Synthesis and Characterization of Quinoxaline-Fused Cyclopenta[cd]azulene
Abstract
1. Introduction
2. Materials and Methods
2.1. Chemical Reagents and Instruments
2.2. Compound Characterization
3. Results
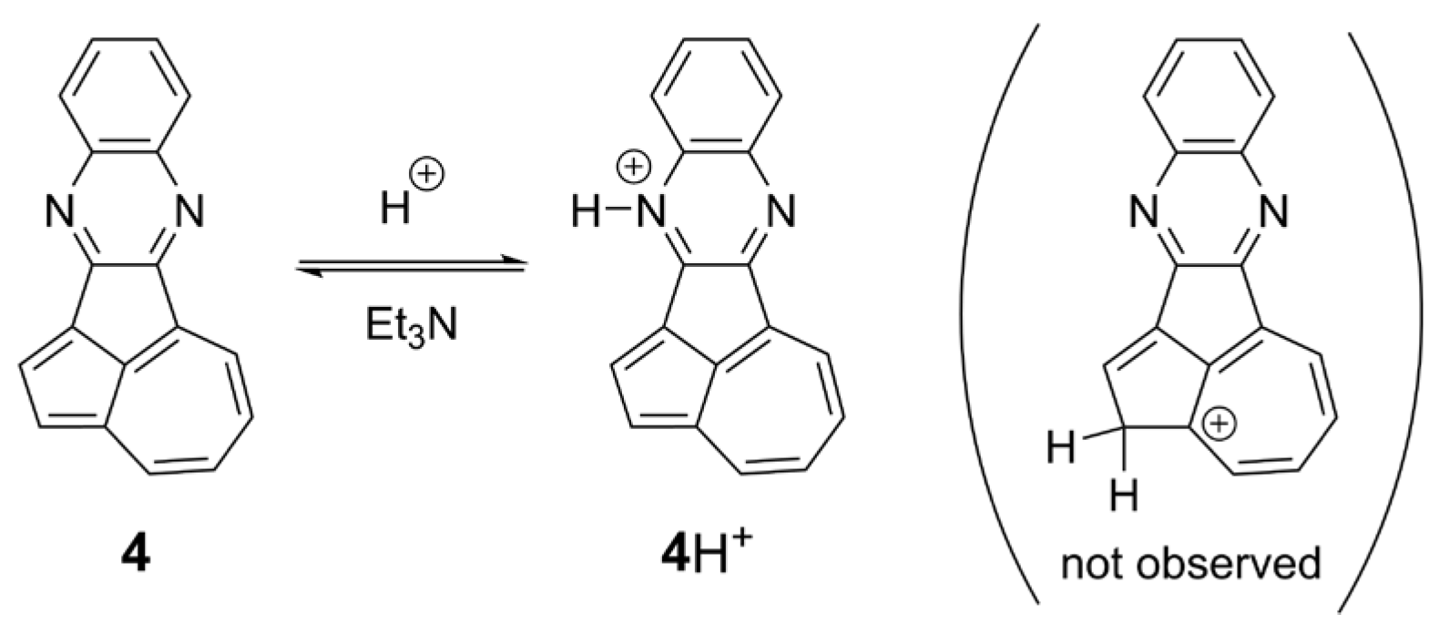
3.1. Synthesis
3.2. Molecular Geometry of 4
3.3. Optical Properties of 4
3.4. Redox Behavior of 4
4. Discussion
5. Conclusions
Supplementary Materials
Author Contributions
Funding
Data Availability Statement
Acknowledgments
Conflicts of Interest
References
- Anderson, A.G.; Steckler, B.M. Azulene. VIII. A Study of the Visible Absorption Spectra and Dipole Moments of Some 1- and 1,3-Substituted Azulenes1,2. J. Am. Chem. Soc. 1959, 81, 4941–4946. [Google Scholar] [CrossRef]
- Michl, J.; Thulstrup, E.W. Why Is Azulene Blue and Anthracene White? A Simple Mo Picture. Tetrahedron 1976, 32, 205–209. [Google Scholar] [CrossRef]
- Gleiter, R.; Haberhauer, G.; Hoffmann, R. Aromaticity and Other Conjugation Effects; Wiley-VCH: Weinheim, Germany, 2012; ISBN 978-3-527-32934-2. [Google Scholar]
- Beer, M.; Longuet-Higgins, H.C. Anomalous Light Emission of Azulene. J. Chem. Phys. 1955, 23, 1390–1391. [Google Scholar] [CrossRef]
- Dunlop, D.; Ludvíková, L.; Banerjee, A.; Ottosson, H.; Slanina, T. Excited-State (Anti)Aromaticity Explains Why Azulene Disobeys Kasha’s Rule. J. Am. Chem. Soc. 2023, 145, 21569–21575. [Google Scholar] [CrossRef]
- Xin, H.; Gao, X. Application of Azulene in Constructing Organic Optoelectronic Materials: New Tricks for an Old Dog. Chempluschem 2017, 82, 945–956. [Google Scholar] [CrossRef] [PubMed]
- Xin, H.; Hou, B.; Gao, X. Azulene-Based π-Functional Materials: Design, Synthesis, and Applications. Acc. Chem. Res. 2021, 54, 1737–1753. [Google Scholar] [CrossRef]
- Zeng, H.N.; Png, Z.M.; Xu, J. Azulene in Polymers and Their Properties. Chem. Asian J. 2020, 15, 1904–1915. [Google Scholar] [CrossRef] [PubMed]
- Huang, J.; Huang, S.; Zhao, Y.; Feng, B.; Jiang, K.; Sun, S.; Ke, C.; Kymakis, E.; Zhuang, X. Azulene-Based Molecules, Polymers, and Frameworks for Optoelectronic and Energy Applications. Small Methods 2020, 4, 2000628. [Google Scholar] [CrossRef]
- Murfin, L.C.; Lewis, S.E. Azulene—A Bright Core for Sensing and Imaging. Molecules 2021, 26, 353. [Google Scholar] [CrossRef]
- Thiemann, F.L.; Rowe, P.; Zen, A.; Müller, E.A.; Michaelides, A. Defect-Dependent Corrugation in Graphene. Nano Lett. 2021, 21, 8143–8150. [Google Scholar] [CrossRef]
- Fei, Y.; Liu, J. Synthesis of Defective Nanographenes Containing Joined Pentagons and Heptagons. Adv. Sci. 2022, 9, 2201000. [Google Scholar] [CrossRef] [PubMed]
- Wu, B.; Meng, H.; Chen, X.; Guo, Y.; Jiang, L.; Shi, X.; Zhu, J.; Long, J.; Gao, W.; Zeng, F.; et al. Structural Modulation of Nanographenes Enabled by Defects, Size and Doping for Oxygen Reduction Reaction. Angew. Chem. Int. Ed. 2024, 64, e202415071. [Google Scholar] [CrossRef]
- Razus, A.C. Syntheses of Azulene Embedded Polycyclic Compounds. Symmetry 2024, 16, 382. [Google Scholar] [CrossRef]
- Konishi, A.; Yasuda, M. Breathing New Life into Nonalternant Hydrocarbon Chemistry: Syntheses and Properties of Polycyclic Hydrocarbons Containing Azulene, Pentalene, and Heptalene Frameworks. Chem. Lett. 2021, 50, 195–212. [Google Scholar] [CrossRef]
- Chaolumen; Stepek, I.A.; Yamada, K.E.; Ito, H.; Itami, K. Construction of Heptagon-Containing Molecular Nanocarbons. Angew. Chem. Int. Ed. 2021, 60, 23508–23532. [Google Scholar] [CrossRef]
- Konishi, A.; Horii, K.; Yasuda, M. The Road to Bis-Periazulene (Cyclohepta[Def]Fluorene): Realizing One of the Long-Standing Dreams in Nonalternant Hydrocarbons. J. Phys. Org. Chem. 2023, 36, e4495. [Google Scholar] [CrossRef]
- Konishi, A.; Morinaga, A.; Yasuda, M. Construction of Polycyclic π-Conjugated Systems Incorporating an Azulene Unit Following the Oxidation of 1,8-Diphenyl-9,10-Bis(Phenylethynyl)Phenanthrene. Chem. Eur. J. 2018, 24, 8548–8552. [Google Scholar] [CrossRef]
- Sasaki, Y.; Takase, M.; Okujima, T.; Mori, S.; Uno, H. Synthesis and Redox Properties of Pyrrole- and Azulene-Fused Azacoronene. Org. Lett. 2019, 21, 1900–1903. [Google Scholar] [CrossRef]
- Zhang, X.; Huang, Y.; Zhang, J.; Meng, W.; Peng, Q.; Kong, R.; Xiao, Z.; Liu, J.; Huang, M.; Yi, Y.; et al. Dicyclohepta[Ijkl,Uvwx]Rubicene with Two Pentagons and Two Heptagons as a Stable and Planar Non-benzenoid Nanographene. Angew. Chem. Int. Ed. 2020, 59, 3529–3533. [Google Scholar] [CrossRef] [PubMed]
- Wang, S.; Tang, M.; Wu, L.; Bian, L.; Jiang, L.; Liu, J.; Tang, Z.-B.; Liang, Y.; Liu, Z. Linear Nonalternant Isomers of Acenes Fusing Multiple Azulene Units. Angew. Chem. Int. Ed. 2022, 61, e202205658. [Google Scholar] [CrossRef]
- Duan, C.; Zhang, J.; Xiang, J.; Yang, X.; Gao, X. Azulene-Embedded [n]Helicenes (n = 5, 6 and 7). Angew. Chem. Int. Ed. 2022, 61, e202201494. [Google Scholar] [CrossRef] [PubMed]
- Ong, A.; Tao, T.; Jiang, Q.; Han, Y.; Ou, Y.; Huang, K.; Chi, C. Azulene-Fused Acenes. Angew. Chem. Int. Ed. 2022, 61, e202209286. [Google Scholar] [CrossRef]
- Liang, Y.; Wang, S.; Tang, M.; Wu, L.; Bian, L.; Jiang, L.; Tang, Z.-B.; Liu, J.; Guan, A.; Liu, Z. Cascade Synthesis of Benzotriazulene with Three Embedded Azulene Units and Large Stokes Shifts. Angew. Chem. Int. Ed. 2023, 62, e202218839. [Google Scholar] [CrossRef]
- Liu, R.; Fu, Y.; Wu, F.; Liu, F.; Zhang, J.-J.; Yang, L.; Popov, A.A.; Ma, J.; Feng, X. Modular Synthesis of Structurally Diverse Azulene-Embedded Polycyclic Aromatic Hydrocarbons by Knoevenagel-Type Condensation. Angew. Chem. Int. Ed. 2023, 62, e202219091. [Google Scholar] [CrossRef]
- Pigulski, B.; Shoyama, K.; Würthner, F. NIR-Absorbing Π-Extended Azulene: Non-Alternant Isomer of Terrylene Bisimide. Angew. Chem. Int. Ed. 2020, 59, 15908–15912. [Google Scholar] [CrossRef] [PubMed]
- Horii, K.; Kishi, R.; Nakano, M.; Shiomi, D.; Sato, K.; Takui, T.; Konishi, A.; Yasuda, M. Bis-Periazulene (Cyclohepta[def]Fluorene) as a Nonalternant Isomer of Pyrene: Synthesis and Characterization of Its Triaryl Derivatives. J. Am. Chem. Soc. 2022, 144, 3370–3375. [Google Scholar] [CrossRef] [PubMed]
- Hafner, K.; Schneider, J. Darstellung Und Eigenschaften von Derivaten Des Pentalens Und Heptalens. Justus Liebigs Ann. Chem. 1959, 624, 37–47. [Google Scholar] [CrossRef]
- Hafner, K.; Bangert, K.; Zur Kenntnis Der Azulene, X. Über Azulen-enamine Und Deren Umwandlung in Tricyclische Pentalen- Und Heptalen-Derivate. Justus Liebigs Ann. Chem. 1961, 650, 98–115. [Google Scholar] [CrossRef]
- Hafner, K.; Meinhardt, K.-P.; Richarz, W. Cyclopent[Cd]Azulene and 1,2-Dihydrodicyclopent-[Cd,Ij]Azulene. Angew. Chem. Int. Ed. Engl. 1974, 13, 204–205. [Google Scholar] [CrossRef]
- Diehl, H.; Hafner, K. 1,4-Dipolar Cycloadditions of Cyclopent[Cd]Azulene. Angew. Chem. Int. Ed. Engl. 1976, 15, 107–108. [Google Scholar] [CrossRef]
- Nakadate, T.; Morita, T.; Takase, K. The Formation of Cyclopent[Cd]Azulene and Benz[Cd]Azulene Derivatives by a Friedel–Crafts-Type Ring Closure of Diethyl 4-Phenylethynyl- and diethyl 4-styrylazulene-1,3-dicarboxylates with Polyphosphoric Acid. Chem. Lett. 1977, 6, 591–594. [Google Scholar] [CrossRef]
- Chatterjee, H.; Ali, M.A. Application of Refined MO Method to Hafner’s Hydrocarbons. Tetrahedron 1964, 20, 2829–2834. [Google Scholar] [CrossRef]
- DasGupta, N.K.; Ali, M.A. S.C.F.M.O. Study of Hafner’s Hydrocarbons. Theor. Chim. Acta 1966, 4, 101–107. [Google Scholar] [CrossRef]
- Dasgupta, A.; Dasgupta, N.K. Aromaticity of Some Nonbenzenoid and Semibenzenoid Hydrocarbons. Tetrahedron 1972, 28, 3587–3601. [Google Scholar] [CrossRef]
- Zhou, Z.; Parr, R.G. New Measures of Aromaticity: Absolute Hardness and Relative Hardness. J. Am. Chem. Soc. 1989, 111, 7371–7379. [Google Scholar] [CrossRef]
- Lindner, H.J. Crystal and Molecular Structure of 5,7-Dimethyl-2-Phenylcyclopent[Cd]-Azulene. J. Chem. Soc. B Phys. Org. 1970, 3794, 907. [Google Scholar] [CrossRef]
- Hafner, K. Structure and Reactivity of Polycyclic Cross-Conjugated π-Electron Systems. Pure Appl. Chem. 1971, 28, 153–180. [Google Scholar] [CrossRef]
- Yamaguchi, H.; Terasaka, T.; Nakajima, T. Electronic Spectra of Hafner’s Hydrocarbons. Theor. Chim. Acta 1970, 18, 255–257. [Google Scholar] [CrossRef]
- Dhingra, R.C.; Poole, J.A. Anomalous Emission from Substituted Hafner’s Hydrocarbons. J. Chem. Phys. 1968, 48, 4829–4832. [Google Scholar] [CrossRef]
- Hafner, K.; Diehl, H.; Richarz, W. Cycloadditions of Aceheptylene? A Facile Synthesis of Dicyclopenta[Ef,Kl]Heptalenes. Angew. Chem. Int. Ed. Engl. 1976, 15, 108–109. [Google Scholar] [CrossRef]
- Hafner, K.; Diesel, H.D.; Richarz, W. Synthesis of Penta- and Hexacyclic Conjugated Hydrocarbons by Cycloaddition Reactions. Angew. Chem. Int. Ed. Engl. 1978, 17, 763–764. [Google Scholar] [CrossRef]
- Yadav, J.; Reddy, B.; Premalatha, K.; Shiva Shankar, K. Bismuth(III)-Catalyzed Rapid Synthesis of 2,3-Disubstituted Quinoxalines in Water. Synthesis 2008, 2008, 3787–3792. [Google Scholar] [CrossRef]
- Richards, G.J.; Hill, J.P.; Mori, T.; Ariga, K. Putting the ‘N’ in ACENE: Pyrazinacenes and Their Structural Relatives. Org. Biomol. Chem. 2011, 9, 5005. [Google Scholar] [CrossRef]
- Bunz, U.H.F.; Engelhart, J.U.; Lindner, B.D.; Schaffroth, M. Large N-Heteroacenes: New Tricks for Very Old Dogs? Angew. Chem. Int. Ed. 2013, 52, 3810–3821. [Google Scholar] [CrossRef]
- Bunz, U.H.F. The Larger Linear N-Heteroacenes. Acc. Chem. Res. 2015, 48, 1676–1686. [Google Scholar] [CrossRef]
- Bunz, U.H.F.; Freudenberg, J. N-Heteroacenes and N-Heteroarenes as N-Nanocarbon Segments. Acc. Chem. Res. 2019, 52, 1575–1587. [Google Scholar] [CrossRef] [PubMed]
- Zhang, Z.; Zhang, Q. Recent Progress in Well-Defined Higher Azaacenes (n ≥ 6): Synthesis, Molecular Packing, and Applications. Mater. Chem. Front. 2020, 4, 3419–3432. [Google Scholar] [CrossRef]
- Ganschow, M.; Koser, S.; Hodecker, M.; Rominger, F.; Freudenberg, J.; Dreuw, A.; Bunz, U.H.F. Azaacenes Bearing Five-Membered Rings. Chem. A Eur. J. 2018, 24, 13667–13675. [Google Scholar] [CrossRef]
- Cortizo-Lacalle, D.; Mora-Fuentes, J.P.; Strutyński, K.; Saeki, A.; Melle-Franco, M.; Mateo-Alonso, A. Monodisperse N-Doped Graphene Nanoribbons Reaching 7.7 Nanometers in Length. Angew. Chem. Int. Ed. 2018, 57, 703–708. [Google Scholar] [CrossRef] [PubMed]
- Dolomanov, O.V.; Bourhis, L.J.; Gildea, R.J.; Howard, J.A.K.; Puschmann, H. OLEX2: A Complete Structure Solution, Refinement and Analysis Program. J. Appl. Crystallogr. 2009, 42, 339–341. [Google Scholar] [CrossRef]
- Hafner, K.; Weldes, H. Zur Kenntnis Der Azulene II. Die Substitution Von Azulenen Mit Metallorganischen Verbindungen. Justus Liebigs Ann. Chem. 1957, 606, 90–99. [Google Scholar] [CrossRef]
- Hatakenaka, R.; Nishikawa, N.; Mikata, Y.; Aoyama, H.; Yamashita, K.; Shiota, Y.; Yoshizawa, K.; Kawasaki, Y.; Tomooka, K.; Kamijo, S.; et al. Efficient Synthesis and Structural Analysis of Chiral 4,4′-Biazulene. Chem. A Eur. J. 2024, 30, e202400098. [Google Scholar] [CrossRef]
- Karami, B.; Rooydel, R.; Khodabakhshi, S. A Rapid Synthesis of Some 1,4-Aryldiazines by the Use of Lithium Chloride as an Effective Catalyst. Acta Chim. Slov. 2012, 59, 183–188. [Google Scholar]
- McDonald, R.N.; Wolfe, N.L.; Petty, H.E. Nonbenzenoid Aromatic Systems. VIII. Buffered Acetolysis of 2-(4- and 2-(6-Azulyl)Ethyl Arenesulfonates and 3-(4-Azulyl)-1-Propyl Nosylate. Examples of Ar3-5 and Ar3-6 Mechanisms. J. Org. Chem. 1973, 38, 1106–1113. [Google Scholar] [CrossRef]
- Shuler, W.G.; Parvathaneni, S.P.; Rodriguez, J.B.; Lewis, T.N.; Berges, A.J.; Bardeen, C.J.; Krische, M.J. Synthesis and Photophysical Properties of Soluble N-Doped Rubicenes via Ruthenium-Catalyzed Transfer Hydrogenative Benzannulation. Chem. A Eur. J. 2021, 27, 4898–4902. [Google Scholar] [CrossRef]
- Dittrich, B.; Fabbiani, F.P.A.; Henn, J.; Schmidt, M.U.; Macchi, P.; Meindl, K.; Spackman, M.A. Azulene Revisited: Solid-State Structure, Invariom Modeling and Lattice-Energy Minimization of a Classical Example of Disorder. Acta Crystallogr. Sect. B 2018, 74, 416–426. [Google Scholar] [CrossRef]
- Rajnikant; Dinesh; Deshmukh, M.B.; Jadhav, S.; Kanwal, P. 2,3-Diphenylquinoxaline. Acta Crystallogr. Sect. E Struct. Rep. Online 2006, 62, o2356–o2357. [Google Scholar] [CrossRef]
- Shoji, T.; Yamazaki, A.; Katoh, R.; Shimamura, K.; Sakai, R.; Yasunami, M.; Okujima, T.; Ito, S. Synthesis, Reactivity, and Properties of Benz[a]Azulenes via the [8+2] Cycloaddition of 2H-Cyclohepta[b]Furan-2-Ones with an Enamine. J. Org. Chem. 2022, 87, 5827–5845. [Google Scholar] [CrossRef]
- Guo, J.; Du, F.; Yu, B.; Du, P.; Li, H.; Zhang, J.; Xin, H. Heptacyclic Aromatic Hydrocarbon Isomers with Two Azulene Units Fused. Chem. Sci. 2024, 15, 12589–12597. [Google Scholar] [CrossRef]
- Xin, H.; Li, J.; Lu, R.; Gao, X.; Swager, T.M. Azulene–Pyridine-Fused Heteroaromatics. J. Am. Chem. Soc. 2020, 142, 13598–13605. [Google Scholar] [CrossRef]
- Vardanyan, A.; Villinger, A.; Ehlers, P.; Langer, P. Synthesis and Properties of Carbo- and Heterocyclic Benz[a]Azulenes. J. Org. Chem. 2023, 88, 11411–11423. [Google Scholar] [CrossRef]
- Bunting, J.W.; Meathrel, W.G. Quaternary Nitrogen Heterocycles. I. Equilibrium and Spectral Data for Pseudobase Formation by the N -Methyl Cations of Diazanaphthalenes. Can. J. Chem. 1972, 50, 917–931. [Google Scholar] [CrossRef]
- Herges, R.; Geuenich, D. Delocalization of Electrons in Molecules. J. Phys. Chem. A 2001, 105, 3214–3220. [Google Scholar] [CrossRef]
- Geuenich, D.; Hess, K.; Köhler, F.; Herges, R. Anisotropy of the Induced Current Density (ACID), a General Method to Quantify and Visualize Electronic Delocalization. Chem. Rev. 2005, 105, 3758–3772. [Google Scholar] [CrossRef]
- Frisch, M.J.; Trucks, G.W.; Schlegel, H.B.; Scuseria, G.E.; Robb, M.A.; Cheeseman, J.R.; Scalmani, G.; Barone, V.; Petersson, G.A.; Nakatsuji, H.; et al. Gaussian 16, Revision C.01; Gaussian, Inc.: Wallingford, CT, USA, 2016. [Google Scholar]










Disclaimer/Publisher’s Note: The statements, opinions and data contained in all publications are solely those of the individual author(s) and contributor(s) and not of MDPI and/or the editor(s). MDPI and/or the editor(s) disclaim responsibility for any injury to people or property resulting from any ideas, methods, instructions or products referred to in the content. |
© 2025 by the authors. Licensee MDPI, Basel, Switzerland. This article is an open access article distributed under the terms and conditions of the Creative Commons Attribution (CC BY) license (https://creativecommons.org/licenses/by/4.0/).
Share and Cite
Oda, T.; Onishi, Y.; Konishi, A.; Yasuda, M. Synthesis and Characterization of Quinoxaline-Fused Cyclopenta[cd]azulene. Chemistry 2025, 7, 15. https://doi.org/10.3390/chemistry7010015
Oda T, Onishi Y, Konishi A, Yasuda M. Synthesis and Characterization of Quinoxaline-Fused Cyclopenta[cd]azulene. Chemistry. 2025; 7(1):15. https://doi.org/10.3390/chemistry7010015
Chicago/Turabian StyleOda, Tomohiro, Yuina Onishi, Akihito Konishi, and Makoto Yasuda. 2025. "Synthesis and Characterization of Quinoxaline-Fused Cyclopenta[cd]azulene" Chemistry 7, no. 1: 15. https://doi.org/10.3390/chemistry7010015
APA StyleOda, T., Onishi, Y., Konishi, A., & Yasuda, M. (2025). Synthesis and Characterization of Quinoxaline-Fused Cyclopenta[cd]azulene. Chemistry, 7(1), 15. https://doi.org/10.3390/chemistry7010015

