Previous Lactation Risk Factors Associated with Hyperketonemia in the First Week Postpartum in Dairy Cows: A Retrospective Analysis
Abstract
1. Introduction
2. Materials and Methods
Statistical Analysis
3. Results
3.1. Descriptive Results
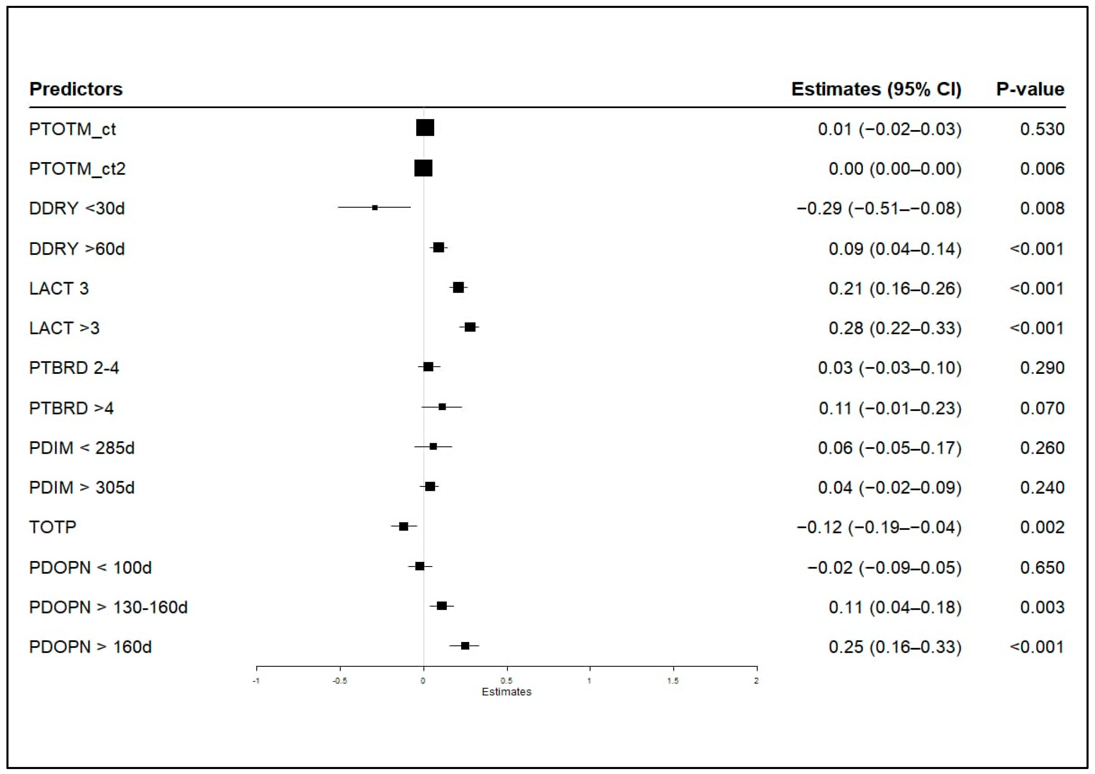
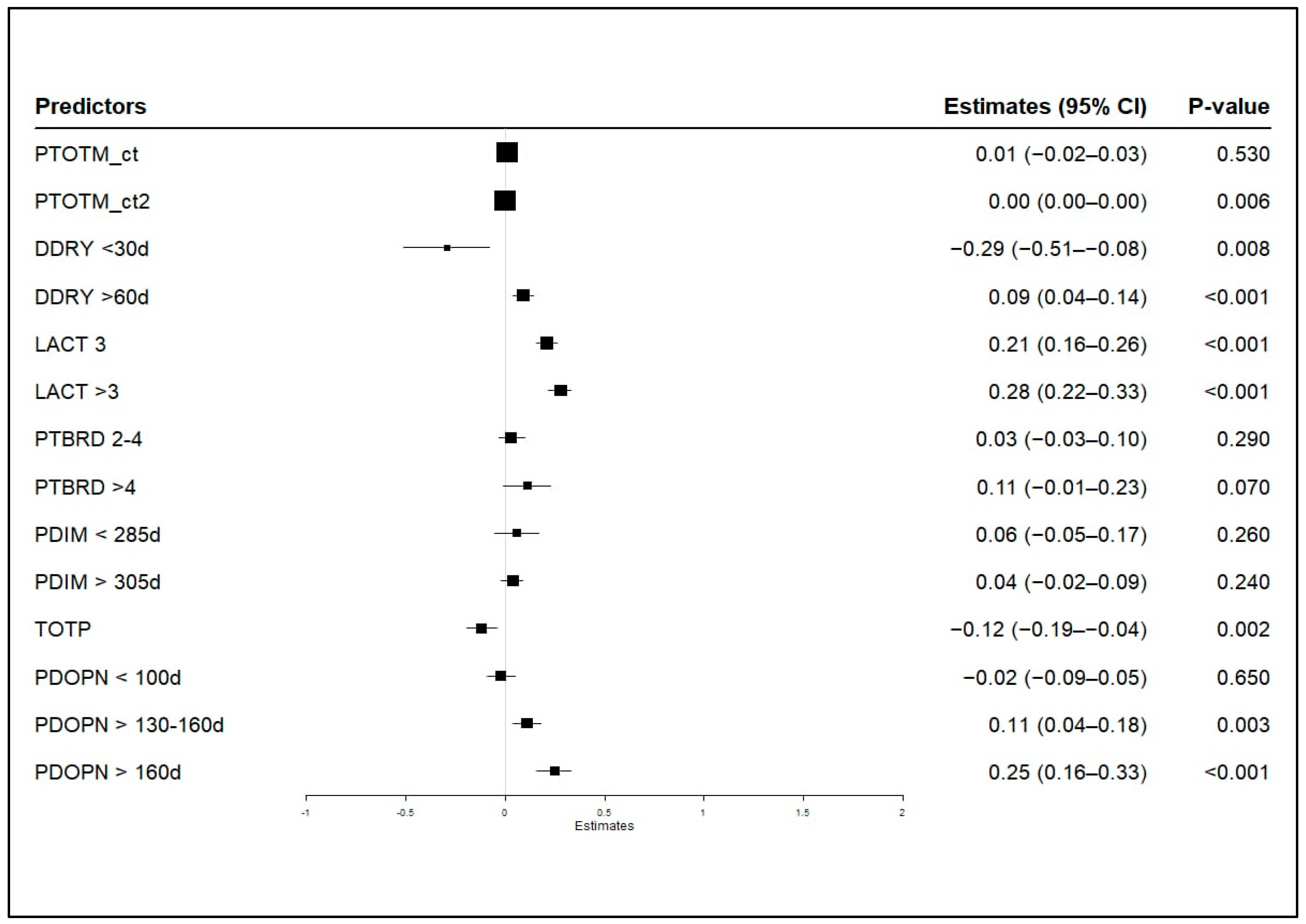
3.2. Multivariable Linear Mixed Model and BHB
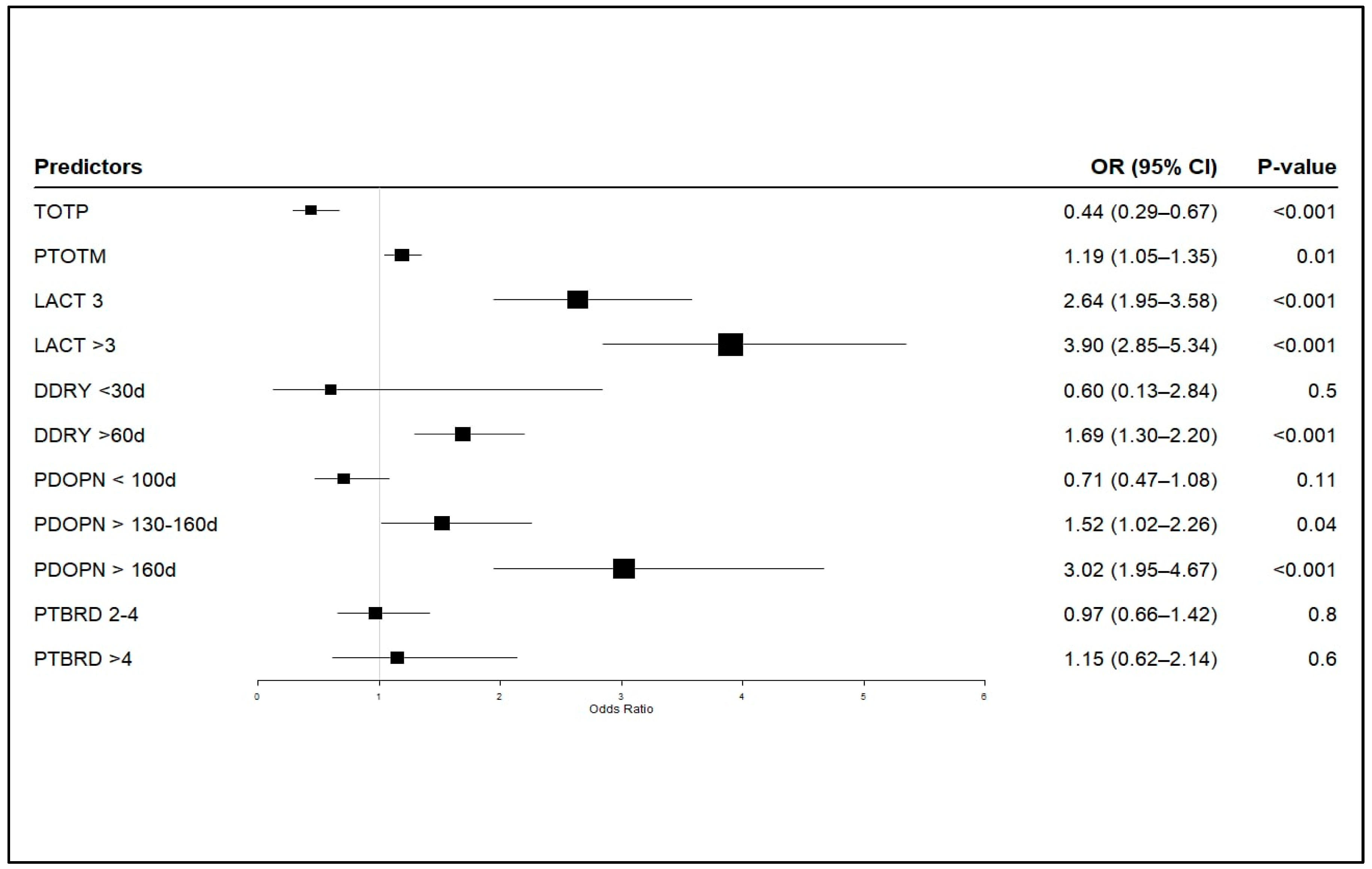
3.3. Generalized Linear Mixed Model and HYK Status
4. Discussion
5. Conclusions
Author Contributions
Funding
Institutional Review Board Statement
Informed Consent Statement
Data Availability Statement
Acknowledgments
Conflicts of Interest
References
- Grant, R.J.; Albright, J.L. Feeding Behavior and Management Factors during the Transition Period in Dairy Cattle. J. Anim. Sci. 1995, 73, 2791–2803. [Google Scholar] [CrossRef] [PubMed]
- Schirmann, K.; Weary, D.M.; Heuwieser, W.; Chapinal, N.; Cerri, R.L.A.; von Keyserlingk, M.A.G. Short Communication: Rumination and Feeding Behaviors Differ between Healthy and Sick Dairy Cows during the Transition Period. J. Dairy Sci. 2016, 99, 9917–9924. [Google Scholar] [CrossRef] [PubMed]
- Herdt, T.H. Ruminant Adaptation to Negative Energy Balance: Influences on the Etiology of Ketosis and Fatty Liver. Vet. Clin. N. Am. Food Anim. Pract. 2000, 16, 215–230. [Google Scholar] [CrossRef] [PubMed]
- Contreras, G.A.; O’Boyle, N.J.; Herdt, T.H.; Sordillo, L.M. Lipomobilization in Periparturient Dairy Cows Influences the Composition of Plasma Nonesterified Fatty Acids and Leukocyte Phospholipid Fatty Acids. J. Dairy Sci. 2010, 93, 2508–2516. [Google Scholar] [CrossRef]
- Chapinal, N.; Carson, M.; Duffield, T.F.; Capel, M.; Godden, S.; Overton, M.; Santos, J.E.P.; LeBlanc, S.J. The Association of Serum Metabolites with Clinical Disease during the Transition Period. J. Dairy Sci. 2011, 94, 4897–4903. [Google Scholar] [CrossRef]
- Caixeta, L.S.; Ospina, P.A.; Capel, M.B.; Nydam, D.V. The Association of Subclinical Hypocalcemia, Negative Energy Balance and Disease with Bodyweight Change during the First 30 Days Post-Partum in Dairy Cows Milked with Automatic Milking Systems. Vet. J. 2015, 204, 150–156. [Google Scholar] [CrossRef]
- Duffield, T. Subclinical Ketosis in Lactating Dairy Cattle. Vet. Clin. N. Am. Food Anim. Pract. 2000, 16, 231–253. [Google Scholar] [CrossRef]
- McArt, J.A.A.; Nydam, D.V.; Oetzel, G.R. Epidemiology of Subclinical Ketosis in Early Lactation Dairy Cattle. J. Dairy Sci. 2012, 95, 5056–5066. [Google Scholar] [CrossRef]
- McArt, J.A.A.; Nydam, D.V.; Oetzel, G.R.; Overton, T.R.; Ospina, P.A. Elevated Non-Esterified Fatty Acids and β-Hydroxybutyrate and Their Association with Transition Dairy Cow Performance. Vet. J. 2013, 198, 560–570. [Google Scholar] [CrossRef]
- Jeong, J.-K.; Choi, I.-S.; Moon, S.-H.; Lee, S.-C.; Kang, H.-G.; Jung, Y.-H.; Park, S.-B.; Kim, I.-H. Risk Factors for Ketosis in Dairy Cows and Associations with Some Blood Metabolite Concentrations. J. Vet. Clin. 2017, 34, 255–260. [Google Scholar] [CrossRef]
- Duffield, T.F.; Lissemore, K.D.; McBride, B.W.; Leslie, K.E. Impact of Hyperketonemia in Early Lactation Dairy Cows on Health and Production. J. Dairy Sci. 2009, 92, 571–580. [Google Scholar] [CrossRef] [PubMed]
- Ospina, P.A.; Nydam, D.V.; Stokol, T.; Overton, T.R. Association between the Proportion of Sampled Transition Cows with Increased Nonesterified Fatty Acids and β-Hydroxybutyrate and Disease Incidence, Pregnancy Rate, and Milk Production at the Herd Level. J. Dairy Sci. 2010, 93, 3595–3601. [Google Scholar] [CrossRef] [PubMed]
- Chapinal, N.; LeBlanc, S.J.; Carson, M.E.; Leslie, K.E.; Godden, S.; Capel, M.; Santos, J.E.P.; Overton, M.W.; Duffield, T.F. Herd-Level Association of Serum Metabolites in the Transition Period with Disease, Milk Production, and Early Lactation Reproductive Performance. J. Dairy Sci. 2012, 95, 5676–5682. [Google Scholar] [CrossRef]
- Suthar, V.S.; Canelas-Raposo, J.; Deniz, A.; Heuwieser, W. Prevalence of Subclinical Ketosis and Relationships with Postpartum Diseases in European Dairy Cows. J. Dairy Sci. 2013, 96, 2925–2938. [Google Scholar] [CrossRef]
- Buttchereit, N.; Stamer, E.; Junge, W.; Thaller, G. Short Communication: Genetic Relationships among Daily Energy Balance, Feed Intake, Body Condition Score, and Fat to Protein Ratio of Milk in Dairy Cows. J. Dairy Sci. 2011, 94, 1586–1591. [Google Scholar] [CrossRef]
- Oikonomou, G.; Valergakis, G.E.; Arsenos, G.; Roubies, N.; Banos, G. Genetic Profile of Body Energy and Blood Metabolic Traits Across Lactation in Primiparous Holstein Cows. J. Dairy Sci. 2008, 91, 2814–2822. [Google Scholar] [CrossRef]
- Goldhawk, C.; Chapinal, N.; Veira, D.M.; Weary, D.M.; von Keyserlingk, M.A.G. Prepartum Feeding Behavior Is an Early Indicator of Subclinical Ketosis. J. Dairy Sci. 2009, 92, 4971–4977. [Google Scholar] [CrossRef]
- Hayirli, A.; Grummer, R.R.; Nordheim, E.V.; Crump, P.M. Animal and Dietary Factors Affecting Feed Intake During the Prefresh Transition Period in Holsteins. J. Dairy Sci. 2002, 85, 3430–3443. [Google Scholar] [CrossRef]
- McArt, J.A.A.; Nydam, D.V.; Oetzel, G.R. Dry Period and Parturient Predictors of Early Lactation Hyperketonemia in Dairy Cattle. J. Dairy Sci. 2013, 96, 198–209. [Google Scholar] [CrossRef]
- Garro, C.J.; Mian, L.; Cobos Roldán, M. Subclinical Ketosis in Dairy Cows: Prevalence and Risk Factors in Grazing Production System. J. Anim. Physiol. Anim. Nutr. 2014, 98, 838–844. [Google Scholar] [CrossRef]
- Vanholder, T.; Papen, J.; Bemers, R.; Vertenten, G.; Berge, A.C.B. Risk Factors for Subclinical and Clinical Ketosis and Association with Production Parameters in Dairy Cows in the Netherlands. J. Dairy Sci. 2015, 98, 880–888. [Google Scholar] [CrossRef] [PubMed]
- Berge, A.C.; Vertenten, G. A Field Study to Determine the Prevalence, Dairy Herd Management Systems, and Fresh Cow Clinical Conditions Associated with Ketosis in Western European Dairy Herds. J. Dairy Sci. 2014, 97, 2145–2154. [Google Scholar] [CrossRef] [PubMed]
- NRC. Nutrient Requirements of Dairy Cattle, 7th ed.; National Academies Press: Washington, DC, USA, 2001; ISBN 978-0-309-06997-7.
- Iwersen, M.; Falkenberg, U.; Voigtsberger, R.; Forderung, D.; Heuwieser, W. Evaluation of an Electronic Cowside Test to Detect Subclinical Ketosis in Dairy Cows. J. Dairy Sci. 2009, 92, 2618–2624. [Google Scholar] [CrossRef]
- de Feu, M.A.; Evans, A.C.O.; Lonergan, P.; Butler, S.T. The Effect of Dry Period Duration and Dietary Energy Density on Milk Production, Bioenergetic Status, and Postpartum Ovarian Function in Holstein-Friesian Dairy Cows. J. Dairy Sci. 2009, 92, 6011–6022. [Google Scholar] [CrossRef]
- Klusmeyer, T.H.; Fitzgerald, A.C.; Fabellar, A.C.; Ballam, J.M.; Cady, R.A.; Vicini, J.L. Effect of Recombinant Bovine Somatotropin and a Shortened or No Dry Period on the Performance of Lactating Dairy Cows. J. Dairy Sci. 2009, 92, 5503–5511. [Google Scholar] [CrossRef]
- Pezeshki, A.; Mehrzad, J.; Ghorbani, G.R.; Rahmani, H.R.; Collier, R.J.; Burvenich, C. Effects of Short Dry Periods on Performance and Metabolic Status in Holstein Dairy Cows. J. Dairy Sci. 2007, 90, 5531–5541. [Google Scholar] [CrossRef]
- Santschi, D.E.; Lefebvre, D.M.; Cue, R.I.; Girard, C.L.; Pellerin, D. Incidence of Metabolic Disorders and Reproductive Performance Following a Short (35-d) or Conventional (60-d) Dry Period Management in Commercial Holstein Herds. J. Dairy Sci. 2011, 94, 3322–3330. [Google Scholar] [CrossRef]
- Watters, R.D.; Guenther, J.N.; Brickner, A.E.; Rastani, R.R.; Crump, P.M.; Clark, P.W.; Grummer, R.R. Effects of Dry Period Length on Milk Production and Health of Dairy Cattle. J. Dairy Sci. 2008, 91, 2595–2603. [Google Scholar] [CrossRef]
- Rastani, R.R.; Grummer, R.R.; Bertics, S.J.; Gümen, A.; Wiltbank, M.C.; Mashek, D.G.; Schwab, M.C. Reducing Dry Period Length to Simplify Feeding Transition Cows: Milk Production, Energy Balance, and Metabolic Profiles. J. Dairy Sci. 2005, 88, 1004–1014. [Google Scholar] [CrossRef]
- Zhao, X.; Ponchon, B.; Lanctôt, S.; Lacasse, P. Invited Review: Accelerating Mammary Gland Involution after Drying-off in Dairy Cattle. J. Dairy Sci. 2019, 102, 6701–6717. [Google Scholar] [CrossRef]
- Asl, A.N.; Nazifi, S.; Ghasrodashti, A.R.; Olyaee, A. Prevalence of Subclinical Ketosis in Dairy Cattle in the Southwestern Iran and Detection of Cutoff Point for NEFA and Glucose Concentrations for Diagnosis of Subclinical Ketosis. Prev. Vet. Med. 2011, 100, 38–43. [Google Scholar] [CrossRef] [PubMed]
- Janovick, N.A.; Boisclair, Y.R.; Drackley, J.K. Prepartum Dietary Energy Intake Affects Metabolism and Health during the Periparturient Period in Primiparous and Multiparous Holstein Cows1. J. Dairy Sci. 2011, 94, 1385–1400. [Google Scholar] [CrossRef] [PubMed]
- Theinert, K.B.; Snedec, T.; Pietsch, F.; Theile, S.; Leonhardt, A.-S.; Spilke, J.; Pichelmann, S.; Bannert, E.; Reichelt, K.; Dobeleit, G.; et al. Qualitative and Quantitative Changes in Total Lipid Concentration and Lipid Fractions in Liver Tissue of Periparturient German Holstein Dairy Cows of Two Age Groups. Front. Vet. Sci. 2022, 9, 814808. [Google Scholar] [CrossRef] [PubMed]
- Gordon, J. Risk Factors for and Treatment of Ketosis in Lactating Dairy Cattle. Ph.D. Thesis, University of Guelph, Guelph, ON, Canada, 2013. [Google Scholar]
- Viña, C.; Fouz, R.; Camino, F.; Sanjuán, M.L.; Yus, E.; Diéguez, F.J. Study on Some Risk Factors and Effects of Bovine Ketosis on Dairy Cows from the Galicia Region (Spain). J. Anim. Physiol. Anim. Nutr. 2017, 101, 835–845. [Google Scholar] [CrossRef]
- Gillund, P.; Reksen, O.; Gröhn, Y.T.; Karlberg, K. Body Condition Related to Ketosis and Reproductive Performance in Norwegian Dairy Cows. J. Dairy Sci. 2001, 84, 1390–1396. [Google Scholar] [CrossRef]
- Tillard, E.; Humblot, P.; Faye, B.; Lecomte, P.; Dohoo, I.; Bocquier, F. Postcalving Factors Affecting Conception Risk in Holstein Dairy Cows in Tropical and Sub-Tropical Conditions. Theriogenology 2008, 69, 443–457. [Google Scholar] [CrossRef]
- Harman, J.L.; Casella, G.; Gröhn, Y.T. The Application of Event-Time Regression Techniques to the Study of Dairy Cow Interval-to-Conception. Prev. Vet. Med. 1996, 26, 263–274. [Google Scholar] [CrossRef]
- Inchaisri, C.; Jorritsma, R.; Vos, P.L.A.M.; van der Weijden, G.C.; Hogeveen, H. Economic Consequences of Reproductive Performance in Dairy Cattle. Theriogenology 2010, 74, 835–846. [Google Scholar] [CrossRef]
- Cabrera, V.E. Economics of Fertility in High-Yielding Dairy Cows on Confined TMR Systems. Animal 2014, 8, 211–221. [Google Scholar] [CrossRef]
- Grimard, B.; Freret, S.; Chevallier, A.; Pinto, A.; Ponsart, C.; Humblot, P. Genetic and Environmental Factors Influencing First Service Conception Rate and Late Embryonic/Foetal Mortality in Low Fertility Dairy Herds. Anim. Reprod. Sci. 2006, 91, 31–44. [Google Scholar] [CrossRef]
- Roche, J.R.; Macdonald, K.A.; Burke, C.R.; Lee, J.M.; Berry, D.P. Associations Among Body Condition Score, Body Weight, and Reproductive Performance in Seasonal-Calving Dairy Cattle. J. Dairy Sci. 2007, 90, 376–391. [Google Scholar] [CrossRef]
- Temesgen, M.Y.; Assen, A.A.; Gizaw, T.T.; Minalu, B.A.; Mersha, A.Y. Factors Affecting Calving to Conception Interval (Days Open) in Dairy Cows Located at Dessie and Kombolcha Towns, Ethiopia. PLoS ONE 2022, 17, e0264029. [Google Scholar] [CrossRef]


| Item | Herd A | Herd B | Herd C | Herd D | Herd E | Herd F | Herd G |
|---|---|---|---|---|---|---|---|
| Herd size (n) | 690 | 1526 | 1287 | 2071 | 1368 | 3445 | 4417 |
| Lactation, n (%) | |||||||
| Lactation = 1 | 255 (37) | 560 (37) | 447 (35) | 800 (39) | 452 (33) | 1104 (32) | 1700 (38) |
| Lactation = 2 | 203 (29) | 457(30) | 394 (30) | 536 (26) | 379 (28) | 1073 (31) | 1338 (30) |
| Lactation ≥ 3 | 232 (34) | 509 (33) | 446 (35) | 735 (35) | 537 (39 | 1268 (37) | 1379 (32) |
| 305 d milk yield (kg) | 14,276 | 11,184 | 13,021 | 12,560 | 12,610 | 12,667 | 13,036 |
| Variable * | Herd A | Herd B | Herd C | Herd D | Herd E | Herd F | Herd G | Overall |
|---|---|---|---|---|---|---|---|---|
| (N = 53) | (N = 599) | (N = 131) | (N = 191) | (N = 252) | (N = 410) | (N = 700) | (N = 2336) | |
| BHB (mmol/L) | 0.87 (0.61) | 0.67 (0.32) | 1.10 (1.09) | 0.73 (0.36) | 0.94 (0.78) | 0.95 (0.66) | 1.04 (0.70) | 0.89 (0.65) |
| PTOTM (kg) | 13,000 (2330) | 11,700 (2490) | 13,200 (2880) | 9770 (2250) | 12,800 (2460) | 13,000 (2680) | 14,500 (3760) | 12,800 (3200) |
| PTOTP (kg) | 401 (68) | 380 (81) | 425 (82) | 308 (65) | 401 (78) | 409 (79) | 472 (119) | 412 (104) |
| Variable | Herd A | Herd B | Herd C | Herd D | Herd E | Herd F | Herd G | Overall |
|---|---|---|---|---|---|---|---|---|
| (N = 53) | (N = 599) | (N = 131) | (N = 191) | (N = 252) | (N = 410) | (N = 700) | (N = 2336) | |
| Hyperketonemia | ||||||||
| HYK− | 46 (86.8%) | 562 (93.8%) | 93 (71.0%) | 175 (91.6%) | 206 (81.7%) | 323 (78.8%) | 508 (72.6%) | 1913 (81.9%) |
| HYK+ | 7 (13.2%) | 37 (6.2%) | 36 (27.5%) | 16 (8.4%) | 46 (18.3%) | 87 (21.2%) | 192 (27.4%) | 421 (18.0%) |
| Missing | 0 (0%) | 0 (0%) | 2 (1.5%) | 0 (0%) | 0 (0%) | 0 (0%) | 0 (0%) | 2 (0.1%) |
| Lactation | ||||||||
| 2 | 22 (41.5%) | 225 (37.6%) | 54 (41.2%) | 76 (39.8%) | 105 (41.7%) | 172 (42.0%) | 311 (44.4%) | 965 (41.3%) |
| 3 | 15 (28.3%) | 185 (30.9%) | 34 (26.0%) | 65 (34.0%) | 80 (31.7%) | 113 (27.5%) | 204 (29.2%) | 696 (29.8%) |
| >3 | 16 (30.2%) | 189 (31.5%) | 43 (32.8%) | 50 (26.2%) | 67 (26.6%) | 125 (30.5%) | 185 (26.4%) | 675 (28.9%) |
| Previous lactation times bred | ||||||||
| 1 | 46 (86.8%) | 315 (52.6%) | 90 (68.7%) | 67 (35.1%) | 157 (62.3%) | 174 (42.4%) | 232 (33.2%) | 1081 (46.3%) |
| (2–4) | 7 (13.2%) | 263 (43.9%) | 37 (28.2%) | 122 (63.9%) | 86 (34.1%) | 218 (53.2%) | 381 (54.4%) | 1114 (47.7%) |
| >4 | 0 (0%) | 21 (3.5%) | 4 (3.1%) | 2 (1.0%) | 9 (3.6%) | 18 (4.4%) | 87 (12.4%) | 141 (6.0%) |
| Peak milk production in previous lactation | ||||||||
| <40 kg | 1 (1.9%) | 154 (25.7%) | 8 (6.1%) | 56 (29.3%) | 61 (24.2%) | 90 (22.0%) | 85 (12.1%) | 455 (19.5%) |
| >40–50 kg | 9 (17.0%) | 230 (38.4%) | 29 (22.1%) | 57 (29.8%) | 105 (41.7%) | 118 (28.8%) | 182 (26.0%) | 730 (31.2%) |
| >50–60 kg | 16 (30.2%) | 177 (29.6%) | 38 (29.0%) | 58 (30.4%) | 63 (25.0%) | 134 (32.7%) | 228 (32.6%) | 714 (30.6%) |
| >60 kg | 27 (50.9%) | 38 (6.3%) | 56 (42.7%) | 20 (10.5%) | 23 (9.1%) | 68 (16.5%) | 205 (29.3%) | 437 (18.7%) |
| Previous lactation days in milk | ||||||||
| <285 days | 0 (0%) | 41 (6.8%) | 1 (0.8%) | 22 (11.5%) | 4 (1.6%) | 1 (0.2%) | 39 (5.6%) | 108 (4.6%) |
| 285–305 days | 46 (86.8%) | 180 (30.1%) | 83 (63.4%) | 67 (35.1%) | 139 (55.1%) | 106 (25.9%) | 145 (20.7%) | 766 (32.8%) |
| >305 days | 7 (13.2%) | 378 (63.1%) | 47 (35.8%) | 102 (53.4%) | 109 (43.3%) | 303 (73.9%) | 516 (73.7%) | 1462 (62.6%) |
| Days dry | ||||||||
| <30 days | 1 (1.8%) | 9 (1.5%) | 0 (0%) | 0 (0%) | 2 (0.8%) | 0 (0%) | 7 (1.0%) | 19 (0.8%) |
| 30–60 days | 49 (92.5%) | 455 (76.0%) | 115 (87.8%) | 165 (86.4%) | 228 (90.5%) | 322 (78.5%) | 375 (53.6%) | 1709 (73.2%) |
| >60 days | 3 (5.7%) | 135 (22.5%) | 16 (12.2%) | 26 (13.6%) | 22 (8.7%) | 88 (21.5%) | 318 (45.4%) | 608 (26.0%) |
| Previous lactation days carrying calf | ||||||||
| <260 days | 1 (1.9%) | 10 (1.7%) | 1 (0.8%) | 0 (0%) | 1 (0.4%) | 2 (0.5%) | 13 (1.9%) | 28 (1.2%) |
| 260–280 days | 50 (94.3%) | 303 (50.6%) | 94 (71.8%) | 144 (75.4%) | 162 (64.3%) | 193 (47.1%) | 375 (53.6%) | 1321 (56.6%) |
| >280 days | 2 (3.8%) | 286 (47.7%) | 36 (27.4%) | 47 (24.6%) | 89 (35.3%) | 210 (51.2%) | 312 (44.5%) | 982 (42.0%) |
| Missing | 0 (0%) | 0 (0%) | 0 (0%) | 0 (0%) | 0 (0%) | 5 (1.2%) | 0 (0%) | 5 (0.2%) |
| Previous lactation days open | ||||||||
| <100 days | 49 (92.5%) | 385 (64.3%) | 99 (75.6%) | 131 (68.6%) | 179 (71.0%) | 201 (49.0%) | 220 (31.4%) | 1264 (54.1%) |
| >100–130 days | 4 (7.5%) | 106 (17.7%) | 13 (9.9%) | 43 (22.5%) | 38 (15.1%) | 94 (22.9%) | 130 (18.6%) | 428 (18.3%) |
| >130–160 days | 0 (0%) | 55 (9.2%) | 12 (9.2%) | 15 (7.9%) | 16 (6.4%) | 61 (14.9%) | 146 (20.9%) | 305 (13.1%) |
| >160 days | 0 (0%) | 53 (8.8%) | 7 (5.3%) | 2 (1.0%) | 19 (7.5%) | 50 (12.2%) | 204 (29.1%) | 335 (14.3%) |
| Missing | 0 (0%) | 0 (0%) | 0 (0%) | 0 (0%) | 0 (0%) | 4 (1.0%) | 0 (0%) | 4 (0.2%) |
| Previous lactation total fat | ||||||||
| <300 kg | 0 (0%) | 22 (3.7%) | 5 (3.8%) | 67 (35.1%) | 3 (1.2%) | 2 (0.5%) | 15 (2.1%) | 114 (4.9%) |
| 300–700 kg | 53 (100%) | 569 (95.0%) | 123 (93.9%) | 124 (64.9%) | 233 (92.5%) | 390 (95.1%) | 567 (81.0%) | 2059 (88.1%) |
| >700 kg | 0 (0%) | 8 (1.3%) | 3 (2.3%) | 0 (0%) | 16 (6.3%) | 18 (4.4%) | 118 (16.9%) | 163 (7.0%) |
Disclaimer/Publisher’s Note: The statements, opinions and data contained in all publications are solely those of the individual author(s) and contributor(s) and not of MDPI and/or the editor(s). MDPI and/or the editor(s) disclaim responsibility for any injury to people or property resulting from any ideas, methods, instructions or products referred to in the content. |
© 2025 by the authors. Licensee MDPI, Basel, Switzerland. This article is an open access article distributed under the terms and conditions of the Creative Commons Attribution (CC BY) license (https://creativecommons.org/licenses/by/4.0/).
Share and Cite
Emam, M.H.; Abdallah, A.; Shepley, E.; Caixeta, L.S. Previous Lactation Risk Factors Associated with Hyperketonemia in the First Week Postpartum in Dairy Cows: A Retrospective Analysis. Dairy 2025, 6, 28. https://doi.org/10.3390/dairy6030028
Emam MH, Abdallah A, Shepley E, Caixeta LS. Previous Lactation Risk Factors Associated with Hyperketonemia in the First Week Postpartum in Dairy Cows: A Retrospective Analysis. Dairy. 2025; 6(3):28. https://doi.org/10.3390/dairy6030028
Chicago/Turabian StyleEmam, Mahmoud H., Abdelmonem Abdallah, Elise Shepley, and Luciano S. Caixeta. 2025. "Previous Lactation Risk Factors Associated with Hyperketonemia in the First Week Postpartum in Dairy Cows: A Retrospective Analysis" Dairy 6, no. 3: 28. https://doi.org/10.3390/dairy6030028
APA StyleEmam, M. H., Abdallah, A., Shepley, E., & Caixeta, L. S. (2025). Previous Lactation Risk Factors Associated with Hyperketonemia in the First Week Postpartum in Dairy Cows: A Retrospective Analysis. Dairy, 6(3), 28. https://doi.org/10.3390/dairy6030028

