Abstract
Due to its application as an anti-cancer drug, pazopanib (1) has attracted the interest of many researchers, and several studies on pazopanib synthesis have been reported over the years. This paper provides a novel route for synthesizing N,2,3-trimethyl-2H-indazol-6-amine (5), which is a crucial building block in the synthesis of pazopanib from 3-methyl-6-nitro-1H-indazole (6). By alternating between the reduction and two methylation steps, compound 5 was obtained in a yield comparable (55%) to what has been reported (54%). It is noteworthy that the last step of N2-methylation also yielded N,N,2,3-tetramethyl-2H-indazol-6-amine (5′) as a novel compound. Furthermore, the data presented in this paper can serve as a valuable resource for future research aimed at further refining the process of synthesizing pazopanib and its derivatives.
1. Introduction
Pazopanib hydrochloride, marketed under the brand name VotrientTM, is an oral anti-cancer drug that inhibits the activity of various kinase enzymes. It was approved by the United States Food and Drug Administration (FDA) for the treatment of soft tissue sarcoma progression and renal cell carcinoma in 2009 [1] and metastatic pretreated uterine leiomyosarcoma in 2012 [2]. It has also been trialled in combination with durvalumab, an anti-PD-L1 inhibitor, in the treatment of metastatic and/or recurrent soft tissue sarcoma [3]. Notably, in renal cell carcinoma, pazopanib demonstrated the ability to increase the response rates and progression-free survival of patients who had or had not received cytokine pretreatment [4,5]. The drug works by blocking vascular endothelial growth factor receptors (VEGFR-1, -2, and-3) and also platelet endothelial growth factor receptors (PDGFR-α and -β)m which leads to the inhibition of angiogenesis and subsequent tumour growth [6].
The pazopanib molecule can be divided into three parts, featuring a sulfonamide, a pyrimidine, and an indazole component (Figure 1). These fragments can be separately synthesized and modified before being combined to offer the target compound. In particular, the indazole component bears structural similarities to the adenine component of ATP, which enables the formation of hydrogen bonds within the tyrosine–kinase receptor’s binding pockets. As a result, this prevents ATP from binding to the receptor and results in the inactivation of ATP-related intracellular reactions [4,7]. Given its crucial role in expressing the biological activity of not only pazopanib but also more potent derivatives [8], the indazole fragment has received considerable attention, with its synthesis having been extensively studied [9,10,11,12,13,14].
Figure 1.
Structural components (2, 3, 4, 5) of pazopanib (1).
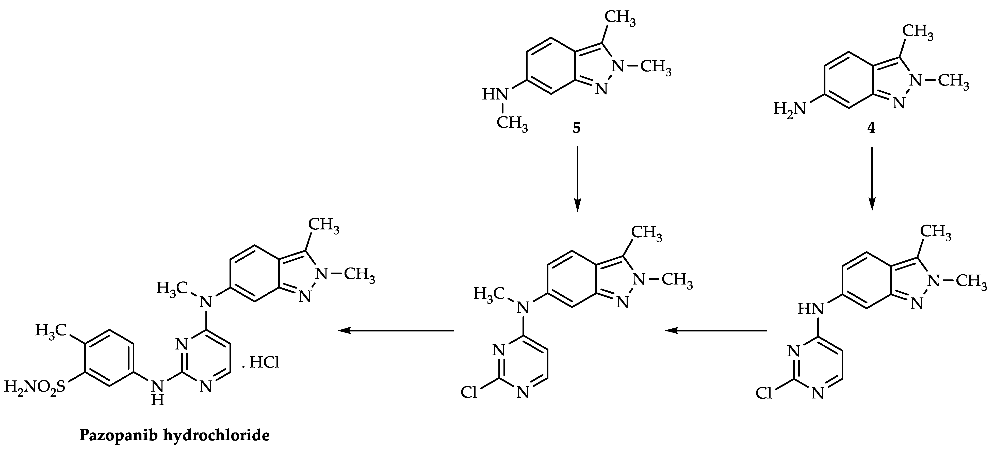
The synthesis of pazopanib can start from either indazole derivative 4 or 5 (Scheme 1) [9,10,11,12]. While compound 4 has the inherent instability of a free aniline and usually requires conversion to a stable HCl salt form, compound 5 is a better candidate as it is not only more stable but also does not entail an extra N-methylation in the aniline group like compound 4 does (Scheme 1).
Scheme 1.
Diagram of synthesis of pazopanib hydrochloride from compound 4 or 5.
Theoretically, there are two possible methods for synthesizing compound 5 from compound 6. The first one involves a selective N2 methylation on the indazole ring, followed by the reduction of the nitro group; this is completed by an Eschweiler–Clarke methylation at the amine group (Scheme 2). This has been reported by Mei Y. C. et al., who cleverly combined the last two steps into one synthetic sequence to afford compound 5 with an overall yield of around 54% [10]. In this synthetic route, while the combined nitro reduction and methylation yielded 86%, the N2 methylation’s yield was limited at 63%, which was comparable to previously reported data [9]. This was due to the intrinsic tautomerism of the indazole ring, in which the methylating reagent can generate either an N1 or N2 methylation product [10,12].
Scheme 2.
Approaches for preparing compound 5 from 3-methyl-6-nitro-1H-indazole (6).
The second route is our proposal, which has not been reported elsewhere. We propose that the nitro reduction should be completed before the methylations at the –NH2 and N2 positions, respectively (Scheme 2). The products at each step were purified and characterized by IR, NMR, MS, TLC and melting points, which can serve as a handy database for research on synthesising pazopanib derivatives.
2. Results and Discussion
The target compound, 5, was prepared in three separate steps from 3-methyl-6-nitro-1H-indazole (6), with an overall yield of 55%. The reaction conditions were modified from the related references [9,11] (Scheme 3).
Scheme 3.
Method of synthezing compound 5 starting from compound 6.
2.1. Process for 3-Methyl-1H-indazol-6-amine (8)
The first step was the reduction of the C6-nitro group by tin chloride in concentrated HCl. Due to its low cost and simple handling, ethyl acetate (EA) was used as the sole solvent for both the reaction and extraction instead of a combination of 2-methoxyethyl ether and diethyl ether, as previously reported [9]. In the acidic condition, the freshly formed aniline group was readily protonated to result in a stable and water soluble HCl salt. Adjusting the pH to 9 by a saturated Na2CO3 solution neutralized the reaction acidity and returned the free aniline that was extracted in the EA layer, leaving other by-products (SnO, Sn(OH)2, and NaCl) in the aqueous layer. To obtain the pure product without column chromatography, the extracted product in EA was further reacted with HCl solution to get the product back into the aqueous HCl solution, which was then separated from EA. Adjusting the pH of the resulting aqueous solution to a basic range facilitated the precipitation of a pure product in aniline form, which was filtered off and dried as a yellow crystalline solid (87%). In this nitro reduction step by SnCl2/HCl (conc), the molar ratio between SnCl2 and compound 6 was determined to be beneficial at 4:1 due to the low chemical consumption and comparable efficiency when compared with the other ratios examined (Table 1). Similar nitro reduction has been reported with a yield up to 92% [9]; however, the product was isolated as a HCl salt, not a free aniline product as observed in our experiment.
Table 1.
The comparable yields of compound 8 generated by various molar ratios between SnCl2 and compound 6.
2.2. Process for N,3-Dimethyl-1H-indazol-6-amine (9) via Reductive Amination
The second step was a reductive amination between the aniline functional group (compound 8) and formaldehyde, which resulted in compound 9 yielding at 87%. This reaction was performed in a basic condition due to the use of a weak organic or inorganic base as the catalyst (Table 2). We again adopted the purification method used in the synthesis of compound 8. We first protonated the product into a HCl salt, which was selectively extracted into aqueous solution to leave other organic matter in the EA layer. This aqueous product solution was then separated, and the pH was adjusted to 9 (by Na2CO3) to neutralize the HCl salt facilitating the precipitation of the pure secondary amine product. This purification technique required no column chromatography, as previously reported, and significantly enhanced the yield of compound 9 synthesized, from 39% [11] to 87%.
Table 2.
Organic and inorganic bases used as catalysts in the synthesis of compound 9.
In this synthesis of compound 9, we trialed several base catalysts and the results are presented in Table 2. Replacing inorganic bases such as K2CO3 and Na2CO3 with an organic base such as potassium tert-butoxide (t-BuOK) and CH3ONa resulted in better efficiency and a shorter reaction time (Table 2). While both organic bases (t-BuOK and CH3ONa) enabled comparable yields (79% vs. 87%, Table 2), CH3ONa stood out in terms of cost when scaling up as it can freshly be made from Na and methanol in our lab. Additionally, we explored the optimal molar ratio between compound 8 and NaBH4. The shortest reaction time and highest efficiency were achieved with a molar ratio of 1:4 between compound 8 and the reducing agent NaBH4 (Table 3).
Table 3.
The impact of the molar ratio between compound 8 and NaBH4 on product yield.
2.3. Process for N,2,3-Trimethyl-2H-indazol-6-amine (5)
The synthesis of target compound 5 from 9 has never been reported before. It involved a selective methylation at the N2 position on compound 9. A closely related reaction was reported for compound 6 using trimethyl orthoformate (TMOF) as the methylating reagent [10]. This reaction generated a mixture of N1- and N2-methylated products due to the tautomerism of the NH group in the indazole ring, which was typical for the alkylation of an indazole derivative [13,14]. It was found that in the presence of concentrated sulfuric acid, this reaction favoured the N2-methylated product [10]. However, in our experiment, we found that beside the target N2-methylated product, 5, a new by-product, 5′, was formed depending on the equivalence of the TMOF used, whilst no N1-methylated product (5″) was isolated (Scheme 4). Compound 5′, having not been reported in the literature, was found to contain a tertiary amine functional group attached on C6 of the indazole ring. This indicated that the methylating reagent also attacked the secondary amine of compound 9. This could be explained by the potent alkylating ability of TMOF [15], which readily attacked both the NH in the indazole and the secondary amine (Scheme 5). Although the possibility of generating multiple methylated products limited the yield of the target product 5 to 73%, this was more efficient than the similar N-methylation of a simpler compound previously reported (compound 7, 63%, [10]). Both compounds 5 and 5′ displayed very close Rf values (Rf~0.30 in n-hexane/ethyl acetate, 3:7, and 0.70 in dichloromethane/methanol, 9:1), which prompted us to use our in-house preparative chromatography to purify them before characterization (yield: 28% for 5, and 21% for 5′). In this N-methylation reaction, using concentrated H2SO4 as the sole catalyst was important, as changing it to either polyphosphoric acid or a mixture of p-toluenesulfonic acid (PTSA) and concentrated H2SO4 resulted in unknown products whose Rf values were different from those of the target compound 5. Moreover, choosing the right ratio between TMOF and the starting material 9 was crucial. Using the ratio (~6.2:1) reported for a similar methylation reaction [10] led to more new spots, including the aforementioned compound 5′, while reducing it to less than (4:1) returned unreactive starting material. As such, we utilized the ratio of (4:1), which enabled both the completion of the reaction and a cleaner TLC, which prioritised the formation of target compound 5 at 73% yield. From compound 5, we have successfully synthesized pazopanib hydrochloride with a purity of 99.0–101.0% (Figure S24, Supplementary Materials) by using a recently patented novel approach (data unpublished).
Scheme 4.
The methylation of compound 9 by TMOF (ratio of TMOF: compound 9 as 6.2:1) in concentrated H2SO4 generated a mixture of target compound 5 and by-product 5′, whose structure has not been reported in the literature. Compound 5″ was not isolated. Switching the ratio of TMOF: compound 9 to 4:1 facilitated the isolation of product 5 as the sole product at 73%.
Scheme 5.
The probable mechanism by which compound 9 is methylated by TMOF in an acidic condition.
We also trialled CH3I as an alternative methylating reagent accompanied by various base catalysts (CH3ONa, t-BuOK or K2CO3). However, their reaction mixtures displayed more unknown new spots on TLC when compared with that of TMOF, while the starting material (9) was still detectable. As a result, TMOF was chosen as the methylating reagent for our synthesis.
A probable mechanism for the N-methylation reaction using TMOF is suggested in Scheme 5. In acid media, a TMOF molecule was protonated into a methoxonium intermediate that was converted into a carbocation (carbenium ion) through the cleavage of a methanol molecule. The carbocation and its resonance structure, the oxonium ion, both possess an electrophilic H3Cδ+ center (Scheme 5). This center then received a nucleophilic attack from the lone pair of electrons located at the N2 position of the indazole ring to afford the target compound 5, at the same time releasing a methanol and a methyl formate molecule as good leaving groups. When using a large amount of TMOF vs. starting material 9 (6.2:1), this methylation process was continued on the newly formed compound 5 whose nucleophilic center was the lone pair of electrons located on the secondary amine NH- connected to C6-indazole to afford a novel compound, 5′ [12,16].
3. Materials and Methods
3.1. General Information
3-Methyl-6-nitro-1H-indazole (compound 6) was synthesized in the lab. Trimethyl orthoformate (98.0%) was purchased from Shanghai Aladdin Bio-Chem Technology Co., Ltd. (Shanghai, China). Potassium carbonate (K2CO3) (99.0%) and paraformaldehyde (≥95.0%) were purchased from Guangdong Guanghua Sci-Tech Co., Ltd. (Shantou, China). Ethyl acetate (99.5%) was purchased from Samchun Chemical Co., Ltd. (Pyeongtaek-si, Gyeonggi-do, Republic of Korea). Sodium borohydride (NaBH4) (98.0%), n-hexane (≥98.0%), methanol (MeOH) (99.5%), isopropanol (IPA) (99.7%), anhydrous sodium sulfate, toluene (99.5%), tin(II) chloride (SnCl2·2H2O) 98.0% and N,N-dimethylformamide (DMF) (99.5%), all of which met analytical reagent (AR) purity standards, were obtained from Xilong Scientific Co., Ltd. (Shantou, China). All chemicals were used without further purification.
The melting point (M.p) was measured by using the capillary tube method with an SRS EZ-Melt apparatus (Stanford Research Systems, Sunnyvale, CA, USA). The mass spectra of compounds were recorded on an LC-MSD Trap SL machine, ionized by the ESI (electrospray ionization) method. The FT-IR spectrum was recorded by a Shimadzu spectrometer (Kyoto, Japan). Nuclear magnetic resonance (1H, 13C, COSY, HSQC, HMBC, NOESY) experiments were measured on a Bruker Ascend spectrometer (Billerica, MA, USA) at 500 MHz for protons and 125 MHz for carbon-13 using CDCl3 as the solvent and tetramethylsilane (TMS) as an internal standard. The reaction mixtures were monitored, and the purity of the compounds was checked by thin-layer chromatography (TLC) on silica gel 60 F254 plates (Merck, Darmstadt, Germany).
3.2. Synthetic Procedure
3.2.1. 3-Methyl-1H-indazol-6-amine (8)
In a 100 mL round-bottom flask, 3-methyl-6-nitro-1H-indazole (6) (2.00 g, 11.3 mmol, 1 eq) was dispersed into ethyl acetate (10 mL) at 0 °C; then, tin(II) chloride dihydrate (10.19 g, 45.2 mmol, 4 eq) was slowly added. This was followed by the dropwise addition of concentrated HCl (1 mL) over 1 min, keeping the reaction temperature below 10 °C with an ice bath. The ice bath was taken out when the HCl addition was finished, and the mixture was stirred for three more hours. Once the reaction was complete (as shown by TLC), 50 milliliters of ethyl acetate was added and then the reaction mixture was cooled to 5 °C. The reaction mixture was then neutralized by saturated Na2CO3 solution to a pH of 9. The organic phase was separated, and two more fractions of ethyl acetate (2 × 50 mL) were sequentially added to carry out the extraction two more times. Following that, the organic phase was combined and rinsed three times with distilled water (3 × 20 mL). The organic phase was then transferred to a conical flask, in which 10 mL of a 20% hydrochloric acid solution was gradually added, and the mixture was shaken to facilitate the formation of HCl salt, which was soluble in the aqueous phase. The latter was separated and cooled to 5 °C and the saturated Na2CO3 solution was added in small portions under stirring to pH = 9, which enabled the formation of a precipitate. The precipitate was collected by vacuum filtration, washed three times with distilled water (3 × 5 mL), and dried to obtain 3-methyl-1H-indazol-6-amine (8) as a yellow–brown solid (1.45 g, 87% yield). M.p: 203.8–204.5 °C. TLC: Rf = 0.45 (n-hexane/ethyl acetate, 3:7). MS (ESI, MeOH), m/z: Calculated for C8H9N3 [M + H]+: 148.08, found: 147.9. FT-IR (KBr), vmax (cm−1): 3382, 3180 (N-H); 1640 (C=N); 1520 (C=C); 1H-NMR (500 MHz, CDCl3), δ (ppm): 9.44 (s, 1H, N-NH); 7.43 (d, J = 8.5 Hz, 1H, H-4); 6.57–6.55 (m, 2H, H-5, H-7); 3.84 (s, 2H, NH2); 2.50 (s, 3H, H-1′). 13C-NMR (125 MHz, CDCl3), δ (ppm): 146.1 (C-6); 143.5; (C-7a); 142.9 (C-3); 121.0 (C-4); 116.8 (C-3a); 111.9 (C-5); 92.4 (C-7); 11.9 (C-1′) (Figures S1–S4, Supplementary Materials).
3.2.2. N,3-Dimethyl-1H-indazol-6-amine (9)
In a 100 mL single neck round-bottom flask, 3-methyl-1H-indazol-6-amine (8) (2.00 g, 13.6 mmol, 1 equivalent) was dissolved in 20 mL of methanol. Then, CH3ONa (3.67 g, 67.9 mmol, 5 eq) and paraformaldehyde (2.04 g, 67.9 mmol, 5 eq) were added to the reaction vessel, respectively. The mixture was then refluxed for 5 min, and stirred at room temperature for 4 h. After that, the reaction was cooled to 5 °C, and NaBH4 (2.06 g, 54.4 mmol, 4 eq) was slowly added under stirring for 5 min. The reaction mixture was refluxed for approximately 2 h, and the solvent was removed by rotary evaporation. The residue was redistributed in water and washed three times with ethyl acetate (3 × 50 mL). The ethyl acetate extracts were combined and rinsed three times with purified water (3 × 30 mL). Then, 20% HCl solution was added dropwise to the combined ethyl acetate layer under stirring until pH = 1. Subsequently, the aqueous phase was separated using a decanter. After the aqueous solution was cooled to room temperature, saturated Na2CO3 solution was gradually added under stirring until pH = 9, which enabled the precipitation of the base product (9). The precipitate was filtered using a Buchner filter funnel, collected, and dried under an infrared lamp. Compound 9 was obtained as a pink–white solid (1.90 g, 87% yield). M.p: 215.6–217.3 °C. TLC: Rf = 0.60 (n-hexane/ethyl acetate, 3:7). MS (ESI, MeOH), m/z: Calculated for C9H11N3 [M+H]+: 162.10, found: 161.8. FT-IR (KBr), vmax (cm−1): 3338, 3221 (N-H); 2974, 2939, 2900 (C-H sp3), 1624 (C=N); 1589, 1510 (C=C); 1H-NMR (500 MHz, CDCl3), δ (ppm): 7.42 (d, J = 8.5 Hz, 1H, H-4); 6.52 (dd, J1 = 8.8 Hz, J2 = 1.8 Hz, 1H, H-5); 6.43 (d, J = 1.5 Hz, 1H, H-7); 2.90 (s, 3H, H-2′); 2.52 (s, 3H, H-1′).13C-NMR (125 MHz, CDCl3), δ (ppm): 149.1 (C-7a); 143.3 (C-3); 120.7 (C- 4); 115.7 (C-3a); 111.5 (C-5); 87.9 (C-7); 30.8 (C-2′); 11.9 (C-1′) (Figures S5–S8, Supplementary Materials).
3.2.3. N,2,3-Trimethyl-2H-indazol-6-amine (5)
Here, 30 mL of toluene, 3 mL of N,N-dimethylformamide (DMF) and 5.4 mL of trimethyl orthoformate (49.6 mmol; 4 eq) were added to a 50 mL round-bottom flask under stirring; then, 0.5 mL of 98% H2SO4 solution (8.7 mmol; 0.7 eq) was dropwise added to the mixture, which was stirred at 5 °C for 5 min before 2.00 g of N,3-dimethyl-1H-indazol-6-amine (9) (12.4 mmol; 1 eq) was added into the reaction vessel. The reaction mixture was then heated and stirred at 60 °C for 5 h. The solvent was removed under reduced pressure and a thick, dark-pink residue was obtained. Then, 100 mL of distilled water was added to this residue to form a clear, wine-red solution. The solution was washed with ethyl acetate (3 times × 120 mL/time) and the aqueous phase was separated. The saturated Na2CO3 solution was slowly added to the aqueous phase until pH = 8. The resulting aqueous solution was washed with ethyl acetate (3 × 120 mL). The ethyl acetate fractions were combined and then washed with distilled water (5 × 70 mL) to remove DMF and water-soluble impurities. Finally, the organic phase was dried with sodium sulfate and the solvent was removed using an rotary evaporator to obtain a yellow powder (1.58 g, 73% yield). M.p: 144.2–145.8 °C. TLC: Rf = 0.30 (n-hexane/ethyl acetate, 3:7); 0.65 (dichloromethane/methanol, 9:1). MS (ESI, MeOH), m/z: Calculated for C10H13N3 [M+H]+: 176.11, found: 175.9. FT-IR (KBr), vmax (cm−1): 3422 (N-H); 2982, 2904 (C-H sp3), 1645 (C=N); 1560, 1513 (C=C); 1H-NMR (500 MHz, CDCl3), δ (ppm): 7.28 (d, J = 9.0 Hz, 1H, H-4); 6.52 (s, 1H, H-7); 6.45 (dd, J1 = 8.8 Hz, J2 = 1.8 Hz, 1H, H-5); 3.97 (s, 3H, H-2′); 2.86 (s, 3H, H-3′); 2.49 (s, 3H, H-1′). 13C-NMR (125 MHz, CDCl3) δ (ppm): 149.6 (C-7a); 147.8 (C-6); 131.3 (C-3); 119.9 (C-4); 115.5 (C-3a); 114.8 (C-5); 91.7 (C-7); 36.7 (C-3′); 30.8 (C-2′); 9.8 (C-1′) (Figures S9–S16, Supplementary Materials).
3.2.4. N,N,2,3-Tetratramethyl-2H-indazol-6-amine (5′)
When using a larger ratio between TMOF and the starting material 9, namely 6.2:1, beside target compound 5 (28%), the novel compound, 5′, was isolated with a 21% yield.
Data for compound 5′: TLC Rf = 0.30 (n-hexane/ethyl acetate, 3:7); 0.70 (dichloromethane/methanol, 9:1). MS (ESI, MeOH), m/z: Calculated for C11H15N3 [M + H]+: 190.1, found: 189.9. FT-IR (KBr), vmax (cm−1): 2926 (C-H sp3); 1650 (C=N); 1559 (C=C). 1H-NMR (500 MHz, DMSO-d6), δ (ppm): 7.43 (d, J = 9.5 Hz, 1H, H-4); 6.77 (dd, J1 = 9.5 Hz, J2 = 1.5 Hz, 1H, H-5); 6.45 (d, J = 1.5 Hz,1H, H-7); 3.91 (s, 3H, H-2′); 2.88 (s, 6H, H-3′, H-4′), 2.50 (s, 3H, H-1′). 13C-NMR (125 MHz, DMSO-d6) δ (ppm): 149.6 (C-7a); 148.9 (C-6); 131.2 (C-3); 120.5 (C-4); 115.4 (C-3a); 113.2 (C-5); 94.9 (C-7); 41.4 (C-3′,4′); 37.1 (C-2′); 9.8 (C-1′) (Figures S17–S23, Supplementary Materials).
4. Conclusions
In conclusion, we have successfully developed a novel alternative approach to converting 3-methyl-6-nitro-1H-indazole (6) into N,2,3-trimethyl-2H-indazol-6-amine (5), an important intermediate in the synthesis of pazopanib. This approach involved a nitro reduction (87%), a reductive amination (87%), and a N-methylation at the N2 position on the indazole ring (73%), yielding an overall yield of the target compound 5 of 55%. This yield was comparable to what has been reported (54%). We successfully optimized the reaction conditions so that column chromatography could be negated, which makes the synthesis suitable for upscaling. In addition, we discovered a new structure, 5′, due to the potent methylating capability of TMOF, which facilitated multiple methylation on various nucleophilic centers on the indazole derivative. The products in each step were characterized using melting point determination, mass spectrometry, FT-IR spectroscopic analysis, and 1H-NMR, 13C-NMR, COSY, HSQC, HMBC, NOESY spectroscopy, whose data can be found in the Supplementary Materials.
Supplementary Materials
The following supporting information can be downloaded at: https://www.mdpi.com/article/10.3390/chemistry6050063/s1. Figure S1. IR spectrum of 3-methyl-1H-indazol-6-amine (8); Figure S2. MS spectrum of 3-methyl-1H-indazol-6-amine (8); Figure S3. 1H-NMR spectrum of 3-methyl-1H-indazol-6-amine (8); Figure S4. 13C-NMR spectrum of 3-methyl-1H-indazol-6-amine (8); Figure S5. IR spectrum of N,3-dimethyl-1H-indazol-6-amine (9); Figure S6. MS spectrum of N,3-dimethyl-1H-indazol-6-amine (9); Figure S7. 1H-NMR spectrum of N,3-dimethyl-1H-indazol-6-amine (9); Figure S8. 13C-NMR spectrum of Nc,3-dimethyl-1H-indazol-6-amine (9); Figure S9. IR spectrum of N,2,3-trimethyl-2H-indazol-6-amine (5); Figure S10. MS spectrum of N,2,3-trimethyl-2H-indazol-6-amine (5); Figure S11. 1H-NMR spectrum of N,2,3-trimethyl-2H-indazol-6-amine (5); Figure S12. 13C-NMR spectrum of N,2,3-trimethyl-2H-indazol-6-amine (5); Figure S13. 2D-HSQC spectrum of N,2,3-trimethyl-2H-indazol-6-amine (5); Figure S14. 2D-HMBC spectrum of N,2,3-trimethyl-2H-indazol-6-amine (5); Figure S15. NOESY spectrum of N,2,3-trimethyl-2H-indazol-6-amine (5); Figure S16. COSY spectrum of N,2,3-trimethyl-2H-indazol-6-amine (5); Figure S17. IR spectrum of N,N,2,3-tetratramethyl-2H-indazol-6-amine (5′); Figure S18. MS spectrum of N,N,2,3-tetratramethyl-2H-indazol-6-amine (5′); Figure S19. 1H-NMR spectrum of N,N,2,3-tetratramethyl-2H-indazol-6-amine (5′); Figure S20. 13C-NMR spectrum of N,N,2,3-tetratramethyl-2H-indazol-6-amine (5′); Figure S21. 2D-HSQC spectrum of N,N,2,3-tetratramethyl-2H-indazol-6-amine (5′); Figure S22. 2D-HMBC spectrum of N,N,2,3-tetratramethyl-2H-indazol-6-amine (5′); Figure S23. NOESY spectrum of N,N,2,3-tetratramethyl-2H-indazol-6-amine (5′); Figure S24. HPLC data of pazopanib hydrochloride synthesized from intermediate compound 5. Reference [17] is cited in the Supplementary Materials.
Author Contributions
V.H.N., T.T.C.B., V.G.N. and D.L.N. designed the experiments; T.T.C.B., H.L.L., T.T.L. and N.S.H.D. synthesized the compound and performed the optimization; T.T.C.B., V.H.N., H.L.L. and T.N.N. analyzed spectroscopic data; T.T.C.B. and V.H.N. wrote the original draft preparation; V.H.N. and N.T.T. edited the manuscript. All authors have read and agreed to the published version of the manuscript.
Funding
This research received no external funding.
Data Availability Statement
The data presented in this study are available in this article and Supplementary Materials.
Acknowledgments
The authors would like to thank Hanoi University of Pharmacy for the financial support and research facilities. The authors express their special appreciation to Huy Duc Ngo (huyngoduc.2000@gmail.com) for his assistance in editing the manuscript. The authors would like to thank Thai Nguyen University of Medicine and Pharmacy for research facilities.
Conflicts of Interest
The authors declare no conflicts of interest.
References
- European Medicines Agency. EPAR Summary for the Public, Votrient, Procedure No. EMEA/H/C/001141; European Medicines Agency: London, UK, 2012. [Google Scholar]
- Mantiero, M.; Bini, M.; Polignano, M.; Porcu, L.; Sanfilippo, R.; Fabbroni, C.; Parma, G.; Lapresa, M.; Calidona, C.; Silvestri, C.; et al. A ten-year real-life experience with pazopanib in uterine leyomiosarcoma in two high-specialized centers in Italy: Effectiveness and safety. Cancers 2024, 16, 192. [Google Scholar] [CrossRef] [PubMed]
- Cho, H.J.; Yun, K.H.; Shin, S.J.; Lee, Y.H.; Kim, S.H.; Baek, W.; Han, Y.D.; Kim, S.K.; Ryu, H.J.; Lee, J.; et al. Durvalumab plus pazopanib combination in patients with advanced soft tissue sarcomas: A phase II trial. Nat. Commun. 2024, 15, 685. [Google Scholar] [CrossRef] [PubMed]
- Keisner, S.V.; Shah, S.R. Pazopanib: The newest tyrosine kinase inhibitor for the treatment of advanced or metastatic renal cell carcinoma. Drugs 2011, 71, 443–454. [Google Scholar] [CrossRef] [PubMed]
- Sternberg, C.N.; Davis, I.D.; Mardiak, J.; Szczylik, C.; Lee, E.; Wagstaff, J.; Barrios, C.H.; Salman, P.; Gladkov, O.A.; Kavina, A.; et al. Pazopanib in locally advanced or metastatic renal cell carcinoma: Results of a randomized phase III trial. J. Clin. Oncol. 2023, 41, 1957–1964. [Google Scholar] [CrossRef] [PubMed]
- Kumar, R.; Knick, V.B.; Rudolph, S.K.; Johnson, J.H.; Crosby, R.M.; Crouthamel, M.C.; Hopper, T.M.; Miller, C.G.; Harrington, L.E.; Onori, J.A.; et al. Pharmacokinetic-pharmacodynamic correlation from mouse to human with pazopanib, a multikinase angiogenesis inhibitor with potent antitumor and antiangiogenic activity. Mol. Cancer Ther. 2007, 6, 2012–2021. [Google Scholar] [CrossRef] [PubMed]
- McCormack, P.L. Pazopanib: A review of its use in the management of advanced renal cell carcinoma. Drugs 2014, 74, 1111–1125. [Google Scholar] [CrossRef] [PubMed]
- Jia, Y.; Zhang, J.; Feng, J.; Xu, F.; Pan, H.; Xu, W. Design, synthesis and biological evaluation of pazopanib derivatives as antitumor agents. Chem. Biol. Drug Des. 2014, 83, 306–316. [Google Scholar] [CrossRef] [PubMed]
- Harris, P.A.; Boloor, A.; Cheung, M.; Kumar, R.; Crosby, R.M.; Davis-Ward, R.G.; Epperly, A.H.; Hinkle, K.W.; Hunter III, R.N.; Johnson, J.H.; et al. Discovery of 5-[[4-[(2,3-dimethyl-2H-indazol-6-yl)methylamino]-2-pyrimidinyl]amino]-2-methyl-benzenesulfonamide (Pazopanib), a novel and potent vascular endothelial growth factor receptor inhibitor. J. Med. Chem. 2008, 51, 4632–4640. [Google Scholar] [CrossRef] [PubMed]
- Mei, Y.C.; Yang, B.W.; Chen, W.; Huang, D.D.; Li, Y.; Deng, X.; Liu, B.M.; Wang, J.J.; Qian, H.; Huang, W.L. A novel practical synthesis of pazopanib: An anticancer drug. Lett. Org. Chem. 2012, 9, 276–279. [Google Scholar] [CrossRef]
- Boloor, A.; Cheung, M.; Davis, R.; Harris, P.A.; Hinkle, K.; Mook, R.A., Jr.; Stafford, J.A.; Veal, J.M. Pyrimidineamines as Angiogenesis Modulators. U.S. Patent US7105530B2, 12 September 2006. [Google Scholar]
- Mei, Y.C.; Yang, B.W. The regioselective alkylation of some indazoles using trialkyl orthoformate. Indian J. Heterocycl. Chem. 2017, 27, 275–280. [Google Scholar]
- Boloor, A.; Cheung, M. Chemical Process. WO2003106416A2, 24 December 2003. [Google Scholar]
- Terentjeva, S.; Muceniece, D.; Lūsis, V. Process-related impurities of pazopanib. Org. Process Res. Dev. 2019, 23, 2057–2068. [Google Scholar] [CrossRef]
- Frizzo, C.P. Alkyl orthoformate: A versatile reagent in organic synthesis. Synlett 2009, 2009, 1019–1020. [Google Scholar] [CrossRef][Green Version]
- Kim, D.J.; Oh, K.H.; Park, J.K. A general and direct synthesis of imidazolium ionic liquids using orthoesters. Green Chem. 2014, 16, 4098–4101. [Google Scholar] [CrossRef]
- Escudero-Ortiz, V.; Pérez-Ruixo, J.J.; Valenzuela, B. Development and validation of an HPLC-UV method for pazopanib quantification in human plasma and application to patients with cancer in routine clinical practice. Ther. Drug Monit. 2015, 37, 172–179. [Google Scholar] [CrossRef] [PubMed]
Disclaimer/Publisher’s Note: The statements, opinions and data contained in all publications are solely those of the individual author(s) and contributor(s) and not of MDPI and/or the editor(s). MDPI and/or the editor(s) disclaim responsibility for any injury to people or property resulting from any ideas, methods, instructions or products referred to in the content. |
© 2024 by the authors. Licensee MDPI, Basel, Switzerland. This article is an open access article distributed under the terms and conditions of the Creative Commons Attribution (CC BY) license (https://creativecommons.org/licenses/by/4.0/).








