The Asymmetric Dynamical Casimir Effect
Abstract
1. Introduction
2. Scattering Approach for Mirror in 1+1 Vacuum
2.1. The Static Asymmetric Mirror
2.2. The Time-Varying Asymmetric Mirror
2.2.1. Particle Creation from Fluctuations in Boundary Conditions
2.2.2. Fluctuations in Position:
2.2.3. Fluctuations in Properties:
2.3. General Form of Asymmetric Scattering
- when and ,
- when and ,
- when both and .
- ,
- ,
- ,
2.4. Fluctuations in Properties:
3. Bogoliubov Approach for Mirror in 1+1 Vacuum
3.1. Fluctuating Robin Boundary Condition
| FLUCTUATIONS IN POSITION | FLUCTUATIONS IN PROPERTIES |
| For a moving mirror, the Robin b.c. only holds in the co-moving frame, where is the time-dependent position of the mirror. In the laboratory frame, this equation is
| A mirror with time-dependent boundary conditions modifies the Robin b.c. with first-order corrections to the Robin parameter, giving
|
| This is equivalent to expansions in and its derivatives to the first order:
| Using the fact that both and satisfy the Klein–Gordon equation, we have
|
| Using the following equality | Using the following equality
|
3.2. Moving Asymmetric Robin Boundary
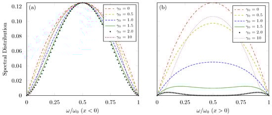
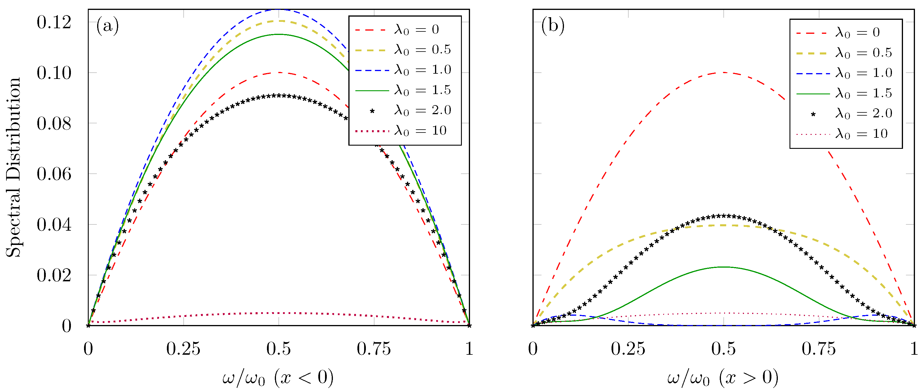
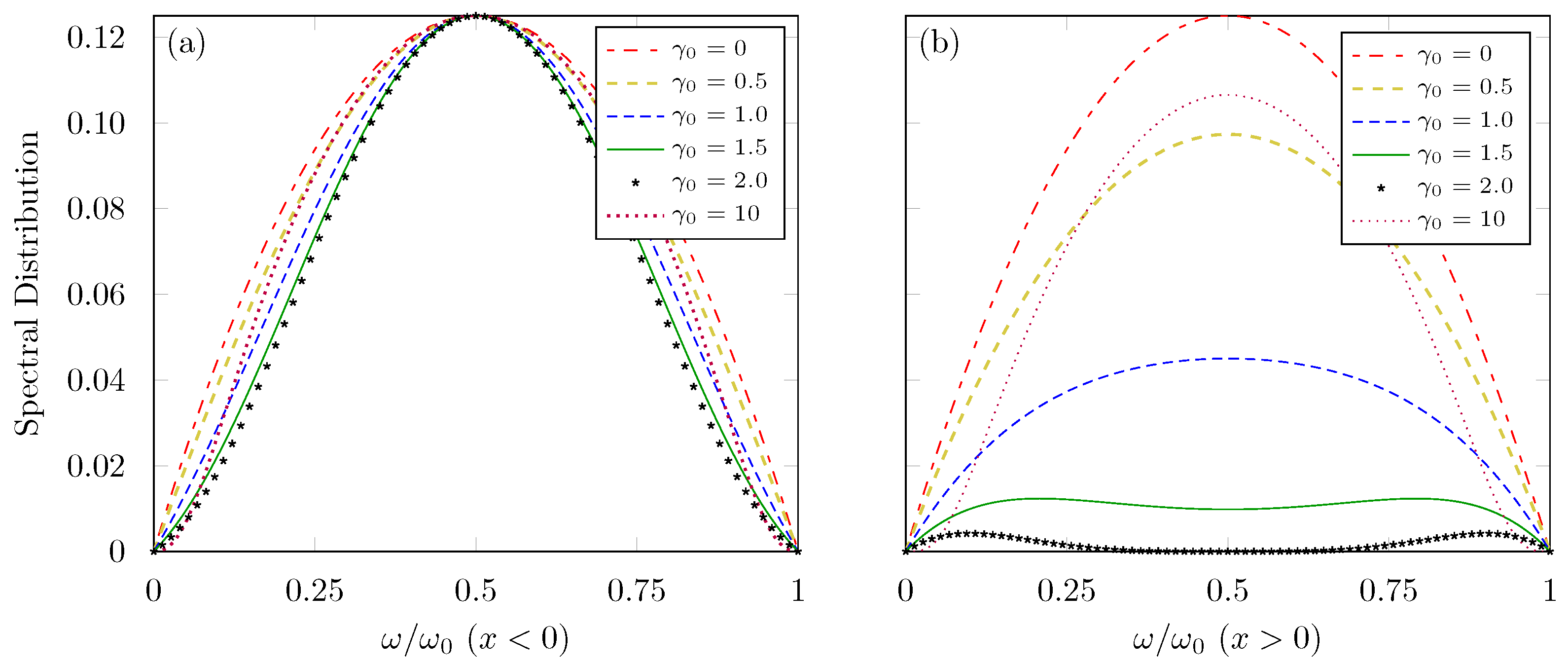
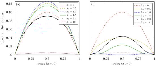
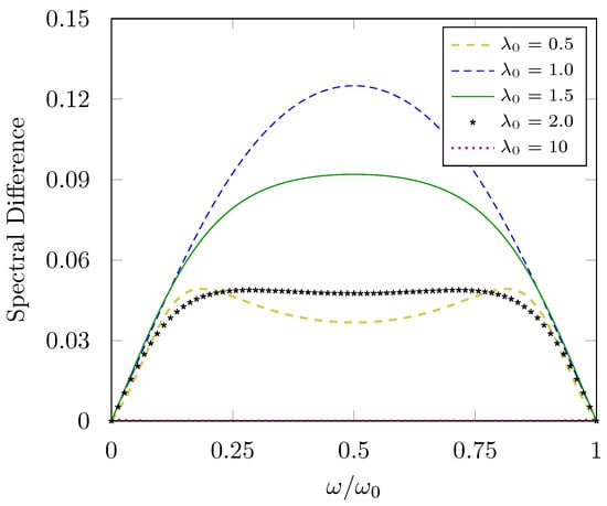
3.2.1. Spectral Distribution
3.2.2. Particle Creation Rate
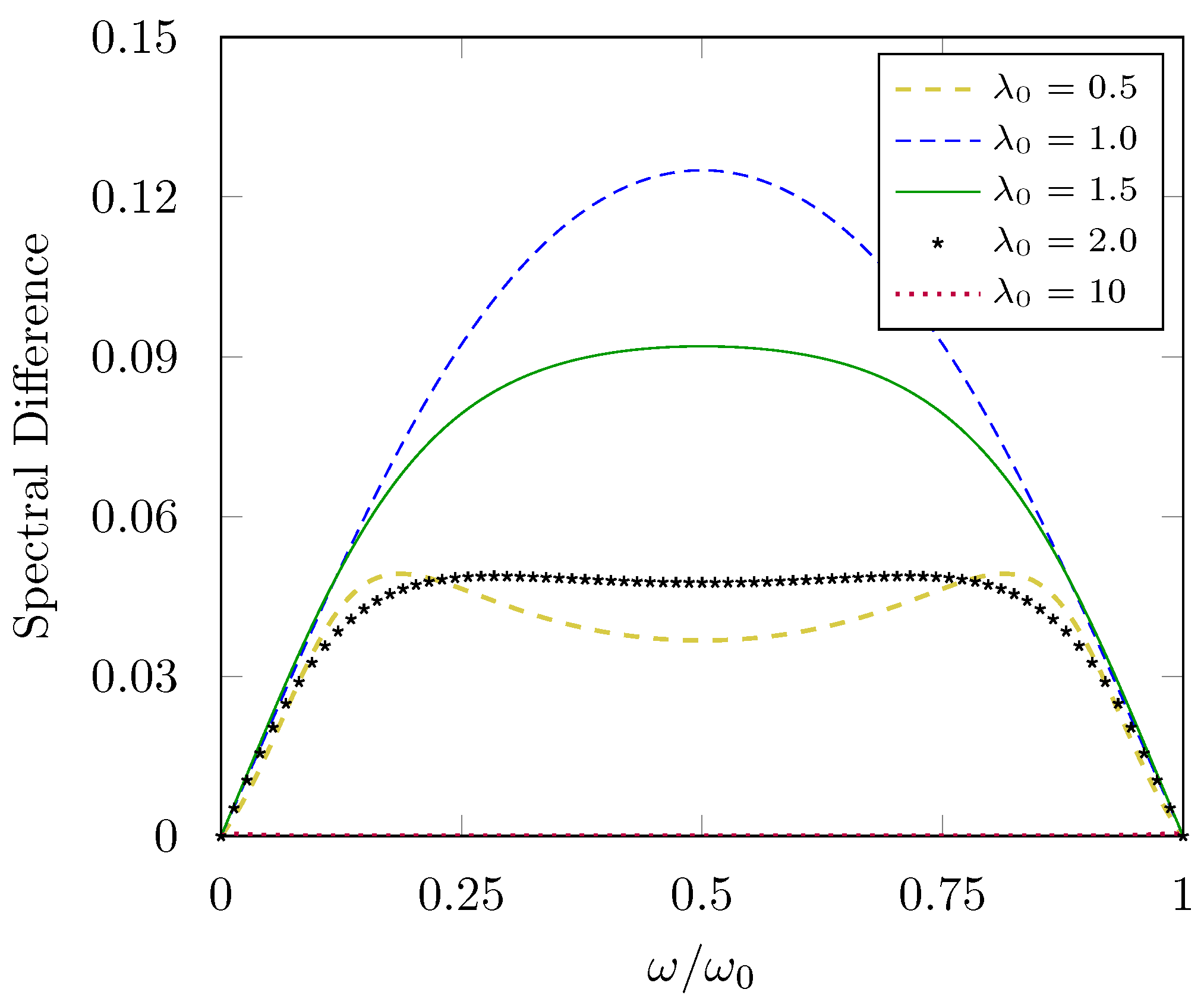
4. Comparison between the Different Approaches
5. Discussion
6. Conclusions
Author Contributions
Funding
Data Availability Statement
Acknowledgments
Conflicts of Interest
Abbreviations
| ADCE | asymmetric dynamical Casimir effect |
| b.c. | boundary condition |
| D | dimension |
| DCE | dynamical Casimir effect |
| SQUID | superconducting quantum interference device |
Appendix A. λ(t) Linear Scattering
- :
- :
References
- Casimir, H.B.G. On the attraction between two perfectly conducting plates. Proc. Kon. Ned. Akad. Wetensch. 1948, 51, 793–795. Available online: https://dwc.knaw.nl/DL/publications/PU00018547.pdf (accessed on 11 March 2023).
- Milton, K.A. The Casimir Effect: Physical Manifestations of Zero-Point Energy; World Scientific Publishing Co. Pte. Ltd.: Singapore, 2001. [Google Scholar] [CrossRef]
- Milonni, P.W.; Shih, M.L. Casimir forces. Contemp. Phys. 1992, 33, 313–322. [Google Scholar] [CrossRef]
- Milton, K.A. The Casimir effect: Recent controversies and progress. J. Phys. Math. Gen. 2004, 37, R209–R277. [Google Scholar] [CrossRef]
- Lamoreaux, S.K. The Casimir force: Background, experiments, and applications. Rep. Prog. Phys. 2004, 68, 201–236. [Google Scholar] [CrossRef]
- Bordag, M.; Klimchitskaya, G.L.; Mohideen, U.; Mostepanenko, V.M. Advances in the Casimir Effect; Oxford University Press: Oxford, UK, 2009. [Google Scholar] [CrossRef]
- Simpson, W.M.; Leonhardt, U.; Simpson, W.M. Forces of the Quantum Vacuum; World Scientific Publishing Co. Pte. Ltd.: Singapore, 2015. [Google Scholar] [CrossRef]
- Palasantzas, G.; Dalvit, D.A.; Decca, R.; Svetovoy, V.B.; Lambrecht, A. Casimir Physics. J. Phys. Condens. Matter 2015, 27, 210301. [Google Scholar] [CrossRef]
- Moore, G.T. Quantum theory of the electromagnetic field in a variable-length one-dimensional cavity. J. Math. Phys. 1970, 11, 2679–2691. [Google Scholar] [CrossRef]
- DeWitt, B.S. Quantum field theory in curved spacetime. Phys. Rep. 1975, 19, 295–357. [Google Scholar] [CrossRef]
- Fulling, S.A.; Davies, P.C. Radiation from a moving mirror in two dimensional space-time: Conformal anomaly. Proc. R. Soc. Lond. Math. Phys. Sci. 1976, 348, 393–414. [Google Scholar] [CrossRef]
- Davies, P.C.; Fulling, S.A. Radiation from moving mirrors and from black holes. Proc. R. Soc. Lond. Math. Phys. Sci. 1977, 356, 237–257. [Google Scholar] [CrossRef]
- Yablonovitch, E. Accelerating reference frame for electromagnetic waves in a rapidly growing plasma: Unruh-Davies-Fulling-DeWitt radiation and the nonadiabatic Casimir effect. Phys. Rev. Lett. 1989, 62, 1742. [Google Scholar] [CrossRef]
- Dodonov, V. Dynamical Casimir effect: Some theoretical aspects. J. Phys. Conf. Ser. 2009, 161, 012027. [Google Scholar] [CrossRef]
- Dodonov, V. Current status of the dynamical Casimir effect. Phys. Scr. 2010, 82, 038105. [Google Scholar] [CrossRef]
- Dodonov, V. Fifty years of the dynamical Casimir effect. Physics 2020, 2, 67–104. [Google Scholar] [CrossRef]
- Maia Neto, P.A. The dynamical Casimir effect with cylindrical waveguides. J. Opt. B Quantum Semiclass. Opt. 2005, 7, S86–S88. [Google Scholar] [CrossRef]
- Mundarain, D.F.; Maia Neto, P.A. Quantum radiation in a plane cavity with moving mirrors. Phys. Rev. A 1998, 57, 1379–1390. [Google Scholar] [CrossRef]
- Eberlein, C. Sonoluminescence as quantum vacuum radiation. Phys. Rev. Lett. 1996, 76, 3842–3845. [Google Scholar] [CrossRef]
- Crocce, M.; Dalvit, D.A.; Lombardo, F.C.; Mazzitelli, F.D. Hertz potentials approach to the dynamical Casimir effect in cylindrical cavities of arbitrary section. J. Opt. B Quantum Semiclass. Opt. 2005, 7, S32–S39. [Google Scholar] [CrossRef]
- Crocce, M.; Dalvit, D.A.; Mazzitelli, F.D. Resonant photon creation in a three-dimensional oscillating cavity. Phys. Rev. A 2001, 64, 013808. [Google Scholar] [CrossRef]
- Dodonov, V.V.; Klimov, A.B. Generation and detection of photons in a cavity with a resonantly oscillating boundary. Phys. Rev. A 1996, 53, 2664–2682. [Google Scholar] [CrossRef]
- Alves, D.T.; Farina, C.; Maia Neto, P.A. Dynamical Casimir effect with Dirichlet and Neumann boundary conditions. J. Phys. A Math. Gen. 2003, 36, 11333–11342. [Google Scholar] [CrossRef]
- Alves, D.T.; Farina, C.; Granhen, E.R. Dynamical Casimir effect in a resonant cavity with mixed boundary conditions. Phys. Rev. A 2006, 73, 063818. [Google Scholar] [CrossRef]
- Alves, D.T.; Granhen, E.R. Energy density and particle creation inside an oscillating cavity with mixed boundary conditions. Phys. Rev. A 2008, 77, 015808. [Google Scholar] [CrossRef]
- Alves, D.T.; Granhen, E.R.; Lima, M.G. Quantum radiation force on a moving mirror with Dirichlet and Neumann boundary conditions for a vacuum, finite temperature, and a coherent state. Phys. Rev. D 2008, 77, 125001. [Google Scholar] [CrossRef]
- Alves, D.T.; Granhen, E.R.; Silva, H.O.; Lima, M.G. Exact behavior of the energy density inside a one-dimensional oscillating cavity with a thermal state. Phys. Lett. A 2010, 374, 3899–3907. [Google Scholar] [CrossRef]
- Good, M.R.R.; Anderson, P.R.; Evans, C.R. Mirror reflections of a black hole. Phys. Rev. D 2016, 94, 065010. [Google Scholar] [CrossRef]
- Good, M.R.R.; Zhakenuly, A.; Linder, E.V. Mirror at the edge of the universe: Reflections on an accelerated boundary correspondence with de Sitter cosmology. Phys. Rev. D 2020, 102, 045020. [Google Scholar] [CrossRef]
- Good, M.R.R.; Lapponi, A.; Luongo, O.; Mancini, S. Quantum communication through a partially reflecting accelerating mirror. Phys. Rev. D 2021, 104, 105020. [Google Scholar] [CrossRef]
- Haro, J.; Elizalde, E. Hamiltonian approach to the dynamical Casimir effect. Phys. Rev. Lett. 2006, 97, 130401. [Google Scholar] [CrossRef]
- Haro, J.; Elizalde, E. Physically sound Hamiltonian formulation of the dynamical Casimir effect. Phys. Rev. D 2007, 76, 065001. [Google Scholar] [CrossRef]
- Jackel, M.-T.; Reynaud, S. Fluctuations and dissipation for a mirror in vacuum. Quantum Opt. J. Eur. Opt. Soc. Part B 1992, 4, 39–53. [Google Scholar] [CrossRef]
- Barton, G.; Eberlein, C. On quantum radiation from a moving body with finite refractive index. Ann. Phys. 1993, 227, 222–274. [Google Scholar] [CrossRef]
- Barton, G.; Calogeracos, A. On the quantum electrodynamics of a dispersive mirror. I. Mass shifts, radiation, and radiative reaction. Ann. Phys. 1995, 238, 227–267. [Google Scholar] [CrossRef]
- Barton, G.; Calogeracos, A. On the quantum electrodynamics of a dispersive mirror. II. The Boundary condition and the applied force via Dirac’s theory of constraints. Ann. Phys. 1995, 238, 268–285. [Google Scholar] [CrossRef]
- Lambrecht, A.; Jaekel, M.-T.; Reynaud, S. Motion induced radiation from a vibrating cavity. Phys. Rev. Lett. 1996, 77, 615–618. [Google Scholar] [CrossRef] [PubMed]
- Obadia, N.; Parentani, R. Notes on moving mirrors. Phys. Rev. D 2001, 64, 044019. [Google Scholar] [CrossRef]
- Nicolaevici, N. Quantum radiation from a partially reflecting moving mirror. Class. Quant. Grav. 2001, 18, 619–628. [Google Scholar] [CrossRef]
- Haro, J.; Elizalde, E. Black hole collapse simulated by vacuum fluctuations with a moving semitransparent mirror. Phys. Rev. D 2008, 77, 045011. [Google Scholar] [CrossRef]
- Nicolaevici, N. Semitransparency effects in the moving mirror model for Hawking radiation. Phys. Rev. D 2009, 80, 125003. [Google Scholar] [CrossRef]
- Fosco, C.D.; Giraldo, A.; Mazzitelli, F.D. Dynamical Casimir effect for semitransparent mirrors. Phys. Rev. D 2017, 96, 045004. [Google Scholar] [CrossRef]
- Dalvit, D.A.R.; Maia Neto, P.A. Decoherence via the dynamical Casimir effect. Phys. Rev. Lett. 2000, 84, 798–801. [Google Scholar] [CrossRef]
- Muñoz-Castañeda, J.M.; Guilarte, J.M. δ-δ′ generalized Robin boundary conditions and quantum vacuum fluctuations. Phys. Rev. D 2015, 91, 025028. [Google Scholar] [CrossRef]
- Braga, A.N.; Silva, J.D.L.; Alves, D.T. Casimir force between δ-δ′ mirrors transparent at high frequencies. Phys. Rev. D 2016, 94, 125007. [Google Scholar] [CrossRef]
- Silva, J.D.L.; Braga, A.N.; Alves, D.T. Dynamical Casimir effect with δ-δ′ mirrors. Phys. Rev. D 2016, 94, 105009. [Google Scholar] [CrossRef]
- Silva, J.D.L.; Braga, A.N.; Rego, A.L.; Alves, D.T. Motion induced by asymmetric excitation of the quantum vacuum. Phys. Rev. D 2020, 102, 125019. [Google Scholar] [CrossRef]
- Rego, A.L.; Braga, A.N.; Silva, J.D.L.; Alves, D.T. Dynamical Casimir effect enhanced by decreasing the mirror reflectivity. Phys. Rev. D 2022, 105, 025013. [Google Scholar] [CrossRef]
- Jaekel, M.T.; Reynaud, S. Casimir force between partially transmitting mirrors. J. Phys. I 1991, 1, 1395–1409. [Google Scholar] [CrossRef]
- Maghrebi, M.F.; Golestanian, R.; Kardar, M. Scattering approach to the dynamical Casimir effect. Phys. Rev. D 2013, 87, 025016. [Google Scholar] [CrossRef]
- Kurasov, P.B.; Scrinzi, A.; Elander, N. δ′ potential arising in exterior complex scaling. Phys. Rev. A 1994, 49, 5095–5097. [Google Scholar] [CrossRef]
- Kurasov, P. Distribution theory for discontinuous test functions and differential operators with generalized coefficients. J. Math. Anal. Appl. 1996, 201, 297–323. [Google Scholar] [CrossRef]
- Gadella, M.; Negro, J.; Nieto, L. Bound states and scattering coefficients of the- aδ(x) + bδ′(x) potential. Phys. Lett. A 2009, 373, 1310–1313. [Google Scholar] [CrossRef]
- Kim, W.J.; Brownell, J.H.; Onofrio, R. Detectability of dissipative motion in quantum vacuum via superradiance. Phys. Rev. Lett. 2006, 96, 200402. [Google Scholar] [CrossRef] [PubMed]
- Brownell, J.H.; Kim, W.J.; Onofrio, R. Modelling superradiant amplification of Casimir photons in very low dissipation cavities. J. Phys. A Math. Theor. 2008, 41, 164026. [Google Scholar] [CrossRef]
- Motazedifard, A.; Dalafi, A.; Naderi, M.; Roknizadeh, R. Controllable generation of photons and phonons in a coupled Bose–Einstein condensate-optomechanical cavity via the parametric dynamical Casimir effect. Ann. Phys. 2018, 396, 202–219. [Google Scholar] [CrossRef]
- Sanz, M.; Wieczorek, W.; Gröblacher, S.; Solano, E. Electro-mechanical Casimir effect. Quantum 2018, 2, 91. [Google Scholar] [CrossRef]
- Qin, W.; Macrì, V.; Miranowicz, A.; Savasta, S.; Nori, F. Emission of photon pairs by mechanical stimulation of the squeezed vacuum. Phys. Rev. A 2019, 100, 062501. [Google Scholar] [CrossRef]
- Butera, S.; Carusotto, I. Mechanical backreaction effect of the dynamical Casimir emission. Phys. Rev. A 2019, 99, 053815. [Google Scholar] [CrossRef]
- Nation, P.B.; Johansson, J.R.; Blencowe, M.P.; Nori, F. Colloquium: Stimulating uncertainty: Amplifying the quantum vacuum with superconducting circuits. Rev. Mod. Phys. 2012, 84, 1–24. [Google Scholar] [CrossRef]
- Wilson, C.M.; Johansson, G.; Pourkabirian, A.; Simoen, M.; Johansson, J.R.; Duty, T.; Nori, F.; Delsing, P. Observation of the dynamical Casimir effect in a superconducting circuit. Nature 2011, 479, 376–379. [Google Scholar] [CrossRef] [PubMed]
- Schützhold, R.; Plunien, G.; Soff, G. Quantum radiation in external background fields. Phys. Rev. A 1998, 58, 1783–1793. [Google Scholar] [CrossRef]
- Dodonov, V.V.; Klimov, A.B.; Nikonov, D.E. Quantum phenomena in nonstationary media. Phys. Rev. A 1993, 47, 4422–4429. [Google Scholar] [CrossRef]
- Braggio, C.; Bressi, G.; Carugno, G.; Del Noce, C.; Galeazzi, G.; Lombardi, A.; Palmieri, A.; Ruoso, G.; Zanello, D. A novel experimental approach for the detection of the dynamical Casimir effect. Europhys. Lett. (EPL) 2005, 70, 754–760. [Google Scholar] [CrossRef]
- De Liberato, S.; Ciuti, C.; Carusotto, I. Quantum vacuum radiation spectra from a semiconductor microcavity with a time-modulated vacuum Rabi frequency. Phys. Rev. Lett. 2007, 98, 103602. [Google Scholar] [CrossRef] [PubMed]
- Günter, G.; Anappara, A.A.; Hees, J.; Sell, A.; Biasiol, G.; Sorba, L.; De Liberato, S.; Ciuti, C.; Tredicucci, A.; Leitenstorfer, A.; et al. Sub-cycle switch-on of ultrastrong light–matter interaction. Nature 2009, 458, 178–181. [Google Scholar] [CrossRef]
- Johansson, J.R.; Johansson, G.; Wilson, C.M.; Nori, F. Dynamical Casimir effect in a superconducting coplanar waveguide. Phys. Rev. Lett. 2009, 103, 147003. [Google Scholar] [CrossRef]
- Wilson, C.M.; Duty, T.; Sandberg, M.; Persson, F.; Shumeiko, V.; Delsing, P. Photon generation in an electromagnetic cavity with a time-dependent boundary. Phys. Rev. Lett. 2010, 105, 233907. [Google Scholar] [CrossRef] [PubMed]
- Dezael, F.X.; Lambrecht, A. Analogue Casimir radiation using an optical parametric oscillator. EPL (Europhys. Lett.) 2010, 89, 14001. [Google Scholar] [CrossRef][Green Version]
- Lähteenmäki, P.; Paraoanu, G.S.; Hassel, J.; Hakonen, P.J. Dynamical Casimir effect in a Josephson metamaterial. Proc. Natl. Acad. Sci. USA 2013, 110, 4234–4238. [Google Scholar] [CrossRef]
- Schneider, B.H.; Bengtsson, A.; Svensson, I.M.; Aref, T.; Johansson, G.; Bylander, J.; Delsing, P. Observation of broadband entanglement in microwave radiation from a single time-varying boundary condition. Phys. Rev. Lett. 2020, 124, 140503. [Google Scholar] [CrossRef]
- Vezzoli, S.; Mussot, A.; Westerberg, N.; Kudlinski, A.; Dinparasti Saleh, H.; Prain, A.; Biancalana, F.; Lantz, E.; Faccio, D. Optical analogue of the dynamical Casimir effect in a dispersion-oscillating fibre. Commun. Phys. 2019, 2, 84. [Google Scholar] [CrossRef]
- Torricelli, G.; van Zwol, P.J.; Shpak, O.; Binns, C.; Palasantzas, G.; Kooi, B.J.; Svetovoy, V.B.; Wuttig, M. Switching Casimir forces with phase-change materials. Phys. Rev. A 2010, 82, 010101. [Google Scholar] [CrossRef]
- Banishev, A.A.; Chang, C.-C.; Castillo-Garza, R.; Klimchitskaya, G.L.; Mostepanenko, V.M.; Mohideen, U. Modifying the Casimir force between indium tin oxide film and Au sphere. Phys. Rev. B 2012, 85, 045436. [Google Scholar] [CrossRef]
- Wegkamp, D.; Stähler, J. Ultrafast dynamics during the photoinduced phase transition in VO2. Prog. Surf. Sci. 2015, 90, 464–502. [Google Scholar] [CrossRef]
- Mogunov, I.A.; Fernández, F.; Lysenko, S.; Kent, A.J.; Scherbakov, A.V.; Kalashnikova, A.M.; Akimov, A.V. Ultrafast insulator-metal transition in VO2 nanostructures assisted by picosecond strain pulses. Phys. Rev. Appl. 2019, 11, 014054. [Google Scholar] [CrossRef]
- Sood, A.; Shen, X.; Shi, Y.; Kumar, S.; Park, S.J.; Zajac, M.; Sun, Y.; Chen, L.-Q.; Ramanathan, S.; Wang, X.; et al. Universal phase dynamics in VO2 switches revealed by ultrafast operando diffraction. Science 2021, 373, 352–355. [Google Scholar] [CrossRef] [PubMed]
- Shabanpour, J.; Beyraghi, S.; Cheldavi, A. Ultrafast reprogrammable multifunctional vanadium-dioxide-assisted metasurface for dynamic THz wavefront engineering. Sci. Rep. 2020, 10, 8950. [Google Scholar] [CrossRef] [PubMed]
- Mintz, B.; Farina, C.; Maia Neto, P.A.; Rodrigues, R.B. Particle creation by a moving boundary with a Robin boundary condition. J. Phys. A Math. Gen. 2006, 39, 11325–11333. [Google Scholar] [CrossRef]
- Mintz, B.; Farina, C.; Maia Neto, P.A.; Rodrigues, R.B. Casimir forces for moving boundaries with Robin conditions. J. Phys. A Math. Gen. 2006, 39, 6559–6565. [Google Scholar] [CrossRef]
- Rego, A.L.; Mintz, B.; Farina, C.; Alves, D.T. Inhibition of the dynamical Casimir effect with Robin boundary conditions. Phys. Rev. D 2013, 87, 045024. [Google Scholar] [CrossRef]
- Ford, L.H.; Vilenkin, A. Quantum radiation by moving mirrors. Phys. Rev. D 1982, 25, 2569–2575. [Google Scholar] [CrossRef]
- Silva, H.O.; Farina, C. Simple model for the dynamical Casimir effect for a static mirror with time-dependent properties. Phys. Rev. D 2011, 84, 045003. [Google Scholar] [CrossRef]
- Mostepanenko, V.M.; Trunov, N.N. Quantum field theory of the Casimir effect for real media. Sov. J. Nucl. Phys. 1985, 42, 818–822. [Google Scholar]
- Farina, C.; Silva, H.O.; Rego, A.L.; Alves, D.T. Time-dependent Robin boundary conditions in the dynamical Casimir effect. Int. J. Mod. Phys. Conf. Ser 2012, 14, 306–315. [Google Scholar] [CrossRef]
- Sinha, S.; Sorkin, R.D. Brownian motion at absolute zero. Phys. Rev. B 1992, 45, 8123–8126. [Google Scholar] [CrossRef] [PubMed]
- Jaekel, M.T.; Reynaud, S. Quantum fluctuations of position of a mirror in vacuum. J. Phys. I France 1993, 3, 1–20. [Google Scholar] [CrossRef]
- Stargen, D.J.; Kothawala, D.; Sriramkumar, L. Moving mirrors and the fluctuation-dissipation theorem. Phys. Rev. D 2016, 94, 025040. [Google Scholar] [CrossRef]
- Wang, Q.; Zhu, Z.; Unruh, W.G. How the huge energy of quantum vacuum gravitates to drive the slow accelerating expansion of the Universe. Phys. Rev. D 2017, 95, 103504. [Google Scholar] [CrossRef]
- Donaire, M. Net force on an asymmetrically excited two-atom system from vacuum fluctuations. Phys. Rev. A 2016, 94, 062701. [Google Scholar] [CrossRef]
- Silva, J.D.L.; Braga, A.N.; Rego, A.L.; Alves, D.T. Interference phenomena in the dynamical Casimir effect for a single mirror with Robin conditions. Phys. Rev. D 2015, 92, 025040. [Google Scholar] [CrossRef]
- Donaire, M.; van Tiggelen, B.; Rikken, G.L.J.A. Casimir momentum of a chiral molecule in a magnetic field. Phys. Rev. Lett. 2013, 111, 143602. [Google Scholar] [CrossRef] [PubMed]
- Donaire, M.; Van Tiggelen, B.A.; Rikken, G.L.J.A. Transfer of linear momentum from the quantum vacuum to a magnetochiral molecule. J. Phys. Cond. Matter 2015, 27, 214002. [Google Scholar] [CrossRef]
- Feigel, A. Quantum vacuum contribution to the momentum of dielectric media. Phys. Rev. Lett. 2004, 92, 020404. [Google Scholar] [CrossRef] [PubMed]
- Croze, O.A. Does the Feigel effect break the first law? arXiv 2013, arXiv:1304.3338. [Google Scholar] [CrossRef]
- Croze, O.A. Alternative derivation of the Feigel effect and call for its experimental verification. Proc. R. Soc. A Math. Phys. Eng. Sci. 2012, 468, 429–447. [Google Scholar] [CrossRef]
- Birkeland, O.J.; Brevik, I. Feigel effect: Extraction of momentum from vacuum? Phys. Rev. E 2007, 76, 066605. [Google Scholar] [CrossRef] [PubMed]





Disclaimer/Publisher’s Note: The statements, opinions and data contained in all publications are solely those of the individual author(s) and contributor(s) and not of MDPI and/or the editor(s). MDPI and/or the editor(s) disclaim responsibility for any injury to people or property resulting from any ideas, methods, instructions or products referred to in the content. |
© 2023 by the authors. Licensee MDPI, Basel, Switzerland. This article is an open access article distributed under the terms and conditions of the Creative Commons Attribution (CC BY) license (https://creativecommons.org/licenses/by/4.0/).
Share and Cite
Gorban, M.J.; Julius, W.D.; Brown, P.M.; Matulevich, J.A.; Cleaver, G.B. The Asymmetric Dynamical Casimir Effect. Physics 2023, 5, 398-422. https://doi.org/10.3390/physics5020029
Gorban MJ, Julius WD, Brown PM, Matulevich JA, Cleaver GB. The Asymmetric Dynamical Casimir Effect. Physics. 2023; 5(2):398-422. https://doi.org/10.3390/physics5020029
Chicago/Turabian StyleGorban, Matthew J., William D. Julius, Patrick M. Brown, Jacob A. Matulevich, and Gerald B. Cleaver. 2023. "The Asymmetric Dynamical Casimir Effect" Physics 5, no. 2: 398-422. https://doi.org/10.3390/physics5020029
APA StyleGorban, M. J., Julius, W. D., Brown, P. M., Matulevich, J. A., & Cleaver, G. B. (2023). The Asymmetric Dynamical Casimir Effect. Physics, 5(2), 398-422. https://doi.org/10.3390/physics5020029

