Next Article in Journal
The Effect of Temperature and Treatment Regime on the Physical, Chemical, and Biological Properties of Poultry Litter Biochar
Previous Article in Journal
Advanced Thermogravimetric Analyses of Stem Wood and Straw Devolatilization: Torrefaction through Combustion
 
 
Font Type:
Arial Georgia Verdana
Font Size:
Aa Aa Aa
Line Spacing:
Column Width:
Background:
Review

Furfural and Levulinic Acid: Synthesis of Platform Molecules from Keggin Heteropolyacid-Catalyzed Biomass Conversion Reactions

by
Marcio Jose da Silva
*,
Alana Alves Rodrigues
and
Daniel Carreira Batalha
Chemistry Department, Federal University of Viçosa, Viçosa 36590-000, Brazil
*
Author to whom correspondence should be addressed.
Reactions 2024, 5(2), 361-378; https://doi.org/10.3390/reactions5020019
Submission received: 8 May 2024 / Revised: 3 June 2024 / Accepted: 7 June 2024 / Published: 9 June 2024

Abstract

Among the different polyoxometalate compounds, Keggin heteropolyacids have been extensively used as catalysts in several acid-catalyzed reactions, due to their strong strength of Bronsted acidity. These metal–oxygen clusters have a highly versatile structure that allows their conversion to derivatives, which are catalysts that are much more efficient than their precursors, with a greater catalytic activity in a plethora of reactions of industrial interest. Particularly, due to the inevitable exhaustion of fossil sources, reactions to valorize biomass have attracted significant attention, since it is a precious renewable raw material that can provide fine chemicals or fuels, minimizing our dependence on petroproducts. Biorefinery processes can produce platform molecules to achieve this goal. In this review, the recent advances achieved in the development of routes to converting biomass feedstocks to levulinic acid and furfural, which are valuable ingredients in biorefinery processes, using Keggin heteropolyacid catalysts were assessed.

Graphical Abstract

1. Introduction

Platform molecules are compounds derived from biomass that can be used as raw materials to produce various high-value-added products, such as solvents, plastics, pharmacies, and biofuels. among others. They have been considered a sustainable and renewable alternative source of products that can replace petroleum derivatives [1].
Among the various platform molecules, furfural, 5-HMF (5-hydroxymethylfurfural, and levulinic acid (LA) stand out because they are valuable feedstocks (Figure 1) [2].
Furfural is a five-membered ring aromatic heterocycle aldehyde that has only one furanic group. Its IUPAC name is furan-2-carbaldehyde and can be obtained from the dehydration of pentoses (xylose and arabinose), which are present in the hemicellulose of lignocellulosic biomass [3]. Currently, more than 80 chemicals can be obtained directly or indirectly from furfural [4]. The high reactivity of this compound is due to the aldehyde group and the aromatic ring in its structure [5,6].
Furfural may undergo reactions characteristic of aldehydes such as aldol condensation with ketones, resulting in unsaturated ketones such as 4-(2-furyl)3-buten-2-one, and 1,4-pentadien-3-one-1,5-di-2-furanyl, which are aviation biokerosene precursors [7]. The hydrogenation of the carbonyl group of furfural leads to the formation of furfuryl alcohol, its most important derivative. From furfuryl alcohol, it is possible to obtain many other derivatives, such as levulinic acid, γ-valerolactone, and tetrahydrofurfuryl alcohol [6,8].
Furfural reductive etherification is a two-step process in which it is firstly hydrogenated, generating furfuryl alcohol, and posteriorly, undergoes an etherification reaction, generating ethyl furfuryl ether, a gasoline bioadditive [9]. Alternatively, the carbonyl group of furfural can also undergo acetalization and Grignard reactions. Furthermore, furfural can be modified through various reactions, such as reduction, hydrodeoxygenation, reductive amination, decarbonylation, and oxidation reactions [10].
Levulinic acid (4-oxopentanoic acid) is a ketoacid currently obtained with high yields from the acid hydrolysis of C5 and C6 (pentoses and hexoses) sugars present in the biomass [11]. It is widely used in chemical industries because it can be transformed into various products, such as solvents, biodegradable plastics, food additives, and as an intermediate in synthesizing pharmaceutical products [12]. The most used levulinic acid (LA) derivative is aminolevulinic acid, a biodegradable herbicide used in Asia [13]. Other high-value-added compounds obtained from LA are γ-valerolactone (GVL) and 2-methyl-tetrahydrofuran (MTHF), which are green solvents, and methyl levulinate (ML), a promising fuel bioadditive [11,14,15,16,17].
There are a series of catalysts used to convert biomass to LA and or FF, nonetheless, in this review, the focus will be the Keggin heteropolyacids (HPAs), which belong to the class of polyoxometalates [18]. HPAs are metal–oxygen clusters, with strong Brønsted acidity [19]. Those compounds have been used in reactions to convert biomass into LA and FF [20]. Although solid, HPAs catalysts have a low surface area, and to be used as heterogeneous catalysts they should be supported on silica and zeolite [19,21,22]. However, solid-supported HPA catalysts can undergo leaching due to the high polarity of the reaction medium. To overcome this drawback, an alternative is to convert HPAs to insoluble salts, exchanging their protons with large ionic radius cations such as cesium [23,24,25,26]. It makes them solids with a high surface area and resistant to leaching. Another strategy that enhances the activity of commercial HPAs is to modify their composition by removing one unit MO (M = W, Mo) giving origin to the lacunar HPAs or still having this vacancy filled with transition metal cations [27,28,29].
In this review, the focus was to demonstrate how the Keggin HPAs and their salts have efficiently promoted the conversion of biomass to furfural and levulinic acid. To reach this goal, a careful revision of the main advances achieved in this century in the development of Keggin heteropolyacid-catalyzed processes to convert biomass to furfural and levulinic acid was performed. These two compounds belong to the top-ten list of biorefinery platform molecules, which have assumed strategic importance as raw material sources of biochemicals and biofuels. The novelty herein is describing how Keggin heteropolyacids are versatile to produce these compounds either as solid-supported catalysts or still as polyoxometalates acids or their salts.
The main effects of reaction conditions on the reaction conversions and goal-product yield were described. The impacts of structural modifications on the catalytic activity of HPAs were addressed.

2. Main Substrates and Heteropolyacid Catalysts Used to Produce Levulinic Acid

There are different routes to produce furfural and levulinic acid; however, they have been industrially obtained from the acid dehydration processes of biomass components. The source of biomass and the type of treatment used can impact the reaction yield [30]. Indeed, despite the number of studies performed about this theme (dehydration of carbohydrates into LA), only limited information on the probable reaction pathways is available, hampering a more detailed description. The available literature briefly described the pathway that C6-sugars are initially dehydrated to form the 5-HMF, the most probable intermediate, through the loss of three water molecules, where the HMF was subsequently rehydrated to give the final product LA with formic acid in the presence of water. Some authors suggest that glucose can be isomerized to fructose, which is further dehydrated to LA. A series of side products can be obtained such as furfural HMF, formic acid and others.
LA can be obtained by the multiple steps in the hydrolysis of raw cellulose through dilute sulfuric acid treatment via intermediate 5-hydroxymethyl furfurfural (5-HMF) as shown in Figure 2 [31]. The pretreatment step and detoxification of cellulose is always required.
Guzmán et al. studied the production of levulinic acid from furfuryl alcohol, a process that occurs through dehydration of this alcohol, followed by the opening of the furanic ring [32]. Normally, this reaction is catalyzed by homogeneous acids, which are corrosive and hard to recover and reuse. To minimize the disadvantages of this type of catalyst, Guzmán et al. evaluated the catalytic activity of different acid solids, such as ion-exchange resins, zeolites, and acid clays [32]. With the use of phosphotungstic acid (H3PW12O40) supported on ZSM-5 zeolite, (H3PW12O40/ZSM-5), those authors demonstrated that is possible to completely convert furfuryl alcohol to levulinic acid with a 58.1% yield (Figure 3). Those researchers verified that the silicon content of ZSM-5 zeolite is increased, and levulinic acid yield achieves 77% [32].
Zhang et al. assessed the catalytic activity of soluble Brønsted acids (H2SO4), and Keggin HPAs containing different central heteroatoms (P, Si, and B) in reactions of cellulose conversion of cellulose to LA (Figure 4) [33].
Silicotungstic acid has the best performance, achieving a 18.6% LA yield. Although all catalysts have been used at the same hydrogen concentration, they had different behavior. The Pearson Acidity Theory (Hard Acid Soft Base, HASB) can be useful to explain this point. Possibly, the greatest softness of SiW12O404− heteropolyanion can have been favorable to the reaction. Compared to the other tungstic anions, it has a greater negative charge (SiW12O404− versus PW12O403− or B12O403−); consequently, it is more stable, favoring the ionization of H4SiW12O40. Using a reaction with silver salt, that is soft acid, the literature has demonstrated that the softness of Keggin heteropolyanions follows the sequence SiWl2O404− > GeWl2O404− > SiWl2O404− > PWl2O403− > PMol2O403− > SiMol2O404−-> SO42− [34].
The strength of acidity presented by the Keggin heteropolyacids depends on the charge in heteropolyanion as well as the hydrogen–oxygen bond length. Normally, the protons are bonded to the oxygen atoms placed at terminal oxygen atoms of heteropolyanions. This occurs for three HPAs (H3PW12O40, H4SiW12O40, and H5BW12O40). However, these heteropolyanions have different heteroatoms; consequently, the changes in charge and ionic radiums of these cations impact the strength of hydrogen–oxygen bonds. The results suggest that the ionization of H4SiW12O40 was the most favorable; therefore, the reaction of conversion of glucose to furfural achieved the highest yield in the presence of this acid than the other ones.
Another aspect is the softness of heteropolyanions. Since the radius of heteroatoms follows the sequence B(III) < P(V) < Si(IV), it is possible to conclude that heteropolyanion size also obeyed this trend; therefore, greater radiums gives a higher softness to the anion, which becomes more stable. This is the reason that justifies why the H4SiW12O40 was the most effective catalyst.
Afterwards, Zhang et al. synthesized a series of metal-substituted lacunary phosphotungstic acids (general formula: H7-nPW11Mn+O39 (Mn+ = Cu2+, Sn4+, Cr3+, Zn2+, Fe3+, Ti4+, Zr4+) and investigated its activity in reactions to convert different cellulose into levulinic acid [33]. Figure 5 presents the results.
In Figure 4, all heteropolyacids have a P(V) cation as the heteroatom; however, once they were substituted with different charge cations, the number of hydrogens required to neutralize the acid was distinct in each case. It was expected that a greater negative charge of the heteropolyanion should enhance the acidity strength of HPA, and consequently improve the LA yield. Indeed, the H5PW11CuO39-catalyzed reaction achieved the second higher LA yield. It was lower only than that reached in the H3PW11TiO39-catalyzed reaction. It is possible to assume that in this case, the lower charge of the anion weakened the interaction with the proton making its ionization [33].
Remarkably, although soluble such as pristine phosphotungstic acid, those catalysts had different performances both in terms of LA yield or conversion of cellulose (Figure 4). The H5PW11TiO39 catalyzed-reaction reached the highest LA yield and conversion. Conversely, the reaction in the presence of the H6PW11CrO39 catalyst achieved the lowest LA yield and cellulose conversion. Notwithstanding, all the metal-substituted phosphotungstate salt-catalyzed reactions achieved a higher LA yield than pristine heteropolyacid. This is suggestive that anions with higher softness due to higher negative charge generated by the replacement of tungsten with metal cations are more active catalysts. This greater activity can be assigned to higher stabilization of protonated intermediates generated during the reaction.
Aiming to understand the factors that led the catalyst to achieve a higher efficiency, Zhang et al. evaluated the effect of acid site nature (Lewis and Brønsted) and the number of acid sites of the catalysts [33]. Figure 6 shows the effect of the Brønsted/Lewis acid site molar ratio on the conversion LA yield.
Chambon et al. suggested that solid catalysts with strong acid sites and a suitable B/L acid molar proportion favored LA generation [35]. Nonetheless, Zhang et al. showed that for HPAs with Brønsted and Lewis acid sites, the Brønsted acidity was key for the LA yields [33]. Although not shown herein, when the Keggin HPAs had a similar Brønsted acidity, the higher Lewis acidity provided the greater LA yield.
To overcome the mass transfer problems and difficulties of separation, Zhang et al. synthesized temperature-responsive metal-substituted heteropolyacid catalysts, which were also evaluated in reactions to obtain LA from cellulose among other polysaccharides [33]. Figure 7 shows the main results obtained when these reactions were performed in different solvents. HOCH2CH2N(CH3)3H4PW11TiO40 was the catalyst assessed.
At optimized reaction conditions, Zhang et al. verified that the HOCH2CH2N(CH3)3H4PW11TiO40-catalyzed reaction of cellulose conversion achieved 93.8% and levulinic acid yield of 88.6% (Figure 8) [33].
Reactions carried out in the MIBK: H2O (10:1) biphasic system reached the highest LA yield. This agrees with the literature that suggests that aprotic solvents avoid parallel reactions and reduce humins formation. MIBK plays an essential role in helping the continuous transfer of LA to the organic phase [33,36]. In the case of the HOCH2CH2N(CH3)3H4PW11TiO40 catalyst, the best efficiency was obtained under MIBK: H2O as 10:1 [33].
Li et al. developed an HPA-catalyzed process for converting cellulose and glucose into levulinic acid and furfural using a deep eutectic solvent (DES) (formed by mixing GVL and water), and commercial Keggin HPA acids [37]. Phosphotungstic acid was the most effective in producing LA, either from cellulose or glucose (Figure 9). Comparatively, glucose was more efficiently converted to LA than cellulose regardless of the HPA catalyst.
Regardless of the γ-valerolactone/H2O molar ratio, the reactions achieved almost a total conversion (Figure 10). Conversely, the LA yield was enhanced when the amount of γ-valerolactone was progressively increased. Mass transfer problems can explain these results. Studies using different solvents showed that improving the cellulose solubility increases the levulinic acid production. This leads to an increased mass transfer rate between the reaction substrate and the catalysts, thereby increasing the conversion and reaction rate. Ionic liquids such as DES have advantages in terms of levulinic acid yield, but the production costs of this type of system are high. Li et al. also studied this effect using cellulose as the substrate (Figure 11).
Due to structural differences, cellulose is less reactive than glucose; consequently, only its conversion was more strongly impacted by the increase in γ-valerolactone, different from glucose. Conversely, LA yield had a similar behavior to the reaction with glucose and was improved when a greater proportion of γ-valerolactone was present.
Kumar et al. synthesized gallium phosphomolybdates using a sonochemical irradiation method and evaluated these catalysts in reactions to convert different saccharides (glucose, starch, cellulose, and rice straw) into LA through a hydrothermal process. Only results obtained with glucose are highlighted (Figure 12). At optimized reaction conditions, 56% of LA yield was achieved over Ga@PMO12O40 catalyst, after 10 h reaction at 448 K [38].
Sun et al. synthesized a solid catalyst starting from phosphotungstic acid, which had the central phosphorus atom replaced by aluminum and, afterwards, it was precipitated with choline chloride (Figure 13) generating the coline aluminotungstate [39].
This solid catalyst was used in reactions to convert cellulose to LA, 5-HMF, and glucose (Figure 14).
Those authors evaluated the impacts of temperature on the yield of these three products and verified that regardless of reaction temperature, glucose was always the main product (Figure 15).
Kumar et al. assessed the effect shown in Figure 15 [38]. They verified that a complete conversion of glucose to levulinic acid is achieved only when the hydrothermal reaction temperature is greater than 423 K. The complete absence of signals typical of glucose in NMR spectra assures this result. In the case of the reaction product of the reaction carried out at 393 K, glucose conversion is incomplete and signals typical of glucose are observed along with the peaks of reaction products, levulinic and formic acid. An increase in this temperature led to a higher yield of LA and 5-HMF.
Li et al. developed a system to produce levulinic acid from glucose and cellulose. Using phosphotungstic acid as a catalyst and a mixture of GVL (γ-valerolactone) and water to form a deep eutectic solvent those authors achieved levulinic acid yields of 98.9% from glucose and 88.6% from cellulose (Figure 16) [37].
Several mechanisms have been proposed to demonstrate how the cellulose is converted to levulinic acid. Figure 17 shows a probable route, where after the cellulose has been broken into glucose, it is isomerized to a five-membered ring (fructose) that gives LA after two successive dehydration reactions.

3. Main Substrates and Heteropolyacid Catalysts Used to Produce FURFURAL

Commercially, furfural has been produced via acid-catalyzed conversion of xylanes present in hemicellulose. These compounds are hydrolyzed to form xylose, which undergoes a cyclodehydration step resulting in furfural. Furfural can also be obtained from agricultural residues, such as sunflower seed husks and corn cobs, avoiding competition with the food industry [39,40].
The transformation of pentosan to furfural often results in many side-products because of the diverse functional groups present in pentosan. The major by-product is acetic acid, corresponding to the acetylation reaction of the acetyl group. However, other carboxylic acids are also produced [41].
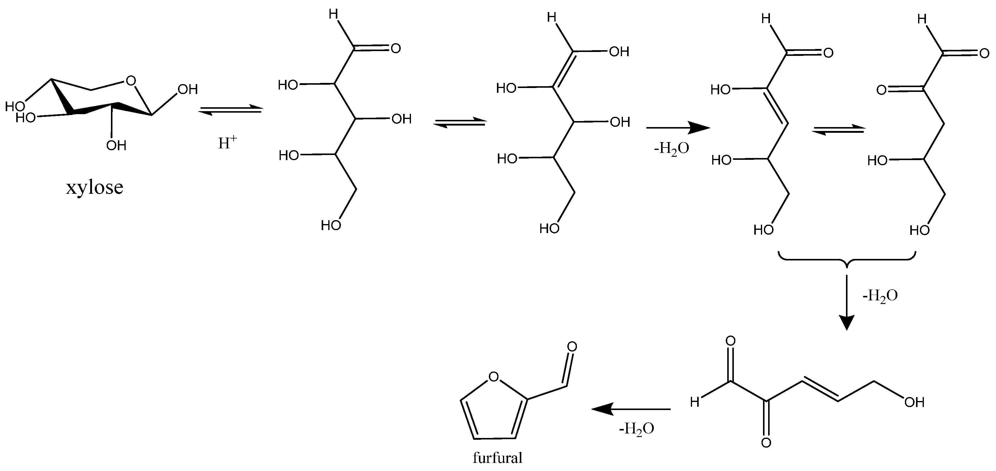
Although the exact mechanism of furfural formation was not established two proposes are accepted to explain the dehydration of xylose to furfural. The first involves the reactions with open-chain intermediates (aldose), whose equilibrium converts reversibly to 1,2-enediol. The latter is then dehydrated to enol of a 3-deoxyglycosulose, which further dehydrates and gives the furfural [5]. The second mechanism involves two 1,2-eliminations and one 1,4-elimination of water promoted by an acid catalyst. Charged enol intermediates are formed which will successively release water molecules along the process. After the 1,4-elimination, the hydrogen ion is removed to provide furfural [42].
Cuervo et al. described a series of works where different researchers used heteropolyacid catalysts to convert xylose to furfural [43]. For instance, they reported that Dias, Pillinger, and Valente evaluated the dehydration of d-xylose to produce furfural using different HPAs in homogeneous processes carried out in a liquid phase (DMSO), at temperatures of 413 K, under nitrogen, Figure 16 [43]. After 4 h, the reactions in the presence of H3PW12O40, PTSA, or H2SO4 achieved furfural yields of 63%, 67%, and 58%, respectively. Tests with other solvents, H2O, toluene/water, and IBMK (isobutyl methyl ketone)/water showed lower conversions and selectivities.
Keggin HPAs are commercially affordable, exhibiting a strong Brønsted acidity. Therefore, they have been used in reactions to produce furfural from saccharides such as xylose. Dias et al. compared the activity of three commercial Keggin HPAs and the results are in Figure 18 [44].
The phosphotungstic acid was the most active and selective catalyst producing furfural with a 67% yield. It can be assigned to the highest strength of Brønsted acidity. It is important to highlight that all the reactions were carried out in homogeneous conditions with an equal amount of protons. The phosphomolybdic acid is the weakest in terms of strength of Brønsted acidity.
The same research group immobilized H3PW12O40 acid in micelle-templated silica (MTS) and evaluated its activity in the conversion of xylose to furfural, which reached conversions of 49% and 52% yield (Figure 19) [45].
Pillinger, Valente, and Dias synthesized cesium salts of 12-tungstophosphoric acid, CsxH3−xPW12O40 in the bulk form or supported on medium-pore MCM-41 that achieved 45% furfural yield [46]. Guo et al. prepared Sn(II) salts of the same HPA (Sn0.625Cs0.5P12W40), which achieved 100% conversion of xylose with 63% furfural yield, in DMSO/H2O mixture with 1:1 volume ratio (453 K/3 h) [47]. More details of these reactions are depicted in Figure 20.
It is important to note that furfural yield can be lower if oligomerization reactions occur during the process. The use of an inert atmosphere can minimize this effect. Nitrogen atmosphere was used in all reactions to avoid furfural oxidation or oligomerization reactions. Although the reactions in the presence of H3PW12O40 or its salt Sn0.625Cs0.5P12WO40) had achieved the same furfural yield (63%), the first was carried out at a lower temperature (423 K), while the second one was performed at 473 K [46]. However, the first catalyst is homogeneous while the second one is solid. The solid-supported cesium phosphotungstate reached lower yields.
Guo et al. prepared a series of bimetallic catalysts (Cs-Sn phosphotungstates) and evaluated their activity in xylose conversion reactions to furfural. Figure 21 shows the main results [47].
Guo et al. proposed that Sn4+ cations occupied the surface space of Cs+, enhancing its catalytic activity. Therefore, an increase in Sn4+ load improves the furfural yield (Figure 20) [47]. This catalyst was evaluated in different solvent mixtures (Figure 22).
The efficiency mixture solvent/water obeyed the following sequence: DMSO > butanol > ethanol > isopropanol > acetone. The polarity and ability to inhibit parallel reactions were the main reasons for achieving a higher selectivity. Reactions carried out in the water: DMSO reached the highest selectivity furfural (63%).
Several authors have proposed mechanisms for the conversion of xylose to furfural [15]. Yan et al. proposed a reaction pathway where the xylose has its five-membered ring opened in an acidic medium, generating an aldehyde that has undergone tautomerization in an equilibrium between aldo- and enol intermediates, which loses water led to unsaturated α,β-dicarbonylic, that gives the furfural after eliminating another water molecule (Figure 23) [48].
Figure 23 shows another proposal for the formation of furfural from xylose, where the main difference is the last step, which shows a keto-enol as the last intermediate while in Figure 24 it is dehydrated, as an unsaturated α,β-dicarbonylic compound [49].
Other polysaccharides such as alginic acid can also be converted to furfural, although with a lower yield than xylose even at a higher temperature (Figure 25) [50].
Dias et al. synthesized cesium phosphotungstates supported on medium-pore MCM-41 (3.7 nm) or large-pore (9.6 nm) micelle-templated silicas and evaluated its catalytic activity in different solvents at varied temperatures in reactions to produce furfural from xylose [46]. The main results are displayed in Figure 26.
Those authors concluded that for low cesium heteropoly salt loads the size of pores has no impact on the conversion (see reaction s with 15 wt. %, Figure 25). Nevertheless, at these conditions, the furfural yield becomes two times greater over a large pore catalyst. It is suggestive that the diffusion of the reactant molecules should be important. The greatest conversion and yield were achieved in DMSO using a higher catalyst load (Cs3PW12O40 (34 wt. %)/MP-MCM-41). Regardless of the catalyst, support, or temperature, the furfural yield was more favored when the reactions were carried out in the presence of water/toluene mixtures.

4. Conclusions

In this review, all the aspects that govern the processes of synthesis of furfural and levulinic acid from main saccharides such as fructose, glucose, and xylose over Keggin heteropolyacids were discussed. Two possible strategies to convert the soluble heteropolyacids into a heterogeneous catalyst were addressed. The first was the synthesis of different solid-supported heteropolyacid catalysts such as metal oxides, mesoporous silica, and zeolites. The second one was its conversion to insoluble salts. To do this, several authors used the ion-exchange method, where the protons of heteropolyacids were exchanged with metal or organic cations, all of them with large radium.
The impact of main reaction parameters such as solvent, temperature, time, concentration and nature of heteropolyacid catalysts were reported. A series of heterogeneous processes either with solid-supported heteropolyacid catalysts or heteropolyacid salts were performed, aiming to highlight the advantages or disadvantages of each one. Most of these solid heteropoly catalysts are easily recyclable and can be reused without loss of activity.

Author Contributions

Conceptualization, M.J.d.S.; methodology, M.J.d.S.; software, M.J.d.S. and A.A.R.; investigation, M.J.d.S., A.A.R. and D.C.B.; resources, M.J.d.S., A.A.R. and D.C.B.; writing—original draft preparation, M.J.d.S.; writing—review and editing, M.J.d.S.; supervision, M.J.d.S. All authors have read and agreed to the published version of the manuscript.

Funding

Aperfeiçoamento de Pessoal de Nível Superior—Brasil (CAPES—Finance Code 001).

Data Availability Statement

Not applicable.

Acknowledgments

The authors are grateful to the Brazilian research agencies, CAPES, FAPEMIG and CNPq for the financial support.

Conflicts of Interest

The authors declare no conflict of interest.

References

  1. Di Bucchianico, D.D.M.; Wang, Y.; Buvat, J.C.; Pan, Y.; Moreno, V.C.; Leveneur, S. Production of levulinic acid and alkyl levulinates: A process insight. Green Chem. 2022, 24, 614–646. [Google Scholar] [CrossRef]
  2. Mika, L.T.; Cséfalvay, E.; Németh, Á. Catalytic Conversion of Carbohydrates to Initial Platform Chemicals: Chemistry and Sustainability. Chem. Rev. 2018, 118, 505–613. [Google Scholar] [CrossRef]
  3. Adhami, W.; Richel, A.; Len, C. A review of recent advances in the production of furfural in batch system. Mol. Catal. 2023, 554, 113178–1131930. [Google Scholar] [CrossRef]
  4. Li, X.; Jia, P.; Wang, T. Furfural: A promising platform compound for sustainable production of C4 and C5 chemicals. ACS Catal. 2016, 6, 7621–7640. [Google Scholar] [CrossRef]
  5. Mamman, A.S.; Lee, J.-M.; Kim, Y.-C.; Hwang, I.T.; Park, N.-J.; Hwang, Y.K.; Chang, J.-S.; Hwang, J.-S. Furfural: Hemicellulose/Xylosederived Biochemical. Biofuels Bioprod Biorefining 2008, 2, 438–454. [Google Scholar] [CrossRef]
  6. Mariscal, R.; Maireles-Torres, P.; Ojeda, M.; Sádaba, I.; López Granados, M. Furfural: A Renewable and Versatile Platform Molecule for the Synthesis of Chemicals and Fuels. Energy Environ. Sci. 2016, 9, 1144–1189. [Google Scholar] [CrossRef]
  7. Kikhtyanin, O.; Kelbichová, V.; Vitvarová, D.; Kubů, M.; Kubička, D. Aldol Condensation of Furfural and Acetone on Zeolites. Catal Today 2014, 227, 154–162. [Google Scholar] [CrossRef]
  8. Wang, Y.; Cui, Q.; Guan, Y.; Wu, P. Facile Synthesis of Furfuryl Ethyl Ether in High Yield via the Reductive Etherification of Furfural in Ethanol over Pd/c under Mild Conditions. Green Chem. 2018, 20, 2110–2117. [Google Scholar] [CrossRef]
  9. Pileidis, F.D.; Titirici, M.-M. Levulinic Acid Biorefineries: New Challenges for Efficient Utilization of Biomass. ChemSusChem 2016, 9, 562–582. [Google Scholar] [CrossRef]
  10. Lange, J.-P.; van der Heide, E.; van Buijtenen, J.; Price, R. Furfural-A Promising Platform for Lignocellulosic Biofuels. ChemSusChem 2011, 5, 150–166. [Google Scholar] [CrossRef]
  11. Khan, M.A.; Dharmalingam, B.; Chuetor, S.; Cheng, Y.-C.; Sriariyanun, M. Comprehensive Review on Effective Conversion of Lignocellulosic Biomass to Levulinic Acid. Biomass Convers Biorefinery 2023, 1–16. [Google Scholar] [CrossRef]
  12. Xu, W.; Chen, X.; Guo, H.; Li, H.; Zhang, H.; Xiong, L.; Chen, X. Conversion of Levulinic Acid to Valuable Chemicals: A Review. J. Chem. Technol. Biotechnol. 2021, 96, 3009–3024. [Google Scholar] [CrossRef]
  13. Zai, Y.; Feng, Y.; Zeng, X.; Tang, X.; Sun, Y.; Lin, L. Synthesis of 5-Aminolevulinic Acid with Nontoxic Regents and Renewable Methyl Levulinate. RSC Adv. 2019, 9, 10091–10093. [Google Scholar] [CrossRef] [PubMed]
  14. Kamble, P.A.; Vinod, C.P.; Rathod, V.K.; Kantam, M.L. Hydrogenation of Levulinic Acid to Gamma-Valerolactone over Nickel Supported Organoclay Catalyst. Catal. Today 2023, 408, 36–49. [Google Scholar] [CrossRef]
  15. Jiang, Z.; Hu, D.; Zhao, Z.; Yi, Z.; Chen, Z.; Yan, K. Mini-Review on the Synthesis of Furfural and Levulinic Acid from Lignocellulosic Biomass. Processes 2021, 9, 1234. [Google Scholar] [CrossRef]
  16. Rackemann, D.W.; Doherty, W.O. The Conversion of Lignocellulosics to Levulinic Acid. Biofuels Bioprod. Biorefining 2011, 5, 198–214. [Google Scholar] [CrossRef]
  17. Sajid, M.; Farooq, U.; Bary, G.; Azim, M.M.; Zhao, X. Sustainable Production of Levulinic Acid and Its Derivatives for Fuel Additives and Chemicals: Progress, Challenges, and Prospects. Green Chem. 2021, 23, 9198–9238. [Google Scholar] [CrossRef]
  18. Kozhevnikov, I.V. Heteropoly acids and related compounds as catalysts for fine chemical synthesis. Catal. Rev. 1995, 37, 311–352. [Google Scholar] [CrossRef]
  19. Da Silva, M.J.; Liberto, N.A. Soluble and solid supported Keggin heteropolyacids as catalysts in reactions for biodiesel production: Challenges and recent advances. Curr. Org. Chem. 2016, 20, 1263–1283. [Google Scholar] [CrossRef]
  20. Fan, C.; Guan, H.; Zhang, H.; Wang, J.; Wang, S.; Wang, X. Conversion of Fructose and Glucose into 5-Hydroxymethylfurfural Catalyzed by a Solid Heteropolyacid Salt. Biomass Bioenergy 2011, 35, 2659–2665. [Google Scholar] [CrossRef]
  21. Narkhede, N.; Patel, A. Sustainable valorisation of glycerol via acetalization as well as carboxylation reactions over silicotungstates anchored to zeolite Hβ. Appl. Catal. A 2016, 515, 154–163. [Google Scholar] [CrossRef]
  22. Ferreira, P.A.; Fonseca, I.M.; Ramos, A.M.; Vital, J.; Castanheiro, J.E. Valorization of glycerol by condensation with acetone over silica-included heteropolyacids. App. Catal. B Environ. 2010, 98, 94–99. [Google Scholar] [CrossRef]
  23. Srikanth, A.; Viswanadham, B.; Kumar, V.P.; Anipindi, N.R.; Chary, K.V.R. Synthesis and characterization of Cs-exchanged heteropolyacid catalysts functionalized with Sn for carbonolysis of glycerol to glycerol carbonate. Appl. Petrochem. Res. 2016, 6, 145–153. [Google Scholar] [CrossRef]
  24. Srinivas, M.; Raveendra, G.; Parameswaram, G.; Prasad, P.S.S.; Lingaiah, N. Cesium exchanged tungstophosphoric acid Supported on tin oxide: An efficient solid acid catalyst for etherification of glycerol with tert-butanol to synthesize biofuel additives. J. Mol. Catal. A 2016, 413, 7–14. [Google Scholar] [CrossRef]
  25. Da Silva, M.J.; Rodrigues, A.A.; Lopes, N.P.G. Cesium Heteropolyacid Salts: Synthesis, Characterization and Activity of the Solid and Versatile Heterogeneous Catalysts. Chemistry 2023, 5, 662–690. [Google Scholar] [CrossRef]
  26. Patel, A.U.; Patel, J.R. Cesium salt of iron substituted phosphomolybdate: Synthesis, characterization, room temperature hydrogenation of styrene and its mechanistic evaluation. Mol. Catal. 2021, 513, 111827–111837. [Google Scholar] [CrossRef]
  27. Da Silva, M.J.; De Oliveira, C.M. Catalysis by Keggin Heteropolyacid Salts. Curr. Catal. 2018, 7, 26–34. [Google Scholar] [CrossRef]
  28. Narkhede, N.; Patel, A. Efficient synthesis of biodiesel over a recyclable catalyst comprising a monolacunary silicotungstate and zeolite Hβ. RSC Adv. 2014, 4, 64379–64387. [Google Scholar] [CrossRef]
  29. Coronel, N.C.; Da Silva, M.J. Lacunar Keggin heteropolyacid salts: Soluble, solid, and solid-supported catalysts. J. Clust. Sci. 2018, 29, 195–205. [Google Scholar] [CrossRef]
  30. Yan, K.; Lafleur, T.; Wu, X.; Chai, J.; Wu, G.; Xie, X. Cascade upgrading of γ-valerolactone to biofuels. Chem. Commun. 2015, 51, 6984–6987. [Google Scholar] [CrossRef]
  31. Velaga, B.; Peela, N.R. Levulinic Acid Production from Furfural: Process Development and Techno-Economics. Green Chem. 2022, 24, 3326–3343. [Google Scholar] [CrossRef]
  32. Guzmán, I.; Heras, A.; Güemez, M.B.; Iriondo, A.; Cambra, J.F.; Requies, J. Levulinic Acid Production Using Solid-Acid Catalysis. Ind. Eng. Chem. Res. 2016, 55, 5139–5144. [Google Scholar] [CrossRef]
  33. Zhang, X.; Zhang, X.; Sun, N.; Wang, S.; Wang, X.; Jiang, Z. High production of levulinic acid from cellulosic feedstocks being catalyzed by temperature-responsive transition metal substituted heteropolyacids. Renew. Energy 2019, 141, 802–813. [Google Scholar] [CrossRef]
  34. Okuhara, T.; Mizuno, N.; Misono, M. Catalytic Chemistry of Heteropoly Compounds. Adv. Catal. 1996, 41, 113–252. [Google Scholar] [CrossRef]
  35. Chambon, F.; Rataboul, F.; Pinel, C.; Cabiac, A.; Guillon, E.; Essayem, N. Cellulose hydrothermal conversion promoted by heterogeneous Brønsted and Lewis acids: Remarkable efficiency of solid Lewis acids to produce lactic acid. Appl. Catal. B Environ. 2011, 105, 171–181. [Google Scholar] [CrossRef]
  36. Delidovich, I.; Leonhard, K.; Palkovits, R. Cellulose and hemicellulose valorisation: An integrated challenge of catalysis and reaction engineering. Energy Environ. Sci. 2014, 7, 2803–2830. [Google Scholar] [CrossRef]
  37. Li, X.; Lu, X.; Nie, S.; Liang, M.; Yu, Z.; Duan, B.; Yang, J.; Xu, R.; Lu, L.; Si, C. Efficient catalytic production of biomass-derived levulinic acid over phosphotungstic acid in a deep eutectic solvent. Ind. Crops Prod. 2020, 145, 112154. [Google Scholar] [CrossRef]
  38. Kumar, V.B.; Pulidindi, I.N.; Mishra, R.K.; Gedanken, A. Development of Ga Salt of Molybdophosphoric Acid for Biomass Conversion to Levulinic Acid. Energy Fuels 2016, 30, 10583–10591. [Google Scholar] [CrossRef]
  39. Sun, Z.; Xue, L.; Wang, S.; Wang, X.; Shi, J. Single step conversion of cellulose to levulinic acid using temperature-responsive dodeca-aluminotungstic acid catalysts. Green Chem. 2016, 18, 742–752. [Google Scholar] [CrossRef]
  40. Overend, R.P.; Milne, T.A.; Mudge, L.K. Fundamentals of Thermochemical Biomass Conversion; Springer: Dordrecht, The Netherlands, 1985. [Google Scholar] [CrossRef]
  41. Cousin, E.; Namhaed, K.; Pérès, Y.; Cognet, P.; Delmas, M.; Hermansyah, H.; Gozan, M.; Alaba, P.A.; Aroua, M.K. Towards efficient and greener processes for furfural production from biomass: A review of the recent trends. Sci. Total Environ. 2022, 847, 157599. [Google Scholar] [CrossRef]
  42. Bozell, J.J.; Petersen, G.R. Technology development for the production of biobased products from biorefinery carbohydrates—The US Department of Energy’s “top 10” revisited. Green Chem. 2010, 12, 525–728. [Google Scholar] [CrossRef]
  43. Pardo Cuervo, O.H.; Romanelli, G.P.; Cubillos, J.A.; Rojas, H.A.; Martínez, J.J. Selective Catalytic Dehydration of Xylose to Furfural and Fructose and Glucose to 5-Hydroximethylfurfural (HMF) Using Preyssler Heteropolyacid. Chem. 2020, 5, 4186–4193. [Google Scholar] [CrossRef]
  44. Dias, A.S.; Pillinger, M.; Valente, A.A. Liquid Phase Dehydration of D-Xylose in the Presence of Keggin-Type Heteropolyacids. Appl. Catal. A Gen. 2005, 285, 126–131. [Google Scholar] [CrossRef]
  45. Dias, A.S.; Pillinger, M.; Valente, A.A. Mesoporous Silica-Supported 12-Tungstophosphoric Acid Catalysts for the Liquid Phase Dehydration of D-Xylose. Microporous Mesoporous Mater. 2006, 94, 214–225. [Google Scholar] [CrossRef]
  46. Dias, A.S.; Lima, S.; Pillinger, M.; Valente, A.A. Acidic Cesium Salts of 12-Tungstophosphoric Acid as Catalysts for the Dehydration of Xylose into Furfural. Carbohydr. Res. 2006, 341, 2946–2953. [Google Scholar] [CrossRef] [PubMed]
  47. Guo, X.; Guo, F.; Li, Y.; Zheng, Z.; Xing, Z.; Zhu, Z.; Liu, T.; Zhang, X.; Jin, Y. Dehydration of D-Xylose into Furfural over Bimetallic Salts of Heteropolyacid in DMSO/H2O Mixture. Appl. Catal. A Gen. 2018, 558, 18–25. [Google Scholar] [CrossRef]
  48. Yan, K.; Wu, G.; Lafleur, T.; Jarvis, C. Production, properties and catalytic hydrogenation of furfural to fuel additives and value-added chemicals. Renew. Sustain. Energy Rev. 2014, 38, 663–676. [Google Scholar] [CrossRef]
  49. Filiciotto, L.; Balu, A.M.; Van der Waal, J.C.; Luque, R. Catalytic Insights into the Production of Biomass-Derived Side Products Methyl Levulinate, Furfural and Humins. Catal. Today 2018, 302, 2–15. [Google Scholar] [CrossRef]
  50. Park, G.; Jeon, W.; Ban, C.; Woo, H.C.; Kim, D.H. Direct catalytic conversion of brown seaweed-derived alginic acid to furfural using 12-tungstophosphoric acid catalyst in tetrahydrofuran/wa0ter co-solvent. Energy Convers. Manag. 2016, 118, 135–141. [Google Scholar] [CrossRef]
Figure 1. Transformations of lignocellulosic biomass [2].
Figure 1. Transformations of lignocellulosic biomass [2].
Reactions 05 00019 g001
Figure 2. Production of levulinic acid from cellulose [31].
Figure 2. Production of levulinic acid from cellulose [31].
Reactions 05 00019 g002
Figure 3. H3PW12O40 (10 wt. %)/ZSM-5-catalyzed conversion of furfuryl alcohol to LA [32]. Reaction conditions: catalyst (0.4 g); temperature (413 K); pressure (10 bar of H2); solvent (4.2 mL of double-distilled water + 15.8 mL of methyl ethyl ketone); time (1 h of reaction after 3.5 h of flow being fed).
Figure 3. H3PW12O40 (10 wt. %)/ZSM-5-catalyzed conversion of furfuryl alcohol to LA [32]. Reaction conditions: catalyst (0.4 g); temperature (413 K); pressure (10 bar of H2); solvent (4.2 mL of double-distilled water + 15.8 mL of methyl ethyl ketone); time (1 h of reaction after 3.5 h of flow being fed).
Reactions 05 00019 g003
Figure 4. Production of LA from cellulose over different Keggin heteropolyacid catalysts [33]. Reaction conditions: cellulose (0.1 g); temperature (403 K); catalyst (0.08 mmol); solvent (5 mL of methyl isobutyl ketone + 0.5 mL of water); time (8 h).
Figure 4. Production of LA from cellulose over different Keggin heteropolyacid catalysts [33]. Reaction conditions: cellulose (0.1 g); temperature (403 K); catalyst (0.08 mmol); solvent (5 mL of methyl isobutyl ketone + 0.5 mL of water); time (8 h).
Reactions 05 00019 g004
Figure 5. Production of LA from cellulose in reactions carried out over different metal-substituted phosphotungstic acids [33]. Reaction conditions: cellulose (0.1 g); temperature (403 K); catalyst (0.08 mmol); solvent (5 mL of methyl isobutyl ketone + 0.5 mL of water); time (8 h).
Figure 5. Production of LA from cellulose in reactions carried out over different metal-substituted phosphotungstic acids [33]. Reaction conditions: cellulose (0.1 g); temperature (403 K); catalyst (0.08 mmol); solvent (5 mL of methyl isobutyl ketone + 0.5 mL of water); time (8 h).
Reactions 05 00019 g005
Figure 6. Effect of the metal-substituted phosphotungstic acids and its Brønsted/Lewis acid site molar proportion on the conversion of cellulose and LA yield [33]. Reaction conditions: cellulose (0.1 g); temperature (403 K); catalyst (0.08 mmol); solvent (5 mL of methyl isobutyl ketone + 0.5 mL of water); time (8 h).
Figure 6. Effect of the metal-substituted phosphotungstic acids and its Brønsted/Lewis acid site molar proportion on the conversion of cellulose and LA yield [33]. Reaction conditions: cellulose (0.1 g); temperature (403 K); catalyst (0.08 mmol); solvent (5 mL of methyl isobutyl ketone + 0.5 mL of water); time (8 h).
Reactions 05 00019 g006
Figure 7. Impacts of solvents on the conversion of cellulose and LA yield in reactions carried out over HOCH2CH2N(CH3)3H4PW11TiO40 [33]. Reaction conditions: cellulose (0.1 g); temperature (403 K); catalyst (0.08 mmol); time (8 h), solvents: (H2O = 5.5 mL); and its mixtures at 1:10 proportions with MIBK (methyl isobutyl ketone), DMSO (dimethylsulfoxide), GLV (γ-valerolactone), Acetone, THF (tetrahydrofuran).
Figure 7. Impacts of solvents on the conversion of cellulose and LA yield in reactions carried out over HOCH2CH2N(CH3)3H4PW11TiO40 [33]. Reaction conditions: cellulose (0.1 g); temperature (403 K); catalyst (0.08 mmol); time (8 h), solvents: (H2O = 5.5 mL); and its mixtures at 1:10 proportions with MIBK (methyl isobutyl ketone), DMSO (dimethylsulfoxide), GLV (γ-valerolactone), Acetone, THF (tetrahydrofuran).
Reactions 05 00019 g007
Figure 8. Conversion of cellulose to LA over HOCH2CH2N(CH3)3H4PW11TiO40 catalyst [33].
Figure 8. Conversion of cellulose to LA over HOCH2CH2N(CH3)3H4PW11TiO40 catalyst [33].
Reactions 05 00019 g008
Figure 9. Cellulose and glucose conversions to levulinic acid (LA) and furfural over tungsten and molybdenum heteropolyacids [37]. Reaction conditions: substrate (0.3 g); temperature (468 K); catalyst (0.3 g); solvent (17 mL of γ-valerolactone + 3.0 mL of water); time (2 h).
Figure 9. Cellulose and glucose conversions to levulinic acid (LA) and furfural over tungsten and molybdenum heteropolyacids [37]. Reaction conditions: substrate (0.3 g); temperature (468 K); catalyst (0.3 g); solvent (17 mL of γ-valerolactone + 3.0 mL of water); time (2 h).
Reactions 05 00019 g009
Figure 10. Effect of γ-valerolactone/H2O molar ratio on the H3PW12O40-catalyzed glucose conversion reaction to LA. Reaction conditions: glucose (0.3 g); temperature (468 K); catalyst (0.3 g); solvent (20 mL); time (2 h) [37].
Figure 10. Effect of γ-valerolactone/H2O molar ratio on the H3PW12O40-catalyzed glucose conversion reaction to LA. Reaction conditions: glucose (0.3 g); temperature (468 K); catalyst (0.3 g); solvent (20 mL); time (2 h) [37].
Reactions 05 00019 g010
Figure 11. Effect of γ-valerolactone/water ratio on the H3PW12O40-catalyzed cellulose conversion to LA [37]. Reaction conditions: glucose (0.3 g); temperature (468 K); catalyst (0.3 g); solvent (20 mL); time (2 h).
Figure 11. Effect of γ-valerolactone/water ratio on the H3PW12O40-catalyzed cellulose conversion to LA [37]. Reaction conditions: glucose (0.3 g); temperature (468 K); catalyst (0.3 g); solvent (20 mL); time (2 h).
Reactions 05 00019 g011
Figure 12. Effect of gallium and phosphomolybdic acid on glucose conversion to LA Ga@HPMo = H3PMo12O40 entrapped in gallium micro/nanoparticles [38]. Reaction conditions: glucose (0.5 g); temperature (423 K); catalyst (0.1 g); water (15 mL); time (12 h).
Figure 12. Effect of gallium and phosphomolybdic acid on glucose conversion to LA Ga@HPMo = H3PMo12O40 entrapped in gallium micro/nanoparticles [38]. Reaction conditions: glucose (0.5 g); temperature (423 K); catalyst (0.1 g); water (15 mL); time (12 h).
Reactions 05 00019 g012
Figure 13. Synthesis of the coline aluminotungstate catalyst from the aluminotungstic acid and choline chloride [39]. The term Ch in the final material represents the choline cation.
Figure 13. Synthesis of the coline aluminotungstate catalyst from the aluminotungstic acid and choline chloride [39]. The term Ch in the final material represents the choline cation.
Reactions 05 00019 g013
Figure 14. Coline aluminotungstate-catalyzed reaction to convert cellulose to LA, 5-HMF, and glucose [39].
Figure 14. Coline aluminotungstate-catalyzed reaction to convert cellulose to LA, 5-HMF, and glucose [39].
Reactions 05 00019 g014
Figure 15. Effect of temperature on the yields of LA, 5-HMF, and glucose obtained from cellulose in choline aluminotungstate-catalyzed reactions [39]. Reaction conditions: Cellulose (1 g with 7 mL of water); catalyst (0.08 mmol); time (6 h).
Figure 15. Effect of temperature on the yields of LA, 5-HMF, and glucose obtained from cellulose in choline aluminotungstate-catalyzed reactions [39]. Reaction conditions: Cellulose (1 g with 7 mL of water); catalyst (0.08 mmol); time (6 h).
Reactions 05 00019 g015
Figure 16. Cellulose conversion to levulinic acid in a system GVL/water catalyzed by phosphotungstic acid [37].
Figure 16. Cellulose conversion to levulinic acid in a system GVL/water catalyzed by phosphotungstic acid [37].
Reactions 05 00019 g016
Figure 17. Reaction mechanism of conversion of cellulose to LA.
Figure 17. Reaction mechanism of conversion of cellulose to LA.
Reactions 05 00019 g017
Figure 18. Conversion xylose to furfural catalyzed by Keggin acids [44]. Reaction conditions: 1 mL DMSO, 30 mg xylose, 20 mg HPA, 413 K, and 4 h.
Figure 18. Conversion xylose to furfural catalyzed by Keggin acids [44]. Reaction conditions: 1 mL DMSO, 30 mg xylose, 20 mg HPA, 413 K, and 4 h.
Reactions 05 00019 g018
Figure 19. Xylose conversion to furfural catalyzed by H3PW12O40/MTS [45].
Figure 19. Xylose conversion to furfural catalyzed by H3PW12O40/MTS [45].
Reactions 05 00019 g019
Figure 20. Furfural yield obtained from xylose in reactions carried out over phosphotungstate catalysts [44,45,46,47].
Figure 20. Furfural yield obtained from xylose in reactions carried out over phosphotungstate catalysts [44,45,46,47].
Reactions 05 00019 g020
Figure 21. Cs-Sn bimetallic phosphotungstate salts in xylose dehydration reactions to furfural [47]. Reaction conditions: D-xylose 0.2 g, Sn0.625Cs0.5PW 0.16 g, solvent 20 mL, 200 °C, 3.5 h, in water media.
Figure 21. Cs-Sn bimetallic phosphotungstate salts in xylose dehydration reactions to furfural [47]. Reaction conditions: D-xylose 0.2 g, Sn0.625Cs0.5PW 0.16 g, solvent 20 mL, 200 °C, 3.5 h, in water media.
Reactions 05 00019 g021
Figure 22. Furfural selectivity (mol%) achieved in Sn0.625Cs0.5P12WO40-catalyzed xylose dehydration reactions in different solvent/H2O mixtures [47]. Solvent: water volume ratio (1:1), D-xylose (0.1 g), catalyst Sn0.625Cs0.5PW12O40 (0.08 g), volume reaction 20 mL, temperature 473 K, time (3 h).
Figure 22. Furfural selectivity (mol%) achieved in Sn0.625Cs0.5P12WO40-catalyzed xylose dehydration reactions in different solvent/H2O mixtures [47]. Solvent: water volume ratio (1:1), D-xylose (0.1 g), catalyst Sn0.625Cs0.5PW12O40 (0.08 g), volume reaction 20 mL, temperature 473 K, time (3 h).
Reactions 05 00019 g022
Figure 23. Xylose conversion to furfural (adapted from [15,47]).
Figure 23. Xylose conversion to furfural (adapted from [15,47]).
Reactions 05 00019 g023
Figure 24. Furfural formation mechanism from xylose without the gem diol intermediate [49].
Figure 24. Furfural formation mechanism from xylose without the gem diol intermediate [49].
Reactions 05 00019 g024
Figure 25. Conversion of alginic acid to furfural [50].
Figure 25. Conversion of alginic acid to furfural [50].
Reactions 05 00019 g025
Figure 26. Effects of solvent and temperature on the conversion of xylose to furfural in the presence of cesium phosphotungstate salts supported on molecular sieves with different porosity [46]. Reaction time: 4 h. MP = medium porosity; LP = low porosity.
Figure 26. Effects of solvent and temperature on the conversion of xylose to furfural in the presence of cesium phosphotungstate salts supported on molecular sieves with different porosity [46]. Reaction time: 4 h. MP = medium porosity; LP = low porosity.
Reactions 05 00019 g026
Disclaimer/Publisher’s Note: The statements, opinions and data contained in all publications are solely those of the individual author(s) and contributor(s) and not of MDPI and/or the editor(s). MDPI and/or the editor(s) disclaim responsibility for any injury to people or property resulting from any ideas, methods, instructions or products referred to in the content.

Share and Cite

MDPI and ACS Style

da Silva, M.J.; Rodrigues, A.A.; Batalha, D.C. Furfural and Levulinic Acid: Synthesis of Platform Molecules from Keggin Heteropolyacid-Catalyzed Biomass Conversion Reactions. Reactions 2024, 5, 361-378. https://doi.org/10.3390/reactions5020019

AMA Style

da Silva MJ, Rodrigues AA, Batalha DC. Furfural and Levulinic Acid: Synthesis of Platform Molecules from Keggin Heteropolyacid-Catalyzed Biomass Conversion Reactions. Reactions. 2024; 5(2):361-378. https://doi.org/10.3390/reactions5020019

Chicago/Turabian Style

da Silva, Marcio Jose, Alana Alves Rodrigues, and Daniel Carreira Batalha. 2024. "Furfural and Levulinic Acid: Synthesis of Platform Molecules from Keggin Heteropolyacid-Catalyzed Biomass Conversion Reactions" Reactions 5, no. 2: 361-378. https://doi.org/10.3390/reactions5020019

APA Style

da Silva, M. J., Rodrigues, A. A., & Batalha, D. C. (2024). Furfural and Levulinic Acid: Synthesis of Platform Molecules from Keggin Heteropolyacid-Catalyzed Biomass Conversion Reactions. Reactions, 5(2), 361-378. https://doi.org/10.3390/reactions5020019

Article Metrics

Back to TopTop