Influence of Oxygen Carrier on the Autothermicity of a Chemical-Looping Reforming Process for Hydrogen Production
Abstract
1. Introduction
- High oxygen-carrying storage and availability: the diffusion of lattice oxygen from the bulk phase plays a crucial role in reaction kinetics in CLR processes. Consequently, the oxygen-carrying capacity and the strength of the metal–oxygen bond significantly influence the selectivity of the final products.
- Chemical and structural (or mechanical) stability at elevated temperatures. This implies, for example, having high melting points.
- Favorable thermodynamics regarding reduction and oxidation reactions.
- Favorable kinetics and high selectivity towards syngas formation with minimal byproduct generation, including carbon deposition.
- Regenerability: the material must be easily re-oxidized by a suitable oxidizing agent (e.g., air or water), allowing multiple redox cycles with minimal loss in physical integrity and chemical reactivity.
- Adequate oxidation and reduction reaction enthalpies, so that autothermicity can be achieved in the process.
- Durability over multiple cycles: the OCs must maintain their activity and stability after several redox reduction–oxidation cycles, showing minimal fragmentation, attrition, agglomeration, or other mechanical and thermal degradation. It should also tolerate contaminants.
- Low cost and environmentally friendly.
2. Materials and Methods
2.1. Chemical-Looping Reforming Configuration
2.2. Chemical Equilibrium Model
- WO3: W, WO2, WO3, C;
- MnWO4: W, MnO, MnWO4, C;
- NiWO4: W, WO2, Ni, NiWO4, C.
2.3. Energy Balances
3. Results and Discussion
3.1. Chemical Equilibrium
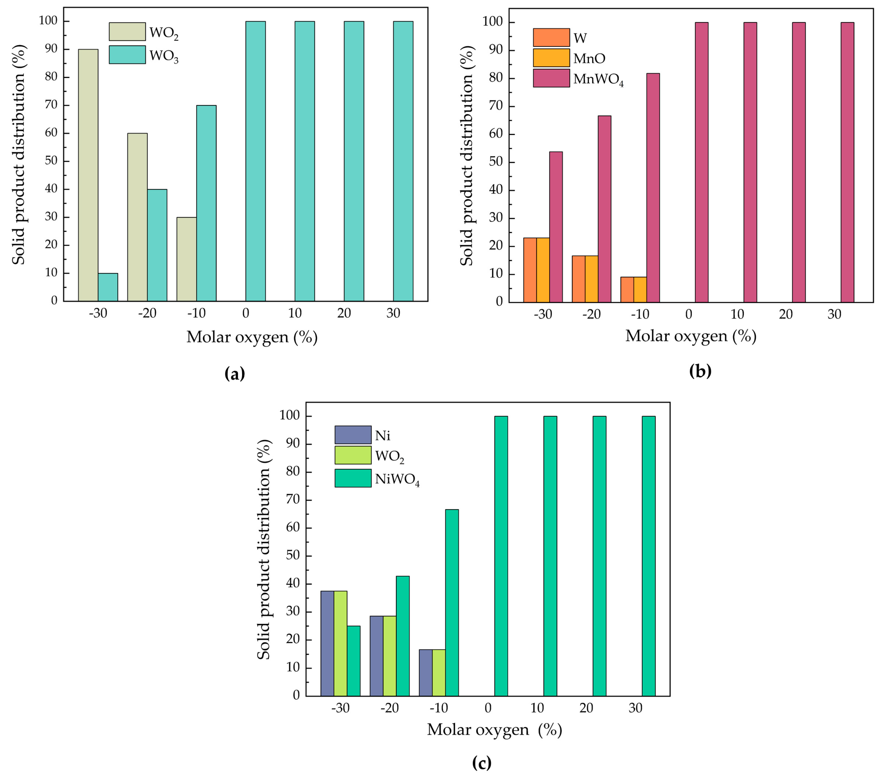
3.1.1. Reduction Reactor
3.1.2. Oxidation Reactor
3.2. Energy Balances
3.2.1. Preheating Stages
3.2.2. Reduction Heat
3.2.3. Regeneration Heat
3.2.4. Net Heat
3.3. H2 Yield vs. Autothermal Conditions
4. Conclusions
Supplementary Materials
Author Contributions
Funding
Data Availability Statement
Acknowledgments
Conflicts of Interest
References
- Yue, M.; Lambert, H.; Pahon, E.; Roche, R.; Jemei, S.; Hissel, D. Hydrogen Energy Systems: A Critical Review of Technologies, Applications, Trends and Challenges. Renew. Sustain. Energy Rev. 2021, 146, 111180. [Google Scholar] [CrossRef]
- Locke, K. The Urgency of Hydrogen: Environmental Issues and the Need for Change. Futur. Sustain. 2024, 2, 46–58. [Google Scholar] [CrossRef]
- IEA The Future of Hydrogen. Available online: https://www.iea.org/reports/the-future-of-hydrogen (accessed on 6 June 2024).
- Diglio, G.; Bareschino, P.; Mancusi, E.; Pepe, F. Novel Quasi-Autothermal Hydrogen Production Process in a Fixed-Bed Using a Chemical Looping Approach: A Numerical Study. Int. J. Hydrogen Energy 2017, 42, 15010–15023. [Google Scholar] [CrossRef]
- Chehade, Z.; Mansilla, C.; Lucchese, P.; Hilliard, S.; Proost, J. Review and Analysis of Demonstration Projects on Power-to-X Pathways in the World. Int. J. Hydrogen Energy 2019, 44, 27637–27655. [Google Scholar] [CrossRef]
- Noor, W.B.; Amin, T. Towards Sustainable Energy: A Comprehensive Review on Hydrogen Integration in Renewable Energy Systems. Futur. Energy 2024, 3, 1–17. [Google Scholar] [CrossRef]
- IRENA International Renewable Energy Agency. Available online: https://www.irena.org/ (accessed on 6 June 2024).
- Alirezaei, I.; Hafizi, A.; Rahimpour, M.R. Syngas Production in Chemical Looping Reforming Process over ZrO2 Promoted Mn-Based Catalyst. J. CO2 Util. 2018, 23, 105–116. [Google Scholar] [CrossRef]
- U.S. Energy Information Administration. International Energy Outlook 2021; U.S. Energy Information Administration: Washington, DC, USA, 2021.
- Chau, K.; Djire, A.; Khan, F. Review and Analysis of the Hydrogen Production Technologies from a Safety Perspective. Int. J. Hydrogen Energy 2022, 47, 13990–14007. [Google Scholar] [CrossRef]
- De Vos, Y.; Jacobs, M.; Van Der Voort, P.; Van Driessche, I.; Snijkers, F.; Verberckmoes, A.; De Vos, Y.; Jacobs, M.; Van Der Voort, P.; Van Driessche, I.; et al. Development of Stable Oxygen Carrier Materials for Chemical Looping Processes—A Review. Catalysts 2020, 10, 926. [Google Scholar] [CrossRef]
- Shafiefarhood, A.; Hamill, J.C.; Neal, L.M.; Li, F. Methane Partial Oxidation Using FeOx@La0.8Sr0.2FeO3−δ Core-Shell Catalyst-Transient Pulse Studies. Phys. Chem. Chem. Phys. 2015, 17, 31297–31307. [Google Scholar] [CrossRef] [PubMed]
- Tang, M.; Xu, L.; Fan, M. Progress in Oxygen Carrier Development of Methane-Based Chemical-Looping Reforming: A Review. Appl. Energy 2015, 151, 143–156. [Google Scholar] [CrossRef]
- Liu, R.; Pei, C.; Zhang, X.; Chen, S.; Li, H.; Zeng, L.; Mu, R.; Gong, J. Chemical Looping Partial Oxidation over FeWOx/SiO2 Catalysts. Chin. J. Catal. 2020, 41, 1140–1151. [Google Scholar] [CrossRef]
- Kodama, T.; Ohtake, H.; Matsumoto, S.; Aoki, A.; Shimizu, T.; Kitayama, Y. Thermochemical Methane Reforming Using a Reactive WO3/W Redox System. Energy 2000, 25, 411–425. [Google Scholar] [CrossRef]
- Kwak, J.H.; Han, G.Y.; Yoon, K.J. Zirconia-Supported Tungsten Oxides for Cyclic Production of Syngas and Hydrogen by Methane Reforming and Water Splitting. Int. J. Hydrogen Energy 2013, 38, 8293–8305. [Google Scholar] [CrossRef]
- Sim, A.; Cant, N.W.; Trimm, D.L. Ceria-Zirconia Stabilised Tungsten Oxides for the Production of Hydrogen by the Methane-Water Redox Cycle. Int. J. Hydrogen Energy 2010, 35, 8953–8961. [Google Scholar] [CrossRef]
- Huang, Z.F.; Song, J.; Pan, L.; Zhang, X.; Wang, L.; Zou, J.J. Tungsten Oxides for Photocatalysis, Electrochemistry, and Phototherapy. Adv. Mater. 2015, 27, 5309–5327. [Google Scholar] [CrossRef]
- Song, J.; Huang, Z.F.; Pan, L.; Zou, J.J.; Zhang, X.; Wang, L. Oxygen-Deficient Tungsten Oxide as Versatile and Efficient Hydrogenation Catalyst. ACS Catal. 2015, 5, 6594–6599. [Google Scholar] [CrossRef]
- Luo, S.; Zeng, L.; Fan, L.S. Chemical Looping Technology: Oxygen Carrier Characteristics. Annu. Rev. Chem. Biomol. Eng. 2015, 6, 53–75. [Google Scholar] [CrossRef]
- Chen, S.; Zeng, L.; Tian, H.; Li, X.; Gong, J. Enhanced Lattice Oxygen Reactivity over Ni-Modified WO3-Based Redox Catalysts for Chemical Looping Partial Oxidation of Methane. ACS Catal. 2017, 7, 3548–3559. [Google Scholar] [CrossRef]
- Corbella, B.M.; De Diego, L.F.; García-Labiano, F.; Adánez, J.; Palacios, J.M. Performance in a Fixed-Bed Reactor of Titania-Supported Nickel Oxide as Oxygen Carriers for the Chemical-Looping Combustion of Methane in Multicycle Tests. Ind. Eng. Chem. Res. 2006, 45, 157–165. [Google Scholar] [CrossRef]
- Quddus, M.R.; Hossain, M.M.; De Lasa, H.I. Ni Based Oxygen Carrier over γ-Al2O3 for Chemical Looping Combustion: Effect of Preparation Method on Metal Support Interaction. Catal. Today 2013, 210, 124–134. [Google Scholar] [CrossRef]
- Silvester, L.; Antzara, A.; Boskovic, G.; Heracleous, E.; Lemonidou, A.A.; Bukur, D.B. NiO Supported on Al2O3 and ZrO2 Oxygen Carriers for Chemical Looping Steam Methane Reforming. Int. J. Hydrogen Energy 2015, 40, 7490–7501. [Google Scholar] [CrossRef]
- Ramezani, R.; Di Felice, L.; Gallucci, F. A Review of Chemical Looping Reforming Technologies for Hydrogen Production: Recent Advances and Future Challenges. J. Phys. Energy 2023, 5, 024010. [Google Scholar] [CrossRef]
- Nieva, M.A.; Villaverde, M.M.; Monzón, A.; Garetto, T.F.; Marchi, A.J. Steam-Methane Reforming at Low Temperature on Nickel-Based Catalysts. Chem. Eng. J. 2014, 235, 158–166. [Google Scholar] [CrossRef]
- Mohanty, U.S.; Ali, M.; Azhar, M.R.; Al-Yaseri, A.; Keshavarz, A.; Iglauer, S. Current Advances in Syngas (CO + H2) Production through Bi-Reforming of Methane Using Various Catalysts: A Review. Int. J. Hydrogen Energy 2021, 46, 32809–32845. [Google Scholar] [CrossRef]
- Stobbe, E.R.; De Boer, B.A.; Geus, J.W. Journal of Molecular Catalysis A: Chemical Promotive Effect of Bi Component on Propane Partial Oxidation Over. Int. J. Hydrogen Energy 2013, 148–149, 1557–1566. [Google Scholar]
- Kiani, D.; Sourav, S.; Baltrusaitis, J.; Wachs, I.E. Oxidative Coupling of Methane (OCM) by SiO2-Supported Tungsten Oxide Catalysts Promoted with Mn and Na. ACS Catal. 2019, 9, 5912–5928. [Google Scholar] [CrossRef]
- Zhao, K.; Huang, J.; Huang, Z.; Lin, Y.; Zheng, M.; Song, D.; Liu, A.; Wang, X.; Zheng, A.; Zhao, Z. Tungstate Promoted CaMnO3-Based Core-Shell Redox Catalysts for Efficient Chemical Looping Oxidative Coupling of Methane. J. Energy Inst. 2022, 105, 273–281. [Google Scholar] [CrossRef]
- Jiang, Z.; Gong, H.; Li, S. Methane Activation over Mn203-Na2WO4/SiO2 Catalyst and Oxygen Spillover. Stud. Surf. Sci. Catal. 1997, 112, 481–490. [Google Scholar]
- López van der Horst, J.; Pompeo, F. Thermodynamic Analysis of MnWO4 as an Oxygen Carrier in a Chemical Looping Scheme for Hydrogen Production. Next Sustain. 2024, 3, 100033. [Google Scholar] [CrossRef]
- Green, D.W.; Perry, R.H. Perry’s Chemical Engineers’ Handbook, 8th ed.; McGraw-Hill: New York, NY, USA, 1984. [Google Scholar]
- Materials Project (Materials Explorer). Available online: https://materialsproject.org/ (accessed on 10 March 2023).
- Elsevier Knovel Database. Available online: https://app.knovel.com/kn (accessed on 3 March 2023).
- National Institute of Standards and Technology (NIST) Webbook. Available online: https://webbook.nist.gov/chemistry/ (accessed on 3 March 2023).
- Golam Mostafa, A.T.M.; Eakman, J.M.; Yarbro, S.L. Prediction of Standard Heats and Gibbs Free Energies of Formation of Solid Inorganic Salts from Group Contributions. Ind. Eng. Chem. Res. 1995, 34, 4577–4582. [Google Scholar] [CrossRef]
- Golam Mostafa, A.T.M.; Eakman, J.M.; Montoya, M.M.; Yarbro, S.L. Prediction of Heat Capacities of Solid Inorganic Salts from Group Contributions. Ind. Eng. Chem. Res. 1996, 35, 343–348. [Google Scholar] [CrossRef]
- Zafar, Q.; Abad, A.; Mattisson, T.; Gevert, B.; Strand, M. Reduction and Oxidation Kinetics of Mn3O4/Mg-ZrO2 Oxygen Carrier Particles for Chemical-Looping Combustion. Chem. Eng. Sci. 2007, 62, 6556–6567. [Google Scholar] [CrossRef]
- Kwak, J.H.; Han, G.Y.; Bae, J.W.; Yoon, K.J. Tungsten Oxides Supported on Nano-Size Zirconia for Cyclic Production of Syngas and Hydrogen by Redox Operations. Korean J. Chem. Eng. 2014, 31, 961–971. [Google Scholar] [CrossRef]
- Sesen, F.E. Practical Reduction of Manganese Oxide. J. Chem. Technol. Appl. 2017, 1, 3–4. [Google Scholar] [CrossRef]
- Sridhar, S.; Sichen, D.U.; Seetharaman, S. Investigation of the kinetics of reduction of nickel tungstate by hydrogen. Metall Mater Trans B. 1994, 25, 391–396. [Google Scholar] [CrossRef]
- Bustnes, J.A.; Sichen, D.; Seetharaman, S. Investigation of the Kinetics of Reduction of Manganese Tungstate by Hydrogen. Scand. J. Metall. 2000, 29, 151–155. [Google Scholar] [CrossRef]
- Ghosh, S.K. Diversity in the Family of Manganese Oxides at the Nanoscale: From Fundamentals to Applications. ACS Omega 2020, 5, 25493–25504. [Google Scholar] [CrossRef] [PubMed]
- Deng, X.C.; Kang, X.D.; Cui, J.; Zhang, G.H. Reaction Mechanism and Kinetics of Carbothermal Reduction of WO3 to Produce WC. Jom 2023, 75, 872–885. [Google Scholar] [CrossRef]
- Nava Alonso, F.C.; Zambrano Morales, M.L.; Uribe Salas, A.; Bedolla Becerril, J.E. Tungsten Trioxide Reduction-Carburization with Carbon Monoxide-Carbon Dioxide Mixtures: Kinetics and Thermodynamics. Int. J. Miner. Process. 1987, 20, 137–151. [Google Scholar] [CrossRef]
- Millner, T.; Neugebaur, J. Volatility of the Oxides of Tungsten and Molybdenum in the Presence of Water Vapour. Nature 1949, 163, 601–602. [Google Scholar] [CrossRef]
- Blackburn, P.E.; Hoch, M.; Johnston, H.L. The Vaporization of Molybdenum and Tungsten Oxides. J. Phys. Chem. 1958, 62, 769–773. [Google Scholar] [CrossRef]
- Wendel, J. Thermodynamics and Kinetics of Tungsten Oxidation 200 °C–1100 °C. Master’s Thesis, Lund University, Lund, Sweden, 2014. [Google Scholar]
- Adanez, J.; Abad, A.; Garcia-Labiano, F.; Gayan, P.; De Diego, L.F. Progress in Chemical-Looping Combustion and Reforming Technologies. Prog. Energy Combust. Sci. 2012, 38, 215–282. [Google Scholar] [CrossRef]
- Khan, M.N.; Shamim, T. Thermodynamic Screening of Suitable Oxygen Carriers for a Three Reactor Chemical Looping Reforming System. Int. J. Hydrogen Energy 2017, 42, 15745–15760. [Google Scholar] [CrossRef]
- de Diego, L.F.; Ortiz, M.; García-Labiano, F.; Adánez, J.; Abad, A.; Gayán, P. Hydrogen Production by Chemical-Looping Reforming in a Circulating Fluidized Bed Reactor Using Ni-Based Oxygen Carriers. J. Power Sources 2009, 192, 27–34. [Google Scholar] [CrossRef]
- López-Ortiz, A.; González-Vargas, P.E.; Meléndez-Zaragoza, M.J.; Collins-Martínez, V. Thermodynamic Analysis and Process Simulation of Syngas Production from Methane Using CoWO4 as Oxygen Carrier. Int. J. Hydrogen Energy 2017, 42, 30223–30236. [Google Scholar] [CrossRef]
- Jerndal, E.; Mattisson, T.; Lyngfelt, A.; Combustion, C.; After, O. Thermal Analysis of Chemical-Looping Combustion. Chem. Eng. Res. Des. 2006, 84, 795–806. [Google Scholar] [CrossRef]
- Kang, K.S.; Kim, C.H.; Bae, K.K.; Cho, W.C.; Kim, S.H.; Park, C.S. Oxygen-Carrier Selection and Thermal Analysis of the Chemical-Looping Process for Hydrogen Production. Int. J. Hydrogen Energy 2010, 35, 12246–12254. [Google Scholar] [CrossRef]
- Cho, P.; Mattisson, T.; Lyngfelt, A. Carbon Formation on Nickel and Iron Oxide-Containing Oxygen Carriers for Chemical-Looping Combustion. Ind. Eng. Chem. Res. 2005, 44, 668–676. [Google Scholar] [CrossRef]
- Yahom, A.; Powell, J.; Pavarajarn, V.; Onbhuddha, P.; Charojrochkul, S.; Assabumrungrat, S. Simulation and Thermodynamic Analysis of Chemical Looping Reforming and CO2 Enhanced Chemical Looping Reforming. Chem. Eng. Res. Des. 2014, 92, 2575–2583. [Google Scholar] [CrossRef]
- Sudha, A.; Mohammad, M.J.; Solly, M.M.; Swaminathan, P. Nickel Tungstate Derived from WO3 and NiO for Room Temperature CO2 Sensing. Appl. Phys. A 2024, 130, 84. [Google Scholar] [CrossRef]
- Dey, S.; Ricciardo, R.A.; Cuthbert, H.L.; Woodward, P.M. Metal-to-Metal Charge Transfer in AWO4 (A = Mg, Mn, Co, Ni, Cu, or Zn) Compounds with the Wolframite Structure. Inorg. Chem. 2014, 53, 4394–4399. [Google Scholar] [CrossRef]
- Montemayor, S.M.; Fuentes, A.F. Electrochemical Characteristics of Lithium Insertion in Several 3D Metal Tungstates (MWO4, M = Mn, Co, Ni and Cu) Prepared by Aqueous Reactions. Ceram. Int. 2004, 30, 393–400. [Google Scholar] [CrossRef]
- Gattermann, U.; Park, S.H.; Kaliwoda, M. Synthesis and Characterisation of In-Doped MnWO4-Type Solid-Solutions: Mn1-3xIn2x□xWO4 (X=0–0.11). J. Solid State Chem. 2014, 219, 191–200. [Google Scholar] [CrossRef]
- Lautenschläger, G.; Weitzel, H.; Vogt, T.; Hock, R.; Böhm, A.; Bonnet, M.; Fuess, H. Magnetic Phase Transitions of MnWO4 Studied by the Use of Neutron Diffraction. Phys. Rev. B 1993, 48, 6087–6098. [Google Scholar] [CrossRef]
- Mancheva, M.N.; Iordanova, R.S.; Klissurski, D.G.; Tyuliev, G.T.; Kunev, B.N. Direct Mechanochemical Synthesis of Nanocrystalline NiWO4. J. Phys. Chem. C 2007, 111, 1101–1104. [Google Scholar] [CrossRef]
- Noh, W.; Shin, Y.; Kim, J.; Lee, W.; Hong, K.; Akbar, S.A.; Park, J. Effects of NiO Addition in WO3-Based Gas Sensors Prepared by Thick Film Process. Solid State Ionics 2002, 152–153, 827–832. [Google Scholar] [CrossRef]
- Weber, L.; Egli, U. Phase Relationships in the System NiO-WO3. J. Mater. Sci. 1977, 12, 1981–1987. [Google Scholar] [CrossRef]
- Ortiz, M.; Abad, A.; De Diego, L.F.; García-Labiano, F.; Gayán, P.; Adánez, J. Optimization of Hydrogen Production by Chemical-Looping Auto-Thermal Reforming Working with Ni-Based Oxygen-Carriers. Int. J. Hydrogen Energy 2011, 36, 9663–9672. [Google Scholar] [CrossRef]









| Oxygen Carrier | Reduction | Oxidation |
|---|---|---|
| WO3 | WO3/WO2/W, C | W/WO2/WO3 |
| MnWO4 | MnWO4, WO3/WO2/W, MnO2/Mn2O3/Mn3O4/MnO/Mn, C | MnWO4, W/WO2/WO3, Mn/MnO/Mn3O4/Mn2O3/MnO2 |
| NiWO4 | NiWO4, WO3/WO2/W, NiO/Ni, C | NiWO4, W/WO2/WO3, Ni/NiO |
| OC Moles | WO3 | MnWO4 | NiWO4 |
|---|---|---|---|
| 1.0 | 875 °C | * | 875 °C |
| 1.25 | 725 °C | 775 °C | 700 °C |
| 1.5 | 700 °C | 775 °C | 700 °C |
| WO3 | MnWO4 | NiWO4 | ||
|---|---|---|---|---|
| Qpred (kJ) | Min | 104 | 125 | 145 |
| Max | 177 | 177 | 236 | |
| Qpox (kJ) | Min | 102 | 118 | 136 |
| Max | 331 | 331 | 442 |
| WO3 | MnWO4 | NiWO4 | |
|---|---|---|---|
| H2 yield (%) | 88 | 88 | 88 |
| Tred (°C) | 775 | 875 | 775 |
| CH4:OC ratio | 3:1.25 | 3:1.50 | 4:1.25 |
| H2:OC relation | 4.208 | 3.52 | 5.608 |
| CH4 conversion (%) | 97 | 100 | 97 |
| Tox (°C) | 500 | 500 | 500 |
| QCLR (kJ) | −14 | −14 | −18 |
| QCLR/moles H2 (kJ/mol) | −2.66 | −2.65 | −2.57 |
Disclaimer/Publisher’s Note: The statements, opinions and data contained in all publications are solely those of the individual author(s) and contributor(s) and not of MDPI and/or the editor(s). MDPI and/or the editor(s) disclaim responsibility for any injury to people or property resulting from any ideas, methods, instructions or products referred to in the content. |
© 2025 by the authors. Licensee MDPI, Basel, Switzerland. This article is an open access article distributed under the terms and conditions of the Creative Commons Attribution (CC BY) license (https://creativecommons.org/licenses/by/4.0/).
Share and Cite
López van der Horst, J.; Volpe Giangiordano, M.F.; Suarez, F.; Perez, F.M.; Gatti, M.N.; Santori, G.F.; Pompeo, F. Influence of Oxygen Carrier on the Autothermicity of a Chemical-Looping Reforming Process for Hydrogen Production. Reactions 2025, 6, 5. https://doi.org/10.3390/reactions6010005
López van der Horst J, Volpe Giangiordano MF, Suarez F, Perez FM, Gatti MN, Santori GF, Pompeo F. Influence of Oxygen Carrier on the Autothermicity of a Chemical-Looping Reforming Process for Hydrogen Production. Reactions. 2025; 6(1):5. https://doi.org/10.3390/reactions6010005
Chicago/Turabian StyleLópez van der Horst, Juliana, Maria Florencia Volpe Giangiordano, Felipe Suarez, Federico M. Perez, Martín N. Gatti, Gerardo F. Santori, and Francisco Pompeo. 2025. "Influence of Oxygen Carrier on the Autothermicity of a Chemical-Looping Reforming Process for Hydrogen Production" Reactions 6, no. 1: 5. https://doi.org/10.3390/reactions6010005
APA StyleLópez van der Horst, J., Volpe Giangiordano, M. F., Suarez, F., Perez, F. M., Gatti, M. N., Santori, G. F., & Pompeo, F. (2025). Influence of Oxygen Carrier on the Autothermicity of a Chemical-Looping Reforming Process for Hydrogen Production. Reactions, 6(1), 5. https://doi.org/10.3390/reactions6010005

