Abstract
This study investigated the acyl group transfer reactions of 2,4-dinitrophenyl 5-substituted-2-furoates, promoted by 4-substituted phenoxides/phenols in a 20 mol% DMSO aqueous solution at 25 °C. The reactions yielded nucleophilic substitution products and displayed second-order kinetics, with βacyl values ranging from −2.24 to −2.50, ρ(x) values between 3.18 and 3.56, and βnuc values of 0.81 to 0.84. These findings indicate an addition–elimination mechanism where the initial step is rate-determining. Comparative analysis with previous data revealed that the transition state structure remained largely consistent when altering the non-leaving group from thienyl to furyl under similar conditions. Notably, a shift in the rate-determining step was observed when changing the nucleophile from secondary amines/ammonium ions to 4-substituted phenoxides/phenols, highlighting the significant impact of nucleophile selection on the reaction kinetics and mechanisms in acyl transfer reactions.
1. Introduction
The acyl transfer reactions of XC6H4C(O)OC6H4Y have been thoroughly investigated for more than the last decade [1,2,3,4,5,6,7,8,9,10,11,12,13,14,15,16,17,18,19,20,21,22,23,24,25,26,27,28,29,30,31,32,33,34,35,36]. Investigations into the correlations between structure and reactivity have provided insights into the qualitative connection linking the architecture of reactants to the configuration of transition states. A particularly intriguing question revolves around the mechanism of the reaction—specifically, whether it proceeds via a stepwise or concerted pathway. This inquiry becomes especially pertinent when considering variations in the nucleophile’s basicity, solvent characteristics, types of non-leaving groups, and the nature of the leaving group. In contrast, much less effort has been focused on the effect of the acyl moiety involving heterocyclic aromatic compounds. The acyl transfer reaction of heterocyclic aromatic compounds plays a pivotal role in medicinal chemistry and natural product synthesis [37,38]. Deepening our understanding of this mechanism is also important for industrial applications, as it underpins numerous synthetic processes essential for pharmaceutical and fine chemical production.
Previously, we documented that the acyl transfer reactions of 2,4-dinitrophenyl 5-substituted-2-thiophene carboxylate [5-YC4H2(S)C(O)OC6H3-2,4-(NO2)2] with 4-Z-C6H4O−/4-Z-C6H4OH in 20 mol% DMSO (aq) proceeded through an addition–elimination mechanism where the rate-determining step was the nucleophilic attack [39]. In addition, we reported that the acyl transfer reactions of 2,4-dinitrophenyl 5-substituted-2-furoate [5-XC4H2(O)C(O)OC6H3-2,4-(NO2)2] with R2NH/R2NH2+ proceeded through a stepwise mechanism with a change in the rate-determining step [40]. Previous research has demonstrated that carboxylic esters react with amines via a stepwise mechanism. In this process, the rate-determining step shifts from the breakdown to the formation of the intermediate when the nucleophilic amine’s basicity exceeds that of the leaving group by 4–5 pKa units [41,42,43,44,45,46,47,48]. However, the corresponding reactions with oxygen nucleophiles have not been elucidated regarding whether the reaction proceeds via a one-step concerted mechanism or a stepwise mechanism.
Our research aimed to investigate whether incorporating an oxygen nucleophile could lead to a mechanistic change. To explore such a possibility, we have studied the acyl transfer reactions of 2,4-dinitrophenyl 5-substituted-2-furoate (compound 1) promoted by 4-Z-C6H4O−/4-Z-C6H4OH in 20 mol% DMSO (aq) (Scheme 1). By comparing with the existing data for the reactions of YC4H2(S)C(O)OC6H3-2,4-(NO2)2 promoted by ArO−/ArOH in 20 mol% DMSO (aq) [39] and of XC4H2(O)C(O)OC6H3-2,4-(NO2)2 (compound 1) promoted by R2NH/R2NH2+ in 20 mol% DMSO (aq) [40], the effects of the non-leaving group and nucleophiles on the acyl transfer reactions were assessed.
Scheme 1.
Acyl transfer of 2,4-dinitrophenyl 5-substituted-2-furoates (1) with 4-substituted phenoxides in 20 mol% aqueous DMSO.
2. Materials and Methods
2.1. Materials
2,4-Dinitrophenyl 5-substituted-2-furylcarboxylates (1a–d) were available from previous investigations [40]. Reagent-grade DMSO was fractionally distilled from CaH2. The purification process involved recrystallizing p-chlorophenol and p-cresol using n-hexane, while the remaining phenols were utilized in their original state without additional refinement. All kinetics were performed in an aqueous DMSO solvent system (80 mol% H2O–20 mol% DMSO) with the minimum amount of DMSO that did not affect the reaction rate due to the low solubility of the substrate in pure water [27,31]. Buffer solutions containing 4-Z-C6H4O−/4-Z-C6H4OH were prepared in 20 mol% aqueous DMSO by introducing a calculated quantity of 5N NaOH solution to 4-Z-phenol solutions in the same solvent system. 1H NMR and 13C NMR spectra were recorded on Varian 300 (300 MHz for 1H NMR and 75 MHz for 13C NMR) and Agilent DD2 700 (700 MHz for 1H NMR) spectrometers using CDCl3 or CD3OD as a solvent.
2.2. Kinetic Studies
The kinetics of acyl transfer processes involving compound 1 and Z-C6H4O−/4-Z-C6H4OH in an aqueous buffer solution containing 20 mol% DMSO were evaluated by observing the absorbance increase in 2,4-dinitrophenoxide at 426 nm using UV-Vis spectroscopy, following a previously established protocol [49]. To eliminate any potential influence of the acid–base reaction on the nonlinear Hammett analysis, we employed the aforementioned buffer system [50].
2.3. Product Studies
Based on previous studies of aryl transfer reactions conducted with similar substrates, the product generated from the Z–C6H4O−-promoted reaction of compound 1 was quantified using UV spectrophotometry. The 2,4-dinitrophenol exhibits a distinct absorbance at 426 nm that does not overlap with other reactants or reagents, allowing for its independent detection and quantification using its molar absorptivity (ε) value. However, to ensure that the characteristic absorbance at 426 nm of 2,4-dinitrophenol is unaffected even under the reaction conditions—including the reactants used in this kinetic study—we obtained the absorption spectra of a substrate, all types of phenols, and 2,4-dinitrophenol.
Additionally, to investigate the possibility that aromatic nucleophilic substitution could occur instead of phenolysis at the carbonyl carbon atom [51,52], all phenol derivatives were reacted with the substrate (2,4-dinitrophenyl furan-2-carboxylate) to determine whether reactions other than phenolysis took place. Briefly, each phenol derivative was dissolved in 20 mol% aqueous DMSO to a final concentration of 2.5 mM. The solution was then treated with 5 N NaOH to adjust the concentration ratio of phenoxide to phenol forms to 1:1. To the resulting buffer solution, 20 mg (0.12 mM) of 2,4-dinitrophenyl furan-2-carboxylate was added, and the mixture was stirred at room temperature. The reaction progress was monitored by thin-layer chromatography (TLC), and upon the disappearance of the starting material, the mixture was neutralized to pH 7 and extracted with ethyl acetate. The organic layer was washed with brine, dried over anhydrous Na2SO4, and concentrated under reduced pressure. The residue was purified by silica gel column chromatography using hexane/ethyl acetate (5:1) as the mobile phase. The resulting products were characterized by 1H NMR and 13C NMR.
2.4. Control Experiments
The stability of compound 1 was evaluated using periodic UV spectroscopic measurements of its solutions. Solutions of compound 1 in acetonitrile remained stable for at least 3 days when kept under refrigeration.
3. Results and Discussion
3.1. Kinetic Analysis
To verify whether the absorbance at 426 nm of 2,4-dinitrophenol could indicate the progress of the aryl transfer reaction, we obtained the absorption spectra of a substrate, five phenol derivatives, and 2,4-dinitrophenol. The results confirmed that the absorbance at 426 nm is exclusively due to 2,4-dinitrophenol and is not affected by the presence of the substrate or other phenols (Figure S1). Additionally, when 2,4-dinitrophenyl furan-2-carboxylate was individually reacted with each of the five phenols, only the expected phenolysis products and 2,4-dinitrophenol were obtained in quantitative yields across all reactions, with no other by-products observed. The isolated products were confirmed by 1H NMR and 13C NMR analyses to be the anticipated compounds, matching the spectral data reported in the literature (Figures S14–S25) [53,54,55,56,57,58]. Furthermore, TLC monitoring from the early stages of the reaction showed only the diminishing spots of the starting material and the emerging spots of the product, with no additional spots detected.
2,4-Dinitrophenyl 5-substituted-2-furoates, 1a–d, were available from a previous study [40]. The aryloxide yields across all reactions were quantified by comparing the absorbance values of infinity samples from kinetic analyses to those of authentic aryloxides. These measurements consistently revealed yields falling within the 97–99% range. The rates of the reaction of compound 1 with 4-Z-C6H4O−/4-Z-C6H4OH in 20 mol% DMSO (aq) were measured by monitoring the appearance of the absorption at λmax = 426 nm for 2,4-dinitrophenoxide. The kinetic analysis yielded excellent pseudo-first-order plots, encompassing a minimum of three half-lives. Tables S1–S5 in the Supporting Information present a compilation of the observed pseudo-first-order rate constants (kobs). For the reaction of compound 1, the graphical representation of kobs against the base concentration exhibited linear relationships intersecting the origin. This result indicates that the reaction is overall second-order, first order to the substrate and first order to the nucleophile (Figures S2–S13). Therefore, the overall second-order rate constant kN values were determined from the slopes of the plots. The kN values for the hydrolysis of compound 1 are listed in Table 1.
Table 1.
Rate constants for the reactions of 5-XC4H2(O)C(O)OC6H3-2,4-(NO2)2 a promoted by 4-Z-C6H4O−/4-Z-C6H4OH b in 20 mol% DMSO (aq) at 25.0 °C.
The Brönsted plots (Figure 1) demonstrated a strong correlation between the kN values for acyl transfer reactions involving compounds 1a–d and the pKa values of X-furoic acid. The βacyl values fell within the range of −2.24 to −2.50, as shown in Table 2. Furthermore, a satisfactory correlation was observed between the kN values and the promoting nucleophiles (Figure 2). As indicated in Table 3, the βnuc values ranged from 0.81 to 0.84 and remained consistent within experimental error margins across different acyl substituents.
Figure 1.
Brönsted plots of log kN versus pKa (XArCOOH). Values for reactions of 5-XC4H2(O)C(O)OC6H3-2,4-(NO2)2 promoted by 4-Z-C6H4O−/4-Z-C6H4OH in 20 mol% DMSO (aq) at 25.0 °C [Z = OCH3 (◼), CH3(●), H(▲), Cl(▼), CN(◆)].
Table 2.
Brönsted βacyl values for the reactions of 5-XC4H2(O)C(O)OC6H3-2,4-(NO2)2 promoted by 4-Z-C6H4O−/4-Z-C6H4OH in 20 mol% DMSO (aq) at 25.0 °C.
Figure 2.
Brönsted plots of log kN versus pKa (ZArOH). Values for reactions of 5-XC4H2(O)C(O)OC6H3-2,4-(NO2)2 promoted by 4-Z-C6H4O−/4-Z-C6H4OH in 20mol% DMSO (aq) at 25.0 °C [X = OCH3 (◼), CH3 (●), H (▲), Br (▼)].
Table 3.
Brönsted βnuc values for the reactions of 5-XC4H2(O)C(O)OC6H3-2,4-(NO2)2 promoted by 4-Z-C6H4O−/4-Z-C6H4OH in 20 mol% DMSO (aq) at 25.0 °C.
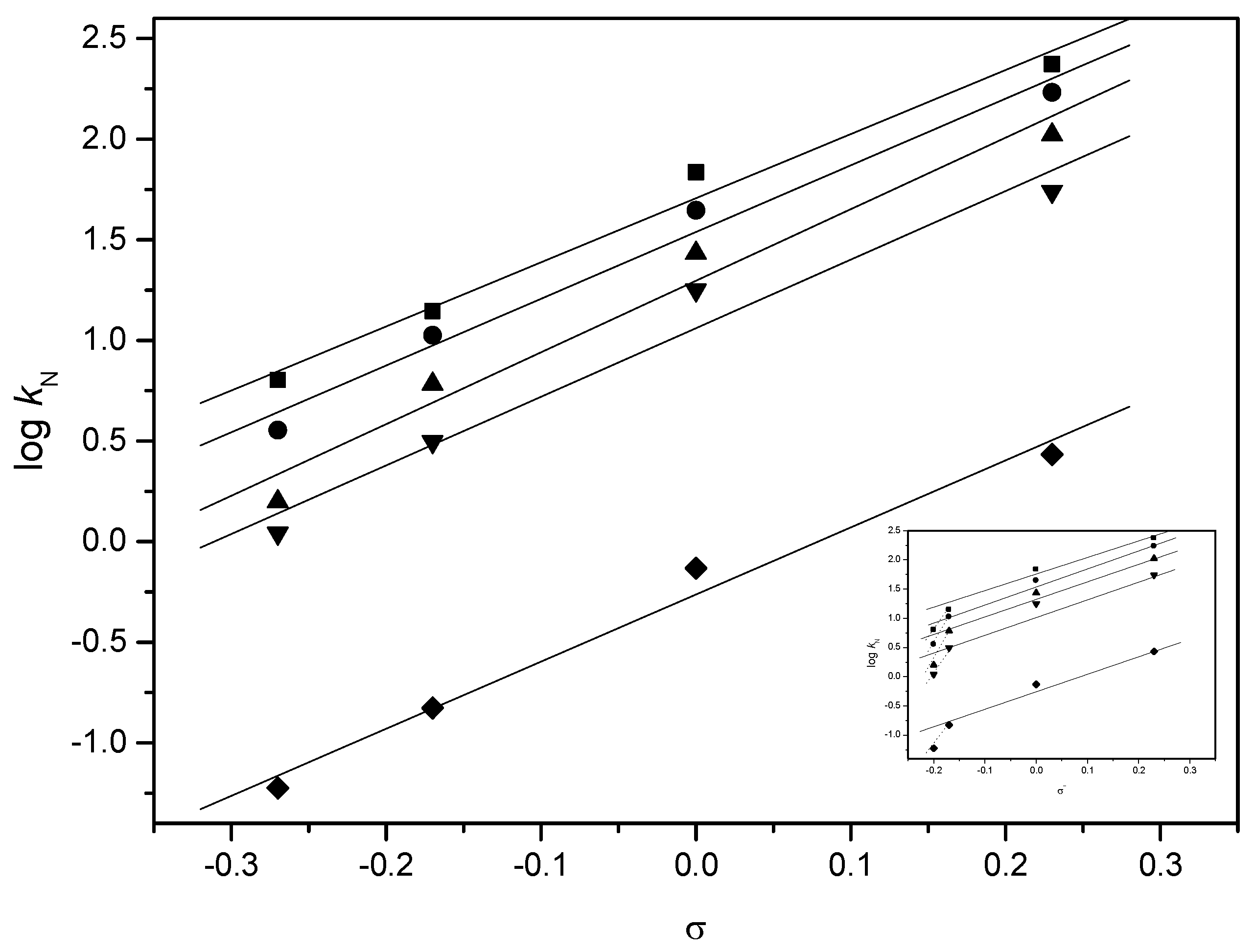
Additional evidence for the electronic effect of acyl substituent X is provided by the Hammett plots (Figure 3). The reaction rates were significantly affected by the acyl substituents, showing strong correlations with σ values. As presented in Table 4, the Hammett ρ values varied between 3.18 and 3.56 across different nucleophiles examined in this research.
Figure 3.
Hammett plots of log kN versus σ. Values for reactions of 5-XC4H2(O)C(O)OC6H3-2,4-(NO2)2 promoted by ArO-/ArOH in 20 mol% DMSO (aq) at 25.0 °C. Inset: plots of log kN versus σ- for the same reaction [Z = OCH3 (◼), CH3 (●), H (▲), Cl (▼), CN (◆)].
Table 4.
Hammett ρ(X) values for the reactions of 5-XC4H2(O)C(O)OC6H3-2,4-(NO2)2 promoted by 4-Z-C6H4O-/4-Z-C6H4OH in 20 mol% DMSO (aq) at 25.0 °C.
3.2. Mechanism of Acyl Transfer Reactions of Compound 1
The results of the kinetic investigation clearly establish that the reaction of compound 1 with 4-Z-C6H4O−/4-Z-C6H4OH in 20 mol% DMSO (aq) proceeds through an addition–elimination mechanism in which the nucleophilic attack would be the rate-determining step (rds). In a stepwise mechanism involving a tetrahedral intermediate, the observed rate constant (kobs) can be described by the equation kobs = k1k2 [ArO−]/(k−1 + k2), as illustrated in Scheme 2 [61]. This mechanism necessitates a reversible initial step, where k−1 significantly exceeds k2. Under these conditions, the rate expression can be reduced to kobs = k1k2 [ArO−]/k−1. Conversely, when reactions follow an irreversible mechanism (k−1 << k2), the rate equation simplifies to kobs = k1 [ArO−]. However, the rate equation alone is insufficient to identify the rate-determining step (rds). This is because the addition–elimination mechanism exhibits second-order kinetics, irrespective of whether the first step (k−1 << k2) or the second step (k−1 >> k2) is rate-determining (Scheme 2). The distinction between the two mechanisms may be assessed using the Brönsted and Hammett plots.
Scheme 2.
The stepwise mechanism for the acyl transfer reaction.
The Brönsted value βacyl quantifies the degree of charge formation and hybridization alteration as the reaction progresses from the reactant to the transition state [61]. Thus, the sign and the relative magnitude of the βacyl values observed for acyl transfer reactions may be used as tools for determining the rds in a stepwise mechanism. A large negative value means that the attack of the nucleophile is involved in the rate-determining step regardless of the concerted or stepwise mechanisms. On the other hand, if the leaving group departure is more important than the nucleophilic attack in the rate-determining step, βacyl is expected to be a small negative or positive value. The βacyl = −2.24~−2.50 values observed for the ArO−-promoted reactions of compound 1 can be interpreted as the nucleophilic attack by aryloxides being the rate-determining step. The observed results suggest extensive C–O bond formation and restricted Cα–OAr bond cleavage in the transition state. Furthermore, the βnuc value’s magnitude serves as an indicator of the degree of bond formation between the nucleophile and substrate in the limiting transition state [62,63,64]. Earlier, Um’s study revealed that when 4-nitrophenyl benzoate reacts with aryloxides in a 20 mol% aqueous DMSO solution the mechanism is concerted. The observed βnuc value of 0.72 represents the maximum expected for such a concerted process [31]. In contrast, βnuc = 0.77~0.87 determined for reactions of S-p-nitrophenyl-substituted thiobenzoates with Z-phenoxide has been interpreted as an addition–elimination mechanism in which the formation of the tetrahedral intermediate is the rds [65]. Therefore, the observed values of βnuc = 0.74~0.83 for the Z-C6H4O−-promoted reaction of compound 1 are in agreement with the addition–elimination mechanism with the first step being the rds.
Furthermore, the magnitude of the Hammett ρ(x) values reflects the degree of negative charge formation during the transition state. For aryloxide-promoted reactions of compound 1, ρ(x) values ranging from 3.18 to 3.56 were observed (Table 4). These findings suggest substantial negative charge accumulation at the α-carbon during the transition state. Collectively, the data indicate that aryloxide-promoted acyl transfer reactions involving compound 1 follow an addition–elimination pathway, with the initial step determining the overall rate (Scheme 2).
3.3. Effect of Non-Leaving Group
Table 5 shows the relative rate and transition state parameters for ArO−-promoted reactions of ArC(O)OC6H3-2,4-(NO2)2 (Ar = furyl (compound 1) and thienyl (compound 2)). Since 2-foric acid has a higher acidity than thiophene-2-carboxylic acid [66], its electronic influence is more effectively conveyed to the reaction center. Consequently, it is reasonable to expect that these two reactions might result in distinct stabilization patterns for their respective transition states. It would be expected that the magnitude of the β and ρ values would decrease with the variation in the non-leaving group from furyl to thienyl as a reactivity selectivity principle (RSP) [67,68]. This suggestion had been previously reported by Gresser and Jencks [43] and by Castro et al. [7,8,9,10,14,15,16]. In addition, since the aromatic resonance energy [69] and the natural bond orbital (NBO) positive charge on the carbonyl carbon [55,70] of the furan are smaller than those of thiophene, they could provide a different stabilization of the respective transition state. However, the βacyl, ρ(x), and βnuc parameters exhibited minimal variation in response to alterations in the non-leaving group, suggesting that the transition state of the acyl transfer reaction is largely unaffected by modifications to the non-leaving group (Table 5). A similar result was noted in acyl transfer reactions for the aminolysis of XC6H4C(O)OC6H3-2,4-(NO2)2 [32,71] and XC6H4SO2OC6H3-2,4-(NO2)2 [72,73,74] and YC4H2(S)C(O)OC6H3-2,4-(NO2)2 (compound 2) [40,72,73,74] promoted by ArO−/ArOH in 20 mol% DMSO (aq). The combined results indicate that the acyl transfer reaction transition state is insensitive to non-leaving group variation regardless of the nucleophile.
Table 5.
Effect of non-leaving group variation on the acyl transfer reactions of ArC(O)OC6H3-2,4-(NO2)2 promoted by C6H5O−/C6H5OH in 20 mol% DMSO (aq) at 25.0 °C.
3.4. Effect of Nucleophile on the Acyl Transfer Reactions
A comparison of transition state parameters in Table 6 indicates substantial mechanistic changes when switching the nucleophile from R2NH/R2NH2+ to Z-C6H4O−/4-Z-C6H4OH, even though the rate difference is only moderate. In previous work, it has been established that the reactions of compound 1 with secondary amines in 20 mol% DMSO (aq) proceed through a stepwise mechanism with a change in the rate-determining step [40]. The Brönsted plots exhibit a downward curvature, indicating a change in the rate-determining step for a stepwise reaction. The Hammett plots are linear except for X = OCH3, which shows a large negative deviation from the straight lines defined by other substituents. The impact of substituents within the acyl group on aminolysis reaction rates demonstrated strong correlations with σ + r (σ+−σ) values when plotted using the Yukawa–Tsuno method. On the other hand, the reactions of compound 1 with 4-Z-C6H4O−/4-Z-C6H4OH in 20 mol% DMSO (aq) proceed by the addition–elimination mechanism in which the nucleophilic attack would be the rate-determining step. The Brönsted and Hammett plots for reactions of compound 1 are linear with an excellent correlation (Figure 1, Figure 2 and Figure 3). The findings are interpreted in terms of an addition–elimination mechanism in which the nucleophilic attack would be the rate-determining step. In summary, the process of the 4-Z-C6H4O−-promoted reaction of compound 1 progressed with the initial step being the rate-determining step (rds), and the aminolysis advanced with a shift in the rds from the second to the first step when using a more potent nucleophile. This outcome can be ascribed to the varying degree of involvement of the first step in the rds, depending on the charge nature of the nucleophiles, as previously explained [39]. A notable finding in this study is the alteration in the rds in the stepwise reaction mechanism by the nucleophile variation.
Table 6.
Effect of nucleophile variation on the acyl transfer reactions of XC4H2(O)C(O)OC6H3-2,4-(NO2)2 in 20 mol% DMSO (aq) at 25.0 °C.
4. Conclusions
This study investigated the acyl transfer reactions of 2,4-dinitrophenyl 5-substituted-2-furoate (compound 1) with 4-substituted phenoxides in 20 mol% aqueous DMSO. Our results demonstrate a two-step addition–elimination mechanism where the nucleophilic attack is rate-determining. Comparative analysis with previous studies on analogous thienyl esters reveals that changing the non-leaving group from thienyl to furyl has a minimal impact on the transition state structure under these conditions. Significantly, we observed a shift in the rate-determining step upon changing the nucleophile from amines (R2NH/R2NH2+) to phenoxides (4-Z-C6H4O−/4-Z-C6H4OH). This mechanistic insight is crucial for optimizing synthetic strategies in various industrial applications. For instance, in pharmaceutical synthesis, understanding the rate-determining step can guide the design of more efficient routes for producing active pharmaceutical ingredients such as esterified prodrugs. In fine chemical production, this knowledge can be applied to improve yields and reduce waste in the manufacture of specialty esters used in fragrances or flavoring agents. The ability to predict and control the rate-determining step based on the choice of nucleophile offers valuable opportunities for improving the efficiency and selectivity of acyl transfer reactions across multiple sectors. Further research focusing on the influence of different substituents or catalytic effects could further enhance our understanding and expand the applicability of these findings.
Supplementary Materials
The following supporting information can be downloaded at https://www.mdpi.com/article/10.3390/chemistry6050075/s1. Tables S1–S5: Observed rate constants for the reaction of 5-XC4H2(O)C(O)OC6H3-2,4-(NO2)2. Figure S1: UV-Vis absorption spectra. Figures S2–S13: Correlation plots. Figures S14–S25: 1H and 13C NMR spectra.
Author Contributions
Conceptualization, S.-Y.P. and S.-T.H.; methodology, S.-Y.P.; investigation, S.-Y.P.; validation, S.-Y.P. and S.-T.H.; resources, S.-Y.P.; data curation, S.-Y.P. and S.-T.H.; writing—original draft preparation, S.-Y.P. and S.-T.H.; writing—review and editing, S.-Y.P. and S.-T.H.; visualization, S.-T.H.; supervision, S.-Y.P.; funding acquisition, S.-Y.P. All authors have read and agreed to the published version of the manuscript.
Funding
This research received no external funding.
Data Availability Statement
Samples of the compounds are available from the authors.
Acknowledgments
This work was supported by the Pukyong National University and the Daejin University.
Conflicts of Interest
The authors declare no conflicts of interest.
References
- Kirsch, J.F.; Clewell, W.; Simon, A. Multiple structure reactivity correlations. Alkaline hydrolyses of acyl and aryl-substituted phenyl benzoates. J. Org. Chem. 1968, 33, 127–132. [Google Scholar] [CrossRef]
- Kirsch, J.F.; Kline, A. Acyl substituent effects in the general base catalyzed ammonolysis reactions of esters. J. Am. Chem. Soc. 1969, 91, 1841–1847. [Google Scholar] [CrossRef]
- Chaw, Z.S.; Fischer, A.; Happer, D.A.R. Rates of base-catalysed hydrolysis of substituted aryl benzoates. J. Chem. Soc. B Phys. Org. 1971, 1818–1819. [Google Scholar] [CrossRef]
- Satterthwait, A.C.; Jencks, W.P. Mechanism of the aminolysis of acetate esters. J. Am. Chem. Soc. 1974, 96, 7018–7031. [Google Scholar] [CrossRef]
- Jencks, W.P. Ingold Lecture. How does a reaction choose its mechanism? Chem. Soc. Rev. 1981, 10, 345–375. [Google Scholar] [CrossRef]
- Jencks, W.P. A primer for the Bema Hapothle. An empirical approach to the characterization of changing transition-state structures. Chem. Rev. 1985, 85, 511–527. [Google Scholar] [CrossRef]
- Giles, J.R.M.; Roberts, B.P. An electron spin resonance study of the generation and reactions of borane radical anions in solution. J. Chem. Soc. Perkin Trans. 2 1983, 743–755. [Google Scholar] [CrossRef]
- Castro, E.A.; Steinfort, G.B. Kinetics and mechanism of the pyridinolysis of 2,4-dinitrophenyl p-nitrobenzoate. J. Chem. Soc. Perkin Trans. 2 1983, 453–457. [Google Scholar] [CrossRef]
- Castro, E.A.; Santander, C.L. Nonlinear Broensted-type plot in the pyridinolysis of 2,4-dinitrophenyl benzoate in aqueous ethanol. J. Org. Chem. 1985, 50, 3595–3600. [Google Scholar] [CrossRef]
- Castro, E.A.; Valdivia, J.L. Linear free-energy relationship in the pyridinolysis of 2,4-dinitrophenyl p-chlorobenzoate in aqueous ethanol solution. J. Org. Chem. 1986, 51, 1668–1672. [Google Scholar] [CrossRef]
- Castro, E.A. Kinetics and Mechanisms of Reactions of Thiol, Thiono, and Dithio Analogues of Carboxylic Esters with Nucleophiles. Chem. Rev. 1999, 99, 3505–3524. [Google Scholar] [CrossRef] [PubMed]
- Castro, E.A.; Aliaga, M.; Campodónico, P.; Santos, J.G. Kinetics and Mechanism of the Aminolysis of Methyl 4-Nitrophenyl, Methyl 2,4-Dinitrophenyl, and Phenyl 2,4-Dinitrophenyl Carbonates. J. Org. Chem. 2002, 67, 8911–8916. [Google Scholar] [CrossRef] [PubMed]
- Castro, E.A.; Bessolo, J.; Aguayo, R.; Santos, J.G. Kinetic Investigation of the Reactions of S-4-Nitrophenyl 4-Substituted Thiobenzoates with Secondary Alicyclic Amines in Aqueous Ethanol. J. Org. Chem. 2 2003, 68, 8157–8161. [Google Scholar] [CrossRef] [PubMed]
- Castro, E.A.; Vivanco, M.; Aguayo, R.; Santos, J.G. Kinetics and Mechanism of the Pyridinolysis of S-4-Nitrophenyl 4-Substituted Thiobenzoates in Aqueous Ethanol. J. Org. Chem. 2004, 69, 5399–5404. [Google Scholar] [CrossRef]
- Castro, E.A.; Aguayo, R.; Bessolo, J.; Santos, J.G. Kinetics and Mechanism of the Reactions of S-2,4-Dinitrophenyl 4-Substituted Thiobenzoates with Secondary Alicyclic Amines. J. Org. Chem. 2005, 70, 7788–7791. [Google Scholar] [CrossRef]
- Castro, E.A.; Aguayo, R.; Bessolo, J.; Santos, J.G. Kinetics and Mechanism of the Pyridinolysis of S-2,4-Dinitrophenyl 4-Substituted Thiobenzoates. J. Org. Chem. 2005, 70, 3530–3536. [Google Scholar] [CrossRef]
- Campodónico, P.R.; Fuentealba, P.; Castro, E.A.; Santos, J.G.; Contreras, R. Relationships between the Electrophilicity Index and Experimental Rate Coefficients for the Aminolysis of Thiolcarbonates and Dithiocarbonates. J. Org. Chem. 2005, 70, 1754–1760. [Google Scholar] [CrossRef]
- Campodónico, P.R.; Ormazábal-Toledo, R.; Aizman, A.; Contreras, R. Permanent group effect on nucleofugality in aryl benzoates. Chem. Phys. Lett. 2010, 498, 221–225. [Google Scholar] [CrossRef]
- Nummert, V.; Piirsalu, M.; Mäemets, V.; Koppel, I. Kinetic Study of Hydrolysis of Benzoates. Part XXV. Ortho Substituent Effect in Alkaline Hydrolysis of Phenyl Esters of Substituted Benzoic Acids in Water. Collect. Czechoslov. Chem. Commun. 2006, 71, 107–128. [Google Scholar] [CrossRef]
- Nummert, V.; Piirsalu, M.; Koppel, I.A. Prediction of ortho substituent effect in alkaline hydrolysis of phenyl esters of substituted benzoic acids in aqueous acetonitrile. Cent. Eur. J. Chem. 2013, 11, 1964–1975. [Google Scholar] [CrossRef]
- Um, I.-H.; Jeon, J.-S.; Kwon, D.-S. A Mechanistic Study on Acyl Transfer Reactions of Aryl Substituted Benzoates Between Aryloxides. Bull. Korean Chem. Soc. 1991, 12, 406–410. [Google Scholar] [CrossRef]
- Kwon, D.-S.; Park, J.-Y.; Um, I.-H. The Effect of Polarizability on Reactivity of 4-Nitrophenyl Benzoate and Its Sulfur Containing Analogues with Anionic Nucleophiles in Ethanol. Bull. Korean Chem. Soc. 1994, 15, 860–864. [Google Scholar] [CrossRef]
- Um, I.-H.; Oh, S.-J.; Kwon, D.-S. The effect of solvent on the α-effect: Abnormal nucleophilic reactivity of substituted acetophenone oximate anions in aqueous DMSO. Tetrahedron Lett. 1995, 36, 6903–6906. [Google Scholar] [CrossRef]
- Um, I.-H.; Oh, S.-J.; Kwon, D.-S. A Mechanistic Study on Reactions of Aryl Benzoates with Ethoxide, Aryloxides and Acetophenone oximates in Absolute Ethanol. Bull. Korean Chem. Soc. 1996, 17, 802–807. [Google Scholar] [CrossRef]
- Um, I.-H.; Hong, Y.-J.; Kwon, D.-S. Acid dissociation constants of phenols and reaction mechanism for the reactions of substituted phenyl benzoates with phenoxide anions in absolute ethanol. Tetrahedron 1997, 53, 5073–5082. [Google Scholar] [CrossRef]
- Um, I.-H.; Min, J.-S.; Lee, H.-W. Structure-reactivity correlations in the reaction of 2,4-dinitrophenyl X-substituted benzoates with alicyclic secondary amines. Can. J. Chem. 1999, 77, 659–666. [Google Scholar] [CrossRef]
- Um, I.-H.; Min, J.-S.; Ahn, J.-A.; Hahn, H.-J. Effect of Acyl Substituents on the Reaction Mechanism for Aminolyses of 4-Nitrophenyl X-Substituted Benzoates. J. Org. Chem. 2000, 65, 5659–5663. [Google Scholar] [CrossRef]
- Um, I.-H.; Han, H.-J.; Ahn, J.-A.; Kang, S.; Buncel, E. Reinterpretation of Curved Hammett Plots in Reaction of Nucleophiles with Aryl Benzoates: Change in Rate-Determining Step or Mechanism versus Ground-State Stabilization. J. Org. Chem. 2002, 67, 8475–8480. [Google Scholar] [CrossRef]
- Um, I.-H.; Kim, K.-H.; Park, H.-R.; Fujio, M.; Tsuno, Y. Effects of Amine Nature and Nonleaving Group Substituents on Rate and Mechanism in Aminolyses of 2,4-Dinitrophenyl X-Substituted Benzoates. J. Org. Chem. 2004, 69, 3937–3942. [Google Scholar] [CrossRef]
- Um, I.-H.; Hwang, S.-J.; Baek, M.-H.; Park, E.J. Modification of Both the Electrophilic Center and Substituents on the Nonleaving Group in Pyridinolysis of O-4-Nitrophenyl Benzoate and Thionobenzoates. J. Org. Chem. 2006, 71, 9191–9197. [Google Scholar] [CrossRef]
- Min, S.-W.; Seo, J.-A.; Um, I.-H. Kinetics and Mechanism of Nucleophilic Displacement Reactions of Y-Substituted Phenyl Benzoates with Z-Substituted Phenoxides. Bull. Korean Chem. Soc. 2009, 30, 2403–2407. [Google Scholar] [CrossRef]
- Um, I.-H.; Im, L.-R.; Kim, E.-H.; Shin, J.H. Nonlinear Hammett plots in pyridinolysis of 2,4-dinitrophenyl X-substituted benzoates: Change in RDS versus resonance contribution. Org. Biomol. Chem. 2010, 8, 3801–3806. [Google Scholar] [CrossRef] [PubMed]
- Um, I.-H.; Bae, A.R. Aminolysis of Y-Substituted-phenyl 2-Methoxybenzoates in Acetonitrile: Effect of the o-Methoxy Group on Reactivity and Reaction Mechanism. J. Org. Chem. 2011, 76, 7510–7515. [Google Scholar] [CrossRef] [PubMed]
- Kang, J.-S.; Um, I.-H. Kinetics and Reaction Mechanism for Aminolysis of Benzyl 4-Pyridyl Carbonate in H2O: Effect of Modification of Nucleofuge from 2-Pyridyloxide to 4-Pyridyloxide on Reactivity and Reaction Mechanism. Bull. Korean Chem. Soc. 2012, 33, 2269–2273. [Google Scholar] [CrossRef]
- Lee, J.-Y.; Kim, M.-Y.; Um, I.-H. Kinetic Study on Nucleophilic Displacement Reactions of Y-Substituted-Phenyl 2-Methylbenzoates with Cyclic Secondary Amines in Acetonitrile: Effects of Modification of 2-MeO in Benzoyl Moiety by 2-Me on Reactivity and Reaction Mechanism. Bull. Korean Chem. Soc. 2013, 34, 3795–3799. [Google Scholar] [CrossRef]
- Um, I.-H.; Bae, A.-R.; Um, T.-I. Comparison of Aminolysis of 2-Pyridyl and 4-Pyridyl X-Substituted Benzoates in Acetonitrile: Evidence for a Concerted Mechanism Involving a Cyclic Transition State. J. Org. Chem. 2014, 79, 1206–1212. [Google Scholar] [CrossRef]
- Giri, S.K.; Kartha, K.P.R. Acyl transfer reactions of carbohydrates, alcohols, phenols, thiols and thiophenols under green reaction conditions. RSC Adv. 2015, 5, 11687–11696. [Google Scholar] [CrossRef]
- Keydel, T.; Link, A. Synthetic Approaches, Properties, and Applications of Acylals in Preparative and Medicinal Chemistry. Molecules 2024, 29, 4451. [Google Scholar] [CrossRef]
- Pyun, S.Y.; Paik, K.C.; Han, M.S.; Hong, S.T.; Cho, B.R. Reactions of 2,4-dinitrophenyl 5-substituted-2-thiophenecarboxylate promoted by 4-ZCHO/4-ZCHOH in 20 mol% DMSO(aq). Effects of leaving group and nucleophile on the acyl transfer reactions. Bull. Korean Chem. Soc. 2023, 44, 952–957. [Google Scholar] [CrossRef]
- Pyun, S.Y.; Paik, K.C.; Han, M.S.; Cho, B.R. A Kinetic Study on the Nucleophilic Substitution Reaction of 2,4-dinitrophenyl 5-substituted-2-furoates Under R2NH/R2NH2+ in 20 mol% DMSO(aq). Effects of Nonleaving Group and Leaving Group on the Reaction Mechanism. J. Korean Chem. Soc. 2023, 67, 191–198. [Google Scholar] [CrossRef]
- Jencks, W.P.; Gilchrist, M. Nonlinear structure-reactivity correlations. The reactivity of nucleophilic reagents toward esters. J. Am. Chem. Soc. 1968, 90, 2622–2637. [Google Scholar] [CrossRef]
- Gresser, M.J.; Jencks, W.P. Ester aminolysis. Structure-reactivity relationships and the rate-determining step in the aminolysis of substituted diphenyl carbonates. J. Am. Chem. Soc. 1977, 99, 6963–6970. [Google Scholar] [CrossRef]
- Gresser, M.J.; Jencks, W.P. Ester aminolysis. Partitioning of the tetrahedral addition intermediate, T.+-., and the relative leaving ability of nitrogen and oxygen. J. Am. Chem. Soc. 1977, 99, 6970–6980. [Google Scholar] [CrossRef]
- Castro, E.A.; Ureta, C. Kinetics and mechanism of the reactions of 2,4-dinitrophenyl acetate with secondary alicyclic amines. Different nucleofugalities of alicyclic amines and pyridines from a tetrahedral intermediate. J. Org. Chem. 1990, 55, 1676–1679. [Google Scholar] [CrossRef]
- Castro, E.A.; Ibanez, F.; Santos, J.G.; Ureta, C. Kinetics and mechanism of the aminolysis of phenyl thionoacetate in aqueous solution. J. Org. Chem. 1993, 58, 4908–4912. [Google Scholar] [CrossRef]
- Castro, E.A.; Ibáñez, F.; Santos, J.G.; Ureta, C. Kinetics and mechanism of the aminolysis of phenyl dithioacetate in aqueous solution. J. Chem. Soc. Perkin Trans. 2 1991, 1919–1924. [Google Scholar] [CrossRef]
- Um, I.-H.; Akhtar, K.; Shin, Y.-H.; Han, J.-Y. Aminolyses of Aryl Diphenylphosphinates and Diphenylphosphinothioates: Effect of Modification of Electrophilic Center from PO to PS. J. Org. Chem. 2007, 72, 3823–3829. [Google Scholar] [CrossRef]
- Chapman, N.; Shoeter, J. (Eds.) Advances in Linear Free Energy Relationships; Plenum Press: London, UK, 1972. [Google Scholar]
- Pyun, S.Y.; Paik, K.C.; Han, M.S.; Cho, B.R. Reactions of 2,4-Dinitrophenyl 5-substituted-2-thiophenecarboxylates with R2NH/R2NH2+ in 20 Mol % DMSO(aq). Effects of 5-Thienyl Substituent and Leaving Group on the Reaction Mechanism. Bull. Korean Chem. Soc. 2019, 40, 983–990. [Google Scholar] [CrossRef]
- Tang, D.; Xu, J. Thermal Effect in the Microwave-assisted Aminolysis of Benzoates and Amines. Curr. Microw. Chem. 2020, 7, 74–82. [Google Scholar] [CrossRef]
- Guo, L.; Liu, F.; Wang, L.; Yuan, H.; Feng, L.; Kürti, L.; Gao, H. Cascade Approach to Highly Functionalized Biaryls by a Nucleophilic Aromatic Substitution with Arylhydroxylamines. Org. Lett. 2019, 21, 2894–2898. [Google Scholar] [CrossRef]
- Zhang, G.; Xu, J. A four-step cascade reaction involving O[1,3] sigmatropic shift and Smiles rearrangements as key steps. New J. Chem. 2022, 46, 9322–9330. [Google Scholar] [CrossRef]
- Won, J.-E.; Kim, H.-K.; Kim, J.-J.; Yim, H.-S.; Kim, M.-J.; Kang, S.-B.; Chung, H.-A.; Lee, S.-G.; Yoon, Y.-J. Effective esterification of carboxylic acids using (6-oxo-6H-pyridazin-1-yl)phosphoric acid diethyl ester as novel coupling agents. Tetrahedron 2007, 63, 12720–12730. [Google Scholar] [CrossRef]
- Liu, F.; Sohail, A.; Ablajan, K. Metal-Free Oxidative Formation of Aryl Esters by Catalytic Coupling of Acyl and Sulfonyl Chlorides with Arylboronic Acids. J. Org. Chem. 2024, 89, 27–33. [Google Scholar] [CrossRef] [PubMed]
- Lee, C.K.; Yu, J.S.; Lee, H.-J. Determination of aromaticity indices of thiophene and furan by nuclear magnetic resonance spectroscopic analysis of their phenyl esters. J. Heterocycl. Chem. 2002, 39, 1207–1217. [Google Scholar] [CrossRef]
- Wang, X.; Yang, Y.; Zhao, Y.; Wang, S.; Hu, W.; Li, J.; Wang, Z.; Yang, F.; Zhao, J. Ynamide-Mediated Intermolecular Esterification. J. Org. Chem. 2020, 85, 6188–6194. [Google Scholar] [CrossRef]
- Zu, W.; Day, C.; Wei, L.; Jia, X.; Xu, L. Dual aminoquinolate diarylboron and nickel catalysed metallaphotoredox platform for carbon–oxygen bond construction. Chem. Commun. 2020, 56, 8273–8276. [Google Scholar] [CrossRef]
- Liao, W., Jr.; Lin, S.-Y.; Kuo, Y.-S.; Liang, C.-F. Site-Selective Acylation of Phenols Mediated by a Thioacid Surrogate through Sodium Thiosulfate Catalysis. Org. Lett. 2022, 24, 4207–4211. [Google Scholar] [CrossRef]
- pKa values were calculated using Advanced Chemistry Development software v.11.02 (1994–2015 ACD/Labs). Available online: https://www.acdlabs.com/products/percepta-platform/physchem-suite/pka (accessed on 30 August 2024).
- Sober, H.A. Handbook of Biochemistry, Selected Data for Molecular Biology; Chemical Rubber Company: Cleaveland, OH, USA, 1968. [Google Scholar]
- Lowry, T.H.; Richardson, K.S. Mechanism and Theory in Organic Chemistry; Harper and Row: New York, NY, USA, 1987. [Google Scholar]
- Shames, S.L.; Byers, L.D. Acyl substituent effects on rates of acyl transfer to thiolate, hydroxide, and oxy dianions. J. Am. Chem. Soc. 1981, 103, 6170–6177. [Google Scholar] [CrossRef]
- Knowlton, R.C.; Byers, L.D. Acyl substituent effects on ester aminolysis. J. Org. Chem. 1988, 53, 3862–3865. [Google Scholar] [CrossRef]
- Williams, A. Effective charge and Leffler’s index as mechanistic tools for reactions in solution. Acc. Chem. Res. 1984, 17, 425–430. [Google Scholar] [CrossRef]
- Um, I.-H.; Chun, S.-E.; Kwon, D.-S. The Effect of Polarizability on Rate and Reaction Mechanism: Reactions of S-Aryl Substituted Thiobenzoates with HO- and Aryloxide Ions. Bull. Korean Chem. Soc. 1991, 12, 510–514. [Google Scholar] [CrossRef]
- Um, I.-H.; Kwon, H.; Kwon, D.-S.; Park, J.-Y. Addition-Elimination Mechanism of Aminolyses of 4-Nitrophenyl Benzoate and Its Sulfur Analog. J. Chem. Res.-S 1995, 1, 301. [Google Scholar]
- Buncel, E.; Um, I.H.; Hoz, S. Solvent-independent transition-state structure for acyl-transfer reactions. A novel strategy for construction of a Broensted correlation. J. Am. Chem. Soc. 1989, 111, 971–975. [Google Scholar] [CrossRef]
- Bernasconi, C.F. Techniques of Organic Chemistry, 4th ed.; Wiley: New York, NY, USA, 1986; Volume 6. [Google Scholar]
- Albert, A. Physical Methods in Heterocyclic Chemistry; Academic Press: London, UK, 1963; Volume 1, p. 44. [Google Scholar]
- Bernardi, F.; Bottoni, A.; Venturini, A. An ab initio SCF-MO study of the aromaticity of some cyclic compounds. J. Mol. Struct. Theochem 1988, 163, 173–189. [Google Scholar] [CrossRef]
- Oh, H.K.; Woo, S.Y.; Shin, C.H.; Lee, I. Aminolysis of aryl dithio-2-thiophenates and dithio-2-furoates in acetonitrile. Int. J. Chem. Kinet. 1998, 30, 849–857. [Google Scholar] [CrossRef]
- Um, I.-H.; Hong, J.-Y.; Kim, J.-J.; Chae, O.-M.; Bae, S.-K. Regioselectivity and the Nature of the Reaction Mechanism in Nucleophilic Substitution Reactions of 2,4-Dinitrophenyl X-Substituted Benzenesulfonates with Primary Amines. J. Org. Chem. 2003, 68, 5180–5185. [Google Scholar] [CrossRef]
- Um, I.-H.; Chun, S.-M.; Chae, O.-M.; Fujio, M.; Tsuno, Y. Effect of Amine Nature on Reaction Rate and Mechanism in Nucleophilic Substitution Reactions of 2,4-Dinitrophenyl X-Substituted Benzenesulfonates with Alicyclic Secondary Amines. J. Org. Chem. 2004, 69, 3166–3172. [Google Scholar] [CrossRef]
- Um, I.-H.; Hong, J.-Y.; Seok, J.-A. Effect of Substituent on Regioselectivity and Reaction Mechanism in Aminolysis of 2,4-Dinitrophenyl X-Substituted Benzenesulfonates. J. Org. Chem. 2005, 70, 1438–1444. [Google Scholar] [CrossRef]
Disclaimer/Publisher’s Note: The statements, opinions and data contained in all publications are solely those of the individual author(s) and contributor(s) and not of MDPI and/or the editor(s). MDPI and/or the editor(s) disclaim responsibility for any injury to people or property resulting from any ideas, methods, instructions or products referred to in the content. |
© 2024 by the authors. Licensee MDPI, Basel, Switzerland. This article is an open access article distributed under the terms and conditions of the Creative Commons Attribution (CC BY) license (https://creativecommons.org/licenses/by/4.0/).




