Photodynamic Action of Synthetic Curcuminoids against Staphylococcus aureus: Experimental and Computational Evaluation
Abstract
1. Introduction
2. Materials and Methods
2.1. Chemicals
2.2. Photobleaching and Fluorescence Emission of Curcuminoids
2.3. Photodynamic Inactivation of Staphylococcus aureus
2.4. Statistical Analysis
2.5. Molecular Modeling
3. Results
3.1. Curcuminoid Photobleaching and Fluorescence Emission Spectra
3.2. Photodynamic Inactivation of Staphylococcus aureus
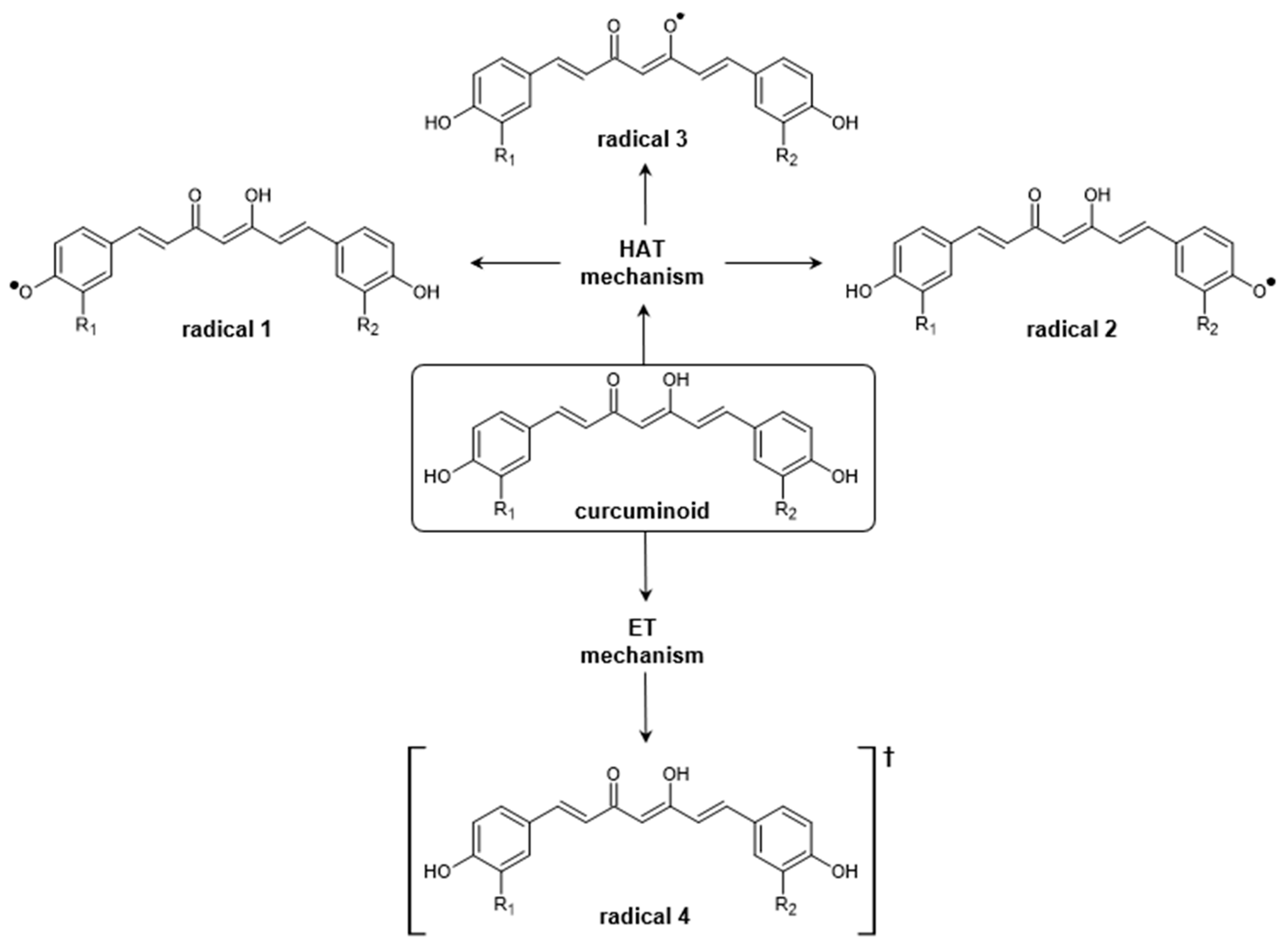
3.3. Molecular Modeling
4. Discussion
4.1. Photobleaching and Fluorescence Emission
4.2. Photodynamic Inactivation of S. aureus
5. Conclusions
Supplementary Materials
Author Contributions
Funding
Institutional Review Board Statement
Data Availability Statement
Acknowledgments
Conflicts of Interest
References
- Dhingra, S.; Rahman, N.A.A.; Peile, E.; Rahman, M.; Sartelli, M.; Hassali, M.A.; Islam, T.; Islam, S.; Haque, M. Microbial Resistance Movements: An Overview of Global Public Health Threats Posed by Antimicrobial Resistance, and How Best to Counter. Front. Public Health 2020, 8, 535668. [Google Scholar] [CrossRef] [PubMed]
- Ribeiro da Cunha; Fonseca; Calado Antibiotic Discovery: Where Have We Come from, Where Do We Go? Antibiotics 2019, 8, 45. [CrossRef]
- Aslam, B.; Wang, W.; Arshad, M.I.; Khurshid, M.; Muzammil, S.; Rasool, M.H.; Nisar, M.A.; Alvi, R.F.; Aslam, M.A.; Qamar, M.U.; et al. Antibiotic Resistance: A Rundown of a Global Crisis. Infect. Drug Resist. 2018, 11, 1645–1658. [Google Scholar] [CrossRef] [PubMed]
- Prestinaci, F.; Pezzotti, P.; Pantosti, A. Antimicrobial Resistance: A Global Multifaceted Phenomenon. Pathog. Glob. Health 2015, 109, 309–318. [Google Scholar] [CrossRef]
- Dadgostar, P. Antimicrobial Resistance: Implications and Costs. Infect. Drug Resist. 2019, 12, 3903–3910. [Google Scholar] [CrossRef]
- Ghorbani, J.; Rahban, D.; Aghamiri, S.; Teymouri, A.; Bahador, A. Photosensitizers in Antibacterial Photodynamic Therapy: An Overview. Laser Ther. 2018, 27, 293–302. [Google Scholar] [CrossRef]
- Cieplik, F.; Deng, D.; Crielaard, W.; Buchalla, W.; Hellwig, E.; Al-Ahmad, A.; Maisch, T. Antimicrobial Photodynamic Therapy—What We Know and What We Don’t. Crit. Rev. Microbiol. 2018, 44, 571–589. [Google Scholar] [CrossRef]
- Kashef, N.; Hamblin, M.R. Can Microbial Cells Develop Resistance to Oxidative Stress in Antimicrobial Photodynamic Inactivation? Drug Resist. Updates 2017, 31, 31–42. [Google Scholar] [CrossRef]
- Dias, L.D.; Blanco, K.C.; Mfouo-Tynga, I.S.; Inada, N.M.; Bagnato, V.S. Curcumin as a Photosensitizer: From Molecular Structure to Recent Advances in Antimicrobial Photodynamic Therapy. J. Photochem. Photobiol. C Photochem. Rev. 2020, 45, 100384. [Google Scholar] [CrossRef]
- Robertson, C.A.; Evans, D.H.; Abrahamse, H. Photodynamic Therapy (PDT): A Short Review on Cellular Mechanisms and Cancer Research Applications for PDT. J. Photochem. Photobiol. B 2009, 96, 1–8. [Google Scholar] [CrossRef]
- Chen, D.; Xu, Q.; Wang, W.; Shao, J.; Huang, W.; Dong, X. Type I Photosensitizers Revitalizing Photodynamic Oncotherapy. Small 2021, 17, 2006742. [Google Scholar] [CrossRef] [PubMed]
- Lucky, S.S.; Soo, K.C.; Zhang, Y. Nanoparticles in Photodynamic Therapy. Chem. Rev. 2015, 115, 1990–2042. [Google Scholar] [CrossRef] [PubMed]
- Szabo, A.; Ostlund, N.S. Modern Quantum Chemistry: Introduction to Advanced Electronic Structure Theory, 1st ed.; McGraw-Hill: New York, NY, USA, 1996. [Google Scholar]
- Parr, R.G.; Yang, W. Density-Functional Theory of Atoms and Molecules; Oxford University Press: New York, NY, USA, 1995; ISBN 9780195092769. [Google Scholar]
- Thiel, W. Semiempirical Quantum–Chemical Methods. WIREs Comput. Mol. Sci. 2014, 4, 145–157. [Google Scholar] [CrossRef]
- Hohenberg, P.; Kohn, W. Inhomogeneous Electron Gas. Phys. Rev. 1964, 136, B864. [Google Scholar] [CrossRef]
- Kohn, W.; Sham, L.J. Self-Consistent Equations Including Exchange and Correlation Effects. Phys. Rev. 1965, 140, A1133–A1138. [Google Scholar] [CrossRef]
- Sholl, D.S.; Steckel, J.A. Density Functional Theory: A Practical Introduction; John Wiley & Sons: Hoboken, NJ, USA, 2022; ISBN 9780470373170. [Google Scholar]
- Sueth-Santiago, V.; Mendes-Silva, G.P.; Decoté-Ricardo, D.; de Lima, M.E.F. Curcumin, the Golden Powder from Turmeric: Insights into Chemical and Biological Activities. Quim. Nova 2015, 38, 538–552. [Google Scholar] [CrossRef]
- Priyadarsini, K. The Chemistry of Curcumin: From Extraction to Therapeutic Agent. Molecules 2014, 19, 20091–20112. [Google Scholar] [CrossRef] [PubMed]
- Chintakovid, N.; Tisarum, R.; Samphumphuang, T.; Sotesaritkul, T.; Cha-Um, S. Evaluation of Curcuminoids, Physiological Adaptation, and Growth of Curcuma Longa under Water Deficit and Controlled Temperature. Protoplasma 2022, 259, 301–315. [Google Scholar] [CrossRef]
- Carmona-Vargas, C.C.; de Alves, L.C.; Brocksom, T.J.; de Oliveira, K.T. Combining Batch and Continuous Flow Setups in the End-to-End Synthesis of Naturally Occurring Curcuminoids. React. Chem. Eng. 2017, 2, 366–374. [Google Scholar] [CrossRef]
- Hatamipour, M.; Ramezani, M.; Tabassi, S.A.S.; Johnston, T.P.; Ramezani, M.; Sahebkar, A. Demethoxycurcumin: A Naturally Occurring Curcumin Analogue with Antitumor Properties. J. Cell Physiol. 2018, 233, 9247–9260. [Google Scholar] [CrossRef]
- Lin, H.-Y.; Lin, J.-N.; Ma, J.-W.; Yang, N.-S.; Ho, C.-T.; Kuo, S.-C.; Way, T.-D. Demethoxycurcumin Induces Autophagic and Apoptotic Responses on Breast Cancer Cells in Photodynamic Therapy. J. Funct. Foods 2015, 12, 439–449. [Google Scholar] [CrossRef]
- Wu, Y.; Zhang, P.; Yang, H.; Ge, Y.; Xin, Y. Effects of Demethoxycurcumin on the Viability and Apoptosis of Skin Cancer Cells. Mol. Med. Rep. 2017, 16, 539–546. [Google Scholar] [CrossRef] [PubMed]
- Xin, Y.; Huang, Q.; Zhang, P.; Guo, W.W.; Zhang, L.Z.; Jiang, G. Demethoxycurcumin in Combination with Ultraviolet Radiation B Induces Apoptosis through the Mitochondrial Pathway and Caspase Activation in A431 and HaCaT Cells. Tumor Biol. 2017, 39, 101042831770621. [Google Scholar] [CrossRef] [PubMed]
- Da Silva, A.P. Novas Estratégias Para o Diagnóstico de Onicomicose e Tratamento Por Terapia Fotodinâmica. Ph.D. Thesis, Universidade de São Paulo, São Carlos, Brazil, 2017. [Google Scholar]
- Dias, L.D.; Corrêa, T.Q.; Bagnato, V.S. Cooperative and Competitive Antimicrobial Photodynamic Effects Induced by a Combination of Methylene Blue and Curcumin. Laser Phys. Lett. 2021, 18, 075601. [Google Scholar] [CrossRef]
- de Melo, N.J.; Tovar, J.S.D.; Dovigo, L.N.; Dias, L.D.; Bagnato, V.S.; Inada, N.M. Natural versus Synthetic Curcuminoids as Photosensitizers: Photobleaching and Antimicrobial Photodynamic Therapy Evaluation. Photodiagn. Photodyn. Ther. 2023, 42, 103495. [Google Scholar] [CrossRef] [PubMed]
- Frisch, G.W.M.J.; Trucks, H.B.; Schlegel, G.E.; Scuseria, M.A.; Robb, J.R.; Cheeseman, G.; Scalmani, V.; Barone, G.A.; Petersson, H.; Nakatsuji, X. Peralta, Gaussian 16, Revision C.01. Wallingford CT. 2016. Available online: https://gaussian.com/citation/ (accessed on 14 July 2024).
- Zhao, Y.; Truhlar, D.G. The M06 Suite of Density Functionals for Main Group Thermochemistry, Thermochemical Kinetics, Noncovalent Interactions, Excited States, and Transition Elements: Two New Functionals and Systematic Testing of Four M06-Class Functionals and 12 Other Functionals. Theor. Chem. Acc. 2008, 120, 215–241. [Google Scholar] [CrossRef]
- Zhang, G.; Musgrave, C.B. Comparison of DFT Methods for Molecular Orbital Eigenvalue Calculations. J. Phys. Chem. A 2007, 111, 1554–1561. [Google Scholar] [CrossRef] [PubMed]
- Pearson, R.G. The Electronic Chemical Potential and Chemical Hardness. J. Mol. Struct. THEOCHEM 1992, 255, 261–270. [Google Scholar] [CrossRef]
- Makov, G. Chemical Hardness in Density Functional Theory. J. Phys. Chem. 1995, 99, 9337–9339. [Google Scholar] [CrossRef]
- Parr, R.G.; Szentpály, L.V.; Liu, S. Electrophilicity Index. J. Am. Chem. Soc. 1999, 121, 1922–1924. [Google Scholar] [CrossRef]
- Fukui, K. Role of Frontier Orbitals in Chemical Reactions. Science 1982, 218, 747–754. [Google Scholar] [CrossRef] [PubMed]
- Bauernschmitt, R.; Ahlrichs, R. Treatment of Electronic Excitations within the Adiabatic Approximation of Time Dependent Density Functional Theory. Chem. Phys. Lett. 1996, 256, 454–464. [Google Scholar] [CrossRef]
- Yanai, T.; Tew, D.P.; Handy, N.C. A New Hybrid Exchange–Correlation Functional Using the Coulomb-Attenuating Method (CAM-B3LYP). Chem. Phys. Lett. 2004, 393, 51–57. [Google Scholar] [CrossRef]
- Ghosh, S.; Li, X.; Stepanenko, V.; Würthner, F. Control of H- and J-Type π Stacking by Peripheral Alkyl Chains and Self-Sorting Phenomena in Perylene Bisimide Homo- and Heteroaggregates. Chem. A Eur. J. 2008, 14, 11343–11357. [Google Scholar] [CrossRef] [PubMed]
- Sharma, R.A.; Gescher, A.J.; Steward, W.P. Curcumin: The Story so Far. Eur. J. Cancer 2005, 41, 1955–1968. [Google Scholar] [CrossRef]
- Anand, P.; Thomas, S.G.; Kunnumakkara, A.B.; Sundaram, C.; Harikumar, K.B.; Sung, B.; Tharakan, S.T.; Misra, K.; Priyadarsini, I.K.; Rajasekharan, K.N.; et al. Biological Activities of Curcumin and Its Analogues (Congeners) Made by Man and Mother Nature. Biochem. Pharmacol. 2008, 76, 1590–1611. [Google Scholar] [CrossRef] [PubMed]
- Dias, L.D.; Aguiar, A.S.N.; de Melo, N.J.; Inada, N.M.; Borges, L.L.; de Aquino, G.L.B.; Camargo, A.J.; Bagnato, V.S.; Napolitano, H.B. Structural Basis of Antibacterial Photodynamic Action of Curcumin against S. aureus. Photodiagn. Photodyn. Ther. 2023, 43, 103654. [Google Scholar] [CrossRef]
- Bader, R.F.W.; Nguyen-Dang, T.T.; Tal, Y. A Topological Theory of Molecular Structure. Rep. Progress. Phys. 1981, 44, 893–948. [Google Scholar] [CrossRef]
- Bader, R.F.W.; Essén, H. The Characterization of Atomic Interactions. J. Chem. Phys. 1984, 80, 1943–1960. [Google Scholar] [CrossRef]
- Bader, R.F.W.; MacDougall, P.J. Toward a Theory of Chemical Reactivity Based on the Charge Density. J. Am. Chem. Soc. 1985, 107, 6788–6795. [Google Scholar] [CrossRef]
- Nakanishi, W.; Hayashi, S.; Narahara, K. Atoms-in-Molecules Dual Parameter Analysis of Weak to Strong Interactions: Behaviors of Electronic Energy Densities versus Laplacian of Electron Densities at Bond Critical Points. J. Phys. Chem. A 2008, 112, 13593–13599. [Google Scholar] [CrossRef]
- Nakanishi, W.; Hayashi, S.; Narahara, K. Polar Coordinate Representation of H b (r c) versus (ℏ 2 /8 m) ▽ 2 ρ b (r c) at BCP in AIM Analysis: Classification and Evaluation of Weak to Strong Interactions. J. Phys. Chem. A 2009, 113, 10050. [Google Scholar] [CrossRef]
- Emamian, S.; Lu, T.; Kruse, H.; Emamian, H. Exploring Nature and Predicting Strength of Hydrogen Bonds: A Correlation Analysis Between Atoms-in-Molecules Descriptors, Binding Energies, and Energy Components of Symmetry-Adapted Perturbation Theory. J. Comput. Chem. 2019, 40, 2868–2881. [Google Scholar] [CrossRef]
- Weinhold, F.; Landis, C.R. Discovering Chemistry with Natural Bond Orbitals; Wiley: Hoboken, NJ, USA, 2012; ISBN 9781118119969. [Google Scholar]
- Weinhold, F.; Landis, C.R. Natural Bond Orbitals and Extensions of Localized Bonding Concepts. Chem. Educ. Res. Pract. 2001, 2, 91–104. [Google Scholar] [CrossRef]
- Alabugin, I.V.; Gilmore, K.M.; Peterson, P.W. Hyperconjugation. WIREs Comput. Mol. Sci. 2011, 1, 109–141. [Google Scholar] [CrossRef]
- Péret-Almeida, L.; Cherubino, A.P.F.; Alves, R.J.; Dufossé, L.; Glória, M.B.A. Separation and Determination of the Physico-Chemical Characteristics of Curcumin, Demethoxycurcumin and Bisdemethoxycurcumin. Food Res. Int. 2005, 38, 1039–1044. [Google Scholar] [CrossRef]
- Jasim, F.; Ali, F. Measurements of Some Spectrophotometric Parameters of Curcumin in 12 Polar and Nonpolar Organic Solvents. Microchem. J. 1989, 39, 156–159. [Google Scholar] [CrossRef]
- Li, L.; Chen, Y.; Chen, W.; Tan, Y.; Chen, H.; Yin, J. Photodynamic Therapy Based on Organic Small Molecular Fluorescent Dyes. Chin. Chem. Lett. 2019, 30, 1689–1703. [Google Scholar] [CrossRef]
- Zhang, Y.; Zhao, X.; Li, Y.; Wang, X.; Wang, Q.; Lu, H.; Zhu, L. A Fluorescent Photosensitizer with Far Red/near-Infrared Aggregation-Induced Emission for Imaging and Photodynamic Killing of Bacteria. Dye. Pigment. 2019, 165, 53–57. [Google Scholar] [CrossRef]
- Ali, Z.; Saleem, M.; Atta, B.M.; Khan, S.S.; Hammad, G. Determination of Curcuminoid Content in Turmeric Using Fluorescence Spectroscopy. Spectrochim. Acta A Mol. Biomol. Spectrosc. 2019, 213, 192–198. [Google Scholar] [CrossRef]
- Tosato, M.G.; Schilardi, P.; Lorenzo de Mele, M.F.; Thomas, A.H.; Lorente, C.; Miñán, A. Synergistic Effect of Carboxypterin and Methylene Blue Applied to Antimicrobial Photodynamic Therapy against Mature Biofilm of Klebsiella pneumoniae. Heliyon 2020, 6, e03522. [Google Scholar] [CrossRef]
- Pourhajibagher, M.; Plotino, G.; Chiniforush, N.; Bahador, A. Dual Wavelength Irradiation Antimicrobial Photodynamic Therapy Using Indocyanine Green and Metformin Doped with Nano-Curcumin as an Efficient Adjunctive Endodontic Treatment Modality. Photodiagn. Photodyn. Ther. 2020, 29, 101628. [Google Scholar] [CrossRef]
- Cho, J.Y.; Choi, G.J.; Lee, S.W.; Jang, K.S.; Lim, H.K.; Lim, C.H.; Lee, S.O.; Cho, K.Y.; Kim, J.C. Antifungal Activity against Colletotrichum spp. of Curcuminoids Isolated from Curcuma longa L. Rhizomes. J. Microbiol. Biotechnol. 2006, 16, 280–285. [Google Scholar]
- Hung, S.-J.; Hong, Y.-A.; Lin, K.-Y.; Hua, Y.-W.; Kuo, C.-J.; Hu, A.; Shih, T.-L.; Chen, H.-P. Efficient Photodynamic Killing of Gram-Positive Bacteria by Synthetic Curcuminoids. Int. J. Mol. Sci. 2020, 21, 9024. [Google Scholar] [CrossRef]
- Hatamipour, M.; Ramezani, M.; Tabassi, S.A.S.; Johnston, T.P.; Sahebkar, A. Demethoxycurcumin: A Naturally Occurring Curcumin Analogue for Treating Non-cancerous Diseases. J. Cell Physiol. 2019, 234, 19320–19330. [Google Scholar] [CrossRef]
- Wu, J.; Lu, W.-Y.; Cui, L.-L. Inhibitory Effect of Curcumin on Invasion of Skin Squamous Cell Carcinoma A431 Cells. Asian Pac. J. Cancer Prev. 2015, 16, 2813–2818. [Google Scholar] [CrossRef]










| CUR (%) | DMC (%) | BDMC (%) | |
|---|---|---|---|
| Mixture 1 | 57.65% (0.43 µM) | 16.35% (0.12 µM) | 26.00% (0.20 µM) |
| Mixture 2 | 57.65% (0.43 µM) | 26.00% (0.20 µM) | 16.35% (0.12 µM) |
| Mixture 3 | 26.00% (0.20 µM) | 57.65% (0.43 µM) | 16.35% (0.12 µM) |
| Mixture 4 | 26.00% (0.20 µM) | 16.35% (0.12 µM) | 57.65% (0.43 µM) |
| Mixture 5 | 16.35% (0.12 µM) | 26.00% (0.20 µM) | 57.65% (0.43 µM) |
| Mixture 6 | 16.35% (0.12 µM) | 57.65% (0.43 µM) | 26.00% (0.20 µM) |
| Descriptors | CUR | DMC | BDMC |
|---|---|---|---|
| EHOMO | –159.143 | –161.256 | –163.050 |
| ELUMO | –38.823 | –38.861 | –38.974 |
| ΔEH-L * | 120.320 | 122.396 | 124.076 |
| Ionization Energy () | 159.143 | 161.256 | 163.050 |
| Electronic Affinity () | 38.823 | 38.861 | 38.974 |
| Electronegativity () | 98.983 | 100.059 | 101.012 |
| Chemical potential () | –98.983 | –100.059 | –101.012 |
| Chemical hardness () | 120.320 | 122.396 | 124.076 |
| Electrophilicity index () | 40.715 | 40.899 | 41.117 |
| Curcuminoid | Bond Dissociation Energy | Ionization Energy | ||
|---|---|---|---|---|
| Radical 1 | Radical 2 | Radical 3 | Radical 4 | |
| CUR | 86.962 | 86.575 | 112.198 | 166.414 |
| DMC | 87.005 | 86.575 | 112.245 | 168.462 |
| BDMC | 87.203 | 86.630 | 112.293 | 170.416 |
| Hyperconjugation ) | Stabilizing Energy (kcal/mol) | |||
|---|---|---|---|---|
| CUR | DMC | BDMC | ||
| Radical 1 | (C5–C10) | 6.84 | 6.84 | 5.46 |
| (C5–C10) | 3.74 | 3.74 | 3.41 | |
| (C6–C7) | 17.24 | 17.23 | 18.28 | |
| (C7–C8) | 12.25 | 12.25 | 10.12 | |
| (C8–C9) | 9.83 | 9.83 | 10.15 | |
| (C3–H) | 3.04 | 3.04 | 2.99 | |
| Radical 2 | (C5′–C10′) | 6.82 | 5.44 | 5.44 |
| (C5′–C6′) | 16.89 | 16.51 | 17.89 | |
| (C6′–C7′) | 16.44 | - | - | |
| (C6′–C7′) | 4.15 | - | - | |
| (C8′–C9′) | 9.86 | - | - | |
| (C3′–C4′) | 5.37 | 5.21 | 5.20 | |
| (C3′–C4′) | 15.36 | 16.51 | 16.50 | |
| Radical 3 | (C2–O1) | 2.14 | 2.15 | 2.15 |
| (C2–O1) | 2.03 | 2.03 | 2.03 | |
| Radical 4 | (C1–C2′) | 14.56 | 16.04 | 16.64 |
| (C1–C2) | 3.20 | 3.55 | 3.31 | |
| (C1–C2) | 6.52 | 5.61 | 6.58 | |
| (C1–C2′) | 4.53 | 4.57 | 4.68 | |
| (C1–C2′) | 36.55 | 38.29 | 39.34 | |
Disclaimer/Publisher’s Note: The statements, opinions and data contained in all publications are solely those of the individual author(s) and contributor(s) and not of MDPI and/or the editor(s). MDPI and/or the editor(s) disclaim responsibility for any injury to people or property resulting from any ideas, methods, instructions or products referred to in the content. |
© 2024 by the authors. Licensee MDPI, Basel, Switzerland. This article is an open access article distributed under the terms and conditions of the Creative Commons Attribution (CC BY) license (https://creativecommons.org/licenses/by/4.0/).
Share and Cite
Melo, N.J.; Soares, J.M.; Dovigo, L.N.; Carmona-Vargas, C.; Aguiar, A.S.N.; dos Passos, A.C.; de Oliveira, K.T.; Bagnato, V.S.; Dias, L.D.; Inada, N. Photodynamic Action of Synthetic Curcuminoids against Staphylococcus aureus: Experimental and Computational Evaluation. Chemistry 2024, 6, 581-600. https://doi.org/10.3390/chemistry6040035
Melo NJ, Soares JM, Dovigo LN, Carmona-Vargas C, Aguiar ASN, dos Passos AC, de Oliveira KT, Bagnato VS, Dias LD, Inada N. Photodynamic Action of Synthetic Curcuminoids against Staphylococcus aureus: Experimental and Computational Evaluation. Chemistry. 2024; 6(4):581-600. https://doi.org/10.3390/chemistry6040035
Chicago/Turabian StyleMelo, Nícolas J., Jennifer M. Soares, Lívia N. Dovigo, Christian Carmona-Vargas, Antônio S. N. Aguiar, Adriana C. dos Passos, Kleber T. de Oliveira, Vanderlei S. Bagnato, Lucas D. Dias, and Natalia Inada. 2024. "Photodynamic Action of Synthetic Curcuminoids against Staphylococcus aureus: Experimental and Computational Evaluation" Chemistry 6, no. 4: 581-600. https://doi.org/10.3390/chemistry6040035
APA StyleMelo, N. J., Soares, J. M., Dovigo, L. N., Carmona-Vargas, C., Aguiar, A. S. N., dos Passos, A. C., de Oliveira, K. T., Bagnato, V. S., Dias, L. D., & Inada, N. (2024). Photodynamic Action of Synthetic Curcuminoids against Staphylococcus aureus: Experimental and Computational Evaluation. Chemistry, 6(4), 581-600. https://doi.org/10.3390/chemistry6040035

