Tectonic Deformation Analysis with ALOS-Based Digital Elevation Models in the Longshou Shan Mountains (NW China)
Abstract
1. Introduction
1.1. Tectonic and Geologic Context of Longshou Shan
1.2. Overview Seismicity in Longshou Shan and Adjacent Regions
1.3. Seismic Sources and Fault Mechanisms
2. Materials and Methods
2.1. Materials
2.2. Geomorphic Indices and Their Implications
2.2.1. Mountain Front Sinuosity (Smf)
2.2.2. Asymmetry Factor (AF)
2.2.3. Ratio of Valley Floor Width to Valley Height (Vf)
2.2.4. Hypsometric Index (Hi)
2.2.5. Basin Shape Index (Bs)
2.2.6. Longitudinal Profile of River
3. Results
3.1. Mountain Front Sinuosity (Smf)
3.2. Asymmetric Factor (AF)
3.3. Ratio of Valley Floor Width to Valley Height (Vf)
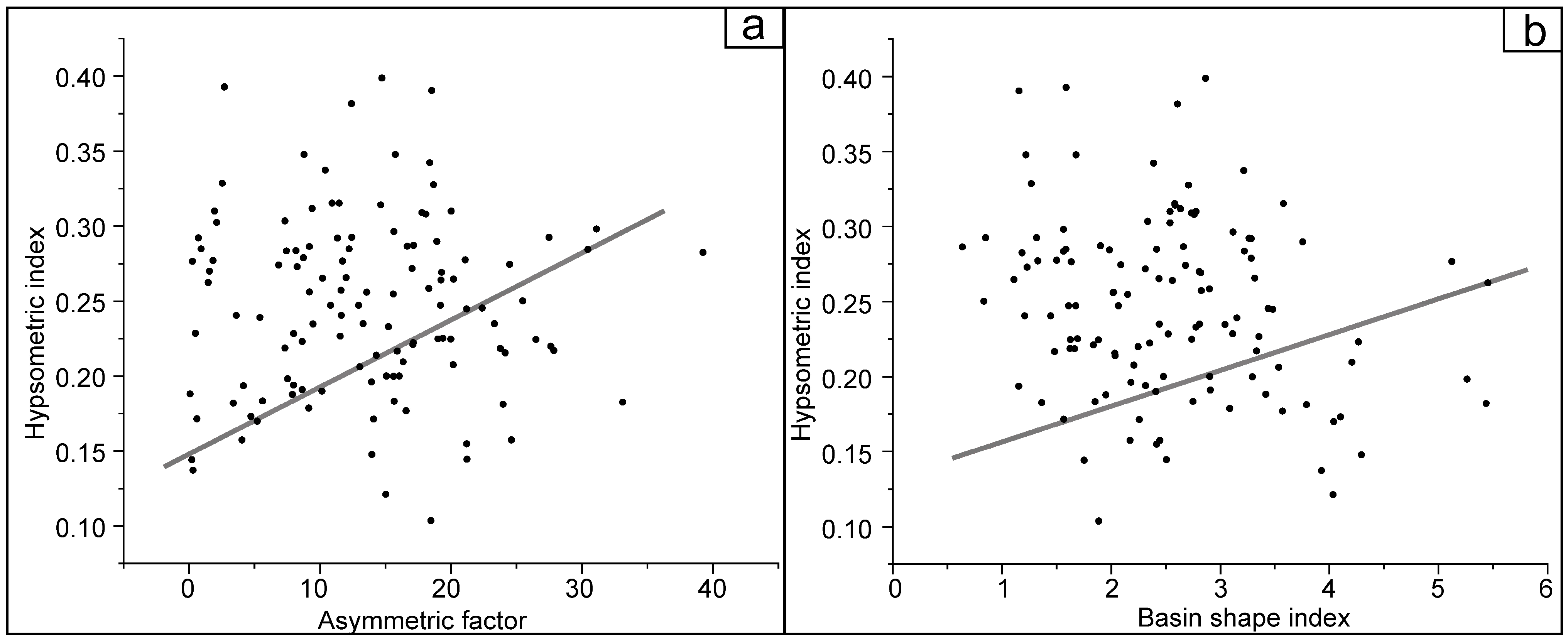
3.4. Hypsometric Index (Hi)
3.5. Basin Shape Index (Bs)
3.6. Longitudinal Profile of River
3.7. Discussion on Relative Index of Tectonic Activity (RIAT)
4. Discussion
4.1. Indications for Tectonic Geomorphology
4.2. Seismic Hazard Assessment in Longshou Shan and Adjacent Regions
4.3. Vulnerability and Risk Implications
4.4. Reliability Analysis
5. Conclusions
Author Contributions
Funding
Data Availability Statement
Acknowledgments
Conflicts of Interest
References
- Molnar, P.; Tapponnier, P. Cenozoic tectonics of Asia: Effects of a continental collision. Science 1975, 189, 419–426. [Google Scholar] [CrossRef]
- Yin, A.; Harrison, T.M. Geologic evolution of the Himalayan-Tibetan Orogen. Annu. Rev. Earth Planet. Sci. 2000, 28, 211–280. [Google Scholar] [CrossRef]
- Tapponnier, P.; Zhiqin, X.; Roger, F.; Meyer, B.; Arnaud, N.; Wittlinger, G.; Jingsui, Y. Oblique stepwise rise and growth of the tibet plateau. Science 2001, 294, 1671–1677. [Google Scholar] [CrossRef] [PubMed]
- Zuza, A.V.; Wu, C.; Wang, Z.; Levy, D.A.; Li, B.; Xiong, X.; Chen, X. Underthrusting and duplexing beneath the northern Tibetan Plateau and the evolution of the Himalayan- Tibetan orogen. Lithosphere 2019, 11, 209–231. [Google Scholar] [CrossRef]
- Meyer, B.; Tapponnier, P.; Bourjot, L.; Métivier, F.; Gaudemer, Y.; Peltzer, G.; Shunmin, G.; Zhitai, C. Crustal thickening in Gansu-Qinghai, lithospheric mantle subduction, and oblique, strike-slip controlled growth of the Tibet Plateau. Geophys. J. Int. 1998, 135, 1–47. [Google Scholar] [CrossRef]
- Tapponnier, P.; Meyer, B.; Avouac, J.P.; Peltzer, G.; Gaudemer, Y.; Guo, S.; Xiang, H.; Yin, K.; Chen, Z.; Cai, S.; et al. Active thrusting and folding in the Qilian Shan, and decoupling between upper crust and mantle in northeastern Tibet. Earth Planet. Sci. Lett. 1990, 97, 382–383. [Google Scholar] [CrossRef]
- Gaudemer, Y.; Tapponnier, P.; Meyer, B.; Peltzer, G.; Shunmin, G.; Zhitai, C.; Huagung, D.; Cifuentes, I. Partitioning of crustal slip between linked, active faults in the eastern Qilian Shan, and evidence for a major seismic gap, the ‘Tianzhu gap’, on the western Haiyuan Fault, Gansu (China). Geophys. J. Int. 1995, 120, 599–645. [Google Scholar] [CrossRef]
- George, A.D.; Marshallsea, S.J.; Wyrwoll, K.H.; Jie, C.; Yanchou, L. Miocene cooling in the northern Qilian Shan, northeastern margin of the Tibetan Plateau, revealed by apatite fission-track and vitrinite-reflectance analysis. Geology 2001, 29, 939–942. [Google Scholar] [CrossRef]
- Zheng, D.; Clark, M.K.; Zhang, P.; Zheng, W.; Farley, K.A. Erosion, fault initiation and topographic growth of the North Qilian Shan (northern Tibetan Plateau). Geosphere 2010, 6, 937–941. [Google Scholar] [CrossRef]
- Wang, W.; Zhang, P.; Yu, J.; Wang, Y.; Zheng, D.; Zheng, W.; Zhang, H.; Pang, J. Constraints on mountain building in the northeastern Tibet: Detrital zircon records from synorogenic deposits in the Yumen Basin. Sci. Rep. 2016, 6, 27604. [Google Scholar] [CrossRef]
- Zheng, D.; Wang, W.; Wan, J.; Yuan, D.; Liu, C.; Zheng, W.; Zhang, H.; Pang, J.; Zhang, P. Progressive northward growth of the northern Qilian Shan-Hexi Corridor (northeastern Tibet) during the Cenozoic. Lithosphere 2017, 9, 408–416. [Google Scholar] [CrossRef]
- Zhuang, G.; Johnstone, S.A.; Hourigan, J.; Ritts, B.; Robinson, A.; Sobel, E.R. Understanding the geologic evolution of Northern Tibetan Plateau with multiple thermochronometers. Gondwana Res. 2018, 58, 195–210. [Google Scholar] [CrossRef]
- Hu, X.; Chen, D.; Pan, B.; Chen, J.; Zhang, J.; Chang, J.; Gong, C.; Zhao, Q. Sedimentary evolution of the foreland basin in the NE Tibetan Plateau and the growth of the Qilian Shan since 7 Ma. Bull. Geol. Soc. Am. 2019, 131, 1744–1760. [Google Scholar] [CrossRef]
- Pang, J.; Yu, J.; Zheng, D.; Wang, Y.; Zhang, H.; Li, C.; Wang, W.; Hao, Y. Constraints of new apatite fission-track ages on the tectonic pattern and geomorphic development of the northern margin of the Tibetan Plateau. J. Asian Earth Sci. 2019, 181, 103909. [Google Scholar] [CrossRef]
- Zhao, D.; Qu, C.; Bürgmann, R.; Shan, X. Characterizing Deep, Shallow, and Surface Fault Zone Deformation of the 2021 Mw 7.4 Maduo, China, Earthquake. Seismol. Res. Lett. 2024, 95, 277–287. [Google Scholar] [CrossRef]
- Fang, X.; Zhao, Z.; Li, J.; Yan, M.; Pan, B.; Song, C.; Dai, S. Magnetostratigraphy of the late Cenozoic Laojunmiao anticline in the northern Qilian Mountains and its implications for the northern Tibetan Plateau uplift. Sci. China Ser. D Earth Sci. 2005, 48, 1040–1051. [Google Scholar] [CrossRef]
- Bovet, P.M.; Ritts, B.D.; Gehrels, G.; Abbink, A.O.; Darby, B.; Hourigan, J. Evidence of miocene crustal shortening in the North Qilian Shan from cenozoic stratigraphy of the Western Hexi Corridor, Gansu Province, China. Am. J. Sci. 2009, 309, 290–329. [Google Scholar] [CrossRef]
- Palumbo, L.; Hetzel, R.; Tao, M.; Li, X.; Guo, J. Deciphering the rate of mountain growth during topographic presteady state: An example from the NE margin of the Tibetan Plateau. Tectonics 2009, 28, TC4017. [Google Scholar] [CrossRef]
- Hu, X.; Wu, J.; Wen, Z.; Zhang, J.; Zhao, Q.; Pan, B. Fluvial evolution in a growing thrust-fold range of the Yumu Shan, NE Tibetan Plateau. Earth Planet. Sci. Lett. 2022, 594, 117704. [Google Scholar] [CrossRef]
- Zheng, W.-J.; Zhang, H.-P.; Zhang, P.-Z.; Peter, M.; Liu, X.-W.; Yuan, D.-Y. Late quaternary slip rates of the thrust faults in western hexi corridor (Northern Qilian Shan, China) and their implications for northeastward growth of the tibetan plateau. Geosphere 2013, 9, 342–354. [Google Scholar] [CrossRef]
- Zheng, W.J.; Zhang, P.Z.; Ge, W.P.; Molnar, P.; Zhang, H.P.; Yuan, D.Y.; Liu, J.H. Late Quaternary slip rate of the South Heli Shan Fault (northern Hexi Corridor, NW China) and its implications for northeastward growth of the Tibetan Plateau. Tectonics 2013, 32, 271–293. [Google Scholar] [CrossRef]
- Cheng, F.; Garzione, C.N.; Mitra, G.; Jolivet, M.; Guo, Z.; Lu, H.; Li, X.; Zhang, B.; Zhang, C.; Zhang, H.; et al. The interplay between climate and tectonics during the upward and outward growth of the Qilian Shan orogenic wedge, northern Tibetan Plateau. Earth-Sci. Rev. 2019, 198, 102945. [Google Scholar] [CrossRef]
- Dewey, J.F.; Burke, K.C.A. Tibetan, Variscan, and Precambrian Basement Reactivation: Products of Continental Collision. J. Geol. 1973, 81, 683–692. [Google Scholar] [CrossRef]
- England, P.; Molnar, P. The field of crustal velocity in Asia calculated from Quaternary rates of slip on faults. Geophys. J. Int. 1997, 130, 551–582. [Google Scholar] [CrossRef]
- Yang, H.; Li, A.; Cunningham, D.; Yang, X.; Zhan, Y.; Chen, Z.; Hu, Z.; Zuo, Y.; Miao, S.; Sun, X.; et al. An Evolving Lithospheric-Scale Wrench Fault System Along the Eastern End of the Altyn Tagh Fault: Kinematics and Quaternary Activity of the Heishan Fault System, Western China. Tectonics 2023, 42, e2023TC007764. [Google Scholar] [CrossRef]
- Darby, B.J.; Ritts, B.D.; Yue, Y.; Meng, Q. Did the Altyn Tagh fault extend beyond the Tibetan Plateau? Earth Planet. Sci. Lett. 2005, 240, 425–435. [Google Scholar] [CrossRef]
- Tapponnier, P.; Peltzer, G.; Le Dain, A.Y.; Armijo, R.; Cobbold, P. Propagating extrusion tectonics in Asia: New insights from simple experiments with plasticine. Geology 1982, 10, 611–616. [Google Scholar] [CrossRef]
- Avouac, J.-P.; Tapponnier, P. Kinematic model of active deformation in central Asia. Search 1993, 20, 895–898. [Google Scholar] [CrossRef]
- Hetzel, R.; Tao, M.; Niedermann, S.; Strecker, M.R.; Ivy-Ochs, S.; Kubik, P.W.; Gao, B. Implications of the fault scaling law for the growth of topography: Mountain ranges in the broken foreland of north-east Tibet. Terra Nov. 2004, 16, 157–162. [Google Scholar] [CrossRef]
- Hetzel, R.; Niedermann, S.; Tao, M.; Kubik, P.W.; Ivy-Ochsk, S.; Gao, B.; Strecker, M.R. Low slip rates and long-term preservation of geomorphic features in Central Asia. Nature 2002, 417, 428–432. [Google Scholar] [CrossRef]
- Yuan, D.Y.; Ge, W.P.; Chen, Z.W.; Li, C.Y.; Wang, Z.C.; Zhang, H.P.; Zhang, P.Z.; Zheng, D.W.; Zheng, W.J.; Craddock, W.H.; et al. The growth of northeastern Tibet and its relevance to large-scale continental geodynamics: A review of recent studies. Tectonics 2013, 32, 1358–1370. [Google Scholar] [CrossRef]
- Hu, X.; Ji, X.; Cao, X.; Chen, J.; Pan, B. Test on the Reliability of the Subsurface Fault Geometry Estimated by Deformed River Terraces Along the Bailang River, North Front of the Qilian Shan (North West China). Front. Earth Sci. 2021, 9, 665047. [Google Scholar] [CrossRef]
- Trabant, C.; Hutko, A.R.; Bahavar, M.; Karstens, R.; Ahern, T.; Aster, R. Data products at the IRIS DMC: Stepping stones for research and other applications. Seismol. Res. Lett. 2012, 83, 846–854. [Google Scholar] [CrossRef]
- Gu, G.; Lin, T.; Shi, Z. China Earthquake Catalog; Science Press: Beijing, China, 1983. (In Chinese) [Google Scholar]
- Lanzhou Institute of Seismology, China Earthquake Administration. Catalogue of Strong Earthquakes in Shaanxi, Gansu, Ningxia and Qinghai; Shaanxi Science and Technology Press: Xi’an, China, 1985. (In Chinese) [Google Scholar]
- Earthquake Disaster Prevention Department CEA. Catalogue of Modern Earthquakes in China (1912~1990, MS ≥ 4.7); China Science and Technology Press: Beijing, China, 1999. (In Chinese) [Google Scholar]
- Institute of Seismology, China Earthquake Administration and Lanzhou Institute of Geology CEA. QilianShan-Hexi Corridor Active Fault System; Seismological Press: Beijing, China, 1993. (In Chinese) [Google Scholar]
- Washburn, Z.; Arrowsmith, J.R.; Forman, S.L.; Cowgill, E.; Xiaofeng, W.; Yueqiao, Z.; Zhengle, C. Late Holocene earthquake history of the central Altyn Tagh fault, China. Geology 2001, 29, 1051–1054. [Google Scholar] [CrossRef]
- Xu, X.; Yeats, R.S.; Yu, G. Five short historical earthquake surface ruptures near the Silk Road, Gansu Province, China. Bull. Seismol. Soc. Am. 2010, 100, 541–561. [Google Scholar] [CrossRef]
- Shao, Y.; Liu-Zeng, J.; Oskin, M.E.; Elliott, A.J.; Wang, P.; Zhang, J.; Yuan, Z.; Li, Z. Paleoseismic Investigation of the Aksay Restraining Double Bend, Altyn Tagh Fault, and Its Implication for Barrier-Breaching Ruptures. J. Geophys. Res. Solid Earth 2018, 123, 4307–4330. [Google Scholar] [CrossRef]
- Pinzon, N.; Klinger, Y.; Xu, X.; Tapponnier, P.; Liu-Zeng, J.; Van Der Woerd, J.; Li, K.; Gao, M. Spatiotemporal Clustering of Large Earthquakes Along the Central-Eastern Sections of the Altyn Tagh Fault, China. J. Geophys. Res. Solid Earth 2024, 129, e2024JB028912. [Google Scholar] [CrossRef]
- Zheng, W.J.; Zhang, Z.Q.; Zhang, P.Z.; Liu, X.W.; Guo, X.; Pang, J.Z.; Ge, W.P.; Yu, J.X. Seismogenic structure and mechanism of the 1954 M 71/4 Shandan Earthquake, Gansu Province, Western China. Acta Geophys. Sin. 2013, 56, 916–928. [Google Scholar] [CrossRef]
- Ren, J.; Xu, X.; Zhang, S.; Ding, R.; Liu, H.; Liang, O.; Zhao, J. Late Quaternary slip rates and Holocene paleoearthquakes of the eastern Yumu Shan fault, northeast Tibet: Implications for kinematic mechanism and seismic hazard. J. Asian Earth Sci. 2019, 176, 42–56. [Google Scholar] [CrossRef]
- Lei, J.; Li, Y.; Oskin, M.E.; Wang, Y.; Xiong, J.; Xin, W.; Hu, X.; Zhong, Y.; Liu, F. Segmented Thrust Faulting: Example From the Northeastern Margin of the Tibetan Plateau. J. Geophys. Res. Solid Earth 2020, 125, e2019JB018634. [Google Scholar] [CrossRef]
- Yang, H.; Wang, D.; Guo, R.; Xie, M.; Zang, Y.; Wang, Y.; Yao, Q.; Cheng, C.; An, Y.; Zhang, Y. Rapid report of the 8 January 2022 MS 6.9 Menyuan earthquake, Qinghai, China. Earthq. Res. Adv. 2022, 2, 100113. [Google Scholar] [CrossRef]
- Li, Z.; Xu, X.; Tapponnier, P.; Chen, G.; Li, K.; Luo, J.; Cheng, J.; Kang, W. Post-20 ka Earthquake Scarps Along NE-Tibet’s Qilian Shan Frontal Thrust: Multi-Millennial Return, ∼Characteristic Co-Seismic Slip, and Geological Rupture Control. J. Geophys. Res. Solid Earth 2021, 126, e2021JB021889. [Google Scholar] [CrossRef]
- Li, Z.; Xu, X.; Tapponnier, P.; Chen, G.; Ren, J.; Li, K.; Cheng, J.; Kang, W.; Luo, J. Long, Regular Return of Four Large Earthquakes on Qilian Shan’s Minle-Damaying Frontal Thrust (NE Tibet): Partial Clustering With Great Events on the Leng Long Ling Fault? J. Geophys. Res. Solid Earth 2022, 127, e2021JB022800. [Google Scholar] [CrossRef]
- Yang, H.; Yang, X.; Zhang, H.; Huang, X.; Huang, W.; Zhang, N. Active fold deformation and crustal shortening rates of the Qilian Shan Foreland Thrust Belt, NE Tibet, since the Late Pleistocene. Tectonophysics 2018, 742–743, 84–100. [Google Scholar] [CrossRef]
- Cheng, F.; Jolivet, M.; Fu, S.; Zhang, C.; Zhang, Q.; Guo, Z. Large-scale displacement along the Altyn Tagh Fault (North Tibet) since its Eocene initiation: Insight from detrital zircon U-Pb geochronology and subsurface data. Tectonophysics 2016, 677–678, 261–279. [Google Scholar] [CrossRef]
- Heidbach, O.; Rajabi, M.; Reiter, K.; Ziegler, M. World Stress Map 2016; GFZ Data Services: Potsdam, Germany, 2016. [Google Scholar] [CrossRef]
- Horton, B.Y.R.E. Erosional development of streams and their drainage basins; Hydrophysical approach to quantitative morphology. Bull. Geol. Soc. Am. 1945, 56, 275–370. [Google Scholar] [CrossRef]
- Strahler, A. Quantitative Analysis of Watershed Geomorphology, Transactions of the American Geophysical Union. Trans. Am. Geophys. Union 1957, 38, 913–920. [Google Scholar]
- Keller, E.A. Investigation of active tectonics: Use of surficial earth processes. In Active Tectonics: Impact on Society; The National Academies Press: Washington, DC, USA, 1986; Volume 1, pp. 136–147. [Google Scholar]
- Bull, W.B. Tectonic Geomorphology of Mountains; Wiley: Hoboken, NJ, USA, 2007. [Google Scholar] [CrossRef]
- Keller, E.S.; Pinter, N. Active Tectonics of Upper Seddle River; Prentice Hall: Hoboken, NJ, USA, 1996; Volume 19, p. 359. [Google Scholar]
- Anand, A.K.; Pradhan, S.P. Assessment of active tectonics from geomorphic indices and morphometric parameters in part of Ganga basin. J. Mt. Sci. 2019, 16, 1943–1961. [Google Scholar] [CrossRef]
- Strahler, A.N. Hypsometric (area-altitude) analysis of erosional topography. Geol. Soc. Am. Bull. 1952, 63, 1117–1142. [Google Scholar] [CrossRef]
- El Hamdouni, R.; Irigaray, C.; Fernández, T.; Chacón, J.; Keller, E.A. Assessment of relative active tectonics, southwest border of the Sierra Nevada (southern Spain). Geomorphology 2008, 96, 150–173. [Google Scholar] [CrossRef]
- Kumar, N.; Dumka, R.K.; Mohan, K.; Chopra, S. Relative active tectonics evaluation using geomorphic and drainage indices, in Dadra and Nagar Haveli, western India. Geod. Geodyn. 2022, 13, 219–229. [Google Scholar] [CrossRef]
- Mahmood, S.A.; Gloaguen, R. Appraisal of active tectonics in Hindu Kush: Insights from DEM derived geomorphic indices and drainage analysis. Geosci. Front. 2012, 3, 407–428. [Google Scholar] [CrossRef]
- Hack, J.T. Stream-profile analysis and stream-gradient index. J. Res. US Geol. Surv. 1973, 1, 421–429. [Google Scholar]
- Gao, M.; Zeilinger, G.; Xu, X.; Wang, Q.; Hao, M. DEM and GIS analysis of geomorphic indices for evaluating recent uplift of the northeastern margin of the Tibetan Plateau, China. Geomorphology 2013, 190, 61–72. [Google Scholar] [CrossRef]
- Castillo, M.; Muñoz-Salinas, E.; Ferrari, L. Response of a landscape to tectonics using channel steepness indices (ksn) and OSL: A case of study from the Jalisco Block, Western Mexico. Geomorphology 2014, 221, 204–214. [Google Scholar] [CrossRef]
- Wobus, C.; Whipple, K.X.; Kirby, E.; Snyder, N.; Johnson, J.; Spyropolou, K.; Crosby, B.; Sheehan, D. Tectonics from topography: Procedures, promise, and pitfalls. Spec. Pap. Geol. Soc. Am. 2006, 398, 55–74. [Google Scholar] [CrossRef]
- Wang, J.; Hu, Z.; Pan, B.; Li, M.; Dong, Z.; Li, X.; Li, X.; Bridgland, D. Spatial distribution pattern of channel steepness index as evidence for di ff erential rock uplift along the eastern Altun Shan on the northern Tibetan Plateau. Glob. Planet. Change 2019, 181, 102979. [Google Scholar] [CrossRef]
- Burbank, D.W.; Anderson, R.S. Tectonic Geomorphology; Wiley: Hoboken, NJ, USA, 2013. [Google Scholar] [CrossRef]
- DiBiase, R.A.; Whipple, K.X.; Heimsath, A.M.; Ouimet, W.B. Landscape form and millennial erosion rates in the San Gabriel Mountains, CA. Earth Planet. Sci. Lett. 2010, 289, 134–144. [Google Scholar] [CrossRef]
- Bishop, P.; Hoey, T.B.; Jansen, J.D.; Lexartza Artza, I. Knickpoint recession rate and catchment area: The case of uplifted rivers in Eastern Scotland. Earth Surf. Process. Landf. 2005, 30, 767–778. [Google Scholar] [CrossRef]
- Berlin, M.M.; Anderson, R.S. Modeling of knickpoint retreat on the Roan Plateau, western Colorado. J. Geophys. Res. Earth Surf. 2007, 112, F03S06. [Google Scholar] [CrossRef]
- Zhang, P.Z.; Shen, Z.; Wang, M.; Gan, W.; Bürgmann, R.; Molnar, P.; Wang, Q.; Niu, Z.; Sun, J.; Wu, J.; et al. Continuous deformation of the Tibetan Plateau from global positioning system data. Geology 2004, 32, 809–812. [Google Scholar] [CrossRef]
- Zheng, W.; Zhang, P.; He, W.; Yuan, D.; Shao, Y.; Zheng, D.; Ge, W.; Min, W. Transformation of displacement between strike-slip and crustal shortening in the northern margin of the Tibetan Plateau: Evidence from decadal GPS measurements and late Quaternary slip rates on faults. Tectonophysics 2013, 584, 267–280. [Google Scholar] [CrossRef]
- Li, Y.; Wang, C.; Dai, J.; Xu, G.; Hou, Y.; Li, X. Propagation of the deformation and growth of the Tibetan-Himalayan orogen: A review. Earth Sci. Rev. 2015, 143, 36–61. [Google Scholar] [CrossRef]
- Zuza, A.V.; Cheng, X.; Yin, A. Testing models of Tibetan Plateau formation with Cenozoic shortening estimates across the Qilian Shan-Nan Shan thrust belt. Geosphere 2016, 12, 501–532. [Google Scholar] [CrossRef]
- Gan, W.; Zhang, P.; Shen, Z.K.; Niu, Z.; Wang, M.; Wan, Y.; Zhou, D.; Cheng, J. Present-day crustal motion within the Tibetan Plateau inferred from GPS measurements. J. Geophys. Res. Solid Earth 2007, 112, B08416. [Google Scholar] [CrossRef]
- Yang, S. Structural Characteristics and Oil and Gas Prospects of the Thrust Belt in the Northern Margin of Qilian Shan; Science Press: Beijing, China, 2007. (In Chinese) [Google Scholar]
- Yin, Z.; Xu, S. Study on Geomorphology and Cartography of Qilian Shan Region; Science Press: Beijing, China, 1992. (In Chinese) [Google Scholar]
- Hetzel, R.; Tao, M.; Stokes, S.; Niedermann, S.; Ivy-Ochs, S.; Gao, B.; Strecker, M.R.; Kubik, P.W. Late Pleistocene/Holocene slip rate of the Zhangye thrust (Qilian Shan, China) and implications for the active growth of the northeastern Tibetan Plateau. Tectonics 2004, 23, TC6006. [Google Scholar] [CrossRef]
- Cao, X.; Hu, X.; Pan, B.; Zhang, J.; Wang, W.; Mao, J.; Liu, X. A fluvial record of fault-propagation folding along the northern Qilian Shan front, NE Tibetan Plateau. Tectonophysics 2019, 755, 35–46. [Google Scholar] [CrossRef]
- Zhong, Y.; Xiong, J.; Li, Y.; Zheng, W.; Zhang, P.; Lu, H.; Liu, Q.; Lei, J.; Chen, G.; Gong, Z.; et al. Constraining Late Quaternary Crustal Shortening in the Eastern Qilian Shan From Deformed River Terraces. J. Geophys. Res. Solid Earth 2020, 125, e2020JB020631. [Google Scholar] [CrossRef]
- Zhang, P.Z.; Molnar, P.; Xu, X. Late Quaternary and present-day rates of slip along the Altyn Tagh Fault, northern margin of the Tibetan Plateau. Tectonics 2007, 26, TC5010. [Google Scholar] [CrossRef]
- King, G.; Nábělek, J. Role of fault bends in the initiation and termination of earthquake rupture. Science 1985, 228, 984–987. [Google Scholar] [CrossRef]
- Crowley, K.; Elliott, J.R. Earthquake disasters and resilience in the global north: Lessons from New Zealand and Japan. Geogr. J. 2012, 178, 208–215. [Google Scholar] [CrossRef]
- Pei, Y.; Qiu, H.; Hu, S.; Yang, D.; Zhang, Y.; Ma, S.; Cao, M. Appraisal of Tectonic-Geomorphic Features in the Hindu Kush- Himalayas. Earth Sp. Sci. 2021, 8, e2020EA001386. [Google Scholar] [CrossRef]









| Basin | AF | Hi | Bs | Smf | Vf | Basin | AF | Hi | Bs | Smf | Vf |
|---|---|---|---|---|---|---|---|---|---|---|---|
| N1 | 10.81 | 0.25 | 1.68 | 1.27 | S1 | 15.66 | 0.18 | 1.85 | 1.19 | ||
| N2 | 15.76 | 0.35 | 1.68 | 1.27 | 0.68 | S2 | 10.93 | 0.32 | 3.58 | 1.19 | |
| N3 | 14.63 | 0.31 | 2.59 | 1.27 | 0.43 | S3 | 8.65 | 0.22 | 4.27 | 1.19 | |
| N4 | 12.94 | 0.25 | 1.61 | 1.27 | S4 | 17.77 | 0.31 | 2.74 | 1.19 | ||
| N5 | 12.41 | 0.38 | 2.61 | 1.27 | S5 | 8.16 | 0.28 | 3.22 | 1.19 | ||
| N6 | 1.83 | 0.28 | 1.33 | 1.27 | S6 | 24.48 | 0.27 | 2.09 | 1.39 | 0.51 | |
| N7 | 7.99 | 0.19 | 2.31 | 1.27 | S7 | 18.30 | 0.26 | 2.90 | 1.39 | 0.92 | |
| N8 | 17.14 | 0.29 | 1.90 | 1.27 | S8 | 17.04 | 0.27 | 2.31 | 1.39 | ||
| N9 | 4.04 | 0.16 | 2.17 | 1.27 | S9 | 10.40 | 0.34 | 3.21 | 1.39 | 0.67 | |
| N10 | 5.21 | 0.17 | 4.04 | 1.27 | S10 | 19.28 | 0.27 | 2.82 | 1.39 | ||
| N11 | 21.22 | 0.14 | 2.51 | 1.27 | S11 | 0.49 | 0.23 | 3.11 | 1.39 | ||
| N12 | 12.43 | 0.29 | 1.32 | 1.27 | 1.04 | S12 | 39.24 | 0.28 | 1.18 | 1.39 | 1.44 |
| N13 | 7.33 | 0.30 | 2.34 | 1.27 | S13 | 2.69 | 0.39 | 1.59 | 1.39 | ||
| N14 | 5.62 | 0.18 | 2.75 | 1.27 | S14 | 2.54 | 0.33 | 1.27 | 1.39 | 0.70 | |
| N15 | 20.00 | 0.31 | 2.54 | 1.27 | S15 | 4.15 | 0.19 | 1.15 | 1.39 | ||
| N16 | 13.04 | 0.21 | 3.53 | 1.27 | S16 | 1.56 | 0.27 | 2.81 | 1.39 | 3.33 | |
| N17 | 11.99 | 0.27 | 3.32 | 1.27 | 0.76 | S17 | 5.42 | 0.24 | 3.15 | 1.39 | |
| N18 | 0.61 | 0.17 | 1.57 | 1.27 | S18 | 20.16 | 0.21 | 2.21 | 1.19 | 2.01 | |
| N19 | 10.14 | 0.19 | 2.41 | 1.27 | S19 | 8.79 | 0.35 | 1.22 | 1.19 | 3.40 | |
| N20 | 7.32 | 0.22 | 1.62 | 1.27 | S20 | 11.63 | 0.24 | 1.21 | 1.19 | 1.42 | |
| N21 | 9.20 | 0.29 | 0.64 | 1.27 | 0.81 | S21 | 2.11 | 0.30 | 2.54 | 1.19 | 2.93 |
| N22 | 33.11 | 0.18 | 1.36 | 1.27 | S22 | 8.26 | 0.27 | 1.23 | 1.44 | ||
| N23 | 15.59 | 0.25 | 2.15 | 1.12 | S23 | 16.05 | 0.20 | 2.48 | 1.44 | ||
| N24 | 15.22 | 0.23 | 2.78 | 1.12 | S24 | 11.60 | 0.26 | 2.83 | 1.44 | ||
| N25 | 13.92 | 0.20 | 2.18 | 1.12 | S25 | 15.62 | 0.20 | 3.29 | 1.44 | ||
| N26 | 11.47 | 0.32 | 2.58 | 1.12 | S26 | 15.07 | 0.20 | 2.90 | 1.44 | ||
| N27 | 23.98 | 0.18 | 3.79 | 1.12 | S27 | 13.29 | 0.23 | 2.81 | 1.44 | ||
| N28 | 19.25 | 0.26 | 2.56 | 1.15 | S28 | 16.34 | 0.21 | 4.21 | 1.44 | ||
| N29 | 0.21 | 0.14 | 1.75 | 1.15 | S29 | 11.53 | 0.23 | 3.35 | 1.44 | ||
| N30 | 6.85 | 0.27 | 2.68 | 1.15 | S30 | 13.95 | 0.15 | 4.29 | 1.44 | ||
| N31 | 25.48 | 0.25 | 0.83 | 1.15 | S31 | 16.57 | 0.18 | 3.57 | 1.44 | ||
| N32 | 18.52 | 0.39 | 1.16 | 1.15 | S32 | 7.52 | 0.20 | 5.26 | 1.44 | ||
| N33 | 24.14 | 0.22 | 2.03 | 1.15 | 2.73 | S33 | 24.62 | 0.16 | 2.45 | 1.44 | |
| N34 | 4.73 | 0.17 | 4.10 | 1.15 | S34 | 15.64 | 0.30 | 3.12 | 1.44 | ||
| N35 | 31.10 | 0.30 | 1.56 | 1.15 | S35 | 11.73 | 0.28 | 5.12 | 1.44 | ||
| N36 | 0.31 | 0.14 | 3.93 | 1.15 | S36 | 9.47 | 0.23 | 3.04 | 1.44 | ||
| N37 | 3.39 | 0.18 | 5.44 | 1.15 | S37 | 17.11 | 0.22 | 2.35 | 1.44 | ||
| N38 | 14.08 | 0.17 | 2.26 | 1.15 | S38 | 18.08 | 0.31 | 2.76 | 1.44 | ||
| N39 | 1.95 | 0.31 | 2.78 | 1.15 | 2.75 | S39 | 14.29 | 0.21 | 2.04 | 1.44 | |
| N40 | 23.31 | 0.23 | 2.44 | 1.15 | S40 | 3.61 | 0.24 | 1.45 | 1.44 | ||
| N41 | 12.22 | 0.28 | 1.59 | 1.24 | S41 | 19.02 | 0.22 | 2.74 | 1.44 | ||
| N42 | 13.56 | 0.26 | 2.02 | 1.24 | 1.07 | S42 | 0.07 | 0.19 | 3.42 | 1.44 | |
| N43 | 14.72 | 0.40 | 2.86 | 1.24 | S43 | 0.26 | 0.28 | 1.63 | 1.39 | ||
| N44 | 27.85 | 0.22 | 3.33 | 1.24 | S44 | 9.19 | 0.26 | 2.02 | 1.39 | ||
| N45 | 7.88 | 0.19 | 1.95 | 1.24 | S45 | 11.34 | 0.29 | 3.28 | 1.39 | ||
| N46 | 0.72 | 0.29 | 3.26 | 1.24 | S46 | 0.93 | 0.28 | 2.42 | 1.39 | 4.68 | |
| N47 | 21.21 | 0.15 | 2.42 | 1.24 | S47 | 19.98 | 0.22 | 1.63 | 1.39 | 11.43 | |
| N48 | 18.67 | 0.33 | 2.71 | 1.24 | S48 | 15.89 | 0.22 | 1.48 | 1.39 | ||
| N49 | 26.48 | 0.22 | 1.88 | 1.24 | S49 | 18.46 | 0.10 | 1.89 | 1.39 | ||
| N50 | 16.67 | 0.29 | 2.66 | 1.62 | S50 | 9.14 | 0.18 | 3.09 | 1.39 | ||
| N51 | 1.48 | 0.26 | 5.45 | 1.62 | S51 | 15.03 | 0.12 | 4.04 | 1.39 | ||
| N52 | 17.10 | 0.22 | 1.84 | 1.62 | 1.36 | S52 | 23.78 | 0.22 | 1.67 | 1.39 | 4.43 |
| N53 | 8.64 | 0.19 | 2.91 | 1.62 | S53 | 19.20 | 0.25 | 2.07 | 1.39 | ||
| N54 | 9.40 | 0.31 | 2.64 | 1.62 | S54 | 19.37 | 0.23 | 1.69 | 1.39 | ||
| N55 | 21.19 | 0.24 | 3.48 | 1.62 | S55 | 27.48 | 0.29 | 0.85 | 1.39 | 1.32 | |
| N56 | 22.39 | 0.25 | 3.44 | 1.62 | S56 | 7.44 | 0.28 | 1.56 | 1.39 | ||
| N57 | 7.98 | 0.23 | 2.52 | 1.62 | S57 | 30.45 | 0.28 | 1.98 | 1.39 | ||
| N58 | 27.63 | 0.22 | 2.25 | 1.62 | S58 | 21.08 | 0.28 | 1.50 | 1.39 | ||
| N59 | 18.38 | 0.34 | 2.39 | 1.62 | S59 | 10.20 | 0.27 | 2.44 | 1.39 | ||
| N60 | 8.73 | 0.28 | 3.28 | 1.62 | S60 | 20.20 | 0.26 | 1.11 | 1.39 | 1.08 | |
| N61 | 18.93 | 0.29 | 3.76 | 1.62 |
| Basin | AF | Hi | Bs | Smf | Vf | RIAT | Basin | AF | Hi | Bs | Smf | Vf | RIAT |
|---|---|---|---|---|---|---|---|---|---|---|---|---|---|
| N1 | 2 | 3 | 2 | 1 | 2 | S1 | 2 | 3 | 2 | 1 | 2 | ||
| N2 | 2 | 3 | 2 | 1 | 2 | 2 | S2 | 2 | 3 | 1 | 1 | 1.75 | |
| N3 | 2 | 3 | 1 | 1 | 1 | 1.6 | S3 | 2 | 3 | 1 | 1 | 1.75 | |
| N4 | 2 | 3 | 2 | 1 | 2 | S4 | 2 | 3 | 1 | 1 | 1.75 | ||
| N5 | 2 | 3 | 1 | 1 | 1.75 | S5 | 2 | 3 | 1 | 1 | 1.75 | ||
| N6 | 3 | 3 | 2 | 1 | 2.25 | S6 | 1 | 3 | 2 | 1 | 2 | 1.8 | |
| N7 | 2 | 3 | 2 | 1 | 2 | S7 | 1 | 3 | 1 | 1 | 2 | 1.6 | |
| N8 | 2 | 3 | 2 | 1 | 2 | S8 | 2 | 3 | 2 | 1 | 2 | ||
| N9 | 3 | 3 | 2 | 1 | 2.25 | S9 | 2 | 3 | 1 | 1 | 2 | 1.8 | |
| N10 | 3 | 3 | 1 | 1 | 2 | S10 | 1 | 3 | 1 | 1 | 1.5 | ||
| N11 | 1 | 3 | 1 | 1 | 1.5 | S11 | 3 | 3 | 1 | 1 | 2 | ||
| N12 | 2 | 3 | 2 | 1 | 3 | 2.2 | S12 | 1 | 3 | 3 | 1 | 3 | 2.2 |
| N13 | 2 | 3 | 2 | 1 | 2 | S13 | 3 | 3 | 2 | 1 | 2.25 | ||
| N14 | 3 | 3 | 1 | 1 | 2 | S14 | 3 | 3 | 2 | 1 | 2 | 2.2 | |
| N15 | 1 | 3 | 1 | 1 | 1.5 | S15 | 3 | 3 | 3 | 1 | 2.5 | ||
| N16 | 2 | 3 | 1 | 1 | 1.75 | S16 | 3 | 3 | 1 | 1 | 3 | 2.2 | |
| N17 | 2 | 3 | 1 | 1 | 2 | 1.8 | S17 | 3 | 3 | 1 | 1 | 2 | |
| N18 | 3 | 3 | 2 | 1 | 2.25 | S18 | 1 | 3 | 2 | 1 | 3 | 2 | |
| N19 | 2 | 3 | 2 | 1 | 2 | S19 | 2 | 3 | 2 | 1 | 3 | 2.2 | |
| N20 | 2 | 3 | 2 | 1 | 2 | S20 | 2 | 3 | 2 | 1 | 2 | 2 | |
| N21 | 2 | 3 | 3 | 1 | 2 | 2.2 | S21 | 3 | 3 | 1 | 1 | 3 | 2.2 |
| N22 | 1 | 3 | 2 | 1 | 1.75 | S22 | 2 | 3 | 2 | 2 | 2.25 | ||
| N23 | 2 | 3 | 2 | 1 | 2 | S23 | 2 | 3 | 2 | 2 | 2.25 | ||
| N24 | 2 | 3 | 1 | 1 | 1.75 | S24 | 2 | 3 | 1 | 2 | 2 | ||
| N25 | 2 | 3 | 2 | 1 | 2 | S25 | 2 | 3 | 1 | 2 | 2 | ||
| N26 | 2 | 3 | 1 | 1 | 1.75 | S26 | 2 | 3 | 1 | 2 | 2 | ||
| N27 | 1 | 3 | 1 | 1 | 1.5 | S27 | 2 | 3 | 1 | 2 | 2 | ||
| N28 | 1 | 3 | 1 | 1 | 1.5 | S28 | 2 | 3 | 1 | 2 | 2 | ||
| N29 | 3 | 3 | 2 | 1 | 2.25 | S29 | 2 | 3 | 1 | 2 | 2 | ||
| N30 | 3 | 3 | 1 | 1 | 2 | S30 | 2 | 3 | 1 | 2 | 2 | ||
| N31 | 1 | 3 | 3 | 1 | 2 | S31 | 2 | 3 | 1 | 2 | 2 | ||
| N32 | 1 | 3 | 3 | 1 | 2 | S32 | 2 | 3 | 1 | 2 | 2 | ||
| N33 | 1 | 3 | 2 | 1 | 3 | 2 | S33 | 1 | 3 | 2 | 2 | 2 | |
| N34 | 3 | 3 | 1 | 1 | 2 | S34 | 2 | 3 | 1 | 2 | 2 | ||
| N35 | 1 | 3 | 2 | 1 | 1.75 | S35 | 2 | 3 | 1 | 2 | 2 | ||
| N36 | 3 | 3 | 1 | 1 | 2 | S36 | 2 | 3 | 1 | 2 | 2 | ||
| N37 | 3 | 3 | 1 | 1 | 2 | S37 | 2 | 3 | 2 | 2 | 2.25 | ||
| N38 | 2 | 3 | 2 | 1 | 2 | S38 | 1 | 3 | 1 | 2 | 1.75 | ||
| N39 | 3 | 3 | 1 | 1 | 3 | 2.2 | S39 | 2 | 3 | 2 | 2 | 2.25 | |
| N40 | 1 | 3 | 2 | 1 | 1.75 | S40 | 3 | 3 | 2 | 2 | 2.5 | ||
| N41 | 2 | 3 | 2 | 1 | 2 | S41 | 1 | 3 | 1 | 2 | 1.75 | ||
| N42 | 2 | 3 | 2 | 1 | 3 | 2.2 | S42 | 3 | 3 | 1 | 2 | 2.25 | |
| N43 | 2 | 3 | 1 | 1 | 1.75 | S43 | 3 | 3 | 2 | 1 | 2.25 | ||
| N44 | 1 | 3 | 1 | 1 | 1.5 | S44 | 2 | 3 | 2 | 1 | 2 | ||
| N45 | 2 | 3 | 2 | 1 | 2 | S45 | 2 | 3 | 1 | 1 | 1.75 | ||
| N46 | 3 | 3 | 1 | 1 | 2 | S46 | 3 | 3 | 2 | 1 | 3 | 2.4 | |
| N47 | 1 | 3 | 2 | 1 | 1.75 | S47 | 1 | 3 | 2 | 1 | 3 | 2 | |
| N48 | 1 | 3 | 1 | 1 | 1.5 | S48 | 2 | 3 | 2 | 1 | 2 | ||
| N49 | 1 | 3 | 2 | 1 | 1.75 | S49 | 1 | 3 | 2 | 1 | 1.75 | ||
| N50 | 2 | 3 | 1 | 2 | 2 | S50 | 2 | 3 | 1 | 1 | 1.75 | ||
| N51 | 3 | 3 | 1 | 2 | 2.25 | S51 | 2 | 3 | 1 | 1 | 1.75 | ||
| N52 | 2 | 3 | 2 | 2 | 3 | 2.4 | S52 | 1 | 3 | 2 | 1 | 3 | 2 |
| N53 | 2 | 3 | 1 | 2 | 2 | S53 | 1 | 3 | 2 | 1 | 1.75 | ||
| N54 | 2 | 3 | 1 | 2 | 2 | S54 | 1 | 3 | 2 | 1 | 1.75 | ||
| N55 | 1 | 3 | 1 | 2 | 1.75 | S55 | 1 | 3 | 3 | 1 | 3 | 2.2 | |
| N56 | 1 | 3 | 1 | 2 | 1.75 | S56 | 2 | 3 | 2 | 1 | 2 | ||
| N57 | 2 | 3 | 1 | 2 | 2 | S57 | 1 | 3 | 2 | 1 | 1.75 | ||
| N58 | 1 | 3 | 2 | 2 | 2 | S58 | 1 | 3 | 2 | 1 | 1.75 | ||
| N59 | 1 | 3 | 2 | 2 | 2 | S59 | 2 | 3 | 2 | 1 | 2 | ||
| N60 | 2 | 3 | 1 | 2 | 2 | S60 | 1 | 3 | 3 | 1 | 3 | 2.2 | |
| N61 | 1 | 3 | 1 | 2 | 1.75 |
Disclaimer/Publisher’s Note: The statements, opinions and data contained in all publications are solely those of the individual author(s) and contributor(s) and not of MDPI and/or the editor(s). MDPI and/or the editor(s) disclaim responsibility for any injury to people or property resulting from any ideas, methods, instructions or products referred to in the content. |
© 2025 by the authors. Licensee MDPI, Basel, Switzerland. This article is an open access article distributed under the terms and conditions of the Creative Commons Attribution (CC BY) license (https://creativecommons.org/licenses/by/4.0/).
Share and Cite
Ji, X.; Reicherter, K. Tectonic Deformation Analysis with ALOS-Based Digital Elevation Models in the Longshou Shan Mountains (NW China). GeoHazards 2025, 6, 74. https://doi.org/10.3390/geohazards6040074
Ji X, Reicherter K. Tectonic Deformation Analysis with ALOS-Based Digital Elevation Models in the Longshou Shan Mountains (NW China). GeoHazards. 2025; 6(4):74. https://doi.org/10.3390/geohazards6040074
Chicago/Turabian StyleJi, Xianghe, and Klaus Reicherter. 2025. "Tectonic Deformation Analysis with ALOS-Based Digital Elevation Models in the Longshou Shan Mountains (NW China)" GeoHazards 6, no. 4: 74. https://doi.org/10.3390/geohazards6040074
APA StyleJi, X., & Reicherter, K. (2025). Tectonic Deformation Analysis with ALOS-Based Digital Elevation Models in the Longshou Shan Mountains (NW China). GeoHazards, 6(4), 74. https://doi.org/10.3390/geohazards6040074

