Climate Change Impact on the Stability of Soil Slopes from a Hydrological and Geotechnical Perspective
Abstract
1. Introduction
1.1. Problem Description

2. Materials and Methods
2.1. The SCS-CN Method for Hydrologic Modelling
2.2. FS Calculation for Planar Translational Slide
- static conditions without groundwater table (i.e., for dry conditions), and
- static conditions with inclined groundwater table.
2.2.1. Static Conditions Without Groundwater Table
- in the case of dry sand, where c is equal to 0 kPa and φ ≠ 0°:
- in the case of a clay under undrained conditions (φ = 0°):
2.2.2. Static Conditions with Inclined Groundwater Table
- In the general case of fully saturated soil material, where zw = 0 m, c ≠ 0 kPa and φ ≠ 0°:
- in the case of a fully saturated sand, where zw = 0 m, c = 0 kPa and φ ≠ 0°:
- for fully saturated clay material and undrained conditions (φ = 0°):
3. Results
3.1. Impact of CC on Rainfall and Groundwater Table
3.2. Impact of Rainfall Scenario on Slope Stability
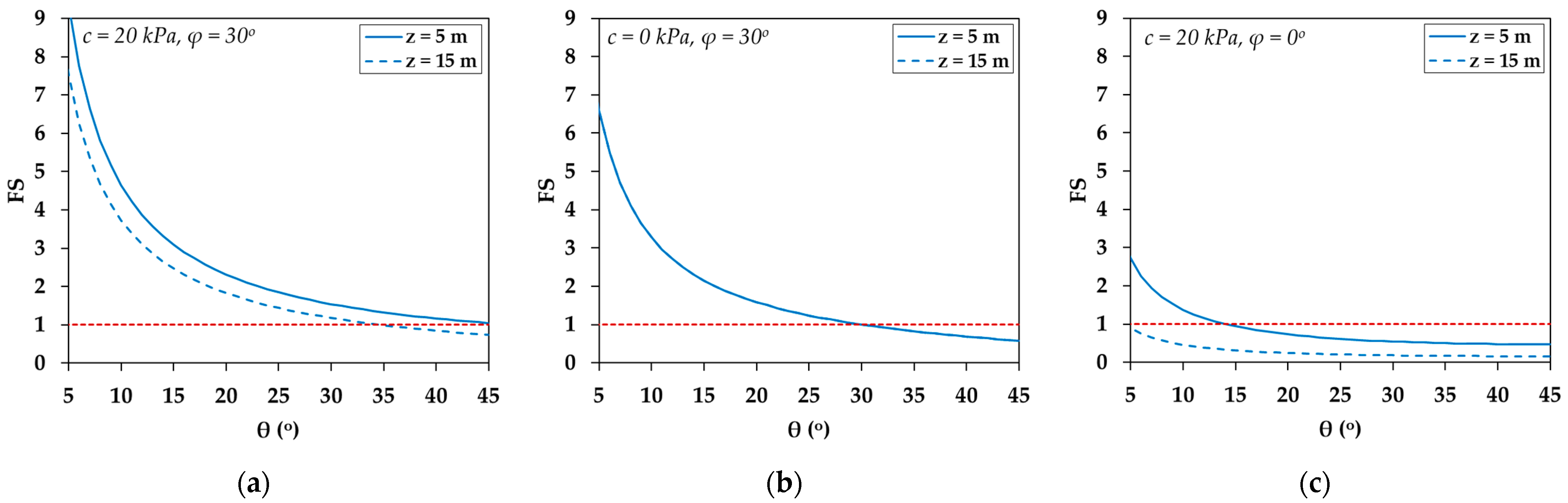
- clay under drained conditions with φ = 30° and c = 20 kPa,
- sand with φ = 30°, and
- clay under undrained conditions with cu = 20 kPa.
- inclined groundwater table up to the middle of the sliding soil layer (i.e., zw = z/2), and
- inclined groundwater table up to the surface of the soil layer (i.e., zw = 0 m).
4. Discussion
5. Conclusions
Author Contributions
Funding
Data Availability Statement
Conflicts of Interest
References
- Alimohammadlou, Y.; Najafi, A.; Yalcin, A. Landslide Process and Impacts: A Proposed Classification Method. Catena 2013, 104, 219–232. [Google Scholar] [CrossRef]
- Lukić, T.; Bjelajac, D.; Fitzsimmons, K.E.; Marković, S.B.; Basarin, B.; Mlađan, D.; Micić, T.; Schaetzl, R.J.; Gavrilov, M.B.; Milanović, M.; et al. Factors Triggering Landslide Occurrence on the Zemun Loess Plateau, Belgrade Area, Serbia. Environ. Earth Sci. 2018, 77, 519. [Google Scholar] [CrossRef]
- Cruden, D.M.; Varnes, D.J. Landslide Types and Processes. In Landslides: Investigation and Mitigation, Transportation Research Board; Turner, A.K., Shuster, R.L., Eds.; Special Report No. 247; U.S. National Academy of Sciences: Washington, DC, USA, 1996; pp. 36–75. [Google Scholar]
- Varnes, D.J. Slope Movement and Typea of Processes in Landslides, Analysis and Control Transportation Research Board; National Academy of Sciences: Washington, DC, USA, 1978. [Google Scholar]
- Turner, A.K.; Schuster, R.L. Landslides: Investigation and Mitigation; Turner, A.K., Schuster, R.L., Eds.; Transportation Research Board: Washington, DC, USA, 1996; ISBN 978-0-309-06208-4. [Google Scholar]
- European Environment Agency. Climate Change Adaptation and Disaster Risk Reduction in Europe; European Environment Agency, Publications Office of the European Union: Luxembourg, 2017. [Google Scholar]
- Leroueil, S. Natural Slopes and Cuts: Movement and Failure Mechanisms. Géotechnique 2001, 51, 197–243. [Google Scholar] [CrossRef]
- Tianchi, L. Landslide Disasters and Human Responses in China. Mt. Res. Dev. 1994, 14, 341. [Google Scholar] [CrossRef]
- Haque, U.; Blum, P.; da Silva, P.F.; Andersen, P.; Pilz, J.; Chalov, S.R.; Malet, J.-P.; Auflič, M.J.; Andres, N.; Poyiadji, E.; et al. Fatal Landslides in Europe. Landslides 2016, 13, 1545–1554. [Google Scholar] [CrossRef]
- Guha-Sapir, D.; Below, R.; Hoyois, P. EM-DAT: The CRED/OFDA International Disaster Database—Université Catholique de Louvain—Brussels—Belgium. Available online: https://www.emdat.be/ (accessed on 9 February 2022).
- Zhang, F.; Huang, X. Trend and Spatiotemporal Distribution of Fatal Landslides Triggered by Non-Seismic Effects in China. Landslides 2018, 15, 1663–1674. [Google Scholar] [CrossRef]
- Bonnard, C.; Tacher, L.; Beniston, M. Prediction of Landslide Movements Caused by Climate Change: Modelling the Behaviour of a Mean Elevation Large Slide in the Alps and Assessing Its Uncertainties. In Landslides and Engineered Slopes: From the Past to the Future; Chen, Z., Zhang, J.M., Li, Z.K., Wu, F.Q., Ho, K., Eds.; CRC Press: Boca Raton, FL, USA, 2008; pp. 217–227. [Google Scholar]
- Henn, B.; Cao, Q.; Lettenmaier, D.P.; Magirl, C.S.; Mass, C.; Brent Bower, J.; Laurent, M.S.; Mao, Y.; Perica, S. Hydroclimatic Conditions Preceding the March 2014 Oso Landslide. J. Hydrometeorol. 2015, 16, 1243–1249. [Google Scholar] [CrossRef]
- Tang, C.; Zhu, J.; Qi, X.; Ding, J. Landslides Induced by the Wenchuan Earthquake and the Subsequent Strong Rainfall Event: A Case Study in the Beichuan Area of China. Eng. Geol. 2011, 122, 22–33. [Google Scholar] [CrossRef]
- Esford, F.; Porter, M.; Savigny, K.W.; Muhlbauer, W.K.; Dunlop, C. A Risk Assessment Model for Pipelines Exposed to Geohazards. In Proceedings of the Biennial International Pipeline Conference IPC, Calgary, AB, Canada, 4–8 October 2004. [Google Scholar]
- European Gas Pipeline Incident Data Group (EGIG). Gas Pipeline Incidents: 9th Report of the European Gas Pipeline Incident Data Group (Period 1970–2013); Doc. Number EGIG 14.R.0403; EGIG: Groningen, The Netherlands, 2015. [Google Scholar]
- Vasseghi, A.; Haghshenas, E.; Soroushian, A.; Rakhshandeh, M. Failure Analysis of a Natural Gas Pipeline Subjected to Landslide. Eng. Fail. Anal. 2021, 119, 105009. [Google Scholar] [CrossRef]
- Fowler, A.M.; Hennessy, K.J. Potential Impacts of Global Warming on the Frequency and Magnitude of Heavy Precipitation. Nat. Hazards 1995, 11, 283–303. [Google Scholar] [CrossRef]
- O’Gorman, P.A.; Schneider, T. The Physical Basis for Increases in Precipitation Extremes in Simulations of 21st-Century Climate Change. Proc. Natl. Acad. Sci. USA 2009, 106, 14773–14777. [Google Scholar] [CrossRef] [PubMed]
- Green, T.R.; Taniguchi, M.; Kooi, H.; Gurdak, J.J.; Allen, D.M.; Hiscock, K.M.; Treidel, H.; Aureli, A. Beneath the Surface of Global Change: Impacts of Climate Change on Groundwater. J. Hydrol. 2011, 405, 532–560. [Google Scholar] [CrossRef]
- Kaźmierczak, B.; Kotowski, A. The Influence of Precipitation Intensity Growth on the Urban Drainage Systems Designing. Theor. Appl. Climatol. 2014, 118, 285–296. [Google Scholar] [CrossRef]
- Tang, A.M.; Hughes, P.N.; Dijkstra, T.A.; Askarinejad, A.; Brenčič, M.; Cui, Y.J.; Diez, J.J.; Firgi, T.; Gajewska, B.; Gentile, F.; et al. Atmosphere-Vegetation-Soil Interactions in a Climate Change Context; Impact of Changing Conditions on Engineered Transport Infrastructure Slopes in Europe. Q. J. Eng. Geol. Hydrogeol. 2018, 51, 156–168. [Google Scholar] [CrossRef]
- Masson-Delmotte, V.; Zhai, P.; Pirani, A.; Connors, S.L.; Péan, C.; Berger, S.; Caud, N.; Chen, Y.; Goldfarb, L.; Gomis, M.I.; et al. Climate Change 2021: The Physical Science Basis; Contribution of Working Group I to the Sixth Assessment Report of the Intergovernmental Panel on Climate Change; Cambridge University Press: Cambridge, UK; New York, NY, USA, 2021. [Google Scholar]
- NASA Science Editorial Team. Extreme Makeover: Human Activities Are Making Some Extreme Events More Frequent or Intense. Available online: https://science.nasa.gov/earth/climate-change/extreme-makeover-human-activities-are-making-some-extreme-events-more-frequent-or-intense/ (accessed on 16 June 2024).
- Seneviratne, S.I.; Nicholls, N.; Easterling, D.; Goodess, C.M.; Kanae, S.; Kossin, J.; Luo, Y.; Marengo, J.; McInnes, K.; Rahimi, M.; et al. Changes in Climate Extremes and Their Impacts on the Natural Physical Environment. In Managing the Risks of Extreme Events and Disasters to Advance Climate Change Adaptation; Cambridge University Press: Cambridge, UK; New York, NY, USA, 2012; Volume 9781107025066, pp. 109–230. [Google Scholar]
- Dixon, N.; Brook, E. Impact of Predicted Climate Change on Landslide Reactivation: Case Study of Mam Tor, UK. Landslides 2007, 4, 137–147. [Google Scholar] [CrossRef]
- Gariano, S.L.; Guzzetti, F. Landslides in a Changing Climate. Earth Sci. Rev. 2016, 162, 227–252. [Google Scholar] [CrossRef]
- Huggel, C.; Fischer, L.; Schneider, D.; Haeberli, W. Research Advances on Climate-Induced Slope Instability in Glacier and Permafrost High-Mountain Environments. Geogr. Helv. 2010, 65, 146–156. [Google Scholar] [CrossRef]
- McInnes, R.; Jakeways, J.; Fairbank, H.; Mathie, E. Landslides and Climate Change: Challenges and Solutions. In Proceedings of the International Conference on Landslides and Climate Change, Ventnor, UK, 10 May 2007; McInnes, R., Jakeways, J., Fairbank, H., Mathie, E., Eds.; CRC Press: Boca Raton, FL, USA, 2007. [Google Scholar]
- Stoffel, M.; Tiranti, D.; Huggel, C. Climate Change Impacts on Mass Movements—Case Studies from the European Alps. Sci. Total Environ. 2014, 493, 1255–1266. [Google Scholar] [CrossRef]
- Stoffel, M.; Huggel, C. Effects of Climate Change on Mass Movements in Mountain Environments. Prog. Phys. Geogr. Earth Environ. 2012, 36, 421–439. [Google Scholar] [CrossRef]
- Gruber, S.; Haeberli, W. Permafrost in Steep Bedrock Slopes and Its Temperature-related Destabilization Following Climate Change. J. Geophys. Res. Earth Surf. 2007, 112, F02S18. [Google Scholar] [CrossRef]
- Harris, C.; Mühll, D.V.; Isaksen, I.; Haeberli, W.; Sollid, J.L.; King, L.; Holmlund, P.; Dramis, F.; Guglielmin, M.; Palacios, D. Warming Permafrost in European Mountains. Glob. Planet. Chang. 2003, 39, 215–225. [Google Scholar] [CrossRef]
- Dehn, M.; Buma, J. Modelling Future Landslide Activity Based on General Circulation Models. Geomorphology 1999, 30, 175–187. [Google Scholar] [CrossRef]
- Gariano, S.L.; Rianna, G.; Petrucci, O.; Guzzetti, F. Assessing Future Changes in the Occurrence of Rainfall-Induced Landslides at a Regional Scale. Sci. Total Environ. 2017, 596–597, 417–426. [Google Scholar] [CrossRef] [PubMed]
- Schmidt, J.; Dikau, R. Modeling Historical Climate Variability and Slope Stability. Geomorphology 2004, 60, 433–447. [Google Scholar] [CrossRef]
- Sidle, R.C.; Ochiai, H. Landslides: Processes, Prediction, and Land Use; American Geophysical Union: Washington, DC, USA, 2006; Volume 18, ISBN 978-0-87590-322-4. [Google Scholar]
- Crozier, M.J. Deciphering the Effect of Climate Change on Landslide Activity: A Review. Geomorphology 2010, 124, 260–267. [Google Scholar] [CrossRef]
- Alvioli, M.; Melillo, M.; Guzzetti, F.; Rossi, M.; Palazzi, E.; von Hardenberg, J.; Brunetti, M.T.; Peruccacci, S. Implications of Climate Change on Landslide Hazard in Central Italy. Sci. Total Environ. 2018, 630, 1528–1543. [Google Scholar] [CrossRef]
- Collison, A.; Wade, S.; Griffiths, J.; Dehn, M. Modelling the Impact of Predicted Climate Change on Landslide Frequency and Magnitude in SE England. Eng. Geol. 2000, 55, 205–218. [Google Scholar] [CrossRef]
- Dehn, M.; Bürger, G.; Buma, J.; Gasparetto, P. Impact of Climate Change on Slope Stability Using Expanded Downscaling. Eng. Geol. 2000, 55, 193–204. [Google Scholar] [CrossRef]
- Insana, A.; Beroya-Eitner, M.A.; Barla, M.; Zachert, H.; Žlender, B.; van Marle, M.; Kalsnes, B.; Bračko, T.; Pereira, C.; Prodan, I.; et al. Climate Change Adaptation of Geo-Structures in Europe: Emerging Issues and Future Steps. Geosciences 2021, 11, 488. [Google Scholar] [CrossRef]
- Park, J.; Vilayvong, K.; Son, Y.; Fujisawa, K.; Murakami, A. Slope Stability Evaluation of an Agricultural Embankment by Statistically Derived Rainfall Patterns. Paddy Water Environ. 2019, 17, 303–313. [Google Scholar] [CrossRef]
- Vardon, P.J. Climatic Influence on Geotechnical Infrastructure: A Review. Environ. Geotech. 2015, 2, 166–174. [Google Scholar] [CrossRef]
- Tubiello, F.; Schmidhuber, J.; Howden, M.; Neofotis, P.G.; Park, S.; Fernandes, E.; Thapa, D. Climate Change Response Strategies for Agriculture: Challenges and Opportunities for the 21st Century; The World Bank: Washington, DC, USA, 2008. [Google Scholar]
- Henderson, F.M.; Wooding, R.A. Overland Flow and Groundwater Flow from a Steady Rainfall of Finite Duration. J. Geophys. Res. 1964, 69, 1531–1540. [Google Scholar] [CrossRef]
- Greenwood, J.R.; Norris, J.E.; Wint, J. Assessing the Contribution of Vegetation to Slope Stability. Proc. Inst. Civ. Eng. Geotech. Eng. 2004, 157, 199–207. [Google Scholar] [CrossRef]
- Reubens, B.; Poesen, J.; Danjon, F.; Geudens, G.; Muys, B. The Role of Fine and Coarse Roots in Shallow Slope Stability and Soil Erosion Control with a Focus on Root System Architecture: A Review. Trees 2007, 21, 385–402. [Google Scholar] [CrossRef]
- Bračko, T.; Žlender, B.; Jelušič, P. Implementation of Climate Change Effects on Slope Stability Analysis. Appl. Sci. 2022, 12, 8171. [Google Scholar] [CrossRef]
- Zhan, Q.; Wang, S.; Wang, L.; Guo, F.; Zhao, D.; Yan, J. Analysis of Failure Models and Deformation Evolution Process of Geological Hazards in Ganzhou City, China. Front. Earth Sci. 2021, 9, 731447. [Google Scholar] [CrossRef]
- Peranić, J.; Čeh, N.; Arbanas, Ž. The Use of Soil Moisture and Pore-Water Pressure Sensors for the Interpretation of Landslide Behavior in Small-Scale Physical Models. Sensors 2022, 22, 7337. [Google Scholar] [CrossRef]
- Emadi-Tafti, M.; Ataie-Ashtiani, B. A Modeling Platform for Landslide Stability: A Hydrological Approach. Water 2019, 11, 2146. [Google Scholar] [CrossRef]
- Popescu, M.E. Landslide Causal Factors and Landslide Remediatial Options. In Proceedings of the 3rd International Conference on Landslides, Slope Stability and Safety of Infrastructures, Singapore, 11–12 July 2002; pp. 61–81. [Google Scholar]
- Kramer, L.S. Geotechnical Earthquake Engineering; Prentice Hall: Upper Saddle River, NJ, USA, 1996. [Google Scholar]
- Psarropoulos, P.N.; Makrakis, N.; Tsompanakis, Y. Impact of Climate Change on the Integrity of Onshore Gas Pipelines Crossing Mountainous or Hilly Areas. In Proceedings of the 17th Pipeline Technology Conference, Berlin, Germany, 7–10 March 2022. [Google Scholar]
- Crosta, G.B.; Frattini, P. Rainfall-Induced Landslides and Debris Flows. Hydrol. Process. 2008, 22, 473–477. [Google Scholar] [CrossRef]
- Hjelmfelt, A.T. Investigation of Curve Number Procedure. J. Hydraul. Eng. 1991, 117, 725–737. [Google Scholar] [CrossRef]
- Hawkins, R.H. Asymptotic Determination of Runoff Curve Numbers from Data. J. Irrig. Drain. Eng. 1993, 119, 334–345. [Google Scholar] [CrossRef]
- Steenhuis, T.S.; Winchell, M.; Rossing, J.; Zollweg, J.A.; Walter, M.F. SCS Runoff Equation Revisited for Variable-Source Runoff Areas. J. Irrig. Drain. Eng. 1995, 121, 234–238. [Google Scholar] [CrossRef]
- Ponce, V.M.; Hawkins, R.H. Runoff Curve Number: Has It Reached Maturity? J. Hydrol. Eng. 1996, 1, 11–19. [Google Scholar] [CrossRef]
- Bonta, J.V. Determination of Watershed Curve Number Using Derived Distributions. J. Irrig. Drain. Eng. 1997, 123, 28–36. [Google Scholar] [CrossRef]
- Mishra, S.K.; Singh, V.P. Another Look at SCS-CN Method. J. Hydrol. Eng. 1999, 4, 257–264. [Google Scholar] [CrossRef]
- Mishra, S.K.; Singh, V.P. SCS-CN Method. In Soil Conservation Service Curve Number (SCS-CN) Methodology; Springer: Dordrecht, The Netherlands, 2003; pp. 84–146. [Google Scholar]
- Michel, C.; Andréassian, V.; Perrin, C. Soil Conservation Service Curve Number Method: How to Mend a Wrong Soil Moisture Accounting Procedure? Water Resour. Res. 2005, 41, W02011. [Google Scholar] [CrossRef]
- Sahu, R.K.; Mishra, S.K.; Eldho, T.I.; Jain, M.K. An Advanced Soil Moisture Accounting Procedure for SCS Curve Number Method. Hydrol. Process. 2007, 21, 2872–2881. [Google Scholar] [CrossRef]
- Chow, V.T.; Maidment, D.R.; Mays, L.W. Applied Hydrology, 1st ed.; McGraw-Hill: New York, NY, USA, 1988; ISBN 0070108102/9780070108103. [Google Scholar]
- Huang, M.; Gallichand, J.; Wang, Z.; Goulet, M. A Modification to the Soil Conservation Service Curve Number Method for Steep Slopes in the Loess Plateau of China. Hydrol. Process. 2006, 20, 579–589. [Google Scholar] [CrossRef]
- Soulis, K.X. Soil Conservation Service Curve Number (SCS-CN) Method: Current Applications, Remaining Challenges, and Future Perspectives. Water 2021, 13, 192. [Google Scholar] [CrossRef]
- Ajmal, M.; Waseem, M.; Kim, D.; Kim, T.-W. A Pragmatic Slope-Adjusted Curve Number Model to Reduce Uncertainty in Predicting Flood Runoff from Steep Watersheds. Water 2020, 12, 1469. [Google Scholar] [CrossRef]
- Shi, W.; Wang, N. An Improved SCS-CN Method Incorporating Slope, Soil Moisture, and Storm Duration Factors for Runoff Prediction. Water 2020, 12, 1335. [Google Scholar] [CrossRef]
- Barnes, G.E. Soil Mechanics: Principles and Practice, 4th ed.; Bloomsbury Academic: London, UK, 2016; ISBN 9781137512208/1137512202. [Google Scholar]









| Typical Scenario | Climate Change Scenario | ||
|---|---|---|---|
| Time (h) | Cumulative Rainfall P (mm) | Time (h) | Cumulative Rainfall P (mm) | 
| 0 | 0.0 | 0 | 0.0 | 
| 1 | 5.1 | 1 | 5.1 | 
| 2 | 22.9 | 2 | 25.4 | 
| 3 | 32.3 | 3 | 114.3 | 
| 4 | 58.7 | 4 | 124.5 | 
| 5 | 118.1 | 5 | 127.0 | 
| 6 | 134.4 | 6 | 129.6 | 
| 7 | 136.1 | 7 | 136.1 | 
| Disclaimer/Publisher’s Note: The statements, opinions and data contained in all publications are solely those of the individual author(s) and contributor(s) and not of MDPI and/or the editor(s). MDPI and/or the editor(s) disclaim responsibility for any injury to people or property resulting from any ideas, methods, instructions or products referred to in the content. | 
© 2024 by the authors. Licensee MDPI, Basel, Switzerland. This article is an open access article distributed under the terms and conditions of the Creative Commons Attribution (CC BY) license (https://creativecommons.org/licenses/by/4.0/).
Share and Cite
Psarropoulos, P.N.; Makrakis, N.; Tsompanakis, Y. Climate Change Impact on the Stability of Soil Slopes from a Hydrological and Geotechnical Perspective. GeoHazards 2024, 5, 1190-1206. https://doi.org/10.3390/geohazards5040056
Psarropoulos PN, Makrakis N, Tsompanakis Y. Climate Change Impact on the Stability of Soil Slopes from a Hydrological and Geotechnical Perspective. GeoHazards. 2024; 5(4):1190-1206. https://doi.org/10.3390/geohazards5040056
Chicago/Turabian StylePsarropoulos, Prodromos N., Nikolaos Makrakis, and Yiannis Tsompanakis. 2024. "Climate Change Impact on the Stability of Soil Slopes from a Hydrological and Geotechnical Perspective" GeoHazards 5, no. 4: 1190-1206. https://doi.org/10.3390/geohazards5040056
APA StylePsarropoulos, P. N., Makrakis, N., & Tsompanakis, Y. (2024). Climate Change Impact on the Stability of Soil Slopes from a Hydrological and Geotechnical Perspective. GeoHazards, 5(4), 1190-1206. https://doi.org/10.3390/geohazards5040056
 
        



 
       