Block diagram of EKF theory-based observer in WPT system.
Vehicles 08 00063 g003
Figure 4. Equivalent circuit diagram for parameter identification.
Figure 4. Equivalent circuit diagram for parameter identification.
Vehicles 08 00063 g004
Figure 5. Block diagram of state estimation.
Figure 5. Block diagram of state estimation.
Vehicles 08 00063 g005
Figure 6. Mode 1 state observer output waveform.
Figure 6. Mode 1 state observer output waveform.
Vehicles 08 00063 g006
Figure 7. Initial output waveform of mode 1 state observer.
Figure 7. Initial output waveform of mode 1 state observer.
Vehicles 08 00063 g007
Figure 8. Mode 1 state observer 2 ms output waveforms.
Figure 8. Mode 1 state observer 2 ms output waveforms.
Vehicles 08 00063 g008
Figure 9. Mode 1 state observer output waveform.
Figure 9. Mode 1 state observer output waveform.
Vehicles 08 00063 g009
Figure 10. Mode 2 state observer output waveform.
Figure 10. Mode 2 state observer output waveform.
Vehicles 08 00063 g010
Figure 11. Mode 1 state observer output waveform.
Figure 11. Mode 1 state observer output waveform.
Vehicles 08 00063 g011
Figure 12. Statistical performance analysis: (a) RMSE distribution of 100 Monte Carlo runs; (b) average convergence trajectory under parameter uncertainty.
Figure 12. Statistical performance analysis: (a) RMSE distribution of 100 Monte Carlo runs; (b) average convergence trajectory under parameter uncertainty.
Vehicles 08 00063 g012
Disclaimer/Publisher’s Note: The statements, opinions and data contained in all publications are solely those of the individual author(s) and contributor(s) and not of MDPI and/or the editor(s). MDPI and/or the editor(s) disclaim responsibility for any injury to people or property resulting from any ideas, methods, instructions or products referred to in the content.

Share and Cite

MDPI and ACS Style

Geng, X.; Wang, J.; Guo, S.; Wang, J. State Observer Design for LCC-S Wireless Power Transfer Systems Based on State-Space Modeling. Vehicles 2026, 8, 63. https://doi.org/10.3390/vehicles8030063

AMA Style

Geng X, Wang J, Guo S, Wang J. State Observer Design for LCC-S Wireless Power Transfer Systems Based on State-Space Modeling. Vehicles. 2026; 8(3):63. https://doi.org/10.3390/vehicles8030063

Chicago/Turabian Style

Geng, Xin, Jixing Wang, Shengying Guo, and Jiapeng Wang. 2026. "State Observer Design for LCC-S Wireless Power Transfer Systems Based on State-Space Modeling" Vehicles 8, no. 3: 63. https://doi.org/10.3390/vehicles8030063

APA Style

Geng, X., Wang, J., Guo, S., & Wang, J. (2026). State Observer Design for LCC-S Wireless Power Transfer Systems Based on State-Space Modeling. Vehicles, 8(3), 63. https://doi.org/10.3390/vehicles8030063

Article Metrics

Back to TopTop