An Adaptive Full-Order Sliding-Mode Observer Based-Sensorless Control for Permanent Magnet Synchronous Propulsion Motors Drives
Abstract
1. Introduction
2. Conventional-SMO-Based Sensorless Control Method
2.1. PMSM Mathematical Model
2.2. Conventional SMO
2.3. Analysis of the Chattering Problem in the Conventional SMO
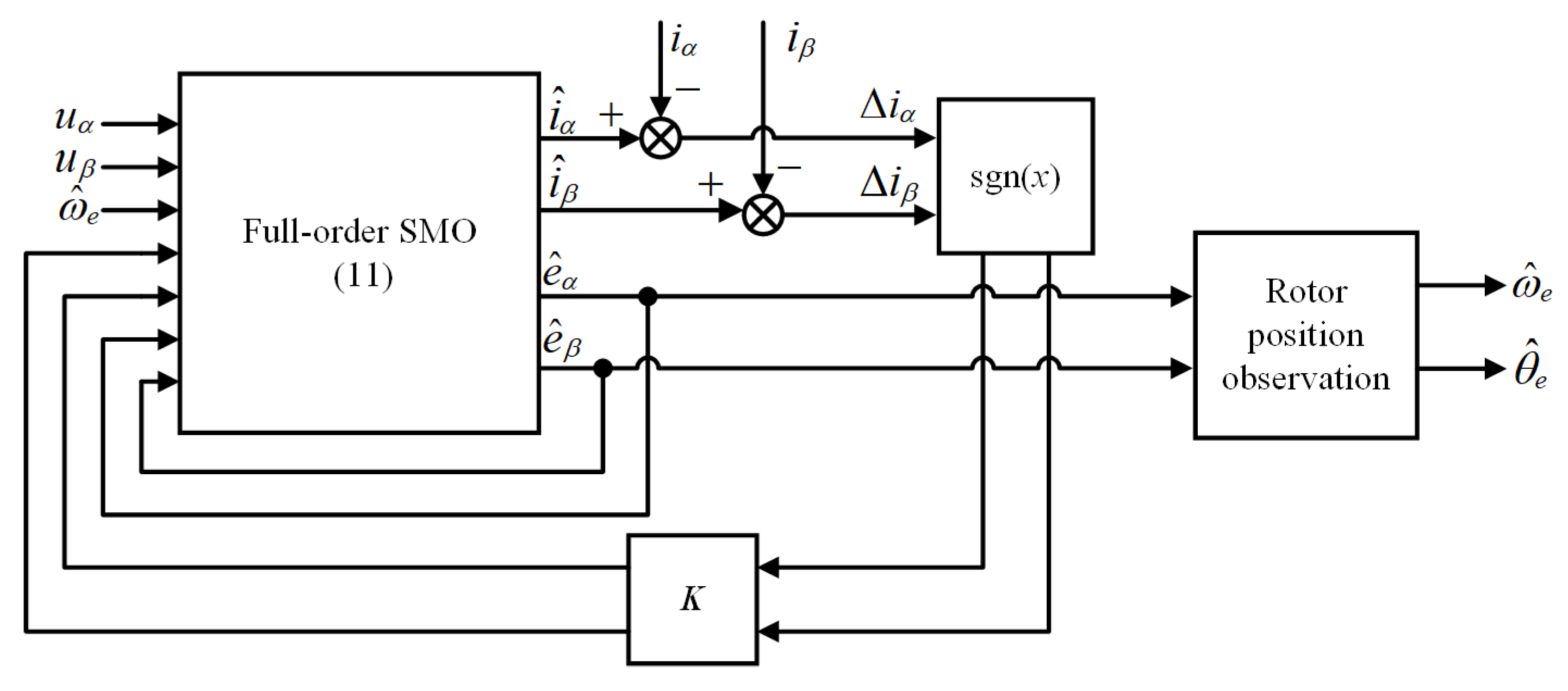
3. Improved Full-Order-SMO-Based Sensorless Control Method
3.1. Mathematical Model of the Full-Order SMO
3.2. Stability Analysis of the Full-Order SMO
3.3. Improved Sliding-Mode Control Law
3.4. Adaptive Adjusted Control Gain
4. Simulation and Experimental Validation
4.1. Simulation Validation
4.1.1. Simulation Results of the Conventional SMO
4.1.2. Simulation Results of the Full-Order SMO
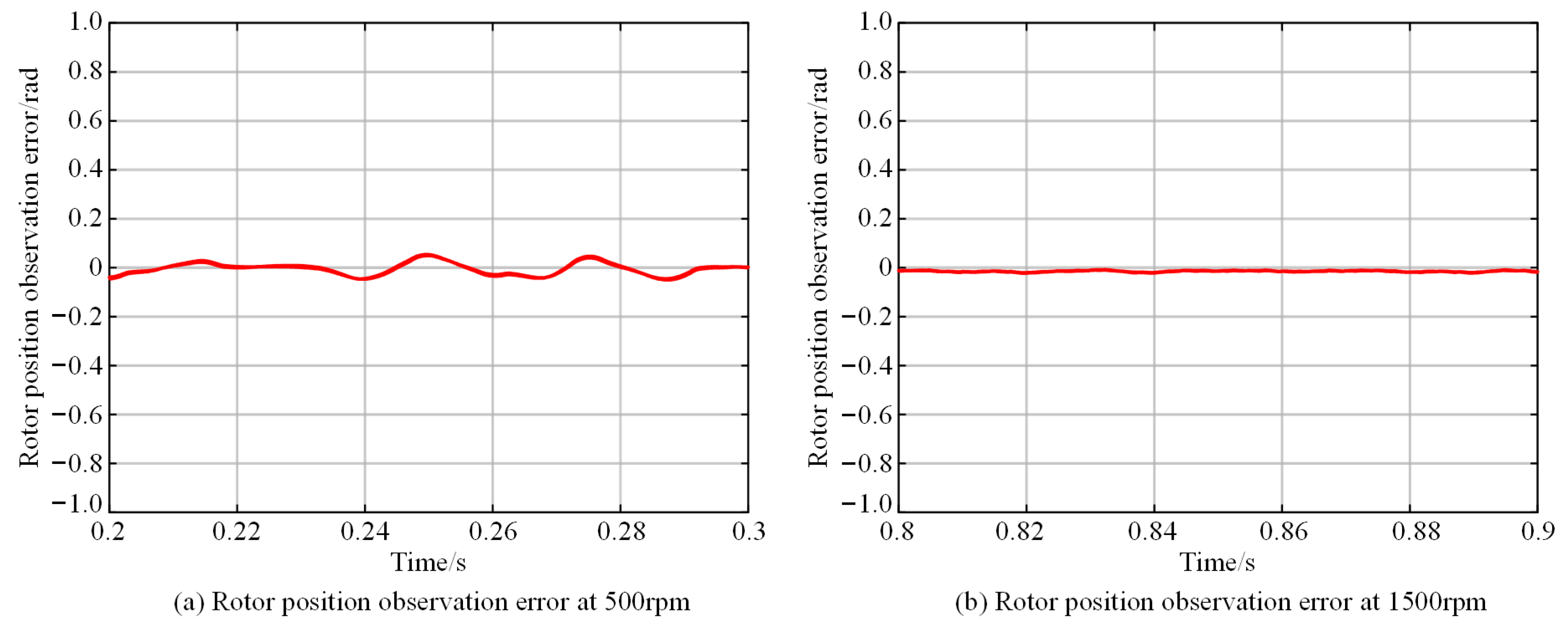
4.1.3. Simulation Results of the Adaptive Full-Order SMO
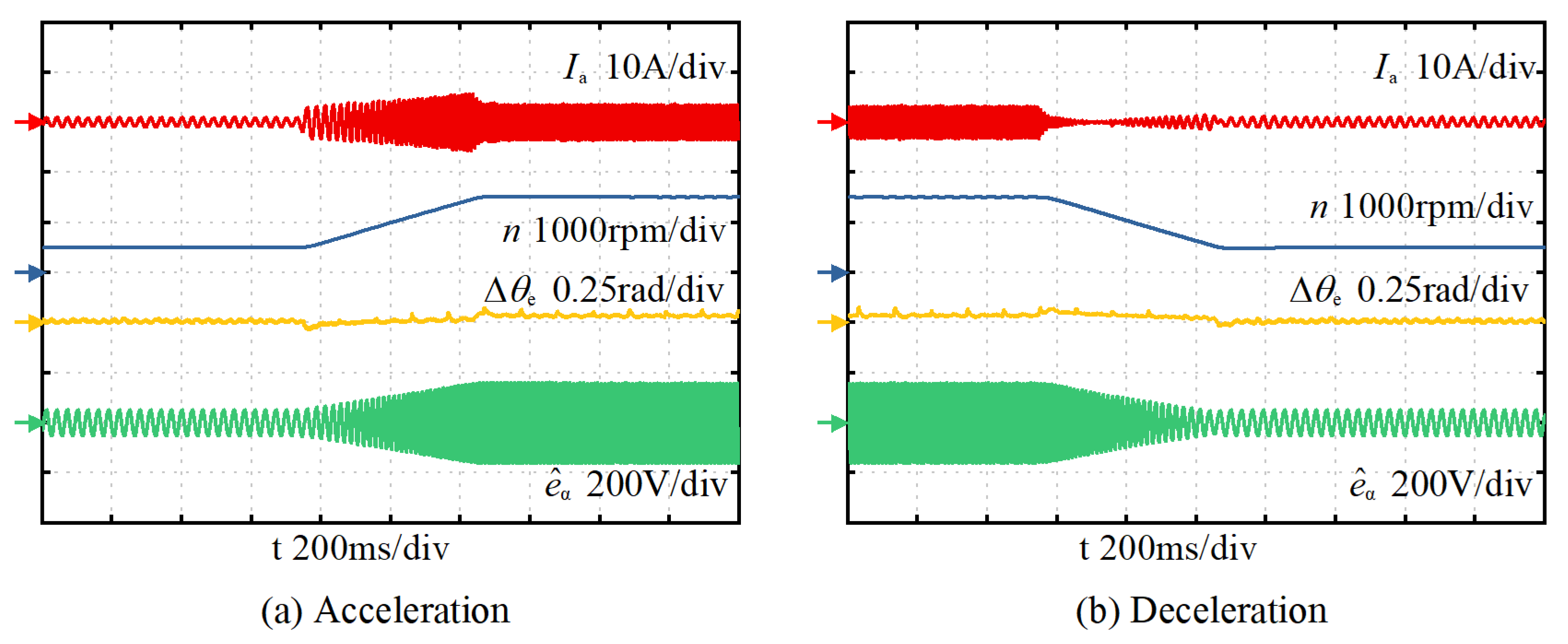
4.1.4. Simulation Results of the Conventional SMO and Adaptive Full-Order SMO During Dynamic Motor Operation
4.2. Experimental Validation
4.2.1. Experimental Results of the Conventional SMO
4.2.2. Experimental Results of the Full-Order SMO
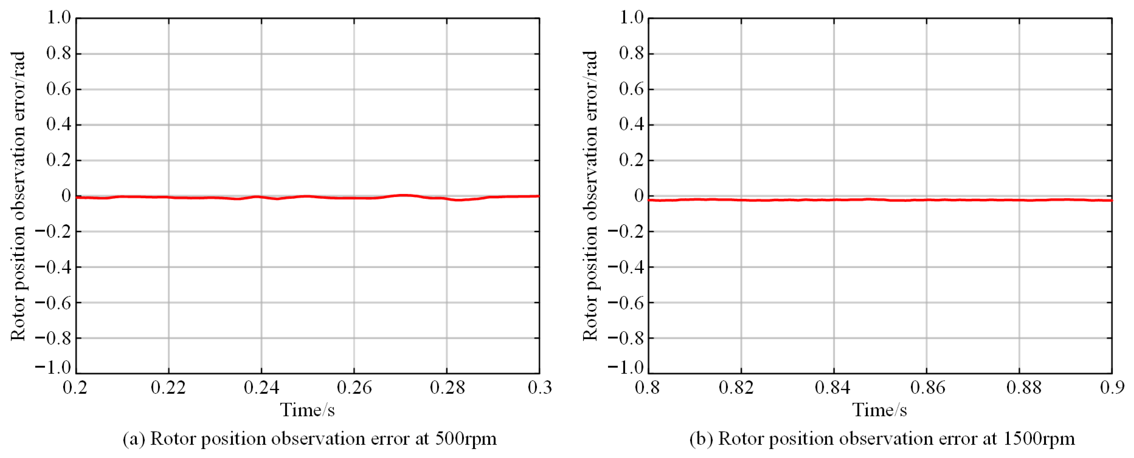
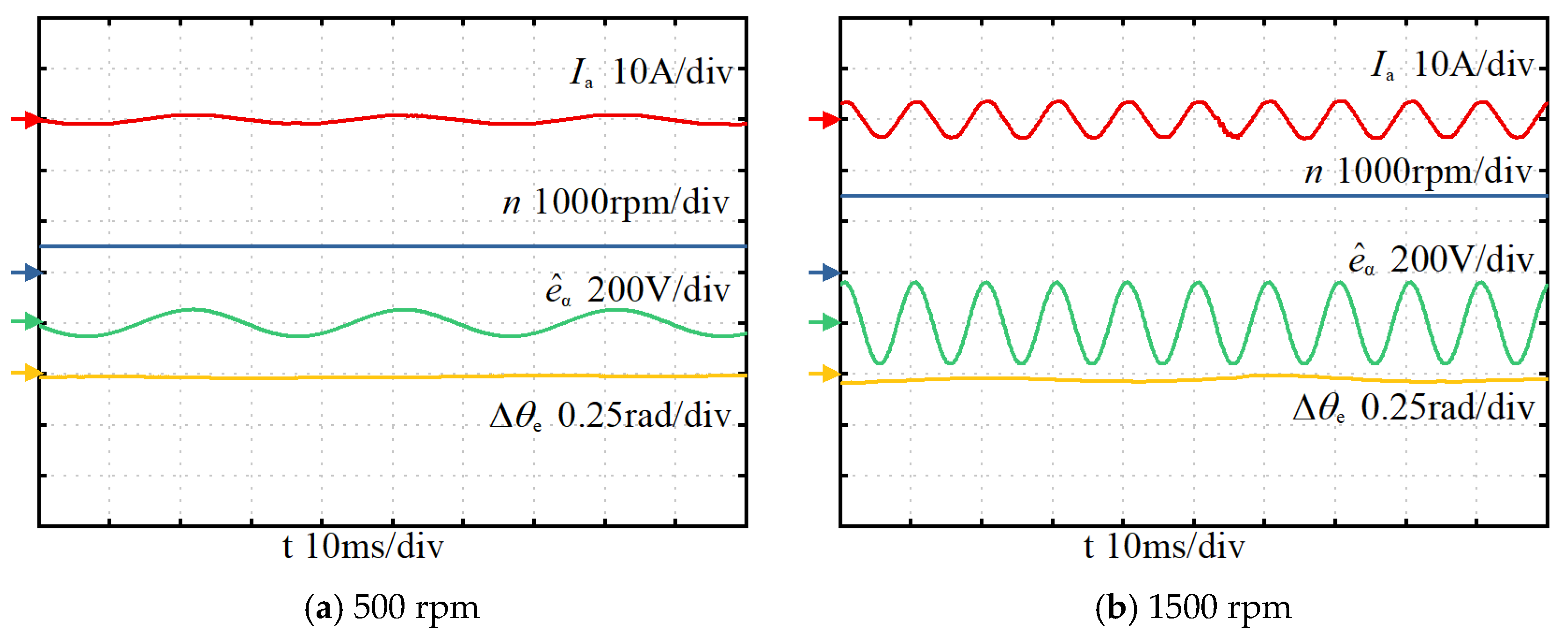
4.2.3. Experimental Results of the Adaptive Full-Order SMO
5. Conclusions
Author Contributions
Funding
Data Availability Statement
Acknowledgments
Conflicts of Interest
References
- Tang, Z.C.; Ma, C.W.; Song, W.S.; Li, J.Y.; Yue, H. A Robustness-Improved Data-Driven Predictive Current Control for SPMSM Drives Through Iteratively Reweighted Least Square Solution. IEEE Trans. Transp. Electrif. 2025, 11, 12393–12404. [Google Scholar] [CrossRef]
- Ma, C.W.; Wu, Y.Q.; Song, W.S.; Li, J.Y.; Hu, X.L. Pulse Pattern Optimization-Assisted MPC for SiC-Based PMSM Drives to Reduce Both Common-Mode and Differential-Model Voltages. IEEE Trans. Power Electron. 2025, 40, 9107–9120. [Google Scholar] [CrossRef]
- Song, W.S.; Li, J.Y.; Ma, C.W.; Xia, Y.B.; Yu, B. A Simple Tuning Method of PI Regulators in FOC for PMSM Drives Based on Deadbeat Predictive Conception. IEEE Trans. Transp. Electrif. 2024, 10, 9852–9863. [Google Scholar] [CrossRef]
- Wang, S.Q.; Ding, D.W.; Zhang, G.Q. Flux observer based on enhanced second-order generalized integrator with limit cycle oscillator for sensorless PMSM drives. IEEE Trans. Power Electron. 2023, 38, 15982–15995. [Google Scholar] [CrossRef]
- Khajueezadeh, M.S.; Emadaleslami, M.; Tootoonchian, F. Comprehensive investigation of the resolver’s eccentricity effect on the field-oriented control of PMSM. IEEE Sens. J. 2023, 23, 19145–19152. [Google Scholar] [CrossRef]
- Yao, X.L.; Huang, S.Q.; Wang, J.F. Improved ROGI-FLL-based sensorless model predictive current control with MRAS parameter identification for SPMSM drives. IEEE J. Emerg. Sel. Top. Power Electron. 2023, 11, 1684–1695. [Google Scholar] [CrossRef]
- Wang, G.L.; Valla, M.; Solsona, J. Position sensorless permanent magnet synchronous machine drives—A review. IEEE Trans. Ind. Electron. 2020, 67, 5830–5842. [Google Scholar] [CrossRef]
- Luo, X.; Shen, A.W.; Tang, Q.P. Two-step continuous-control set model predictive current control strategy for SPMSM sensorless drives. IEEE Trans. Energy Convers. 2021, 36, 1110–1120. [Google Scholar] [CrossRef]
- Bernard, P.; Praly, L. Estimation of Position and Resistance of a Sensorless PMSM: A Nonlinear Luenberger Approach for a Nonobservable System. IEEE Trans. Autom. Control. 2021, 66, 481–496. [Google Scholar] [CrossRef]
- Kivanc, O.C.; Ozturk, S.B. Sensorless PMSM Drive Based on Stator Feedforward Voltage Estimation Improved with MRAS Multiparameter Estimation. IEEE/ASME Trans. Mech. 2018, 23, 1326–1337. [Google Scholar] [CrossRef]
- Wang, Z.; Zhang, Y.; Zou, Z. Position Sensorless Control of Interleaved CSI Fed PMSM Drive with Extended Kalman Filter. IEEE Trans. Magnet. 2012, 48, 3688–3691. [Google Scholar] [CrossRef]
- Filho, C.J.V.; Xiao, D.; Vieira, R.P. Observers for High-Speed Sensorless PMSM Drives: Design Methods, Tuning Challenges and Future Trends. IEEE Access 2021, 9, 56397–56415. [Google Scholar] [CrossRef]
- Sreejith, R.; Singh, B. Sensorless predictive current control of PMSM EV drive using DSOGI-FLL based sliding mode observer. IEEE Trans. Ind. Electron. 2021, 68, 5537–5547. [Google Scholar] [CrossRef]
- Wang, Y.R.; Xu, Y.X.; Zou, J.B. Sliding-mode sensorless control of PMSM with inverter nonlinearity compensation. IEEE Trans. Power Electron. 2019, 34, 10206–10220. [Google Scholar] [CrossRef]
- Gong, C.; Hu, Y.H.; Gao, J.Q. An improved delay-suppressed sliding-mode observer for sensorless vector-controlled PMSM. IEEE Trans. Ind. Electron. 2020, 67, 5913–5923. [Google Scholar] [CrossRef]
- Sreejith, R.; Singh, B. Sensorless predictive control of SPMSM-driven light EV drive using modified speed adaptive super twisting sliding mode observer with MAF-PLL. IEEE J. Emerg. Sel. Top. Power Electron. 2021, 2, 42–52. [Google Scholar]
- Cheng, H.; Sun, S.L.; Zhou, X.Q. Sensorless DPCC of PMLSM using SOGI-PLL-based high-order SMO with cogging force feedforward compensation. IEEE Trans. Transp. Electrif. 2022, 8, 1094–1104. [Google Scholar] [CrossRef]
- Song, X.D.; Fang, J.C.; Han, B.C. Adaptive Compensation Method for High-Speed Surface PMSM Sensorless Drives of EMF-Based Position Estimation Error. IEEE Trans. Power Electron. 2016, 31, 1438–1449. [Google Scholar] [CrossRef]
- Yao, X.L.; Huang, S.Q. Improved AVF-PLL-Based Position Estimation Scheme for SPMSM Sensorless Drives. IEEE Trans. Energy Convers. 2022, 37, 2428–2437. [Google Scholar] [CrossRef]
- Tao, L.Y.; Wang, J.; Chen, D.D.; Zhou, L.L. A Robust Hybrid Complex Coefficient Filter Without Frequency Coupling for Position Estimation Accuracy Improvement of PMSM. IEEE J. Emerg. Sel. Top. Power Electron. 2024, 12, 2799–2808. [Google Scholar] [CrossRef]
- Kumar, S.; Singh, B. Sensorless Super-Twisting SMO Based PMSM Drive With Improved DANF-PLL for Hybrid Three-Wheeler EV Application. IEEE Trans. Ind. Electron. 2025, 61, 7362–7371. [Google Scholar] [CrossRef]


















| Parameter | Variable | Value |
|---|---|---|
| P | kW | 2.3 |
| np | / | 4 |
| Rs | Ω | 0.7 |
| Ls | mH | 4.62 |
| ψf | Wb | 0.267 |
| Ts | μs | 100 |
| Udc | V | 311 |
| TN | Nm | 15 |
Disclaimer/Publisher’s Note: The statements, opinions and data contained in all publications are solely those of the individual author(s) and contributor(s) and not of MDPI and/or the editor(s). MDPI and/or the editor(s) disclaim responsibility for any injury to people or property resulting from any ideas, methods, instructions or products referred to in the content. |
© 2026 by the authors. Licensee MDPI, Basel, Switzerland. This article is an open access article distributed under the terms and conditions of the Creative Commons Attribution (CC BY) license.
Share and Cite
Huang, S.; Huang, Y.; Wang, L.; Shi, L.; Zhang, J. An Adaptive Full-Order Sliding-Mode Observer Based-Sensorless Control for Permanent Magnet Synchronous Propulsion Motors Drives. Vehicles 2026, 8, 34. https://doi.org/10.3390/vehicles8020034
Huang S, Huang Y, Wang L, Shi L, Zhang J. An Adaptive Full-Order Sliding-Mode Observer Based-Sensorless Control for Permanent Magnet Synchronous Propulsion Motors Drives. Vehicles. 2026; 8(2):34. https://doi.org/10.3390/vehicles8020034
Chicago/Turabian StyleHuang, Shengqi, Yuqing Huang, Le Wang, Lei Shi, and Junwu Zhang. 2026. "An Adaptive Full-Order Sliding-Mode Observer Based-Sensorless Control for Permanent Magnet Synchronous Propulsion Motors Drives" Vehicles 8, no. 2: 34. https://doi.org/10.3390/vehicles8020034
APA StyleHuang, S., Huang, Y., Wang, L., Shi, L., & Zhang, J. (2026). An Adaptive Full-Order Sliding-Mode Observer Based-Sensorless Control for Permanent Magnet Synchronous Propulsion Motors Drives. Vehicles, 8(2), 34. https://doi.org/10.3390/vehicles8020034

