Oxidative Cleavage of 9,10-Dihydroxystearic Acid on Supported Au, Pd and PdAu Nanoparticle-Based Catalysts
Abstract
1. Introduction
2. Materials and Methods
2.1. Preparation of Supports and Synthesis of Catalysts
2.1.1. Modification of Titanium Oxide
2.1.2. Modification of Sibunit
2.1.3. Synthesis of Catalysts
2.2. Synthesis of 9,10-Dihydroxystearic Acid
2.3. Catalytic Experiments
2.4. Characterization of Catalysts and Supports
3. Results
3.1. X-ray Diffraction
3.2. AES ICP and XEDS
3.3. N2 Adsorption–Desorption
3.4. Transmission Electron Microscopy
3.5. X-ray Photoelectron Spectroscopy
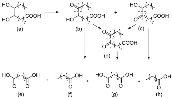
3.6. Catalysis
4. Conclusions
Supplementary Materials
Author Contributions
Funding
Data Availability Statement
Acknowledgments
Conflicts of Interest
References
- BP. BP Statistical Review of World Energy 2022, 71st ed.; BP: London, UK, 2022. [Google Scholar]
- British Petroleum. Statistical Review of World Energy Globally Consistent Data on World Energy Markets and Authoritative Publications in the Field of Energy. BP Energy Outlook 2021, 70, 8–20. [Google Scholar]
- Lucas, N.; Kanna, N.R.; Nagpure, A.S.; Kokate, G.; Chilukuri, S. Novel Catalysts for Valorization of Biomass to Value-Added Chemicals and Fuels. J. Chem. Sci. 2014, 126, 403–413. [Google Scholar] [CrossRef]
- Den, W.; Sharma, V.K.; Lee, M.; Nadadur, G.; Varma, R.S. Lignocellulosic Biomass Transformations via Greener Oxidative Pretreatment Processes: Access to Energy and Value Added Chemicals. Front. Chem. 2018, 6, 1–23. [Google Scholar] [CrossRef]
- Deng, W.; Feng, Y.; Fu, J.; Guo, H.; Guo, Y.; Han, B.; Jiang, Z.; Kong, L.; Li, C.; Liu, H.; et al. Catalytic Conversion of Lignocellulosic Biomass into Chemicals and Fuels. Green Energy Environ. 2023, 8, 10–114. [Google Scholar] [CrossRef]
- Jing, Y.; Guo, Y.; Xia, Q.; Liu, X.; Wang, Y. Catalytic Production of Value-Added Chemicals and Liquid Fuels from Lignocellulosic Biomass. Chem 2019, 5, 2520–2546. [Google Scholar] [CrossRef]
- Hommes, A.; Heeres, H.J.; Yue, J. Catalytic Transformation of Biomass Derivatives to Value-Added Chemicals and Fuels in Continuous Flow Microreactors. ChemCatChem 2019, 11, 4671–4708. [Google Scholar] [CrossRef]
- Dai, L.; Wang, Y.; Liu, Y.; He, C.; Ruan, R.; Yu, Z.; Jiang, L.; Zeng, Z.; Wu, Q. A Review on Selective Production of Value-Added Chemicals via Catalytic Pyrolysis of Lignocellulosic Biomass. Sci. Total Environ. 2020, 749, 142386. [Google Scholar] [CrossRef]
- Yang, W.; Du, X.; Liu, W.; Wang, Z.; Dai, H.; Deng, Y. Direct Valorization of Lignocellulosic Biomass into Value-Added Chemicals by Polyoxometalate Catalyzed Oxidation under Mild Conditions. Ind. Eng. Chem. Res. 2019, 58, 22996–23004. [Google Scholar] [CrossRef]
- Popp, J.; Kovács, S.; Oláh, J.; Divéki, Z.; Balázs, E. Bioeconomy: Biomass and Biomass-Based Energy Supply and Demand. New Biotechnol. 2021, 60, 76–84. [Google Scholar] [CrossRef] [PubMed]
- Kannengiesser, J.; Sakaguchi-Söder, K.; Mrukwia, T.; Jager, J.; Schebek, L. Extraction of Medium Chain Fatty Acids from Organic Municipal Waste and Subsequent Production of Bio-Based Fuels. Waste Manag. 2016, 47, 78–83. [Google Scholar] [CrossRef] [PubMed]
- Sukiran, M.A.; Loh, S.K.; Abu Bakar, N. Production of Bio-Oil from Fast Pyrolysis of Oil Palm Biomass Using Fluidised Bed Reactor. J. Energy Technol. Policy 2016, 6, 52–62. [Google Scholar]
- de Figueiredo, A.K.; Fernández, M.B.; Nolasco, S.M. High Stearic High Oleic Sunflower Oil Extraction: Influence of Temperature, Moisture, and Dehulling on Kinetic Parameters. Eur. J. Lipid Sci. Technol. 2023, 125, 2300035. [Google Scholar] [CrossRef]
- Zhang, J.; Guo, Z.; Du, W.; Gu, X.; Wang, M.; Zhang, Z.; Ma, Y.; Chen, G. Preparation and Performance of Vegetable Oils Fatty Acids Hydroxylmethyl Triamides as Crude Oil Flow Improvers. Pet. Chem. 2018, 58, 1070–1075. [Google Scholar] [CrossRef]
- Köckritz, A.; Blumenstein, M.; Martin, A. Catalytic Cleavage of Methyl Oleate or Oleic Acid. Eur. J. Lipid Sci. Technol. 2010, 112, 58–63. [Google Scholar] [CrossRef]
- Imamura, F.; Fretts, A.; Marklund, M.; Ardisson Korat, A.V.; Yang, W.; Lankinen, M.; Qureshi, W.; Helmer, C.; Chen, T.-A.; Wong, K.; et al. Fatty acid biomarkers of dairy fat consumption and incidence of type 2 diabetes: A pooled analysis of prospective cohort studies. PLoS Med. 2018, 15, e1002670. [Google Scholar] [CrossRef]
- Ello, A.S.; Enferadi-kerenkan, A.; Trokourey, A.; Do, T.O. Sustainable Oxidative Cleavage of Vegetable Oils into Diacids by Organo-Modified Molybdenum Oxide Heterogeneous Catalysts. J. Am. Oil Chem. Soc. 2017, 94, 1451–1461. [Google Scholar] [CrossRef]
- Vassoi, A.; Tabanelli, T.; Sacchetti, A.; Di Gioia, F.; Capuzzi, L.; Cavani, F. The Oxidative Cleavage of 9,10-Dihydroxystearic Triglyceride with Oxygen and Cu Oxide-Based Heterogeneous Catalysts. ChemSusChem 2021, 14, 2375–2382. [Google Scholar] [CrossRef]
- Ciriminna, R.; Fidalgo, A.; Ilharco, L.M.; Pagliaro, M. Herbicides Based on Pelargonic Acid: Herbicides of the Bioeconomy. Biofuels Bioprod. Biorefining 2019, 13, 1476–1482. [Google Scholar] [CrossRef]
- Benessere, V.; Cucciolito, M.E.; De Santis, A.; Di Serio, M.; Esposito, R.; Melchiorre, M.; Nugnes, F.; Paduano, L.; Ruffo, F. A Sustainable Process for the Production of Varnishes Based on Pelargonic Acid Esters. J. Am. Oil Chem. Soc. 2019, 96, 443–451. [Google Scholar] [CrossRef]
- Li, Y. The Application of Caprylic Acid in Downstream Processing of Monoclonal Antibodies. Protein Expr. Purif. 2019, 153, 92–96. [Google Scholar] [CrossRef]
- Suberic Acid. Available online: https://drugs.ncats.io/drug/6U7Y4M9C1H (accessed on 30 November 2023).
- Travaini, R.; Martín-Juárez, J.; Lorenzo-Hernando, A.; Bolado-Rodríguez, S. Ozonolysis: An Advantageous Pretreatment for Lignocellulosic Biomass Revisited. Bioresour. Technol. 2016, 199, 2–12. [Google Scholar] [CrossRef]
- Goyal, R.; Singh, O.; Agrawal, A.; Samanta, C.; Sarkar, B. Advantages and Limitations of Catalytic Oxidation with Hydrogen Peroxide: From Bulk Chemicals to Lab Scale Process. Catal. Rev. Sci. Eng. 2022, 64, 229–285. [Google Scholar] [CrossRef]
- Kulik, A.; Janz, A.; Pohl, M.-M.; Martin, A.; Köckritz, A. Gold-Catalyzed Synthesis of Dicarboxylic and Monocarboxylic Acids. Eur. J. Lipid Sci. Technol. 2012, 114, 1327–1332. [Google Scholar] [CrossRef]
- Santacesaria, E.; Sorrentino, A.; Rainone, F.; Di Serio, M.; Speranza, F. Oxidative Cleavage of the Double Bond of Monoenic Fatty Chains in Two Steps: A New Promising Route to Azelaic Acid and Other Industrial Products. Ind. Eng. Chem. Res. 2000, 39, 2766–2771. [Google Scholar] [CrossRef]
- Nocito, F.; Orlando, I.; Digioia, F.; Aresta, M.; Dibenedetto, A. One-Pot Aerobic Cleavage of Monounsaturated Lipids Catalyzed by Mixed Oxides. ACS Sustain. Chem. Eng. 2021, 9, 6459–6469. [Google Scholar] [CrossRef]
- Noureddini, H.; Kanabur, M. Liquid-Phase Catalytic Oxidation of Unsaturated Fatty Acids. J. Am. Oil Chem. Soc. 1999, 76, 305–312. [Google Scholar] [CrossRef]
- Melchiorre, M.; Benessere, V.; Cucciolito, M.E.; Melchiorre, C.; Ruffo, F.; Esposito, R. Direct and Solvent-Free Oxidative Cleavage of Double Bonds in High-Oleic Vegetable Oils. Chem. Select 2020, 5, 1396–1400. [Google Scholar] [CrossRef]
- Spannring, P.; Prat, I.; Costas, M.; Lutz, M.; Bruijnincx, P.C.A.; Weckhuysen, B.M.; Klein Gebbink, R.J.M. Fe(6-Me-PyTACN)-Catalyzed, One-Pot Oxidative Cleavage of Methyl Oleate and Oleic Acid into Carboxylic Acids with H2O2 and NaIO4. Catal. Sci. Technol. 2014, 4, 708–716. [Google Scholar] [CrossRef]
- Dapurkar, S.E.; Kawanami, H.; Yokoyama, T.; Ikushima, Y. Catalytic Oxidation of Oleic Acid in Supercritical Carbon Dioxide Media with Molecular Oxygen. Top. Catal. 2009, 52, 707–713. [Google Scholar] [CrossRef]
- Atapalkar, R.S.; Athawale, P.R.; Srinivasa Reddy, D.; Kulkarni, A.A. Scalable, Sustainable and Catalyst-Free Continuous Flow Ozonolysis of Fatty Acids. Green Chem. 2021, 23, 2391–2396. [Google Scholar] [CrossRef]
- Upadhyay, R.; Rana, R.; Sood, A.; Singh, V.; Kumar, R.; Srivastava, V.C.; Maurya, S.K. Heterogeneous Vanadium-Catalyzed Oxidative Cleavage of Olefins for Sustainable Synthesis of Carboxylic Acids. Chem. Commun. 2021, 57, 5430–5433. [Google Scholar] [CrossRef]
- Guicheret, B.; Da Silva, E.; Philippe, R.; Favre-Reguillon, A.; Vanoye, L.; Blach, P.; Raoul, Y.; De Bellefon, C.; Métay, E.; Lemaire, M. Aerobic Oxidative Cleavage of Vicinal Diol Fatty Esters by a Supported Ruthenium Hydroxide Catalyst. ACS Sustain. Chem. Eng. 2020, 8, 13167–13175. [Google Scholar] [CrossRef]
- Chen, S.; Wu, T.; Zhao, C. Synthesis of Branched Biolubricant Base Oil from Oleic Acid. ChemSusChem 2020, 13, 5516–5522. [Google Scholar] [CrossRef]
- Enferadi-Kerenkan, A.; Ello, A.S.; Do, T.-O. Synthesis, Organo-Functionalization, and Catalytic Properties of Tungsten Oxide Nanoparticles As Heterogeneous Catalyst for Oxidative Cleavage of Oleic Acid As a Model Fatty Acid into Diacids. Ind. Eng. Chem. Res. 2017, 56, 10639–10647. [Google Scholar] [CrossRef]
- Kerenkan, A.E.; Ello, A.S.; Echchahed, B.; Do, T.O. Synthesis of Mesoporous Tungsten Oxide/γ-Alumina and Surfactant-Capped Tungsten Oxide Nanoparticles and Their Catalytic Activities in Oxidative Cleavage of Oleic Acid. Int. J. Chem. React. Eng. 2016, 14, 899–907. [Google Scholar] [CrossRef]
- Gámez, S.; de la Torre, E.; Gaigneaux, E.M. Carbon Supports for the Oxidative Cleavage of Oleic Acid: Influence of Textural Properties. Mol. Catal. 2022, 533, 112797. [Google Scholar] [CrossRef]
- Kolobova, E.; Mäki-Arvela, P.; Grigoreva, A.; Pakrieva, E.; Carabineiro, S.A.C.; Peltonen, J.; Kazantsev, S.; Bogdanchikova, N.; Pestryakov, A.; Murzin, D.Y. Catalytic Oxidative Transformation of Betulin to Its Valuable Oxo-Derivatives over Gold Supported Catalysts: Effect of Support Nature. Catal. Today 2021, 367, 95–110. [Google Scholar] [CrossRef]
- Sharma, S.; Aich, S.; Roy, B. Low Temperature Steam Reforming of Ethanol over Cobalt Doped Bismuth Vanadate [Bi4(V0.90Co0.10)2O11−δ (BICOVOX)] Catalysts for Hydrogen Production. J. Phys. Chem. Solids 2021, 148, 109754. [Google Scholar] [CrossRef]
- Wang, L.; Li, Q.; Liu, X.; Li, C.; Zhao, Z.; Diao, S.; Cao, D.; Xiang, D.; Wu, C.; Liu, K. Improved CO-PROX Selectivity of CuO/CeO2 Catalysts by Decorating with Lanthanum via Surface Cuξ+ Redox Site. Appl. Surf. Sci. 2024, 649, 159087. [Google Scholar] [CrossRef]
- Yang, J.-C.E.; Zhu, M.-P.; Guan, D.; Yuan, B.; Sun, D.D.; Sun, C.; Fu, M.-L. Spin State-Tailored Tetrahedral and Octahedral Cobalt Centers on Millimetric Co-Al Oxide Catalysts as Dual Sites for Synergistic Peroxymonosulfate Activation. Appl. Catal. B Environ. 2024, 342, 123466. [Google Scholar] [CrossRef]
- Sharma, S.; Yashwanth, P.K.; Roy, B. Deactivation Study of the BICOVOX Catalysts Used in Low Temperature Steam Reforming of Ethanol for H2 Production. J. Phys. Chem. Solids 2021, 156, 110138. [Google Scholar] [CrossRef]
- Wang, Y.; Wu, K.; Xu, Y.; Zheng, Y.; Huang, F. Effect of Silica on Generation and Stability of Cu+ Cations in CuO/CeO2 Catalysts for CO Oxidation in H2-Rich Atmosphere. Int. J. Hydrogen Energy 2024, 53, 1065–1075. [Google Scholar] [CrossRef]
- Seriyala, A.K.; Chava, R.; Baffoe, J.; Pham, X.T.L.; Leclerc, C.; Appari, S.; Roy, B. Tin and Lanthanum Modified Ni/CeO2 Catalyst Systems for Low Temperature Steam Reforming of Ethanol. Int. J. Hydrogen Energy 2024, 50, 239–260. [Google Scholar] [CrossRef]
- Di, M.; Schaefer, A.; Hemmingsson, F.; Bell, T.; Feng, Y.; Skoglundh, M.; Thompsett, D.; Carlsson, P.-A. Why Nitrogen Oxide Inhibits CO Oxidation over Highly Dispersed Platinum Ceria Catalysts. Catal. Today 2024, 426, 114394. [Google Scholar] [CrossRef]
- Kozhukhova, A.E.; du Preez, S.P.; Bessarabov, D.G. Development of Pt−Co/Al2O3 Bimetallic Catalyst and Its Evaluation in Catalytic Hydrogen Combustion Reaction. Int. J. Hydrogen Energy 2024, 51, 1079–1096. [Google Scholar] [CrossRef]
- Pakrieva, E.; Kolobova, E.; Kotolevich, Y.; Pascual, L.; Carabineiro, S.A.C.; Kharlanov, A.N.; Pichugina, D.; Nikitina, N.; German, D.; Partida, T.A.Z.; et al. Effect of Gold Electronic State on the Catalytic Performance of Nano Gold Catalysts in N-Octanol Oxidation. Nanomaterials 2020, 10, 880. [Google Scholar] [CrossRef]
- Pakrieva, E.; Kolobova, E.; German, D.; Stucchi, M.; Villa, A.; Prati, L.; Carabineiro, S.A.C.; Bogdanchikova, N.; Corberán, V.C.; Pestryakov, A. Glycerol Oxidation over Supported Gold Catalysts: The Combined Effect of Au Particle Size and Basicity of Support. Processes 2020, 8, 1016. [Google Scholar] [CrossRef]
- German, D.; Pakrieva, E.; Kolobova, E.; Carabineiro, S.A.C.; Stucchi, M.; Villa, A.; Prati, L.; Bogdanchikova, N.; Corberán, V.C.; Pestryakov, A. Oxidation of 5-Hydroxymethylfurfural on Supported Ag, Au, Pd and Bimetallic Pd-Au Catalysts: Effect of the Support. Catalysts 2021, 11, 115. [Google Scholar] [CrossRef]
- German, D.; Kolobova, E.; Pakrieva, E.; Carabineiro, S.A.C.; Sviridova, E.; Perevezentsev, S.; Alijani, S.; Villa, A.; Prati, L.; Postnikov, P.; et al. The Effect of Sibunit Carbon Surface Modification with Diazonium Tosylate Salts of Pd and Pd-Au Catalysts on Furfural Hydrogenation. Materials 2022, 15, 4695. [Google Scholar] [CrossRef]
- Kolobova, E.; Kotolevich, Y.; Pakrieva, E.; Mamontov, G.; Farias, M.H.; Bogdanchikova, N.; Corberan, V.C.; Pestryakov, A. Causes of Activation and Deactivation of Modified Nanogold Catalysts during Prolonged Storage and Redox Treatments. Molecules 2016, 21, 486. [Google Scholar] [CrossRef] [PubMed]
- Hinojosa-Reyes, M.; Camposeco-Solis, R.; Zanella, R.; Rodríguez-González, V.; Ruiz, F. Gold Nanoparticle: Enhanced CO Oxidation at Low Temperatures by Using Fe-Doped TiO2 as Support. Catal. Lett. 2018, 148, 383–396. [Google Scholar] [CrossRef]
- Zanella, R.; Giorgio, S.; Henry, C.R.; Louis, C. Alternative Methods for the Preparation of Gold Nanoparticles Supported on TiO2. J. Phys. Chem. B 2002, 106, 7634–7642. [Google Scholar] [CrossRef]
- Zanella, R.; Louis, C. Influence of the Conditions of Thermal Treatments and of Storage on the Size of the Gold Particles in Au/TiO2 Samples. Catal. Today 2005, 107–108, 768–777. [Google Scholar] [CrossRef]
- Zanella, R.; Delannoy, L.; Louis, C. Mechanism of Deposition of Gold Precursors onto TiO2 during the Preparation by Cation Adsorption and Deposition-Precipitation with NaOH and Urea. Appl. Catal. A Gen. 2005, 291, 62–72. [Google Scholar] [CrossRef]
- Villa, A.; Schiavoni, M.; Campisi, S.; Veith, G.M.; Prati, L. Pd-Modified Au on Carbon as An Effective and Durable Catalyst for the Direct Oxidation of HMF to 2,5-Furandicarboxylic Acid. ChemSusChem 2013, 6, 609–612. [Google Scholar] [CrossRef]
- Kulik, A.; Martin, A.; Pohl, M.M.; Fischer, C.; Köckritz, A. Insights into Gold-Catalyzed Synthesis of Azelaic Acid. Green Chem. 2014, 16, 1799–1806. [Google Scholar] [CrossRef]
- Bell, T.E.; González-Carballo, J.M.; Tooze, R.P.; Torrente-Murciano, L. Single-Step Synthesis of Nanostructured γ-Alumina with Solvent Reusability to Maximise Yield and Morphological Purity. J. Mater. Chem. A 2015, 3, 6196–6201. [Google Scholar] [CrossRef]
- Krishnamurthy, S.; Esterle, A.; Sharma, N.C.; Sahi, S.V. Yucca-Derived Synthesis of Gold Nanomaterial and Their Catalytic Potential. Nanoscale Res. Lett. 2014, 9, 627. [Google Scholar] [CrossRef]
- John, A.K.; Palaty, S.; Sharma, S.S. Greener Approach towards the Synthesis of Titanium Dioxide Nanostructures with Exposed {001} Facets for Enhanced Visible Light Photodegradation of Organic Pollutants. J. Mater. Sci. Mater. Electron. 2020, 31, 20868–20882. [Google Scholar] [CrossRef]
- Sayyed, S.A.A.R.; I Beedri, N.; Kadam, V.S.; Pathan, H.M. Rose Bengal-Sensitized Nanocrystalline Ceria Photoanode for Dye-Sensitized Solar Cell Application. Bull. Mater. Sci. 2016, 39, 1381–1387. [Google Scholar] [CrossRef]
- Kustov, L.M.; Kalenchuk, A.N. Effect of Cr on a Ni-Catalyst Supported on Sibunite in Bicyclohexyl Dehydrogenation in Hydrogen Storage Application. Catalysts 2022, 12, 1506. [Google Scholar] [CrossRef]
- Molaie, R.; Farhadi, K.; Forough, M.; Hajizadeh, S. Green Biological Fabrication and Characterization of Highly Monodisperse Palladium Nanoparticles Using Pistacia Atlantica Fruit Broth. J. Nanostructures 2018, 8, 47–54. [Google Scholar] [CrossRef]
- Gualteros, J.A.D.; Garcia, M.A.S.; da Silva, A.G.M.; Rodrigues, T.S.; Cândido, E.G.; e Silva, F.A.; Fonseca, F.C.; Quiroz, J.; de Oliveira, D.C.; de Torresi, S.I.C.; et al. Synthesis of Highly Dispersed Gold Nanoparticles on Al2O3, SiO2, and TiO2 for the Solvent-Free Oxidation of Benzyl Alcohol under Low Metal Loadings. J. Mater. Sci. 2019, 54, 238–251. [Google Scholar] [CrossRef]
- Rodrigues, T.S.; Zhao, M.; Yang, T.; Gilroy, K.D.; da Silva, A.G.M.; Camargo, P.H.C.; Xia, Y. Synthesis of Colloidal Metal Nanocrystals: A Comprehensive Review on the Reductants. Chem. Eur. J. 2018, 24, 16944–16963. [Google Scholar] [CrossRef] [PubMed]
- Zhu, M.K.; Zhao, J.F.; Loh, T.P. Palladium-Catalyzed C-C Bond Formation of Arylhydrazines with Olefins via Carbon-Nitrogen Bond Cleavage. Org. Lett. 2011, 13, 6308–6311. [Google Scholar] [CrossRef]
- Yan, X.; Sun, H.; Xiang, H.; Yu, D.G.; Luo, D.; Zhou, X. Palladium-Catalyzed C(carbonyl)-C Bond Cleavage of Amides: A Facile Access to Phenylcarbamate Derivatives with Alcohols. Chem. Commun. 2018, 54, 8606–8609. [Google Scholar] [CrossRef]
- Nambo, M.; Itami, K. Palladium-Catalyzed Carbon-Carbon Bond Formation and Cleavage of Organo(Hydro)Fullerenes. Chem. Eur. J. 2009, 15, 4760–4764. [Google Scholar] [CrossRef]

| № | Substrate * | Catalyst | Conditions | Conversion (%) | Yield or Selectivity (%) | Ref. | |||
|---|---|---|---|---|---|---|---|---|---|
| AA | PA | SA | CA | ||||||
| 1 | MDS | Au/Al2O3 | 1 mmol of substrate, 0.2 mol % Au, 5 mmol NaOH, 20 mL H2O, 80 °C, 5 bar O2 | 100 | 86 | 99 | ~7 | ~7 | [25] |
| 2 | 9,10-DHSA | CoAc2/ H2WO4/CH3COONa | 360 min, 15 bar O2, 70 °C | 100 | 15 | 56 | - | - | [26] |
| 3 | HOSO | CeO2/ Nb2O5/ TiO2 + MeOH | 12 bar O2 (180 °C), 6 bar N2 (160 °C), 5 h | - | 34 | [27] | |||
| 4 | OA | Silica-supported W-oxide | 20 g of substrate, 60 mL H2O2 (30%), 150 mL tert-butanol, 1.5 g of catalyst, 130 °C, 1 h | 79 | 32 | 36 | - | - | [28] |
| 5 | OA | H2WO4 | 5 g of substrate, 7.5 g H2O2 (60%), ratio cat/sub = 1/400, 100 °C, 24 h | 94 | 60 | 16 | - | [29] | |
| 6 | OA | [Fe(OTf)2 (6-Me-PyTACN)] | Solvent – MeCN, 4.5 eq. NaIO4, 100 eq. H2O, 24 h, then H2SO4 (0.5 eq.) in H2O (50 eq.), 12 h, and NaHCO3 (1 eq.) and catalyst (1 mol %) | 100 | 85 | - | - | - | [30] |
| 7 | OA | Cr/MCM-41 | 1 g of substrate, 40 mg of catalyst, 180 °C, 8 h, pO2 = 1 Mpa and pCO2 = 10 MPa | >95 | 32 | 32 | 10 | 10 | [31] |
| 8 | 9,10-DSTG | CuFe2O4 | 1 wt% catalyst, 80 °C, stirring 500 rpm, pO2 = 25 bar, 5 h | 96 | 70 | 52 | - | - | [18] |
| 9 | OA | - | 2 g of substrate, flow rate for OA 1 mL/min, flow rate for O3/O2 500 mL/min, 0 °C, solvent—50 mL of acetone:H2O (95:5) | - | 84 | - | - | - | [32] |
| 10 | SO | V2O5/TiO2 | 1 g of substrate, 30 wt. % of catalyst, TBHP (20 volume), 80 °C, 12 h | - | 66 | - | - | - | [33] |
| 11 | VDFE | Ru(OH)x/ɣ-Al2O3 | 4 g of substrate, 12 mL dodecane, 60 mL H2O, 6 mol % of catalyst, pO2 = 5 bar | 99 | 83 | 86 | 6 | 4 | [34] |
| 12 | OA | KMnO4/NaOH/TEBAC | 2 g of substrate, 2 g of KMnO4, 0.2 g TEBAC, 50 mL H2O, 50 °C, 8 h | 100 | 96 | 81 | - | - | [35] |
| 13 | OA | WO3·H2O | 1 g of substrate, 7.5 mL of tert-butanol, 4 mL of H2O2, 0.45 g of catalyst, stirring 400 rpm, 120 °C, 5 h | 100 | 77 | 69 | - | - | [36] |
| 14 | OA | Surfactant-capped NPs WO3 | 2 g of substrate, 15 mL of tert-butanol, 6 mL of H2O2, 0.9 g of catalyst, 120 °C, 5 h | 95 | 58 | 24 | - | - | [37] |
| 15 | OA | ACO-Ru (2%) | 0.5 mmol of substrate, solvent—H2O/MeCN/AcOEt (4/2/1), 8 equivalents of NaIO4, 100 mg of catalyst, stirring 1500 rpm, r.t., 24 h | 53 | 16 | 16 | - | - | [38] |
| 16 | OA | CBO-Ru (2%) | 0.5 mmol of substrate, solvent—H2O/MeCN/AcOEt (4/2/1), 8 equivalents of NaIO4, 100 mg of catalyst, stirring 1500 rpm, r.t., 24 h | 100 | 75 | 75 | - | - | [38] |
| Sample | Indicated Phase a | wi/⅀w (%) a | SBET (m2/g) b | Pore Size (nm) b | Pore Volume (cm3/g) b | Metal Content (wt. %) c | dNPs (nm) d | Relative Content (%) e | ||||||
|---|---|---|---|---|---|---|---|---|---|---|---|---|---|---|
| Pd | Au | Pd | Au | |||||||||||
| Pd0 | Pd2+ | Pd4+ | Au0 | Au+ | Au3+ | |||||||||
| AlOOH_S5 | AlO(OH) (orthorhombic) | 100 | 385 | 5.7 | 0.67 | - | - | - | - | - | - | - | - | - |
| AlOOH_C | AlO(OH) (orthorhombic) | 100 | 321 | 5.8 | 0.41 | - | - | - | - | - | - | - | - | - |
| Au/AlOOH_S5 | AlO(OH) (orthorhombic) Au | 96 4 | 293 | 6.0 | 0.55 | - | 3.94 | 4.2 | - | - | - | 100 | 0 | 0 |
| Au/AlOOH_C | AlO(OH) (orthorhombic) Au | 96 4 | 254 | 5.6 | 0.52 | - | 3.95 | 2.9 | - | - | - | 81 | 19 | 0 |
| La2O3/TiO2 | TiO2 (tetragonal) | - | 45.3 | 356.3 | 0.38 | - | - | - | - | - | - | - | - | - |
| CeO2/TiO2 | TiO2 (tetragonal) CeO2 (cubic) | - - | 43.4 | 292.4 | 0.35 | - | - | - | - | - | - | - | - | - |
| Au/La2O3/TiO2 | TiO2 (tetragonal) | - | 45.2 | 211.5 | 0.24 | - | 3.3 | 2.6 | - | - | - | 83 | 17 | 0 |
| Au/CeO2/TiO2 | TiO2 (tetragonal) | - | 46.6 | 211.1 | 0.26 | - | 4.1 | 2.8 | - | - | - | 68 | 20 | 12 |
| Cp-NH4OH | C (hexagonal) | - | 318 | 6.4 | 0.58 | - | - | - | - | - | - | - | - | - |
| Pd/Cp-NH4OH | C (hexagonal) Pd (cubic) | - - | 320 | 6.8 | 0.62 | 1.2 | - | 4.3 | 59 | 31 | 10 | - | - | - |
| Au/Cp-NH4OH | C (hexagonal) | - | 322 | 5.0 | 0.55 | - | 0.9 | 2.9 | - | - | - | 100 | 0 | 0 |
| PdAu/Cp-NH4OH | C (hexagonal) | - | 331 | 6.5 | 0.62 | 0.56 | 0.20 * | 4.0 | 91 | 7 | 2 | 92 | 8 | 0 |
| Entry | Catalyst | Conv., (%) | Y AA, (%) | Y PA, (%) | Y CA, (%) | Y SA, (%) | Recovery Rate |
|---|---|---|---|---|---|---|---|
| 1 | Au/AlOOH_S5 | 35 | 11 | 19 | 4 | 3 | 83 |
| 2 | Au/AlOOH_C | 100 | 51 | 66 | 11 | 9 | 69 |
| 3 | Au/La2O3/TiO2 | 99 | 51 | 56 | 7 | 7 | 62 |
| 4 | Au/CeO2/TiO2 | 100 | 29 | 37 | 6 | 7 | 40 |
| 5 | Pd/Cp-NH4OH | 46 | 0 | 0 | 0 | 0 | 54 |
| 6 | Au/Cp-NH4OH | 88 | 48 | 61 | 21 | 14 | 84 |
| 7 | PdAu/Cp-NH4OH | 77 | 0 | 0 | 0 | 0 | 23 |
| Entry | Catalyst | Particle Size, nm | TOF, h−1 |
|---|---|---|---|
| 1 | Au/AlOOH_S5 | 4.2 | 40 |
| 2 | Au/AlOOH_C | 2.9 | 115 |
| 3 | Au/La2O3/TiO2 | 2.6 | 114 |
| 4 | Au/CeO2/TiO2 | 2.8 | 115 |
| 5 | Pd/Cp-NH4OH | 4.3 | 53 |
| 6 | Au/Cp-NH4OH | 2.9 | 101 |
| 7 | PdAu/Cp-NH4OH | 4.0 | 89 |
Disclaimer/Publisher’s Note: The statements, opinions and data contained in all publications are solely those of the individual author(s) and contributor(s) and not of MDPI and/or the editor(s). MDPI and/or the editor(s) disclaim responsibility for any injury to people or property resulting from any ideas, methods, instructions or products referred to in the content. |
© 2024 by the authors. Licensee MDPI, Basel, Switzerland. This article is an open access article distributed under the terms and conditions of the Creative Commons Attribution (CC BY) license (https://creativecommons.org/licenses/by/4.0/).
Share and Cite
German, D.; Turyanskiy, V.; Schroeder, J.; Al-Yusufi, M.; Neubauer, K.; Köckritz, A.; Carabineiro, S.A.C.; Kolobova, E.; Pestryakov, A. Oxidative Cleavage of 9,10-Dihydroxystearic Acid on Supported Au, Pd and PdAu Nanoparticle-Based Catalysts. Reactions 2024, 5, 120-134. https://doi.org/10.3390/reactions5010006
German D, Turyanskiy V, Schroeder J, Al-Yusufi M, Neubauer K, Köckritz A, Carabineiro SAC, Kolobova E, Pestryakov A. Oxidative Cleavage of 9,10-Dihydroxystearic Acid on Supported Au, Pd and PdAu Nanoparticle-Based Catalysts. Reactions. 2024; 5(1):120-134. https://doi.org/10.3390/reactions5010006
Chicago/Turabian StyleGerman, Dmitrii, Vladislav Turyanskiy, Julia Schroeder, Mohammed Al-Yusufi, Katja Neubauer, Angela Köckritz, Sónia A. C. Carabineiro, Ekaterina Kolobova, and Alexey Pestryakov. 2024. "Oxidative Cleavage of 9,10-Dihydroxystearic Acid on Supported Au, Pd and PdAu Nanoparticle-Based Catalysts" Reactions 5, no. 1: 120-134. https://doi.org/10.3390/reactions5010006
APA StyleGerman, D., Turyanskiy, V., Schroeder, J., Al-Yusufi, M., Neubauer, K., Köckritz, A., Carabineiro, S. A. C., Kolobova, E., & Pestryakov, A. (2024). Oxidative Cleavage of 9,10-Dihydroxystearic Acid on Supported Au, Pd and PdAu Nanoparticle-Based Catalysts. Reactions, 5(1), 120-134. https://doi.org/10.3390/reactions5010006

