Three-Dimension Calculation for the Scattering Problem for Non-Spherical Potential
Abstract
1. Introduction
2. Materials and Methods
2.1. Equation for a Potential with Axial Symmetry
2.2. Numerical Model
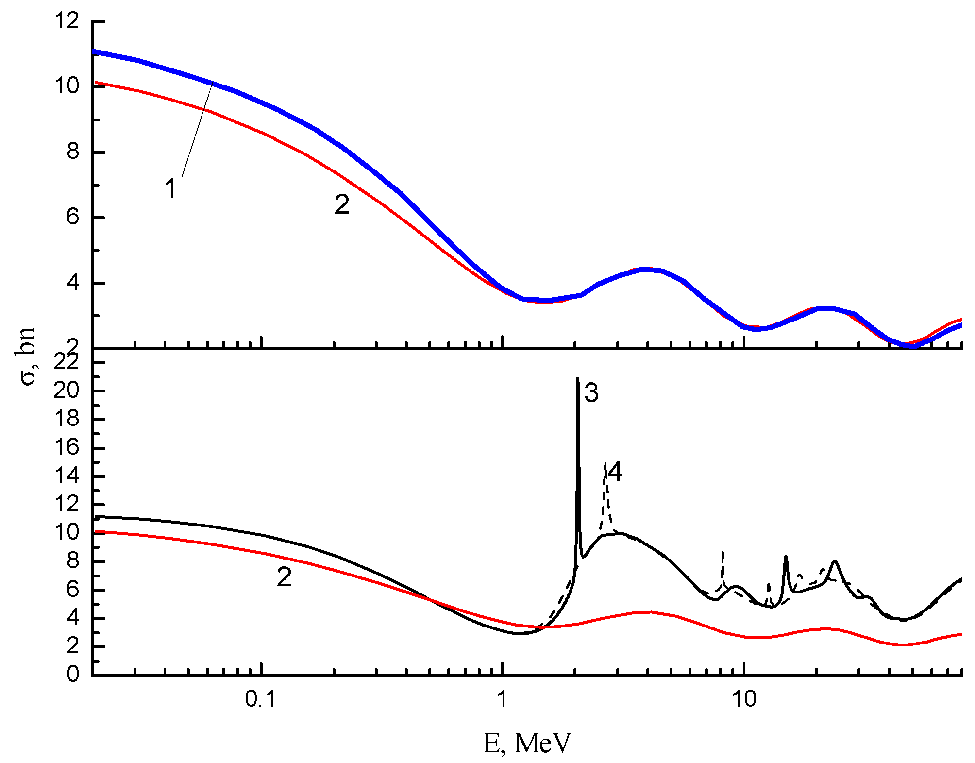
3. Results
4. Discussion
Author Contributions
Funding
Data Availability Statement
Acknowledgments
Conflicts of Interest
References
- Maruhn, J.A.; Reinhard, P.-G.; Stevenson, P.D.; Umar, A.S. The TDHF code Sky3D. Comput. Phys. Commun. 2014, 185, 2195–2216. [Google Scholar] [CrossRef]
- Sekizawa, K. TDHF theory and its Extensions for the multinucleon transfer reaction: A mini review. Front. Phys. 2019, 7, 20. [Google Scholar] [CrossRef]
- Umar, A.S.; Oberacker, V.E. Time dependent Hartree-Fock fusion calculations for spherical, deformed systems. Phys. Rev. C 2006, 74, 024606. [Google Scholar] [CrossRef]
- Saiko, V.V.; Karpov, A.V. Analysis of multinucleon transfer reactions with spherical and statically deformed nuclei using a Langevin-type approach. Phys. Rev. C 2019, 99, 014613. [Google Scholar] [CrossRef]
- Bohr, A.N.; Mottelson, B.R. Nuclear Structure; World Scientific Publishing Company: Singapore, 1998; Volume II. [Google Scholar] [CrossRef]
- Elster, C.; Thomas, J.H.; Glöckle, W. Two-body T-matrices without angular momentum decomposition: Energy and momentum dependencies. Few-Body Syst. 1998, 24, 55–79. [Google Scholar] [CrossRef][Green Version]
- Fachruddin, I.; Elster, C.; Glöckle, W. Nucleon-nucleon scattering in a three dimensional approach. Phys. Rev. C 2000, 62, 044002. [Google Scholar] [CrossRef]
- Bugrov, V.P.; Kadmensky, S.G. Proton decay of deformed nuclei. Sov. J. Nucl. Phys. 1989, 4, 967–972. [Google Scholar]
- Kadmensky, S.G.; Bugrov, V.P. Proton decay and shapes of neutron-deficient nuclei. Phys. At. Nucl. 1996, 59, 399–402. [Google Scholar]
- Esbensen, H.; Brown, B.A.; Sagawa, H. Positive parity states in 11Be. Phys. Rev. C 1995, 51, 1274–1279. [Google Scholar] [CrossRef] [PubMed]
- Davids, G.N.; Esbensen, H. Decay rate of triaxially deformed proton emitters. Phys. Rev. C 2004, 69, 034314. [Google Scholar] [CrossRef]
- Shneidman, T.M.; Adamian, G.G.; Antonenko, N.V.; Jolos, R.V.; Zhou, S.G. Cluster approach to the structure of 240Pu. Phys. Rev. C 2015, 92, 034302. [Google Scholar] [CrossRef]
- Ershov, S.N.; Vaagen, J.S.; Zhukov, M. Cluster model with core excitations. The 11Be example. Phys. At. Nucl. 2014, 77, 989–998. [Google Scholar] [CrossRef]
- Han, Y.; Xu, Y.; Liang, H.; Guo, H.; Shen, Q. Global phenomenological optical model potential for nucleon-actinide reactions at energies up to 300 MeV. Haiying Liang Phys. Rev. C 2010, 81, 024616. [Google Scholar] [CrossRef]
- Krassovitskiy, P.M.; Pen’kov, F.M. Quantum scattering by nonspherical objects. Bull. Russ. Acad. Sci. Phys. 2017, 81, 730–734. [Google Scholar] [CrossRef]
- Krassovitskiy, P.M.; Pen’kov, F.M. Asymptotic behavior of solutions in finite difference schemes. Bull. Russ. Acad. Sci. Phys. 2018, 82, 669–673. [Google Scholar] [CrossRef]
- Krassovitskiy, P.M.; Pen’kov, F.M. Determination of the scattering amplitude in a limited area of calculation. Bull. Russ. Acad. Sci. Phys. 2019, 83, 420–423. [Google Scholar] [CrossRef]
- Landau, L.D.; Lifshits, E.M. Quantum Mechanics. Nonrelativistic Theory; Pergamon Press Ltd.: Oxford, UK, 1991; Available online: https://archive.org/details/l-d-landau-e.-m.-lifshitz-quantum-mechanics-non-vol-3/ (accessed on 20 January 2024).
- Nemets, O.F.; Gofman, Y.V. Nuclear Physics Handbook; Naukova Dumka: Kiev, USSR, 1975. (In Russian) [Google Scholar]
- Yushkov, A.V. Surface of β(Z,N) Deformation for Nuclei with Z from 2 to 102. Phys. Elem. Part. At. Nucl. (PEPAN) 1993, 24, 348–408. Available online: http://www1.jinr.ru/Archive/Pepan/1993-v24/v-24-2/2.htm (accessed on 20 January 2024). (In Russian).
- Krassovitskiy, P.M.; Pen’kov, F.M. Contribution of resonance tunneling of molecule to physical observables. J. Phys. B At. Mol. Opt. Phys. 2014, 47, 225210. [Google Scholar] [CrossRef]





Disclaimer/Publisher’s Note: The statements, opinions and data contained in all publications are solely those of the individual author(s) and contributor(s) and not of MDPI and/or the editor(s). MDPI and/or the editor(s) disclaim responsibility for any injury to people or property resulting from any ideas, methods, instructions or products referred to in the content. |
© 2024 by the authors. Licensee MDPI, Basel, Switzerland. This article is an open access article distributed under the terms and conditions of the Creative Commons Attribution (CC BY) license (https://creativecommons.org/licenses/by/4.0/).
Share and Cite
Krassovitskiy, P.M.; Pen’kov, F.M. Three-Dimension Calculation for the Scattering Problem for Non-Spherical Potential. Physics 2024, 6, 368-375. https://doi.org/10.3390/physics6010024
Krassovitskiy PM, Pen’kov FM. Three-Dimension Calculation for the Scattering Problem for Non-Spherical Potential. Physics. 2024; 6(1):368-375. https://doi.org/10.3390/physics6010024
Chicago/Turabian StyleKrassovitskiy, Pavel M., and Fedor M. Pen’kov. 2024. "Three-Dimension Calculation for the Scattering Problem for Non-Spherical Potential" Physics 6, no. 1: 368-375. https://doi.org/10.3390/physics6010024
APA StyleKrassovitskiy, P. M., & Pen’kov, F. M. (2024). Three-Dimension Calculation for the Scattering Problem for Non-Spherical Potential. Physics, 6(1), 368-375. https://doi.org/10.3390/physics6010024
