Abstract
A variety of coinage-metal complexes containing perfluorinated carboxylate ligands, together with their structures and thermal behavior, are reported. The silver(I) salts were accessible from the direct reaction of Ag2O with the acids in toluene. Their gold(I) phosphine counterparts formed in high yields by transmetallation using the silver(I) salts. Some structurally unique, mixed-metal (Au,Ag) complexes formed upon combining solutions of the silver(I) salts with the gold(I) phosphine carboxylates. The reduction of dinuclear copper(II) compounds containing perfluorinated carboxylates with triphenylphosphine resulted in the formation of the corresponding copper(I) tris(phosphine) complexes. X-ray structures of representative complexes, together with IR- and TGA data, are reported.
1. Introduction
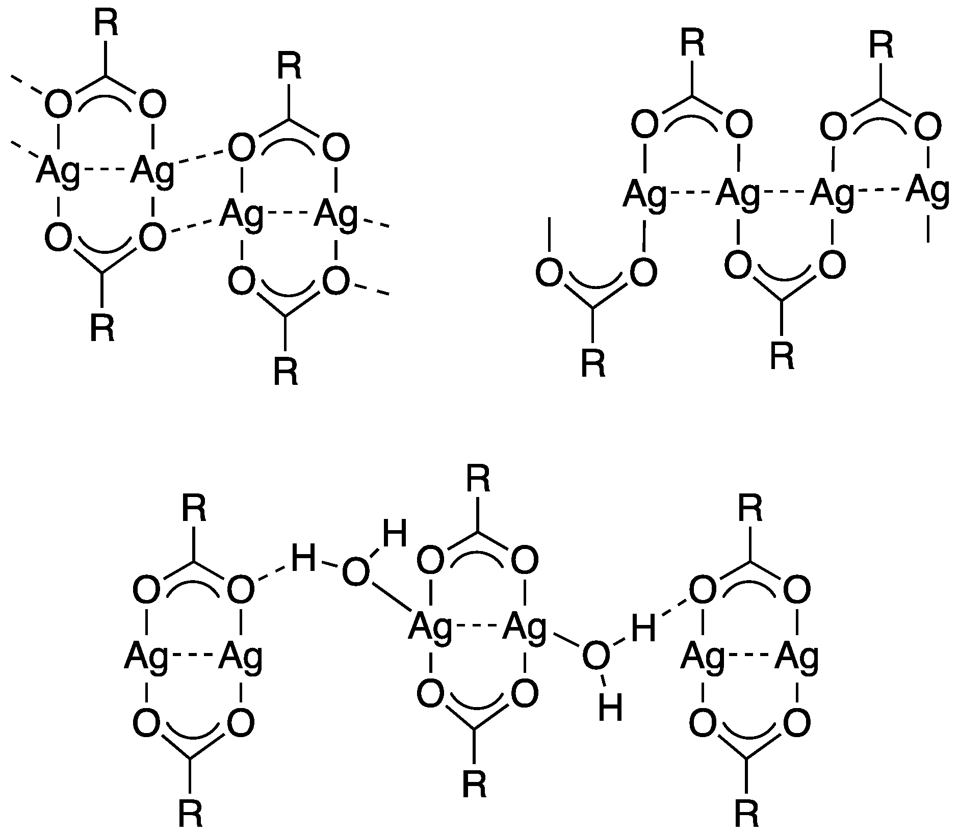
Silver(I) salts of perfluorocarboxylic acids have been known for decades and are typically prepared from the sodium salt of the respective acid and AgNO3 in water or from an aqueous solution of the acid and a basic silver(I) compound such as Ag2O or Ag2CO3 [1,2,3,4]. More recently, a water-free method using AgF in THF or hexane has also been reported [5]. The molecular structure of silver(I) perfluorobutyrate was determined by X-ray diffraction as early as 1956 [6]. Although the structure is of poor quality by modern standards, the atom connectivity could be unambiguously established. The salt exists in the solid state as a centrosymmetric dimer with a short (2.90 Å) Ag–Ag distance and O,O-bridging carboxylato ligands. These dinuclear eight-membered rings form a coordination polymer through additional Ag–O bonds between neighboring dimers (Figure 1, top left). The structure of silver(I) trifluoroacetate is analogous [7].
Figure 1.
Schematic illustration of known coordination polymers of silver(I) carboxylates.
In contrast, the silver salt of pentafluorobenzoic acid (crystallized from water) has a slightly different structure. The carboxylic acid bridges two silver atoms in an alternating fashion, resulting in a chain-type structure (Figure 1, top right) [8]. The 2,4,6-trifluorobenzoato silver salt, also crystallized from water, forms the eight-membered ring dimer structure, but the coordination polymer is assembled through hydrogen bonding between bridging water molecules and not through Ag–O carboxylate bonding (Figure 1, bottom) [9]. In contrast to most silver(I) salts, silver perfluorocarboxylates are soluble in a variety of solvents, including water and organic solvents such as CH2Cl2, CHCl3, alcohols, acetone, benzene, toluene and diethyl ether. Indeed, Swarts commented on the high solubility of silver(I) trifluoroacetate in both water and benzene in his pioneering study of metal trifluoroacetates from 1939 [10]. This report inspired us to attempt a synthesis of silver(I) perfluorocarboxylates in toluene to avoid the use of water as a solvent. With these silver salts in hand, we wished to prepare the corresponding gold(I) phosphine complexes and to examine the possibility of isolating bimetallic Ag/Au-complexes. To complete our investigation, we also examined the structures and reactions of some copper(II) and copper(I) complexes of perfluorinated carboxylic acids.
2. Materials and Methods
Unless specified otherwise, reactions were carried out under ambient conditions using HPLC-grade solvents with protection from light for reactions involving Ag and Au compounds. Chemicals and solvents were commercial products and were used as received. [AuCl(PPh3)] [11], the gold(I) carboxylates [12], as well as the copper(II) carboxylates [13,14,15], were prepared by published methods. NMR spectra were measured on a Bruker Avance 400 instrument. Spectra were referenced externally to Me4Si (1H), 85% H3PO4 (31P) and CFCl3 (19F). Copies of the NMR spectra may be found in the supplementary material. IR spectra were recorded on a Nicolet iS5 spectrometer equipped with an iD5 diamond ATR unit. TGA and DSC measurements were simultaneously carried out using a Netzsch STA 449 F5 Jupiter instrument. Experiments were conducted in 40 μL alumina crucibles, which were closed with alumina lids. Samples were heated from 25 to 1100 °C with a heating rate of 5 K/min in a nitrogen atmosphere, applying a constant nitrogen flow of 25 mL/min during the experiment.
2.1. Preparation of the Silver(I) Carboxylates
To a suspension of Ag2O in toluene, the appropriate perfluorocarboxylic acid was added. Within a few minutes at ambient temperature, most of the silver oxide was dissolved. After about 10 min., anhydrous Na2SO4 (ca. 0.5 g) was added to absorb the water. The mixture was filtered through Celite and the filtrate was subsequently concentrated in vacuum to a small volume. The addition of pentane precipitated a colourless solid, which was isolated by filtration and was subsequently dried in air.
2.1.1. [Ag(O2CCF3)(η2-MeC6H5)]n (1)
This was prepared as described above using Ag2O (0.310 g, 1.34 mmol) and trifluoroacetic acid (0.20 mL, 2.59 mmol). A total of 0.349 g (0.654 mmol, 49%) product was isolated. IR (ATR): 1614 νa(OCO), 1449 νs(OCO) cm−1. 19F-NMR (CD3OD): δ = −75.65 (s, CF3). 1H-NMR (CD3OD): δ = 7.09–7.30 (m, 5 H, C6H5), 2.35 (s, 3 H, Me). Colourless, X-ray-quality crystals formed upon the slow evaporation of a toluene solution in the dark.
2.1.2. [Ag2(O2CCF2CF3)2(η2-MeC6H5)]n (2)
This was prepared as described above using Ag2O (0.330 g, 1.42 mmol) and perfluoropropionic acid (0.29 mL, 2.79 mmol). A total of 0.503 g (0.793 mmol, 56%) product was isolated. IR (ATR): 1616 νa(OCO), 1416 νs(OCO) cm−1. 19F-NMR (CD2Cl2): δ = −83.36 (t, J = 1.7 Hz, CF3), −118.43 (q, J = 1.7 Hz, CF2). 1H-NMR (CD2Cl2): δ = 7.30–7.36 (m, 2 H, C6H5), 7.19–7.28 (m, 3 H, C6H5), 2.39 (s, 3 H, Me). X-ray-quality crystals formed by the slow evaporation of a toluene solution of the compound.
2.1.3. [Ag{O2C(CF2)2CF3}]n (3)
This was prepared as described above using Ag2O (0.270 g, 1.17 mmol) and perfluorobutyric acid (0.3 mL, 2.31 mmol). A total of 0.563 g (0.877 mmol, 76%) product was isolated. IR (ATR): 1607 νa(OCO), 1417 νs(OCO) cm−1. 19F-NMR (CD2Cl2): δ = −80.45 (t, J = 8.9 Hz, CF3), −115.06 (sext., J = 8.9 Hz, β-CF2), −126.29 (m, α-CF2).
2.1.4. [Ag(O2CC6F5)(MeC6H5)]n (4)
Pentafluorobenzoic acid (0.320 g, 1.51 mmol) was dissolved in toluene (10 mL) with slight heating, and then Ag2O (0.175 g, 0.755 mmol) was added. The mixture was held at ca. 80 °C for 10 min. During this time, most of the solid was dissolved. Workup as described above afforded 0.392 g (0.537 mmol, 71%) colourless product. IR (ATR): 1654 νa(OCO), 1489 νs(OCO) cm−1. 19F-NMR (CD3OD): δ = −144.04 (dd, J = 7.9, 14.5 Hz, o-F), −159.56 (t, J = 19.7 Hz, m-F), −165.18 (m, p-F). 1H-NMR (CD3OD): δ = 7.09–7.27 (m, 5 H, C6H5), 2.34 (s, 3 H, Me).
2.1.5. [Ag(O3SCF3)]n (5)
This was prepared as described above using Ag2O (0.363 g, 1.57 mmol) and trifluoromethanesulfonic acid (0.30 mL, 3.39 mmol). A total of 0.573 g (2.23 mmol, 66%) product was isolated. IR (ATR): 1213 νa(SO3), 1017 νs(SO3) cm−1. 19F-NMR (CD3OD): δ = −79.88 (s, CF3).
2.2. Preparation of the Gold(I) Carboxylates
The complexes were prepared based on the procedure reported in the literature [12], with minor modifications. As an example, the preparation of [(Ph3P)Au(O2CCF3)] is given in detail. The other mono- and dinuclear derivatives were prepared similarly.
2.2.1. [(Ph3P)Au(O2CCF3)] (1a)
[Ag(O2CCF3)(η2-MeC6H5)]n (0.045 g, 0.202 mmol) in CH2Cl2 (10 mL) was added to a solution of [AuCl(PPh3)] (0.100 g, 0.202 mmol) in CH2Cl2 (10 mL). Immediately, a colourless solid (AgCl) precipitated. After stirring the mixture at room temperature for ca. 1 h, it was passed through Celite and concentrated under reduced pressure. The addition of pentane precipitated a colourless solid. This was isolated by filtration and was dried in air. A total of 0.098 g (0.171 mmol, 85%) product was isolated. IR (ATR): 1695 νa(OCO) cm−1. 31P{1H}-NMR (CD2Cl2): δ = 27.36 (s). 19F-NMR (CD2Cl2): δ = −74.32 (s, CF3).
2.2.2. [(Ph3P)Au(O2CCF2CF3)] (2a)
This was prepared as described above using [AuCl(PPh3)] (0.100 g, 0.202 mmol) and [Ag(O2CCF2F3)(η2-MeC6H5)]n (0.055 g, 0.202 mmol). A total of 0.078 g (0.125 mmol, 62%) colourless product was isolated. IR (ATR): 1710 νa(OCO) cm−1. 31P{1H}-NMR (CD2Cl2): δ = 27.28 (s). 19F-NMR (CD2Cl2): δ = −83.32 (t, J = 1.7 Hz, CF3), −119.52 (m, CF2).
2.2.3. [(Ph3P)Au{O2C(CF2)2CF3}] (3a)
This was prepared as described above using [AuCl(PPh3)] (0.100 g, 0.202 mmol) and [Ag{O2C(CF2)2CF3}]n (0.065 g, 0.202 mmol). A total of 0.088 g (0.131 mmol, 65%) colourless product was isolated. IR (ATR): 1699 νa(OCO), 1482 νs(OCO) cm−1. 31P{1H}-NMR (CD2Cl2): δ = 27.24 (s). 19F-NMR (CD2Cl2): δ = −81.08 (t, J = 8.9 Hz, CF3), −116.91 (m, β-CF2), −127.08 (m, α-CF2).
2.2.4. [(Ph3P)Au(O2CC6F5)}] (4a)
This was prepared as described above using [AuCl(PPh3)] (0.100 g, 0.202 mmol) and [Ag(O2CC6F5)]n (0.064 g, 0.202 mmol). A total of 0.119 g (0.179 mmol, 89%) colourless product was isolated. IR (ATR): 1650 νa(OCO) cm−1. 31P{1H}-NMR (CD2Cl2): δ = 27.45 (s). 19F-NMR (CD2Cl2): δ = −141.34 (dd, J = 8.1, 23.1 Hz, o-F), −155.87 (m, m-F), −163.00 (m, p-F).
2.2.5. [(dppb)(AuO2CCF3)2] (5a)
This was prepared as described above using [Au2Cl2(dppb)] (0.050 g, 0.055 mmol) and [Ag(O2CCF3)]n (0.024 g, 0.110 mmol). A total of 0.058 g (0.054 mmol, 98%) colourless product was isolated. IR (ATR): 1686 νa(OCO) cm−1. 31P{1H}-NMR (CD2Cl2): δ = 18.97 (s). 19F-NMR (CD2Cl2): δ = −74.07 (s, CF3).
2.2.6. [(dppb)(AuO2CC6F5)2] (6a)
This was prepared as described above using [Au2Cl2(dppb)] (0.050 g, 0.055 mmol) and [Ag(O2CC6F5)]n (0.035 g, 0.110 mmol). A total of 0.063 g (0.049 mmol, 91%) colourless product was isolated. IR (ATR): 1649 νa(OCO) cm−1. 31P{1H}-NMR (CD2Cl2): δ = 19.45 (s). 19F-NMR (CD2Cl2): δ = −141.02 (dd, J = 8.3, 23.1 Hz, o-F), −156.49 (t, J = 20.6 Hz, m-F), −163.55 (m, p-F).
2.2.7. [(Xantphos)(AuO2CCF2CF3)2] (7a)
This was prepared as described above using [Au2Cl2(Xantphos)] (0.050 g, 0.044 mmol) and [Ag(O2CCF2CF3)(η2-MeC6H5)]n (0.024 g, 0.088 mmol). A total of 0.044 g (0.034 mmol, 77%) colourless product was isolated. 31P{1H}-NMR (CD2Cl2): δ = 18.01 (s). 19F-NMR (CD2Cl2): δ = −83.21 (m, CF3), −119.52 (m, CF2).
2.2.8. [(Xantphos){AuO2C(CF2)2CF3}2] (8a)
This was prepared as described above using [Au2Cl2(Xantphos)] (0.050 g, 0.044 mmol) and [Ag(O2CCF2CF3)(η2-MeC6H5)]n (0.028 g, 0.088 mmol). A total of 0.060 g (0.043 mmol, 98%) colourless product was isolated. 31P{1H}-NMR (CD2Cl2): δ = 18.02 (s). 19F-NMR (CD2Cl2): δ = −81.07 (t, J = 9.1 Hz, CF3), −117.00 (m, β-CF2), −126.98 (m, α-CF2).
2.3. Preparation of the Bimetallic Silver(I)-Gold(I) Carboxylates
2.3.1. [(CF3CO2)2AgAu(PPh3)]2 (9a)
Solid [Ag(O2CCF3)(η2-MeC6H5)]n (0.016 g, 0.074 mmol) was added to a solution of [(Ph3P)Au(O2CCF3)] (0.042 g, 0.074 mmol) in CH2Cl2 (10 mL). After stirring the mixture at room temperature for ca. 2 h, it was concentrated to small volume under reduced pressure. The addition of pentane precipitated a colourless solid. This was isolated by filtration and was dried in air. A total of 0.056 g (0.036 mmol, 49%) product was isolated. IR (ATR): 1669, 1639 νa(OCO) cm−1. 31P{1H}-NMR (CD2Cl2): δ = 27.06 (s). 19F-NMR (CD2Cl2): δ = −73.58 (s, CF3). X-ray-quality crystals formed upon the slow evaporation of a solution of the compound in CH2Cl2 layered with hexanes.
2.3.2. [(CF3CF2CO2)2AgAu(PPh3)]2 (10a)
This was prepared as described above using [(Ph3P)Au(O2CCF2CF3)] (0.046 g, 0.074 mmol) and [Ag2(O2CCF2CF3)2(η2-MeC6H5)]n (0.047 g, 0.074 mmol). A total of 0.131 g (0.074 mmol, 99%) product was isolated. IR (ATR): 1679, 1644 νa(OCO) cm−1. 31P{1H}-NMR (CD2Cl2): δ = 26.90 (s). 19F-NMR (CD2Cl2): δ = −83.34 (t, J = 1.7 Hz, CF3), −118.83 (m, CF2).
2.3.3. [{CF3(CF2)2CO2}2AgAu(PPh3)]2 (11a)
This was prepared as described above using [(Ph3P)Au{O2C(CF2)2CF3}] (0.050 g, 0.074 mmol) and [Ag{O2C(CF2)2CF3}]n (0.024 g, 0.074 mmol). A total of 0.041 g (0.021 mmol, 55%) product was isolated. IR (ATR): 1657, 1648 νa(OCO) cm−1. 31P{1H}-NMR (CD2Cl2): δ = 26.73 (s). 19F-NMR (CD2Cl2): δ = −81.06 (t, J = 8.9 Hz, CF3), −116.29 (m, β-CF2), −126.99 (m, α-CF2). X-ray-quality crystals formed upon the slow evaporation of a solution of the compound in CH2Cl2 layered with hexanes.
2.3.4. [(CF3CO2)2AgAu(dppb)]2 (12a)
This was prepared as described above using [(dppb)(AuO2CCF3)2] (0.038 g, 0.035 mmol) and [Ag(O2CCF3)]n (0.016 g, 0.070 mmol). A total of 0.043 g (0.029 mmol, 90%) colourless product was isolated. IR (ATR): 1641 νa(OCO) cm−1. 1H-NMR (CD2Cl2): δ = 7.60–7.43 (m, 22 H, dbbp), 7.29–7.23 (m, 2 H, dppb). 31P{1H}-NMR (CD2Cl2): δ = 18.74 (s). 19F-NMR (CD2Cl2): δ = −73.55 (s, CF3).
2.3.5. [(C6F5CO2)2AgAu(dppb)]2 (13a)
This was prepared as described above using [(dppb)(AuO2CC6F5)2] (0.036 g, 0.029 mmol) and [Ag(O2CC6F5)]n (0.019 g, 0.058 mmol). A total of 0.053 g (0.028 mmol, 97%) colourless product was isolated. IR (ATR): 1597 νa(OCO) cm−1. 1H-NMR (CD2Cl2): δ = 7.63–7.55 (m, 4 H, dppb), 7.38 (t, J = 7.3 Hz, 4 H, p-PPh2), 7.18 (t, J = 7.2 Hz, 4 H, m-PPh2), 7.12–7.09 (m, 8 H, o-PPh2). 31P{1H}-NMR (CD2Cl2): δ = 21.46 (s). 19F-NMR (CD2Cl2): δ = −114.55 (m, o-F), −151.57 (t, J = 21.2 Hz, m-F), −162.88 (m, p-F).
2.3.6. [{CF3(CF2)2CO2}2AgAu(Xantphos)]2 (14a)
This was prepared as described above using [(Xantphos){AuO2C(CF2)2CF3}2] (0.059 g, 0.042 mmol) and [Ag{O2C(CF2)2CF3}]n (0.027 g, 0.084 mmol). A total of 0.079 g (0.039 mmol, 83%) colourless product was isolated. IR (ATR): 1649 νa(OCO) cm−1. 1H-NMR (CD2Cl2): δ = 7.73 (dd, J = 7.8, 1.3 Hz, 2 H, Xantphos), 7.45–7.51 (m, 4 H, p-Ph2P), 7.20–7.34 (m, 16 H, m-Ph2P, o-Ph2P), 7.12 (dd, J = 7.8, 1.6 Hz, 2 H, Xantphos), 6.50 (ddd, J = 13.5, 7.8, 1.5 Hz, 2 H, Xantphos), 1.72 (s, 3 H, Me). 31P{1H}-NMR (CD2Cl2): δ = 17.84 (s). 19F-NMR (CD2Cl2): δ = −81.05 (t, J = 8.9 Hz, CF3), −116.43 (m, β-CF2), −126.98 (m, α-CF2).
2.4. Preparation of the Perfluorinated Copper Complexes
2.4.1. [Cu2(O2CCF3)4(dioxane)]n (16)
A 1,4-dioxane solution (10 mL) of copper(II) acetate monohydrate (1.00 g, 5.01 mmol) and trifluoroacetic acid (0.8 mL, 10.38 mmol) was heated to reflux for ca. 2 h. After this time, the solvent was removed in vacuum, affording a turquoise solid (1.51 g, 90%). IR (ATR): 1689 νa(OCO) cm−1. X-ray-quality turquoise plates were obtained by recrystallisation from toluene. When basic copper carbonate was used under the same conditions, a blue solution was obtained, which deposited crystals upon standing. The material was identified as the trinuclear complex [Cu3(O2CCF3)6(H2O)4(dioxane)2]·(dioxane) (15) by X-ray diffraction.
2.4.2. [Cu(O2CCF3)(PPh3)3] (17)
Ph3P (0.337 g, 1.285 mmol) was added to a solution of [Cu2(O2CCF3)4(dioxane)]n (0.130 g, 0.195 mmol) in MeOH (10 mL). The mixture was heated to reflux for ca. 2 h, by which time the colour changed from blue to colourless. Upon standing the solution at −20 °C, colourless crystals were deposited after 24 h. These were isolated by filtration, washed with Et2O and dried. A total of 0.111 g (0.158 mmol, 38%) colourless crystals were obtained. IR (ATR): 1674 νa(OCO), 1480 νs(OCO) cm−1. 31P{1H}-NMR (CD2Cl2): δ = −1.80 (s). 19F-NMR (CD2Cl2): δ = −75.03 (s, CF3). X-ray-quality crystals were picked out of the MeOH solution before filtration and drying.
2.4.3. [Cu(O2CCF2CF3)(PPh3)3]·MeOH (18)
This was prepared as described above using [Cu2(O2CCF2CF3)4(H2O)2] (0.280 g, 0.343 mmol) and Ph3P (0.660 g, 2.52 mmol). A total of 0.414 g (0.396 mmol, 58%) colourless crystals were obtained. IR (ATR): 3453 ν(OH), 1685 νa(OCO), 1433 νs(OCO) cm−1. 31P{1H}-NMR (CD2Cl2): δ = −2.43 (s). 19F-NMR (CD2Cl2): δ = −83.02 (t, J = 1.7 Hz, CF3), −119.86 (q, J = 1.7 Hz, CF2). 1H-NMR (CD2Cl2): δ = 3.45 (s, 3 H, MeOH), 7.20–7.43 (m, 45 H, Ph3P).
2.4.4. [Cu{O2C(CF2)2CF3}(PPh3)3] (19)
This was prepared as described above using [Cu2{O2C(CF2)2CF3}4] (0.150 g, 0.153 mmol) and Ph3P (0.281 g, 1.07 mmol). A total of 0.247 g (0.232 mmol, 76%) colourless crystals were obtained. IR (ATR): 1693 νa(OCO), 1433 νs(OCO) cm−1. 31P{1H}-NMR (CD2Cl2): δ = −2.40 (s). 19F-NMR (CD2Cl2): δ = −81.09 (t, J = 8.9 Hz, CF3), −117.18 (sext., J = 9.0 Hz, β-CF2), −126.94 (m, α-CF2). X-ray-quality crystals were picked out of the MeOH solution before filtration and drying.
2.4.5. [Cu(O2CC6F5)(PPh3)3] (20)
This was prepared as described above using [Cu2(O2CC6F5)4] (0.190 g, 0.196 mmol) and Ph3P (0.346 g, 1.319 mmol). A total of 0.247 g (0.233 mmol, 60%) product was isolated. IR (ATR): 1648 νa(OCO), 1336 νs(OCO) cm−1. 31P{1H}-NMR (CD2Cl2): δ = −1.30 (s). 19F-NMR (CD2Cl2): δ = −142.61 (q, J = 8.6, 15.0 Hz, o-F), −158.56 (t, J = 20.5 Hz, m-F), −163.80 (m, p-F). X-ray quality-crystals of the MeOH solvate were picked out of the MeOH solution before filtration and drying.
2.4.6. [Cu(O2CCF2CF3)(PPh3)2] (21)
This was prepared as described above using [Cu2(O2CCF2CF3)4(H2O)2] (0.100 g, 0.128 mmol) and Ph3P (0.168 g, 0.640 mmol). A total of 0.097 g (0.129 mmol, 50%) colourless crystals were obtained. IR (ATR): 1675 νa(OCO) cm−1. 31P{1H}-NMR (CD2Cl2): δ = −1.85 (s). 19F-NMR (CD2Cl2): δ = −83.11 (t, J = 1.6 Hz, CF3), −119.89 (m, CF2). X-ray-quality crystals of the MeOH solvate were picked out of the MeOH solution before filtration and drying.
2.5. X-ray Crystallography
Diffraction data were collected at 90 K using a Rigaku Oxford Diffraction Gemini E Ultra-diffractometer, or at 100 K using either a Bruker AXS Enraf-Nonius KappaCCD with 0.2 × 2 mm2 focus rotating anode or a Bruker-AXS Kappa Mach3 APEX-II with Iμs microfocus radiation source using Mo Kα radiation (λ = 0.71073 nm). The dataset of compound 14a was collected at 100 K at beamline P24 at PETRA III DESY, Hamburg, Germany, with an energy of 20 keV (λ = 0.619900 Å). Data integration, scaling and empirical absorption correction were carried out using the program packages XDS (synchrotron data) [16], CrysAlis Pro [17], DATCOL [18], SADABS [19] or APEX3 [20]. The structures were solved using SHELXT [21] and refined with SHELXL [22], operated through the Olex2 interface [23]. The fluorine atoms in one of the CF3-groups in the structure of [Cu2(O2CCF3)4(dioxane)]n (16) were found to be disordered over two positions. This was successfully modelled with a 50:50 occupancy, and appropriate restraints (EADP) were applied. Similarly, in 14a one CF3-group displayed disordering, which was best modelled with a 75:25 occupancy and EDAP restraints. Important crystallographic and refinement details are collected in Table 1.
Table 1.
Crystallographic and refinement details for compounds herein.
3. Results and Discussion
3.1. Silver(I) Complexes with Perfluorinated Carboxylato Ligands
The addition of various perfluorocarboxylic acids (CF3COOH, CF3CF2COOH, CF3(CF2)2COOH and C6F5COOH) to a toluene suspension of Ag2O at room temperature resulted in dissolution of the silver oxide within minutes, accompanied by a slight turbidity due to the water produced by the reaction. In the case of pentafluorobenzoic acid, slight heating was required since the acid itself is not very soluble in toluene at room temperature. Work-up consisted of the addition of anhydrous Na2SO4 (although this is not strictly necessary), filtration and evaporation. With this simple procedure, high-purity anhydrous silver(I) salts of trifluoroacetic acid, perfluoropropionic acid, perfluorobutyric acid and pentafluorobenzoic acid (1–4) were obtained in good yields within a short time as colourless solids (Scheme 1). This procedure can also be extended to perfluorinated sulfonic acids, as exemplified by the synthesis of [Ag(O3SCF3)] from triflic acid and Ag2O in toluene.
Scheme 1.
Synthesis of silver(I) perfluorocarboxylates.
The silver carboxylates 1–4 were characterised by 19F-NMR spectroscopy and IR spectroscopy and, in the case of the trifluoroacetate and perfluoropropionate salts 1 and 2, by X-ray diffraction (see below). The most characteristic features of the IR spectra of the complexes are the symmetric- and asymmetric carbonyl stretching frequencies, which were observed at around 1600 and 1400 cm−1, respectively. These values are similar to those reported in the literature [24]. The proton NMR spectra of compounds (1), (2) and (4) show signals corresponding to toluene, which was confirmed to be present in the structures by X-ray diffraction and/or thermogravimetric analysis (see below). The perfluorobutyrate salt (3), however, was isolated in toluene-free form, based on NMR spectroscopy and TGA. The molecular structures of (1) and (2) were confirmed by X-ray diffraction experiments. The structure of the trifluoroacetate salt (1) consists of a pair of silver atoms that are O,O-bridged by two trifluoroacetato ligands, resulting in an Ag–Ag distance of 2.8951(4) Å. The eight-membered ring is considerably bent along the silver–silver axis, with an O–Ag–O angle of about 137°. A molecule of toluene is positioned such that it forms a η2-bond to Ag1 and a η1-bond to Ag2 (Figure 2 top) with two shorter Ag–C distances of 2.488(3) Å and 2.512(3) Å (η2 bonding to Ag1) and one longer one of 2.712(3) Å (η1 bonding to Ag2). These values are typical for arene–silver interactions, which fall in the range of 2.16–2.92 Å [25]. The silver dimers are connected through additional Ag–O bonds, forming a coordination polymer (Figure 2 bottom). The toluene-free structure of silver(I) trifluoroacetate has been reported by two different groups [7,26]. In both cases, the overall motif (a coordination polymer of dinuclear eight-membered rings) and the Ag–Ag distances are very similar to that of our toluene adduct. The major difference is the much flatter eight-membered ring (∠O–Ag–O = 158°) in the toluene-free structure.
Figure 2.
Asymmetric unit of [Ag2(O2CCF3)2(MeC6H5)]n (1) (top). Ellipsoids show 50% probability levels. Hydrogen atoms have been omitted for clarity. The image on the bottom shows the coordination polymer.
The perfluoropropionate analogue (2) (Figure 3) is structurally similar, except that the eight-membered ring is much flatter, with an O–Ag–O angle of 164°. In addition, the toluene shown here is only η2-bound to Ag1, with silver–carbon bond distances of 2.593(2) Å and 2.735(2) Å; the shortest Ag2–C distance is greater than 3.5 Å. The Ag–Ag distance within the dinuclear complex is with 2.9333(3) Å, which is also slightly larger than that observed in (1). Such Ag···Ag interactions, known as argentophilicity, are often observed in solid-state structures of silver compounds; typically, the distances range from 2.9 to 3.1 Å [27].
Figure 3.
Asymmetric unit of [Ag2(O2CCF2CF3)2(MeC6H5)]n (2) (top). Ellipsoids show 50% probability levels. Hydrogen atoms have been omitted for clarity. The image on the bottom shows the coordination polymer.
Thermogravimetric analysis of (2) (Figure 4 left) shows loss of the coordinated toluene occurring at around 100 °C, followed by a single decomposition step to metallic silver commencing at 328 °C. In the case of the toluene-free compounds (3) and (4), only a single decomposition step (onset at 295 °C and 224 °C respectively) can be observed (Figure 4 centre and right). These observations are consistent with those reported for other silver perfluorocarboxylates, which also undergo a decomposition to metallic Ag [24,28].
Figure 4.
TGA traces of complexes 2 (left), 3 (centre) and (4) (right).
3.2. Gold(I) Complexes with Perfluorinated Carboxylato Ligands
Silver(I) carboxylates 1–4 were subsequently used to prepare a series of mono- and dinuclear phosphine-gold(I) perfluorocarboxylates by a metathesis reaction from the corresponding phosphine gold chlorides (Scheme 2).
Scheme 2.
Synthesis of gold(I) perfluorocarboxylates.
The gold(I) compounds were isolated as colourless solids in good yields and were characterised by various spectroscopic methods. Several of these gold(I) compounds (1a–4a and 5a) are known compounds, but their molecular structures (see below) are described here for the first time. The IR spectra of the complexes are similar to previous reports [12,29,30]. Although not used in this work, it should be mentioned here that the very first gold(I) phosphine complex with a perfluorinated carboxylato ligand was the perfluorooctanoato complex [(Ph3P)Au{O2C(CF2)6CF3}] reported by Beck in 1987 [31]. The molecular structures of the mononuclear complexes 2a and 4a, as well as the dinuclear species 6a and 7a, are depicted in Figure 5 and Figure 6 respectively.
Figure 5.
Molecular structures of [Au(O2CCF2CF3)(PPh3)] (2a) (left) and [Au(O2CC6F5)(PPh3)] (4a) (right). Ellipsoids show 50% probability levels. Hydrogen atoms have been omitted for clarity.
Figure 6.
Molecular structures of [(dppb){Au(O2CC6F5)}2] (6a) (left) and [(Xantphos){Au(O2CCF2CF3)}2] (7a) (right). Ellipsoids show 50% probability levels. Hydrogen atoms have been omitted for clarity.
In each case, the gold atom is linearly coordinated by a phosphorus atom from the phosphine ligand and an oxygen atom of the monodentate carboxylate group. In the case of the bis(phosphine) complexes (6a) and (7a), the two gold atoms are forced into close proximity, resulting in Au···Au distances of 2.9195(4) Å and 2.8938(11) Å, respectively. These values are slightly shorter than those observed in the trifluoroacetate gold complexes of dppb and Xantphos [30,32]. In the mononuclear species (2a) and (4a), there are no intermolecular gold–gold contacts, which are frequently observed in solid-state structures of phosphine gold(I) complexes [33].
3.3. Bimetallic Silver/Gold Complexes with Perfluorinated Carboxylato Ligands
The oxygen atom of the carboxylato ligand not bound to gold in the complexes discussed above could potentially act as a donor atom towards an additional, different, metal centre. Together with potential metal–metal interactions, this could lead to the formation of multimetallic supramolecular assemblies. We therefore reacted the phosphine–gold(I) carboxylates with the silver(I) carboxylates in a 1:1 ratio (Scheme 3) and isolated colourless solids, whose 31P NMR chemical shifts were different from those of the phosphine gold(I) carboxylates themselves. The observed signals in the 19F NMR spectra of the products were very similar to those of the starting materials.
Scheme 3.
Synthesis of bimetallic Ag/Au complexes.
The IR spectra of the compounds featured two CO bands, at different wavenumbers than those of the individual precursors, suggesting the presence of carboxylate groups in different chemical environments. The Ph3P complexes 9a and 10a resulted in single crystals that were suitable for X-ray diffraction, allowing us to unambiguously determine their molecular structures (Figure 7).
Figure 7.
Molecular structures of [(CF3CO2)2AgAu(PPh3)]2 9a (top) and [{CF3(CF2)2CO2)2AgAu(PPh3)]2 10a (bottom). Ellipsoids show 50% probability levels. Hydrogen atoms have been omitted for clarity and the phenyl rings of the Ph3P ligands are drawn in wireframe style. Atoms generated by symmetry are labelled with an asterisk.
The structures were tetranuclear Au2Ag2 complexes containing two distinct bridging carboxylato ligands. One of them bridges two silver atoms, while the other bridges a gold- and a silver atom, resulting in Ag–Ag and Au–Ag distances of 2.9688(6) Å and 3.1820(4) Å, respectively. The values fall within the range of aurophilic or argentophilic interactions [27,33]. The gold atoms show, as expected for Au(I), a linear (∠P–Au–O = 177°) coordination, whilst the silver has three coordinates with a distorted T-shaped geometry. The structure can be interpreted as two phosphine gold carboxylates acting as Au,O-chelating ligands towards a silver atom located within a dinuclear, eight-membered-ring structure. As a result, the Ag–Ag distances are slightly increased compared to those of the corresponding silver salts discussed above. In addition, the Au–Ag–Ag–Au chain is bent, with two 117° angles at each silver centre. The bite angle (∠O–Ag–Au) of the chelating ligands is, thus, approximately 65°. Similar structures have been reported for the tetranuclear Au2Ag2 complexes [(CF3CF2CO2)2AgAu{(4-Me2NC6H4)PPh2}]2 and [{CF3(CF2)6CO2}2AgAu(PPh3)]2 [4,34]. The gold–chalcogen chelation of silver atoms has also been observed in the tetranuclear complex [(CF3CO2)2AgAu(C6F5)(PhSCH2PPh2)]2, in which the sulfur and gold atoms of a PhSCH2PPh2AuC6F5 unit coordinate with the silver [35]. Analogous reactions with the dinuclear phosphine-gold(I) carboxylates and the silver carboxylates also afforded colourless solids, with similar spectroscopic properties to the products discussed above. In the case of the Xantphos derivative (14a), X-ray-quality crystals were obtained (Figure 8).
Figure 8.
Molecular structure of [{CF3(CF2)2CO2)2AgAu(Xantphos)]n (14a) (top). Hydrogen atoms have been omitted for clarity. The Xantphos ligands as well as the CF3(CF2)2 chains are drawn in wireframe style. The bottom image shows the polymer chain with hydrogen atoms and the perfluorinated groups omitted.
The basic molecular structure is identical to that discussed above (Au,O-chelating a silver centre in an eight-membered ring dimer), except that this structure is polymeric due to the presence of the diphosphine ligand, which bridges two gold atoms (Figure 8 bottom). The Ag–Ag distance [2.9715(9) Å] shown here is very similar to that observed in the Ph3P complex discussed above, whilst the Ag–Au distance [3.3159 Å] is considerably longer. The Au–Au separation in the Ag,Au-polymer is also slightly larger than in the gold(I)–carboxylato complex 7a. The structurally related coordination polymer [(CF3CO2)2AgAu(binap)]n [binap = 2,2′-bis(diphenylphosphino)-1,1′-binaphthyl] was adventitiously isolated when solutions of [Au2(O2CCF3)2(binap)] were left to stand in the presence of excess [AgO2CCF3] [36]. In this compound, there are two unequal Ag–Au bond lengths of ca. 3.3 and 3.0 Å, the latter of which is similar to that observed in the structure of 14a.
3.4. Copper Complexes with Perfluorinated Carboxylato Ligands
Copper(II) carboxylates generally exist as dinuclear paddlewheel complexes of the type [Cu2(O2CR)4(L)2], featuring O,O-bridging carboxylato ligands and short Cu–Cu distances [37]. In the case of the perfluorocarboxylates, there are a few structurally authenticated examples also showing this arrangement. These include the coordination polymers [Cu2(O2CC6F5)4(dioxane)]n [38] and [Cu2(O2CCF3)4]n [39], as well as the dinuclear species [Cu2(O2CCF3)4(L)2] (L = iPrOC2H4OH [40], quinoline [41], MeCN [42], Et2O [43], Bz2O [44], and tBu2S [45]), [Cu2{O2C(CF2)2CF3}4(THF)2] [40], [Cu2{O2C(CF2)7CF3}4(acetone)2] [46] and [Cu2(O2CC6F5)4(HO2CC6F5)2] [47].
When reproducing the procedure by Krupoder to prepare [Cu2(O2CCF3)4(dioxane)] [15], we isolated two different products depending on the copper-precursor used: from the reaction of basic copper carbonate with trifluoroacetic acid in 1,4-dioxane, we isolated pale blue crystals upon the slow evaporation of the solution. These crystals turned out to be the unique trinuclear Cu(II) complex [Cu3(O2CCF3)6(H2O)4(dioxane)2]·(dioxane) shown in Figure 9.
Figure 9.
Molecular structure of [Cu3(O2CCF3)6(H2O)4(dioxane)2]·(dioxane) (15). Ellipsoids show 30% probability levels. Hydrogen atoms, as well as the dioxane of solvation, have been omitted for clarity. Only one part of the disordered coordinated dioxane molecules is shown. The image on the right depicts the intramolecular hydrogen bonds.
The compound consists of two different copper(II) sites, one octahedral featuring two water molecules trans to each other and four equatorial oxygen atoms from the bridging trifluoroacetate groups. The other two copper sites are square pyramidal, with a dioxane-oxygen atom at the tip of the pyramid and four oxygen atoms from water, two bridging and one O-bound trifluoroacetate at the base. In addition, there are intramolecular H-bonds between the coordinated water molecules at the octahedral Cu-site and the carbonyl–oxygen atom of the trifluoroacetate ligands at the square pyramidal copper (Figure 9 right). When trifluoroacetic acid was reacted with copper(II) acetate monohydrate in 1,4-dioxane, however, a turquoise, water-free material (based on IR spectroscopy) was obtained after evaporation in vacuum. Recrystallization from toluene afforded fine plates, which were identified as the Cu(II) coordination polymer [Cu2(O2CCF3)4(dioxane)]n (16) by X-ray diffraction (Figure 10).
Figure 10.
Molecular structure of the coordination polymer [Cu2(O2CCF3)4(dioxane)]n (16) (top). Ellipsoids show 50% probability levels. Hydrogen atoms have been omitted for clarity and only one part of the disordered CF3 groups is shown. The CF3 groups are drawn as capped sticks. Atoms generated by symmetry are labelled with an asterisk. The image on the bottom shows the zig-zag shape of the polymer chain.
The structure Is a typical paddlewheel structure with a Cu–Cu distance of 2.6381(5) Å and bridging 1,4-dioxane molecule. This structural motif is also found in the solid-state structures of several other copper(II) coordination polymers derived from tBuCOOH, tBuCH2COOH [48], EtCOOH [49], 2-IC6H4COOH [50], PhCOOH [51] and C6F5COOH [38]. In complex 16, the orientation of the chair-configured dioxane molecules leads to a zig-zag-shaped coordination polymer (Figure 10 bottom). In all the other published structures, the dioxane is oriented such that step-shaped polymers are formed.
It is known that copper(II) perfluorocarboxylates react with an excess of Ph3P (2.5 or 3.5 equivalents per Cu), forming the colourless, diamagnetic Cu(I) phosphine complexes [Cu(O2CRF)(PPh3)2] and [Cu(O2CRF)(PPh3)3], respectively [52]. In most cases, recrystallisation of the tris-complex results in the bis-species, suggesting an equilibrium in solution. The phosphine acts as both the reducing agent and ligand. It was proposed that in both the bis- and tris-complexes, the copper is four-coordinate, with either monodentate or bidentate carboxylate ligands. Experimental data also suggested that when the pKa of the parent acid is less than 3.5, only tris(triphenylphosphine) complexes can be formed. This, however, was proven to be incorrect by Edwards and White, who successfully isolated bis(triphenylphosphine) complexes containing perfluoropropionato, perfluorobutyrato and pentafluorobenzoato ligands [13]. The tetrahedral coordination geometry, as well as the presence of a bidentate carboxylato ligand, was confirmed by an X-ray structure determination of the bis(triphenylphosphine) complex with trifluoroacetate, which was prepared by an electrochemical synthesis from copper metal, Ph3P and trifluoroacetic acid in MeCN [53]. Given that the corresponding tris(triphenylphosphine) complexes are unknown, we attempted their preparation and characterization with modern spectroscopic methods. The reaction of the copper(II) carboxylates with 3.5 equivalents (per Cu) of Ph3P in MeOH afforded colourless crystals upon cooling to a reaction mixture to −20 °C (Scheme 4).
Scheme 4.
Synthesis of copper(I) complexes with perfluorinated carboxylates.
The perfluorinated complexes are quite soluble in MeOH even at −20 °C, which explains the low yields obtained in some cases. If the reaction mixtures are evaporated to dryness, however, the products are contaminated with Ph3PO, which can only be removed with great difficulty and loss of material. In the 31P-NMR spectra of the compounds, sharp singlets in the range from −1.3 to −2.4 ppm are observed, which are typical for (triphenylphosphine)copper(I) complexes. The IR spectra display intense bands for the asymmetric CO stretching frequency between 1648 and 1685 cm−1. These values are different to those observed in their corresponding bis(triphenylphosphine) counterparts [13]. The molecular structures of the trifluoroacetate- (17), perfluorobutyrate- (19) and pentafluorobenzoate (20) derivatives were confirmed by X-ray diffraction experiments (Figure 11).
Figure 11.
Molecular structures of [Cu(O2CCF3)(PPh3)3] 17·(left), [Cu{O2C(CF2)2CF3}(PPh3)3]·19 (centre) and [Cu(O2CC6F5)(PPh3)3]·20 (right). Ellipsoids show 50% probability levels. Hydrogen atoms have been omitted for clarity. Only one of the two independent molecules is shown and only the ipso-carbon atoms of the Ph3P ligands are depicted.
In these three compounds, the copper atom has four coordinates, with three phosphorus atoms from the Ph3P ligands as well as an oxygen atom from the monodentate carboxylates in a trigonal pyramidal arrangement. The monodentate coordination of the carboxylate is confirmed by one short [2.1121(16), 2.1047(12) and 2.1015(14) Å] and one long (>3 Å) Cu–O distance. There are only three structurally characterized tris(triphenylphosphine) copper(I) carboxylates containing phthalic acid [54], benzene-1,2-dioxyacetic acid [55] and ethylphenylmalonic acid [56]. In these compounds, the Cu-coordination mode, as well as the bond distances, are very similar to those discussed above.
For comparison, the bis(triphenylphosphine) complex with perfluoropropionate was prepared by the same method (Scheme 4), except that less (2.5 equivalents per Cu) Ph3P was used. In this case, a colourless solid was also isolated, with a slightly different chemical shift in its 31P-NMR spectrum and a different CO stretching frequency when compared to the tris-complex. The observed IR spectrum agrees well with the data reported in the literature [13]. The molecular structure of 21 was studied by an X-ray diffraction experiment (Figure 12).
Figure 12.
Molecular structure of [Cu{O2CCF2CF3}(PPh3)2]·(21). Ellipsoids show 50% probability levels. Hydrogen atoms have been omitted for clarity. Only the ipso-carbon atoms of the Ph3P ligands are shown.
The complex consists of a three-coordinate copper atom featuring two P-bound Ph3P ligands as well as a monodentate, O-bound perfluoropropionato ligand in a nearly trigonal planar geometry. In the literature, such bis(triphenylphosphine) complexes were originally proposed to be four-coordinate copper(I) complexes with chelating carboxylato ligands [52]. The longer of the two Cu-O distances in the complex [ca. 2.7 Å] is shorter than that in the tris-species discussed above, but longer than that in [Cu(O2CCF3)(PPh3)2]·(2.5 Å) [53] and the non-fluorous complexes [Cu(O2CCH2COOH)(PPh3)2]·(2.5 Å) [57] and [Cu{O2CC6H3(3,5-NO2)2}(PPh3)2]·(2.6 Å) [58]. The results thus clearly indicate that although the coordination number at copper differs in the bis- and tris-complexes, monodentate coordination of the carboxylato ligands is observed in both cases.
Thermal analysis of the bis(triphenylphosphine) perfluoropropionato copper(I) complex (Figure 13) shows a gradual decomposition commencing at 244 °C. The remaining mass of 19.1% is consistent with formation of Cu2O and not elemental copper. A similar decomposition to Cu2O (admixed with Cu and Cu2P2O7) was observed in the related triphenylphosphite complexes of perfluorinated carboxylic acids [59].
Figure 13.
TGA curve of [Cu{O2CCF2CF3}(PPh3)2] (21).
4. Conclusions
Silver(I) salts of perfluorinated carboxylic (and sulfonic acids) can be readily prepared from the acids and Ag2O in toluene, avoiding the presence of water. A structural analysis of several compounds revealed that these silver(I) salts exist as coordination polymers assembled from dinuclear [Ag2(O2CRF)2] (RF = perfluorinated group) building blocks. In some cases, toluene is either η2- or η3-bound to the silver. The silver(I) salts can be used to transmetallate the perfluorocarboxylate-group to a gold(I)-phosphine species. Several examples with both mono- and bis-phosphines were examined, and their solid-state structures were determined. The structures of the bis-phosphine complexes feature aurophilic interactions. The combination of silver(I) salts and gold(I) phosphine carboxylate leads to the formation of mixed-metal species containing both Ag and Au. Depending on the nature of the phosphines, either polymeric structures or discrete tetranuclear Ag2Au2 complexes are observed in the solid state. The reduction in dinuclear paddlewheel-type copper(II) perfluorocarboxylates with Ph3P leads to the corresponding copper(I) complexes with either two or three phosphine ligands. In the molecular structures of these compounds, the coordination mode of the carboxylate ligands is monodentate, resulting in coordination numbers of three or four at the metal center.
Supplementary Materials
The following supporting information can be downloaded at: https://www.mdpi.com/article/10.3390/chemistry5020058/s1, Copies of 1H-, 31P- and 19F-NMR spectra of the compounds.
Author Contributions
Conceptualization, F.M.; formal analysis, F.M., B.B.B.; C.W.L.; investigation, R.P., J.R., B.B.B.; writing—original draft preparation, R.P.; writing—review and editing, F.M.; supervision, F.M. All authors have read and agreed to the published version of the manuscript.
Funding
This research received no external funding.
Data Availability Statement
The data presented in this study are available from the authors.
Conflicts of Interest
The authors declare no conflict of interest. The funders had no role in the design of the study; in the collection, analyses, or interpretation of data; in the writing of the manuscript; or in the decision to publish the results.
References
- Hauptschein, M.; Grosse, A.V. Perfluoroalkyl halides prepared from silver perfluoro-fatty acid salts. I. Perfluoroalkyl iodides. J. Am. Chem. Soc. 1951, 73, 2461–2463. [Google Scholar] [CrossRef]
- Adams, S.K.; Edwards, D.A.; Richards, R. Silver(I) carboxylates. I. Mass spectra and low frequency infrared spectra. Inorg. Chim. Acta 1975, 12, 163–166. [Google Scholar]
- Edwards, D.A.; Harker, R.M.; Mahon, M.F.; Molloy, K.C. Aerosol-assisted chemical vapour deposition (AACVD) of silver films from triorganophosphine adducts of silver carboxylates, including the structure of [Ag(O2CC3F7)(PPh3)2]. Inorg. Chim. Acta 2002, 328, 134–146. [Google Scholar] [CrossRef]
- Römbke, P.; Schier, A.; Schmidbaur, H.; Cronje, S.; Raubenheimer, H. Mono- and bimetallic gold(I) and silver(I) pentafluoropropionates and related compounds. Inorg. Chim. Acta 2004, 357, 235–242. [Google Scholar]
- Torroba, J.; Aynsley, J.; Tuzimotoa, P.A.; Bruce, D.W. One-pot synthesis of anhydrous silver carboxylates from silver(I) fluoride. RSC Adv. 2012, 2, 12866–12869. [Google Scholar]
- Blakeslee, A.E.; Hoard, J.L. The structure of silver perfluorobutyrate. J. Am. Chem. Soc. 1956, 78, 3029–3033. [Google Scholar] [CrossRef]
- Griffin, R.G.; Ellett, J.D.; Mehring, M.; Bullitt, J.G.; Waugh, J.S. Single crystal study of the 19F shielding tensors of a trifluoromethyl group. J. Chem. Phys. 1972, 57, 2147–2155. [Google Scholar]
- Weigand, H.; Tyrra, W.; Naumann, D. The structure of silverpentafluorobenzoate monohydrate, AgCO2C6F5·H2O. Z. Anorg. Allg. Chem. 2008, 634, 2125–2126. [Google Scholar] [CrossRef]
- Lamann, R.; Hülsen, M.; Dolg, M.; Ruschewitz, U. Syntheses, crystal structures and thermal behavior of five new complexes containing 2,4,6-trifluorobenzoate as ligand. Z. Anorg. Allg. Chem. 2012, 638, 1424–1431. [Google Scholar] [CrossRef]
- Swarts, F. Sur quelques trifluoroacétates. Bull. Soc. Chim. Belg. 1939, 48, 176–191. [Google Scholar]
- Bruce, M.I.; Nicholson, B.K.; Shawkataly, O.B. Synthesis of gold-containing mixed metal cluster compleces. Inorg. Synth. 1989, 26, 324. [Google Scholar]
- Römbke, P.; Schier, A.; Schmidbaur, H. Gold(I) carboxylates and fluorocarboxylates. Z. Naturforsch. 2002, 57b, 605–609. [Google Scholar] [CrossRef]
- Edwards, D.A.; White, J.W. Copper(II) pentafluorobenzoates: Preparations, magnetic and spectroscopic features, and reation with triphenylphosphine. J. Inorg. Nucl. Chem. 1978, 40, 1335–1339. [Google Scholar] [CrossRef]
- Handa, M.; Ishitobi, Y.; Yakuwa, T.; Yoshioka, D.; Ishida, H.; Mikuriya, M.; Hiromitsu, I.; Tanaka, H.; Ikeue, T. A polymer complex [Cu(O2CC6F5)2(pyz)]n formed from copper(II) pentafluorobenzoate and pyrazine. Bull. Chem. Soc. Jpn. 2009, 82, 1277–1279. [Google Scholar] [CrossRef]
- Krupoder, S.A.; Danilovich, V.S.; Miller, A.O.; Furin, G.G. Synthesis and properties of the volatile polyfluoroaryl and polyfluorocarboxy derivatives of metals and metalloids - Prospective materials for microelectronics. Russ. J. Org. Chem. 1994, 30, 1243–1251. [Google Scholar]
- Kabsch, W. XDS. Acta Cryst. 2010, D66, 125–132. [Google Scholar]
- CrysAlisPro 41.123a, 40.53; Rigaku Oxford Diffraction Ltd.: Oxford, UK, 2022.
- DATCOL, Bruker AXS: Billerica, MA, USA, 2006.
- Sheldrick, G.M. SADABS 2.03; Universiät Göttingen: Göttingen, Germany, 2002. [Google Scholar]
- APEX3, Crystallography Software Suite, Bruker AXS: Billerica, MA, USA, 2017.
- Sheldrick, G.M. SHELXT - Integrated space-group and crystal-structure determination. Acta Cryst. 2015, A71, 3–8. [Google Scholar] [CrossRef]
- Sheldrick, G.M. SHELXL-97, Program for Crystal Structure Refinement. University of Göttingen: Göttingen, Germany, 1997. [Google Scholar]
- Dolomanov, O.V.; Bourhis, L.J.; Gildea, R.J.; Howard, J.A.K.; Puschmann, H. OLEX2: A complete structure solution, refinement and analysis program. J. Appl. Cryst. 2009, 42, 339–341. [Google Scholar] [CrossRef]
- Szlyk, E.; Lakomska, I.; Grodzicki, A. Thermal and spectroscopic studies of the Ag(I) salts with fluorinated carboxylic and sulfonic acid residues. Thermochim. Acta 1993, 223, 207–212. [Google Scholar] [CrossRef]
- Taylor, I.F., Jr.; Hall, E.A.; Amma, E.L. Metal ion-aromatic complexes. VII. Crystal and molecular structure of bis(m-xylene)silver perchlorate. J. Am. Chem. Soc. 1969, 91, 5745–5749. [Google Scholar] [CrossRef]
- Karpova, E.V.; Boltalin, A.I.; Korenev, Y.M.; Troyanov, S.I. Silver(I) mono- and trifluoroacetates: Thermal stability and crystal structure. Russ. J. Coord. Chem. 1999, 25, 65–68. [Google Scholar]
- Schmidbaur, H.; Schier, A. Argentophilic interactions. Angew. Chem., Int. Ed. 2015, 54, 746–784. [Google Scholar]
- Szczesny, R.; Szlyk, E. Thermal decomposition of some silver(I) carboxylates under nitrogen atmosphere. J. Therm. Anal. Calorim. 2013, 111, 1325–1330. [Google Scholar]
- Szlyk, E.; Lakomska, I.; Grodzicki, A. Studies of Au(I) complexes with triphenylphosphine and perfluorinated carboxylates. Polish J. Chem. 1995, 69, 1103–1108. [Google Scholar]
- Deák, A.; Tunyogi, T.; Tárkányi, G.; Király, P.; Pálinkás, G. Self-assembly of gold(i) with diphosphine and bitopic nitrogen donor linkers in the presence of trifluoroacetate anion: Formation of coordination polymerversus discrete macrocycle. CrystEngComm 2007, 9, 640–643. [Google Scholar]
- Appel, M.; Schloter, K.; Heidrich, J.; Beck, W. Metallorganische Lewis-Säuren: XXVII. Metallorganische Verbindungen mit Anionen der Fluorsulfonsäure, sowie von perfluorierten Sulfon- und Carbonsäuren. J. Organomet. Chem. 1987, 322, 77–88. [Google Scholar] [CrossRef]
- Tunyogi, T.; Deák, A. [m-4,5-Bis(diphenylphosphino)-9,9-di-methylxanthene]bis[(trifluoroacetato)-gold(I)] and its dichloromethane 0.58-solvate. Acta Cryst. 2010, C66, m133–m136. [Google Scholar]
- Schmidbaur, H.; Schier, A. A briefing on aurophilicity. Chem. Soc. Rev. 2008, 37, 1931–1951. [Google Scholar]
- Bartlett, P.N.; Cheng, F.; Cook, D.A.; Hector, A.L.; Levason, W.; Reid, G.; Zhang, W. Synthesis and structure of [{C7F15CO2}2AgAu(PPh3)]2 and its use in electrodeposition of gold–silver alloys. Inorg. Chim. Acta 2010, 363, 1048–1051. [Google Scholar] [CrossRef]
- Fernández, E.J.; López-de-Luzuriaga, J.M.; Monge, M.; Rodriguez, M.A.; Crespo, O.; Gimeno, M.C.; Laguna, A.; Jones, P.G. Heteropolynuclear complexes with the ligand Ph2PCH2SPh: Theoretical evidence for metallophilic Au-M interactions. Chem. Eur. J. 2000, 6, 636–644. [Google Scholar] [CrossRef]
- Wheaton, C.A.; Jennings, M.C.; Puddephatt, R.J. Complexes of gold(I) with a chiral diphosphine ligand: A polymer with Au-Ag and Ag-Ag metallophilic bonds. Z. Naturforsch. 2009, 64b, 1469–1477. [Google Scholar] [CrossRef]
- Catterick, J.; Thornton, P. Structures and physical properties of polynuclear carboxylates. Adv. Inorg. Chem. Radiochem. 1977, 20, 291–362. [Google Scholar]
- Larionov, S.V.; Glinskaya, L.A.; Klevtsova, R.F.; Lvov, P.E.; Ikorskii, V.N. Preparation, crystal od molecular structure, and magnetic properties of an adduct of copper(II) pentafluorobenzoate with 1,4-dioxane. Russ. J. Inorg. Chem. 1991, 36, 1413–1415. [Google Scholar]
- Karpova, E.V.; Boltalin, A.I.; Korenev, Y.M.; Troyanov, S.I. Synthesis and X-ray diffraction analysis of copper(II) fluoroacetates Cu(CF3COO)2 and Cu(CHF2COO)2 0.5H2O containing polymeric chains in their structures. Russ. J. Coord. Chem. 2000, 26, 361–366. [Google Scholar]
- Zhang, J.; Hubert-Pfalzgraf, L.G.; Luneau, D. Synthesis, characterization and molecular structures of Cu(II) and Ba(II) fluorinated carboxylate complexes. Polyhedron 2005, 24, 1185–1195. [Google Scholar] [CrossRef]
- Moreland, J.A.; Doedens, R.J. Synthesis, crystal structure, and magnetic properties of a dimeric quinoline adduct of copper(II) trifluoroacetate. J. Am. Chem. Soc. 1975, 97, 508–513. [Google Scholar] [CrossRef]
- Karpova, E.V.; Boltalin, A.I.; Zakharov, M.A.; Sorokina, N.I.; Korenev, Y.M.; Troyanov, S.I. Synthesis and crystal structure of copper(II) trifluoroacetates, Cu2(CF3COO)4 · 2 CH3CN and Cu(CF3COO)2(H2O)4. Z. Anorg. Allg. Chem. 1998, 624, 741–744. [Google Scholar] [CrossRef]
- Vives, G.; Mason, S.A.; Prince, P.D.; Junk, P.C.; Steed, J.W. Intramolecular versus intermolecular hydrogen bonding of coordinated acetate to organic acids: A neutron, X-ray, and database study. Cryst. Growth Des. 2003, 3, 699–704. [Google Scholar] [CrossRef]
- Nefedov, S.E.; Kushan, E.V.; Yakovleva, M.A.; Chikhichin, D.G.; Kotseruba, V.A.; Levchenko, O.A.; Kamalov, G.L. Binuclear complexes with the “Chinese Lantern” geometry as intermediates in the liquid-phase oxidation of dibenzyl ether with atmospheric oxygen in the presence of copper(II) carboxylates. Russ. J. Coord. Chem. 2012, 38, 224–231. [Google Scholar] [CrossRef]
- Gahlot, S.; Purohit, B.; Jeanneau, E.; Mishra, S. Coinage metal complexes with di-tertiary-butyl sulfide as precursors with ultra-low decomposition temperature. Chem. Eur. J. 2021, 27, 10826–10832. [Google Scholar] [CrossRef]
- Motreff, A.; Correa da Costa, R.; Allouchi, H.; Duttine, M.; Mathonière, C.; Duboc, C.; Vincent, J.M. Dramatic solid-state humidity-induced modification of the magnetic coupling in a dimeric fluorous copper(II)−carboxylate complex. Inorg. Chem. 2009, 48, 5623–5625. [Google Scholar] [CrossRef] [PubMed]
- Han, L.J.; Kong, Y.J.; Huang, M.M. Magnetic properties and crystal structures of two copper coordination compounds with pentafluorobenzoate ligand. Inorg. Chim. Acta 2021, 514, 120019. [Google Scholar]
- Kani, Y.; Tsuchimoto, M.; Ohba, S.; Tokii, T. catena-Poly[[tetrakis(m-2,2-dimethyl-propionato-O:O´)dicopper(II)]-m-dioxane-O:O´] and catena-poly-[[tetrakis(m-3,3-dimethylbutyrato-O:O´)dicopper(II)]-m-dioxane-O,O´]. Acta Cryst. 2000, C56, e80–e81. [Google Scholar]
- Borel, M.M.; Leclaire, A. Etude des Propionates Métalliques. V. Détermination de la Structure du Bis-propionato Cuivre(II) 0,5 Dioxanne. Acta Cryst. 1976, B32, 1275–1278. [Google Scholar] [CrossRef]
- Smart, P.; Mínguez Espallargas, G.; Brammer, L. Competition between coordination network and halogen bond network formation: Towards halogen-bond functionalised network materials using copper-iodobenzoate units. CrystEngComm 2008, 10, 1335–1344. [Google Scholar] [CrossRef]
- Boniak, L.; Borel, M.M.; Busnot, F.; Leclaire, A. Structure de [Cu(C6H5COO)2(C4H8O2)0.5)]2 2 C4H8O2. Mise en évidence d’une conformation "twist" du dioxane. Rev. Chim. Miner. 1979, 16, 501–508. [Google Scholar]
- Hammond, B.; Jardine, F.H.; Vohra, A.G. Carboxylatocopper(I) complexes. J. Inorg. Nucl. Chem. 1971, 33, 1017–1024. [Google Scholar] [CrossRef]
- Hart, R.D.; Healy, P.C.; Hope, G.A.; Turner, D.W.; White, A.H. Electrochemical synthesis and structural characterization of bis(triphenylphosphine)copper(I) fluoroacetates. J. Chem. Soc. Dalton Trans. 1994, 773–779. [Google Scholar] [CrossRef]
- Vykoukal, V.; Halasta, V.; Babiak, M.; Bursik, J.; Pinkas, J. Morphology control in AgCu nanoalloy synthesis by molecular Cu(I) precursors. Inorg. Chem. 2019, 58, 15246–15254. [Google Scholar]
- Devereux, M.; McCann, M.; Cronin, J.F.; Cardin, C.; Convery, M.; Quillet, V. Synthesis and X-ray crystal structure of the copper(I) dicarboxylic acid complex [Cu(η1-bdoaH)(PPh3)3] (bdoaH2 = benzene-1,2- dioxyacetic acid). Polyhedron 1994, 13, 2359–2366. [Google Scholar] [CrossRef]
- Darensbourg, D.J.; Holtcamp, M.W.; Khandelwal, B.; Klausmeyer, K.K.; Reibenspies, J.H. A more intimate examination of the role of copper(I) in the decarboxylation of derivatives of malonic acid. Comparisons with zinc(II) analogs. Inorg. Chem. 1995, 34, 2389–2398. [Google Scholar] [CrossRef]
- Darensbourg, D.J.; Holtcamp, M.W.; Khandelwal, B.; Reibenspies, J.H. Intramolecular and intermolecular hydrogen bonding in triphenylphosphine derivatives of copper(I) carboxylates, (Ph3P)2CuO2C(CH2)nCOOH. Role of copper(I) in the decarboxylation of malonic acid and its derivatives. Inorg. Chem. 1994, 33, 531–537. [Google Scholar] [CrossRef]
- Mauro, A.E.; Porta, C.C.; De Simone, C.A.; Zukerman-Schpector, J.; Catellano, E.E. Synthesis and structural studies of (3,5-dinitrobenzoate)bis(triphenylphosphine)copper(I). Polyhedron 1993, 12, 1141–1143. [Google Scholar] [CrossRef]
- Szlyk, E.; Szymanska, I. Studies of new volatile copper(I) complexes with triphenylphosphite and perfluorinated carboxylates. Polyhedron 1999, 18, 2941–2948. [Google Scholar] [CrossRef]
Disclaimer/Publisher’s Note: The statements, opinions and data contained in all publications are solely those of the individual author(s) and contributor(s) and not of MDPI and/or the editor(s). MDPI and/or the editor(s) disclaim responsibility for any injury to people or property resulting from any ideas, methods, instructions or products referred to in the content. |
© 2023 by the authors. Licensee MDPI, Basel, Switzerland. This article is an open access article distributed under the terms and conditions of the Creative Commons Attribution (CC BY) license (https://creativecommons.org/licenses/by/4.0/).
















