Furfural and Levulinic Acid: Synthesis of Platform Molecules from Keggin Heteropolyacid-Catalyzed Biomass Conversion Reactions
Abstract
1. Introduction
2. Main Substrates and Heteropolyacid Catalysts Used to Produce Levulinic Acid
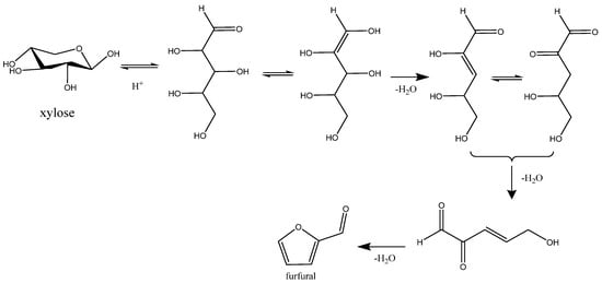
3. Main Substrates and Heteropolyacid Catalysts Used to Produce FURFURAL
4. Conclusions
Author Contributions
Funding
Data Availability Statement
Acknowledgments
Conflicts of Interest
References
- Di Bucchianico, D.D.M.; Wang, Y.; Buvat, J.C.; Pan, Y.; Moreno, V.C.; Leveneur, S. Production of levulinic acid and alkyl levulinates: A process insight. Green Chem. 2022, 24, 614–646. [Google Scholar] [CrossRef]
- Mika, L.T.; Cséfalvay, E.; Németh, Á. Catalytic Conversion of Carbohydrates to Initial Platform Chemicals: Chemistry and Sustainability. Chem. Rev. 2018, 118, 505–613. [Google Scholar] [CrossRef]
- Adhami, W.; Richel, A.; Len, C. A review of recent advances in the production of furfural in batch system. Mol. Catal. 2023, 554, 113178–1131930. [Google Scholar] [CrossRef]
- Li, X.; Jia, P.; Wang, T. Furfural: A promising platform compound for sustainable production of C4 and C5 chemicals. ACS Catal. 2016, 6, 7621–7640. [Google Scholar] [CrossRef]
- Mamman, A.S.; Lee, J.-M.; Kim, Y.-C.; Hwang, I.T.; Park, N.-J.; Hwang, Y.K.; Chang, J.-S.; Hwang, J.-S. Furfural: Hemicellulose/Xylosederived Biochemical. Biofuels Bioprod Biorefining 2008, 2, 438–454. [Google Scholar] [CrossRef]
- Mariscal, R.; Maireles-Torres, P.; Ojeda, M.; Sádaba, I.; López Granados, M. Furfural: A Renewable and Versatile Platform Molecule for the Synthesis of Chemicals and Fuels. Energy Environ. Sci. 2016, 9, 1144–1189. [Google Scholar] [CrossRef]
- Kikhtyanin, O.; Kelbichová, V.; Vitvarová, D.; Kubů, M.; Kubička, D. Aldol Condensation of Furfural and Acetone on Zeolites. Catal Today 2014, 227, 154–162. [Google Scholar] [CrossRef]
- Wang, Y.; Cui, Q.; Guan, Y.; Wu, P. Facile Synthesis of Furfuryl Ethyl Ether in High Yield via the Reductive Etherification of Furfural in Ethanol over Pd/c under Mild Conditions. Green Chem. 2018, 20, 2110–2117. [Google Scholar] [CrossRef]
- Pileidis, F.D.; Titirici, M.-M. Levulinic Acid Biorefineries: New Challenges for Efficient Utilization of Biomass. ChemSusChem 2016, 9, 562–582. [Google Scholar] [CrossRef]
- Lange, J.-P.; van der Heide, E.; van Buijtenen, J.; Price, R. Furfural-A Promising Platform for Lignocellulosic Biofuels. ChemSusChem 2011, 5, 150–166. [Google Scholar] [CrossRef]
- Khan, M.A.; Dharmalingam, B.; Chuetor, S.; Cheng, Y.-C.; Sriariyanun, M. Comprehensive Review on Effective Conversion of Lignocellulosic Biomass to Levulinic Acid. Biomass Convers Biorefinery 2023, 1–16. [Google Scholar] [CrossRef]
- Xu, W.; Chen, X.; Guo, H.; Li, H.; Zhang, H.; Xiong, L.; Chen, X. Conversion of Levulinic Acid to Valuable Chemicals: A Review. J. Chem. Technol. Biotechnol. 2021, 96, 3009–3024. [Google Scholar] [CrossRef]
- Zai, Y.; Feng, Y.; Zeng, X.; Tang, X.; Sun, Y.; Lin, L. Synthesis of 5-Aminolevulinic Acid with Nontoxic Regents and Renewable Methyl Levulinate. RSC Adv. 2019, 9, 10091–10093. [Google Scholar] [CrossRef] [PubMed]
- Kamble, P.A.; Vinod, C.P.; Rathod, V.K.; Kantam, M.L. Hydrogenation of Levulinic Acid to Gamma-Valerolactone over Nickel Supported Organoclay Catalyst. Catal. Today 2023, 408, 36–49. [Google Scholar] [CrossRef]
- Jiang, Z.; Hu, D.; Zhao, Z.; Yi, Z.; Chen, Z.; Yan, K. Mini-Review on the Synthesis of Furfural and Levulinic Acid from Lignocellulosic Biomass. Processes 2021, 9, 1234. [Google Scholar] [CrossRef]
- Rackemann, D.W.; Doherty, W.O. The Conversion of Lignocellulosics to Levulinic Acid. Biofuels Bioprod. Biorefining 2011, 5, 198–214. [Google Scholar] [CrossRef]
- Sajid, M.; Farooq, U.; Bary, G.; Azim, M.M.; Zhao, X. Sustainable Production of Levulinic Acid and Its Derivatives for Fuel Additives and Chemicals: Progress, Challenges, and Prospects. Green Chem. 2021, 23, 9198–9238. [Google Scholar] [CrossRef]
- Kozhevnikov, I.V. Heteropoly acids and related compounds as catalysts for fine chemical synthesis. Catal. Rev. 1995, 37, 311–352. [Google Scholar] [CrossRef]
- Da Silva, M.J.; Liberto, N.A. Soluble and solid supported Keggin heteropolyacids as catalysts in reactions for biodiesel production: Challenges and recent advances. Curr. Org. Chem. 2016, 20, 1263–1283. [Google Scholar] [CrossRef]
- Fan, C.; Guan, H.; Zhang, H.; Wang, J.; Wang, S.; Wang, X. Conversion of Fructose and Glucose into 5-Hydroxymethylfurfural Catalyzed by a Solid Heteropolyacid Salt. Biomass Bioenergy 2011, 35, 2659–2665. [Google Scholar] [CrossRef]
- Narkhede, N.; Patel, A. Sustainable valorisation of glycerol via acetalization as well as carboxylation reactions over silicotungstates anchored to zeolite Hβ. Appl. Catal. A 2016, 515, 154–163. [Google Scholar] [CrossRef]
- Ferreira, P.A.; Fonseca, I.M.; Ramos, A.M.; Vital, J.; Castanheiro, J.E. Valorization of glycerol by condensation with acetone over silica-included heteropolyacids. App. Catal. B Environ. 2010, 98, 94–99. [Google Scholar] [CrossRef]
- Srikanth, A.; Viswanadham, B.; Kumar, V.P.; Anipindi, N.R.; Chary, K.V.R. Synthesis and characterization of Cs-exchanged heteropolyacid catalysts functionalized with Sn for carbonolysis of glycerol to glycerol carbonate. Appl. Petrochem. Res. 2016, 6, 145–153. [Google Scholar] [CrossRef]
- Srinivas, M.; Raveendra, G.; Parameswaram, G.; Prasad, P.S.S.; Lingaiah, N. Cesium exchanged tungstophosphoric acid Supported on tin oxide: An efficient solid acid catalyst for etherification of glycerol with tert-butanol to synthesize biofuel additives. J. Mol. Catal. A 2016, 413, 7–14. [Google Scholar] [CrossRef]
- Da Silva, M.J.; Rodrigues, A.A.; Lopes, N.P.G. Cesium Heteropolyacid Salts: Synthesis, Characterization and Activity of the Solid and Versatile Heterogeneous Catalysts. Chemistry 2023, 5, 662–690. [Google Scholar] [CrossRef]
- Patel, A.U.; Patel, J.R. Cesium salt of iron substituted phosphomolybdate: Synthesis, characterization, room temperature hydrogenation of styrene and its mechanistic evaluation. Mol. Catal. 2021, 513, 111827–111837. [Google Scholar] [CrossRef]
- Da Silva, M.J.; De Oliveira, C.M. Catalysis by Keggin Heteropolyacid Salts. Curr. Catal. 2018, 7, 26–34. [Google Scholar] [CrossRef]
- Narkhede, N.; Patel, A. Efficient synthesis of biodiesel over a recyclable catalyst comprising a monolacunary silicotungstate and zeolite Hβ. RSC Adv. 2014, 4, 64379–64387. [Google Scholar] [CrossRef]
- Coronel, N.C.; Da Silva, M.J. Lacunar Keggin heteropolyacid salts: Soluble, solid, and solid-supported catalysts. J. Clust. Sci. 2018, 29, 195–205. [Google Scholar] [CrossRef]
- Yan, K.; Lafleur, T.; Wu, X.; Chai, J.; Wu, G.; Xie, X. Cascade upgrading of γ-valerolactone to biofuels. Chem. Commun. 2015, 51, 6984–6987. [Google Scholar] [CrossRef]
- Velaga, B.; Peela, N.R. Levulinic Acid Production from Furfural: Process Development and Techno-Economics. Green Chem. 2022, 24, 3326–3343. [Google Scholar] [CrossRef]
- Guzmán, I.; Heras, A.; Güemez, M.B.; Iriondo, A.; Cambra, J.F.; Requies, J. Levulinic Acid Production Using Solid-Acid Catalysis. Ind. Eng. Chem. Res. 2016, 55, 5139–5144. [Google Scholar] [CrossRef]
- Zhang, X.; Zhang, X.; Sun, N.; Wang, S.; Wang, X.; Jiang, Z. High production of levulinic acid from cellulosic feedstocks being catalyzed by temperature-responsive transition metal substituted heteropolyacids. Renew. Energy 2019, 141, 802–813. [Google Scholar] [CrossRef]
- Okuhara, T.; Mizuno, N.; Misono, M. Catalytic Chemistry of Heteropoly Compounds. Adv. Catal. 1996, 41, 113–252. [Google Scholar] [CrossRef]
- Chambon, F.; Rataboul, F.; Pinel, C.; Cabiac, A.; Guillon, E.; Essayem, N. Cellulose hydrothermal conversion promoted by heterogeneous Brønsted and Lewis acids: Remarkable efficiency of solid Lewis acids to produce lactic acid. Appl. Catal. B Environ. 2011, 105, 171–181. [Google Scholar] [CrossRef]
- Delidovich, I.; Leonhard, K.; Palkovits, R. Cellulose and hemicellulose valorisation: An integrated challenge of catalysis and reaction engineering. Energy Environ. Sci. 2014, 7, 2803–2830. [Google Scholar] [CrossRef]
- Li, X.; Lu, X.; Nie, S.; Liang, M.; Yu, Z.; Duan, B.; Yang, J.; Xu, R.; Lu, L.; Si, C. Efficient catalytic production of biomass-derived levulinic acid over phosphotungstic acid in a deep eutectic solvent. Ind. Crops Prod. 2020, 145, 112154. [Google Scholar] [CrossRef]
- Kumar, V.B.; Pulidindi, I.N.; Mishra, R.K.; Gedanken, A. Development of Ga Salt of Molybdophosphoric Acid for Biomass Conversion to Levulinic Acid. Energy Fuels 2016, 30, 10583–10591. [Google Scholar] [CrossRef]
- Sun, Z.; Xue, L.; Wang, S.; Wang, X.; Shi, J. Single step conversion of cellulose to levulinic acid using temperature-responsive dodeca-aluminotungstic acid catalysts. Green Chem. 2016, 18, 742–752. [Google Scholar] [CrossRef]
- Overend, R.P.; Milne, T.A.; Mudge, L.K. Fundamentals of Thermochemical Biomass Conversion; Springer: Dordrecht, The Netherlands, 1985. [Google Scholar] [CrossRef]
- Cousin, E.; Namhaed, K.; Pérès, Y.; Cognet, P.; Delmas, M.; Hermansyah, H.; Gozan, M.; Alaba, P.A.; Aroua, M.K. Towards efficient and greener processes for furfural production from biomass: A review of the recent trends. Sci. Total Environ. 2022, 847, 157599. [Google Scholar] [CrossRef]
- Bozell, J.J.; Petersen, G.R. Technology development for the production of biobased products from biorefinery carbohydrates—The US Department of Energy’s “top 10” revisited. Green Chem. 2010, 12, 525–728. [Google Scholar] [CrossRef]
- Pardo Cuervo, O.H.; Romanelli, G.P.; Cubillos, J.A.; Rojas, H.A.; Martínez, J.J. Selective Catalytic Dehydration of Xylose to Furfural and Fructose and Glucose to 5-Hydroximethylfurfural (HMF) Using Preyssler Heteropolyacid. Chem. 2020, 5, 4186–4193. [Google Scholar] [CrossRef]
- Dias, A.S.; Pillinger, M.; Valente, A.A. Liquid Phase Dehydration of D-Xylose in the Presence of Keggin-Type Heteropolyacids. Appl. Catal. A Gen. 2005, 285, 126–131. [Google Scholar] [CrossRef]
- Dias, A.S.; Pillinger, M.; Valente, A.A. Mesoporous Silica-Supported 12-Tungstophosphoric Acid Catalysts for the Liquid Phase Dehydration of D-Xylose. Microporous Mesoporous Mater. 2006, 94, 214–225. [Google Scholar] [CrossRef]
- Dias, A.S.; Lima, S.; Pillinger, M.; Valente, A.A. Acidic Cesium Salts of 12-Tungstophosphoric Acid as Catalysts for the Dehydration of Xylose into Furfural. Carbohydr. Res. 2006, 341, 2946–2953. [Google Scholar] [CrossRef] [PubMed]
- Guo, X.; Guo, F.; Li, Y.; Zheng, Z.; Xing, Z.; Zhu, Z.; Liu, T.; Zhang, X.; Jin, Y. Dehydration of D-Xylose into Furfural over Bimetallic Salts of Heteropolyacid in DMSO/H2O Mixture. Appl. Catal. A Gen. 2018, 558, 18–25. [Google Scholar] [CrossRef]
- Yan, K.; Wu, G.; Lafleur, T.; Jarvis, C. Production, properties and catalytic hydrogenation of furfural to fuel additives and value-added chemicals. Renew. Sustain. Energy Rev. 2014, 38, 663–676. [Google Scholar] [CrossRef]
- Filiciotto, L.; Balu, A.M.; Van der Waal, J.C.; Luque, R. Catalytic Insights into the Production of Biomass-Derived Side Products Methyl Levulinate, Furfural and Humins. Catal. Today 2018, 302, 2–15. [Google Scholar] [CrossRef]
- Park, G.; Jeon, W.; Ban, C.; Woo, H.C.; Kim, D.H. Direct catalytic conversion of brown seaweed-derived alginic acid to furfural using 12-tungstophosphoric acid catalyst in tetrahydrofuran/wa0ter co-solvent. Energy Convers. Manag. 2016, 118, 135–141. [Google Scholar] [CrossRef]

























Disclaimer/Publisher’s Note: The statements, opinions and data contained in all publications are solely those of the individual author(s) and contributor(s) and not of MDPI and/or the editor(s). MDPI and/or the editor(s) disclaim responsibility for any injury to people or property resulting from any ideas, methods, instructions or products referred to in the content. |
© 2024 by the authors. Licensee MDPI, Basel, Switzerland. This article is an open access article distributed under the terms and conditions of the Creative Commons Attribution (CC BY) license (https://creativecommons.org/licenses/by/4.0/).
Share and Cite
da Silva, M.J.; Rodrigues, A.A.; Batalha, D.C. Furfural and Levulinic Acid: Synthesis of Platform Molecules from Keggin Heteropolyacid-Catalyzed Biomass Conversion Reactions. Reactions 2024, 5, 361-378. https://doi.org/10.3390/reactions5020019
da Silva MJ, Rodrigues AA, Batalha DC. Furfural and Levulinic Acid: Synthesis of Platform Molecules from Keggin Heteropolyacid-Catalyzed Biomass Conversion Reactions. Reactions. 2024; 5(2):361-378. https://doi.org/10.3390/reactions5020019
Chicago/Turabian Styleda Silva, Marcio Jose, Alana Alves Rodrigues, and Daniel Carreira Batalha. 2024. "Furfural and Levulinic Acid: Synthesis of Platform Molecules from Keggin Heteropolyacid-Catalyzed Biomass Conversion Reactions" Reactions 5, no. 2: 361-378. https://doi.org/10.3390/reactions5020019
APA Styleda Silva, M. J., Rodrigues, A. A., & Batalha, D. C. (2024). Furfural and Levulinic Acid: Synthesis of Platform Molecules from Keggin Heteropolyacid-Catalyzed Biomass Conversion Reactions. Reactions, 5(2), 361-378. https://doi.org/10.3390/reactions5020019

