Effects of Infield Transshipment Traffic in Mechanized Sugarcane Harvest on Soil Physical Properties and Pore Functions
Abstract
1. Introduction
2. Materials and Methods
2.1. Experimental Site and Soil
2.2. Experiment Establishment
2.3. Experimental Design and Treatments
2.4. Soil Sampling and Structural and Functional Property Determinations
2.5. Crop Yield
2.6. Data Analysis
3. Results and Discussion
3.1. Effects of Transshipment Configurations on Soil Structural Indicators
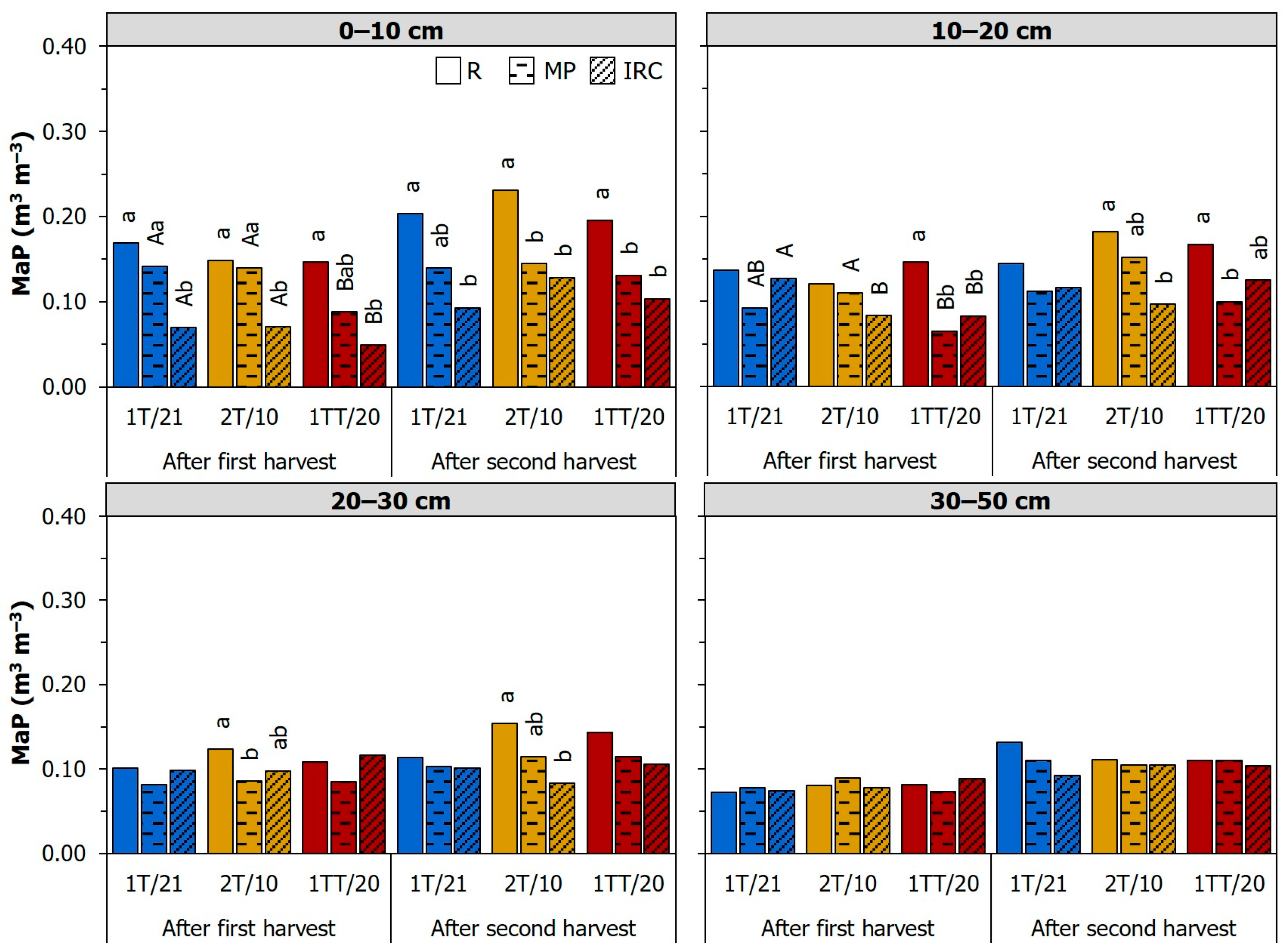
3.2. Effects on Functional Properties


3.3. Sugarcane Yield Under Different Controlled Traffic Transshipment Configurations
4. Conclusions
Supplementary Materials
Author Contributions
Funding
Institutional Review Board Statement
Informed Consent Statement
Data Availability Statement
Acknowledgments
Conflicts of Interest
Abbreviations
| 1T/21 | Tractor pulling one four-axle trailer unit with 21 Mg carrying capacity |
| 1TT/20 | Autonomous truck with four axles and one trailer with 20 Mg carrying capacity |
| 2T/10 | Tractor pulling two axle trailer units with 10 Mg carrying capacity |
| BD | Soil bulk density |
| BDmax | Maximum bulk density |
| DC | Degree of compaction |
| IRC | Inter-row center |
| K1 | Pore continuity index |
| ka10 | Soil air permeability |
| Ks | Saturated hydraulic conductivity |
| MaP | Macroporosity |
| MP | Midpoint between R and IRC positions |
| R | Planting row |
| εa10 | Air-filled porosity |
References
- Keller, T.; Or, D. Farm Vehicles Approaching Weights of Sauropods Exceed Safe Mechanical Limits for Soil Functioning. Proc. Natl. Acad. Sci. USA 2022, 119, e2117699119. [Google Scholar] [CrossRef]
- Keller, T.; Sandin, M.; Colombi, T.; Horn, R.; Or, D. Historical Increase in Agricultural Machinery Weights Enhanced Soil Stress Levels and Adversely Affected Soil Functioning. Soil Tillage Res. 2019, 194, 104293. [Google Scholar] [CrossRef]
- ten Damme, L.; Stettler, M.; Pinet, F.; Vervaet, P.; Keller, T.; Munkholm, L.J.; Lamandé, M. The Contribution of Tyre Evolution to the Reduction of Soil Compaction Risks. Soil Tillage Res. 2019, 194, 104283. [Google Scholar] [CrossRef]
- Sonderegger, T.; Pfister, S.; Hellweg, S. Assessing Impacts on the Natural Resource Soil in Life Cycle Assessment: Methods for Compaction and Water Erosion. Environ. Sci. Technol. 2020, 54, 6496–6507. [Google Scholar] [CrossRef] [PubMed]
- Stoessel, F.; Sonderegger, T.; Bayer, P.; Hellweg, S. Science of the Total Environment Assessing the Environmental Impacts of Soil Compaction in Life Cycle Assessment. Sci. Total Environ. 2018, 630, 913–921. [Google Scholar] [CrossRef]
- Magalhães, P.S.G.; Braunbeck, O.A. Sugarcane and Straw Harvesting for Ethanol Production. In Sugarcane Bioethanol—R&D for Productivity and Sustainability; Cortez, L.A.B., Ed.; Editora Edgard Blücher: São Paulo, Brazil, 2014; pp. 465–476. [Google Scholar]
- CONAB—Companhia Nacional de Abastecimento. Acompanhamento da Safra Brasileira de Cana-de-Açúcar; V12–Safra 2024/25, n.4-Quarto Levantamento; CONAB: Brasília, DF, Brazil, 2025.
- Bordonal, R.d.O.; Carvalho, J.L.N.; Lal, R.; de Figueiredo, E.B.; de Oliveira, B.G.; La Scala, N. Sustainability of Sugarcane Production in Brazil. A Review. Agron. Sustain. Dev. 2018, 38, 13. [Google Scholar] [CrossRef]
- Cavalcanti, R.Q.; Rolim, M.M.; Lima, R.P.D.; Tavares, U.E.; Pedrosa, E.M.R.; Gomes, I.F. Soil & Tillage Research Soil Physical and Mechanical Attributes in Response to Successive Harvests under Sugarcane Cultivation in Northeastern Brazil. Soil Tillage Res. 2019, 189, 140–147. [Google Scholar] [CrossRef]
- Guimarães Júnnyor, W.d.S.; Diserens, E.; De Maria, I.C.; Araujo-Junior, C.F.; Farhate, C.V.V.; de Souza, Z.M. Prediction of Soil Stresses and Compaction Due to Agricultural Machines in Sugarcane Cultivation Systems with and without Crop Rotation. Sci. Total Environ. 2019, 681, 424–434. [Google Scholar] [CrossRef] [PubMed]
- Severiano, E.D.C.; Oliveira, G.C.D.; Dias Júnior, M.D.S.; Castro, M.B.D.; Oliveira, L.F.C.D.; Costa, K.a.D.P. Compactação de Solos Cultivados Com Cana-de-Açúcar: I-Modelagem e Quantificação Da Compactação Adicional Após as Operações de Colheita. Eng. Agríc. 2010, 30, 404–413. [Google Scholar] [CrossRef]
- Braunbeck, O.A.; Magalhães, P.S.G. Technological Evaluation of Sugarcane Mechanization. In Sugarcane Bioethanol—R&D for Productivity and Sustainability; Cortez, L.A.B., Ed.; Editora Edgard Blücher: São Paulo, Brazil, 2014; pp. 451–464. [Google Scholar]
- Lozano, N.; Rolim, M.M.; Oliveira, V.S.; Tavares, U.E.; Pedrosa, E.M.R. Evaluation of Soil Compaction by Modeling Field Vehicle Traffic with SoilFlex during Sugarcane Harvest. Soil Tillage Res. 2013, 129, 61–68. [Google Scholar] [CrossRef]
- Jimenez, K.J.; Rolim, M.M.; Gomes, I.F.; de Lima, R.P.; Berrío, L.L.A.; Ortiz, P.F.S. Numerical Analysis Applied to the Study of Soil Stress and Compaction Due to Mechanised Sugarcane Harvest. Soil Tillage Res. 2021, 206, 104847. [Google Scholar] [CrossRef]
- Delmond, J.G.; Guimarães Junnyor, W.d.S.; Brito, M.F.d.; Rossoni, D.F.; Araujo-Junior, C.F.; Severiano, E.d.C.; Severiano, E.C. Which Operation in Mechanized Sugarcane Harvesting Is Most Responsible for Soil Compaction? Geoderma 2024, 448, 116979. [Google Scholar] [CrossRef]
- Silva, R.B.d.; Iori, P.; Souza, Z.M.d.; Pereira, D.d.M.G.; Vischi Filho, O.J.; Silva, F.A.d.M. Contact Pressures and the Impact of Farm Equipment on Latosol with the Presence and Absence of Sugarcane Straw. Ciênc. Agrotecnologia 2016, 40, 265–278. [Google Scholar] [CrossRef]
- Melo, M.O.; Rosa, J.H.M. Corte, Transbordo e Transporte (CTT): Uso de Transbordo na Colheita Mecanizada e Seus Impactos no CTT. In Processos Agrícolas e Mecanização da Cana-de-Açúcar; Belardo, G.d.C., Cassia, M.T., Pereira da Silva, R., Eds.; SBEA: Jaboticabal, Brazil, 2015; pp. 429–437. [Google Scholar]
- Chamen, T.W.C.; Moxey, A.P.; Towers, W.; Balana, B.; Hallett, P.D. Mitigating Arable Soil Compaction: A Review and Analysis of Available Cost and Benefit Data. Soil Tillage Res. 2015, 146, 10–25. [Google Scholar] [CrossRef]
- Esteban, D.A.A.; de Souza, Z.M.; Tormena, C.A.; Lovera, L.H.; de Souza Lima, E.; de Oliveira, I.N.; de Paula Ribeiro, N. Soil Compaction, Root System and Productivity of Sugarcane under Different Row Spacing and Controlled Traffic at Harvest. Soil Tillage Res. 2019, 187, 60–71. [Google Scholar] [CrossRef]
- da Luz, F.B.; Gonzaga, L.C.; Castioni, G.A.F.; de Lima, R.P.; Carvalho, J.L.N.; Cherubin, M.R. Controlled Traffic Farming Maintains Soil Physical Functionality in Sugarcane Fields. Geoderma 2023, 432, 116427. [Google Scholar] [CrossRef]
- Souza, G.S.D.; Souza, Z.M.d.; Silva, R.B.d.; Barbosa, R.S.; Araújo, F.S. Effects of Traffic Control on the Soil Physical Quality and the Cultivation of Sugarcane. Rev. Bras. Cienc. Solo 2014, 38, 135–146. [Google Scholar] [CrossRef]
- da Luz, F.B.; Carvalho, M.L.; Castioni, G.A.F.; de Oliveira Bordonal, R.; Cooper, M.; Carvalho, J.L.N.; Cherubin, M.R. Soil Structure Changes Induced by Tillage and Reduction of Machinery Traffic on Sugarcane—A Diversity of Assessment Scales. Soil Tillage Res. 2022, 223, 105469. [Google Scholar] [CrossRef]
- de Lima, C.C.; De Maria, I.C.; da Silva Guimarães Júnnyor, W.; Figueiredo, G.C.; Dechen, S.C.F.; Bolonhezi, D. Root Parameters of Sugarcane and Soil Compaction Indicators under Deep Strip Tillage and Conventional Tillage. Sci. Rep. 2022, 12, 18537. [Google Scholar] [CrossRef] [PubMed]
- Neto, A.F.D.; Rossetto, R.; Albiero, D. Mitigating Soil Compaction in Sugarcane Production: A Systems Approach Integrating Controlled Traffic Farming and Strip Soil Tillage. AgriEngineering 2025, 7, 400. [Google Scholar] [CrossRef]
- Alaoui, A.; Lipiec, J.; Gerke, H.H. A Review of the Changes in the Soil Pore System Due to Soil Deformation: A Hydrodynamic Perspective. Soil Tillage Res. 2011, 115–116, 1–15. [Google Scholar] [CrossRef]
- Berisso, F.E.; Schjønning, P.; Keller, T.; Lamandé, M.; Simojoki, A.; Iversen, B.V.; Alakukku, L.; Forkman, J. Gas Transport and Subsoil Pore Characteristics: Anisotropy and Long-Term Effects of Compaction. Geoderma 2013, 195–196, 184–191. [Google Scholar] [CrossRef]
- Horn, R.F. Soils in Agricultural Engineering: Effect of Land-Use Management Systems on Mechanical Soil Processes. In Hydrogeology, Chemical Weathering, and Soil Formation; Hunt, A., Egli, M., Faybishenko, B., Eds.; Wiley & Sons: Hoboken, NJ, USA, 2021; pp. 187–199. [Google Scholar] [CrossRef]
- Hernandez-Ramirez, G.; Ruser, R.; Kim, D.G. How Does Soil Compaction Alter Nitrous Oxide Fluxes? A Meta-Analysis. Soil Tillage Res. 2021, 211, 105036. [Google Scholar] [CrossRef]
- Castioni, G.A.; Cherubin, M.R.; Menandro, L.M.S.; Sanches, G.M.; Bordonal, R.d.O.; Barbosa, L.C.; Franco, H.C.J.; Carvalho, J.L.N. Soil Physical Quality Response to Sugarcane Straw Removal in Brazil: A Multi-Approach Assessment. Soil Tillage Res. 2018, 184, 301–309. [Google Scholar] [CrossRef]
- Cherubin, M.R.; Franco, A.L.C.; Guimarães, R.M.L.; Tormena, C.A.; Cerri, C.E.P.; Karlen, D.L.; Cerri, C.C. Soil & Tillage Research Assessing Soil Structural Quality under Brazilian Sugarcane Expansion Areas Using Visual Evaluation of Soil Structure (VESS). Soil Tillage Res. 2017, 173, 64–74. [Google Scholar] [CrossRef]
- Ortiz, P.F.S.; Rolim, M.M.; de Lima, R.P.; Tormena, C.A.; Cavalcanti, R.Q.; Pedrosa, E.M.R. A Soil Physical Assessment Over Three Successive Burned and Unburned Sugarcane Annual Harvests. Sugar Tech 2022, 25, 518–530. [Google Scholar] [CrossRef]
- Alvares, C.A.; Stape, J.L.; Sentelhas, P.C.; De Moraes Gonçalves, J.L.; Sparovek, G. Köppen’s Climate Classification Map for Brazil. Meteorol. Z. 2013, 22, 711–728. [Google Scholar] [CrossRef]
- Soil Survey Staff. Keys to Soil Taxonomy; United States Department of Agriculture, Natural Resources Conservation Service: Washington, DC, USA, 2014.
- Santos, H.G.; Jacomine, P.K.T.; Anjos, L.H.C.; Oliveira, V.A.; Lumbreras, J.F.; Coelho, M.R.; Almeida, J.A.; Araujo Filho, J.C.; Oliveira, J.B.; Cunha, T.J.F. Sistema Brasileiro de Classificação de Solos, 5th ed.; Embrapa, Ed.; Embrapa: Brasília, Brazil, 2018; ISBN 978-85-7035-198-2. [Google Scholar]
- Gee, G.W.; Or, D. Particle-Size Analysis. In Methods of Soil Analysis, Part 4. Physical Methods; Dane, J.H., Topp, G.C., Eds.; American Society of America: Madison, WI, USA, 2002; pp. 255–289. [Google Scholar]
- Teixeira, W.G.; Donagemma, G.K.; Fontana, A.; Teixeira, W.G. Manual de Métodos de Análise de Solo, 3rd ed.; Embrapa: Brasília, Brazil, 2017; ISBN 9788570357717. [Google Scholar]
- ABNT NBR 7182; Ensaio de Compactação. ABNT: Rio de Janeiro, Brazil, 2016.
- Nelson, D.W.; Sommers, L.E. Total Carbon, Organic Carbon, and Organic Matter. In Methods of Soil Analysis; Sparks, D.L., Page, A.L., Helmke, P.A., Loeppert, R.H., Soltanpour, P.N., Tabatabai, M.A., Eds.; Wiley: Hoboken, NJ, USA, 1996; pp. 961–1010. ISBN 9780891188667. [Google Scholar]
- Esteban, D.A.A.; Souza, Z.M.d.; Tormena, C.A.; Gomes, M.G.d.S.; Parra, J.A.S.; Guimarães Júnnyor, W.d.S.; Moraes, M.T.d. Risk Assessment of Soil Compaction Due to Machinery Traffic Used in Infield Transportation of Sugarcane during Mechanized Harvesting. Soil Tillage Res. 2024, 244, 106206. [Google Scholar] [CrossRef]
- Aita, R.A.A.; Facco, R.; Werlang, A.P.; Werlang, M.K. Método Alternativo Para a Determinação Do Limite de Contração a Partir de Pastilha Parafinada Em Um Argissolo Vermelho Distrófico. Geogr. Ensino Pesqui. 2016, 20, 156–165. [Google Scholar] [CrossRef]
- Ball, B.C.; Schjønning, P. Air Permeability. In Methods of Soil Analysis; Dane, J.H., Topp, G.C., Eds.; American Society of Agronomy: Madison, WI, USA, 2002; Volume 1, pp. 1141–1158. [Google Scholar]
- Betioli Junior, E.; Tormena, C.A.; Moreira, W.H.; Ball, B.C.; Figueiredo, G.C.; Silva, Á.P.d.; Giarola, N.F.B. Aeration Condition of a Clayey Oxisol under Long-Term No-Tillage. Rev. Bras. Cienc. Solo 2014, 38, 990–999. [Google Scholar] [CrossRef][Green Version]
- Groenevelt, P.H.; Kay, B.D.; Grant, C.D. Physical Assessment of a Soil with Respect to Rooting Potential. Geoderma 1984, 34, 101–114. [Google Scholar] [CrossRef]
- Schjønning, P.; van den Akker, J.J.H.; Keller, T.; Greve, M.H.; Lamandé, M.; Simojoki, A.; Stettler, M.; Arvidsson, J.; Breuning-Madsen, H. Driver-Pressure-State-Impact-Response (DPSIR) Analysis and Risk Assessment for Soil Compaction—A European Perspective. Adv. Agron. 2015, 133, 183–237. [Google Scholar]
- de Sá, M.A.C.; Junior, J.d.D.G.d.S.; Franz, C.A.B.; Rein, T.A. Qualidade Física Do Solo e Produtividade Da Cana-de-Açúcar Com Uso Da Escarificação Entre Linhas de Plantio. Pesqui. Agropecu. Bras. 2016, 51, 1610–1622. [Google Scholar] [CrossRef]
- Schjønning, P.; Lamandé, M.; Berisso, F.E.; Simojoki, A.; Alakukku, L.; Andreasen, R.R. Gas Diffusion, Non-Darcy Air Permeability, and Computed Tomography Images of a Clay Subsoil Affected by Compaction. Soil Sci. Soc. Am. J. 2013, 77, 1977–1990. [Google Scholar] [CrossRef]
- de Lima, R.P.; Rolim, M.M.; Toledo, M.P.S.; Tormena, C.A.; da Silva, A.R.; e Silva, I.A.C.; Pedrosa, E.M.R. Texture and Degree of Compactness Effect on the Pore Size Distribution in Weathered Tropical Soils. Soil Tillage Res. 2022, 215, 105215. [Google Scholar] [CrossRef]
- de Sousa, A.C.M.; Farhate, C.V.V.; de Souza, Z.M.; Torres, J.L.R.; da Silva, R.B. Soil Load-Bearing Capacity and Development of Root System in Area Under Sugarcane with Traffic Control in Brazil. Sugar Tech 2019, 21, 153–161. [Google Scholar] [CrossRef]
- Passalaqua, B.P.; Molin, J.P. Path Errors in Sugarcane Transshipment Trailers. Eng. Agríc. 2020, 4430, 223–231. [Google Scholar] [CrossRef]
- Schjønning, P.; Lamandé, M.; Munkholm, L.J.; Lyngvig, H.S.; Nielsen, J.A. Soil Precompression Stress, Penetration Resistance and Crop Yields in Relation to Differently-Trafficked, Temperate-Region Sandy Loam Soils. Soil Tillage Res. 2016, 163, 298–308. [Google Scholar] [CrossRef]
- Oliveira, I.N.d.; Souza, Z.M.d.; Bolonhezi, D.; Totti, M.C.V.; Moraes, M.T.d.; Lovera, L.H.; Lima, E.d.S.; Esteban, D.A.A.; Oliveira, C.F. Tillage Systems Impact on Soil Physical Attributes, Sugarcane Yield and Root System Propagated by Pre-Sprouted Seedlings. Soil Tillage Res. 2022, 223, 105460. [Google Scholar] [CrossRef]
- Stepniewski, W.; Gliński, J.; Ball, B.C. Effects of Compaction on Soil Aeration Properties. Dev. Agric. Eng. 1994, 11, 167–189. [Google Scholar] [CrossRef]
- Grable, A.R. Effects of Compaction on Content and Transmission of Air in Soils; Barnes, K.I.C., Carieton, W.M., Taylor, H.M., Throckmorton, R.I., Vanden Berg, G.E., Eds.; American Society Agricultural Engineers: St. Joseph, MI, USA, 1971; pp. 154–164. [Google Scholar]
- Toledo, M.P.S.; Rolim, M.M.; de Lima, R.P.; Cavalcanti, R.Q.; Ortiz, P.F.S.; Cherubin, M.R. Strength, Swelling and Compressibility of Unsaturated Sugarcane Soils. Soil Tillage Res. 2021, 212, 105072. [Google Scholar] [CrossRef]
- Rabot, E.; Wiesmeier, M.; Schlüter, S.; Vogel, H.J. Soil Structure as an Indicator of Soil Functions: A Review. Geoderma 2018, 314, 122–137. [Google Scholar] [CrossRef]
- Awe, G.O.; Reichert, J.M.; Fontanela, E. Sugarcane Production in the Subtropics: Seasonal Changes in Soil Properties and Crop Yield in No-Tillage, Inverting and Minimum Tillage. Soil Tillage Res. 2020, 196, 104447. [Google Scholar] [CrossRef]
- Mossadeghi-Björklund, M.; Jarvis, N.; Larsbo, M.; Forkman, J.; Keller, T. Effects of Compaction on Soil Hydraulic Properties, Penetration Resistance and Water Flow Patterns at the Soil Profile Scale. Soil Use Manag. 2019, 35, 367–377. [Google Scholar] [CrossRef]
- Blackwell, P.S.; Green, T.W.; Mason, W.K. Responses of Biopore Channels from Roots to Compression by Vertical Stresses. Soil Sci. Soc. Am. J. 1990, 54, 1088–1091. [Google Scholar] [CrossRef]
- Holthusen, D.; Anibal, A.; Miguel, J.; Horn, R. Soil & Tillage Research Soil Porosity, Permeability and Static and Dynamic Strength Parameters under Native Forest/Grassland Compared to No-Tillage Cropping. Soil Tillage Res. 2018, 177, 113–124. [Google Scholar] [CrossRef]
- da Luz, F.B.; Castioni, G.A.F.; Tormena, C.A.; dos Santos Freitas, R.; Carvalho, J.L.N.; Cherubin, M.R. Soil Tillage and Machinery Traffic Influence Soil Water Availability and Air Fluxes in Sugarcane Fields. Soil Tillage Res. 2022, 223, 105459. [Google Scholar] [CrossRef]
- Fish, A.N.; Koppi, A.J. The Use of a Simple Field Air Permeameter as a Rapid Indicator of Functional Soil Pore Space. Geoderma 1994, 63, 255–264. [Google Scholar] [CrossRef]
- Ball, B.C.; O’Sullivan, M.F.; Hunter, R. Gas Diffusion, Fluid Flow and Derived Pore Continuity Indices in Relation to Vehicle Traffic and Tillage. J. Soil Sci. 1988, 39, 327–339. [Google Scholar] [CrossRef]
- Dörner, J.; Horn, R. Anisotropy of Pore Functions in Structured Stagnic Luvisols in the Weichselian Moraine Region in N Germany. J. Plant Nutr. Soil Sci. 2006, 169, 213–220. [Google Scholar] [CrossRef]
- Colombi, T.; Walder, F.; Büchi, L.; Sommer, M.; Liu, K.; Six, J.; Van Der Heijden, M.G.A.; Charles, R.; Keller, T. On-Farm Study Reveals Positive Relationship between Gas Transport Capacity and Organic Carbon Content in Arable Soil. Soil 2019, 5, 91–105. [Google Scholar] [CrossRef]
- Otto, R.; Silva, A.P.; Franco, H.C.J.; Oliveira, E.C.A.; Trivelin, P.C.O. High Soil Penetration Resistance Reduces Sugarcane Root System Development. Soil Tillage Res. 2011, 117, 201–210. [Google Scholar] [CrossRef]
- Lovera, L.H.; de Souza, Z.M.; Esteban, D.A.A.; Oliveira, I.N.d.; Farhate, C.V.V.; Lima, E.d.S.; Panosso, A.R. Sugarcane Root System: Variation over Three Cycles under Different Soil Tillage Systems and Cover Crops. Soil Tillage Res. 2021, 208, 104866. [Google Scholar] [CrossRef]
- Martínez, I.; Chervet, A.; Weisskopf, P.; Sturny, W.G.; Rek, J.; Keller, T. Two Decades of No-till in the Oberacker Long-Term Field Experiment: Part II. Soil Porosity and Gas Transport Parameters. Soil Tillage Res. 2016, 163, 130–140. [Google Scholar] [CrossRef]
- Antille, D.L.; Chamen, W.C.T.; Tullberg, J.N.; Lal, R. The Potential of Controlled Traffic Farming to Mitigate Greenhouse Gas Emissions and Enhance Carbon Sequestration in Arable Land: A Critical Review. Trans. ASABE 2015, 58, 707–731. [Google Scholar] [CrossRef]
- Luo, L.; Lin, H.; Li, S. Quantification of 3-D Soil Macropore Networks in Different Soil Types and Land Uses Using Computed Tomography. J. Hydrol. 2010, 393, 53–64. [Google Scholar] [CrossRef]
- Horn, R.; Fleige, H. Risk Assessment of Subsoil Compaction for Arable Soils in Northwest Germany at Farm Scale. Soil Tillage Res. 2009, 102, 201–208. [Google Scholar] [CrossRef]
- Pinheiro, E.A.R.; de Jong van Lier, Q.; Šimůnek, J. The Role of Soil Hydraulic Properties in Crop Water Use Efficiency: A Process-Based Analysis for Some Brazilian Scenarios. Agric. Syst. 2019, 173, 364–377. [Google Scholar] [CrossRef]
- Schjønning, P. Soil Permeability by Air and Water as Influenced by Soil Type and Incorporation of Straw. Tidsskriffio R Planteav 1986, 90, 227–240. [Google Scholar]
- Companhia Nacional de Abastecimento—CONAB. Acompanhamento Safra Brasileira de Cana-de-Açúcar; V10–Safra 2022/23, n. 4-Quarto Levantamento; CONAB: Brasília, Brazil, 2022. Available online: https://www.conab.gov.br/info-agro/safras/cana/boletim-da-safra-de-cana-de-acucar (accessed on 23 September 2023).
- Santos, F.; Diola, V. Physiology. In Sugarcane: Agricultural Production, Bioenergy and Ethanol; Santos, F., Borém, A., Caldas, C., Eds.; Academic Press: Cambridge, MA, USA, 2015; pp. 13–33. ISBN 9780128022399. [Google Scholar]
- Dias, H.B.; Sentelhas, P.C. Sugarcane Yield Gap Analysis in Brazil—A Multi-Model Approach for Determining Magnitudes and Causes. Sci. Total Environ. 2018, 637–638, 1127–1136. [Google Scholar] [CrossRef]
- Otto, R.; Cesar, P.; Trivelin, O.; Coutinho, H.; Franco, J.; Faroni, C.E.; Vitti, A.C. Root System Distribution of Sugar Cane as Related to Nitrogen Fertilization, Evaluated by Two Methods: Monolith and Probes. Rev. Bras. Cienc. Solo 2009, 33, 601–611. [Google Scholar] [CrossRef]
- Braunack, M.V.; McGarry, D. Traffic Control and Tillage Strategies for Harvesting and Planting of Sugarcane (Saccharum officinarum) in Australia. Soil Tillage Res. 2006, 89, 86–102. [Google Scholar] [CrossRef]
- van Antwerpen, R.; van Heerden, P.D.R.; Keeping, M.G.; Titshall, L.W.; Jumman, A.; Tweddle, P.B.; van Antwerpen, T.; Ramouthar, P.V.; Campbell, P.L. Chapter Two—A Review of Field Management Practices Impacting Root Health in Sugarcane. In Advances in Agronomy; Sparks Donald, L., Ed.; Academic Press: San Diego, CA, USA, 2022; Volume 173, pp. 79–162. ISBN 9780323989558. [Google Scholar]
- Valente, I.Q.M.; de Souza, Z.M.; Cassama, G.S.; da Silva Bitter, V.; Parra, J.A.S.; Guimarães, E.M.; da Silva, R.B.; Tavares, R.L.M. Changes in Soil Physical Quality, Root Growth, and Sugarcane Crop Yield During Different Successive Mechanized Harvest Cycles. AgriEngineering 2025, 7, 325. [Google Scholar] [CrossRef]
- Jimenez, K.J.; Rolim, M.M.; de Lima, R.P.; Cavalcanti, R.Q.; Silva, Ê.F.F.; Pedrosa, E.M.R. Soil Physical Indicators of a Sugarcane Field Subjected to Successive Mechanised Harvests. Sugar Tech 2021, 23, 811–818. [Google Scholar] [CrossRef]
- Esteban, D.A.A.; de Souza, Z.M.; da Silva, R.B.; de Souza Lima, E.; Lovera, L.H.; de Oliveira, I.N. Impact of Permanent Traffic Lanes on the Soil Physical and Mechanical Properties in Mechanized Sugarcane Fields with the Use of Automatic Steering. Geoderma 2020, 362, 114097. [Google Scholar] [CrossRef]
- Neto, A.F.D.; Albiero, D.; Rossetto, R.; Biagi, J.D.; da Silva, J.G. Strip Soil Tillage and Traffic Over the Soil on Sugar Cane Compared to Conventional Tillage Systems. Sugar Tech 2023, 25, 1025–1035. [Google Scholar] [CrossRef]



| Soil Layer | Sand * | Silt * | Clay * | PD | BDmax ** | SOC |
|---|---|---|---|---|---|---|
| (cm) | (g kg−1) | (Mg m−3) | (Mg m−3) | (g kg−1) | ||
| 0–10 | 633 (20) | 81 (9) | 286 (15) | 2.56 (0.06) | 1.80 | 11.20 (1.67) |
| 10–20 | 633 (25) | 80 (7) | 287 (19) | 2.56 (0.05) | 1.84 | 10.80 (1.18) |
| 20–30 | 636 (19) | 75 (15) | 289 (22) | 2.58 (0.09) | 1.80 | 8.85 (0.62) |
| 30–50 | 616 (12) | 78 (7) | 306 (12) | 2.56 (0.06) | 1.80 | 10.20 (3.82) |
| Treatment | Machinery | CC (Mg) | Axle § | Tire | Tw (cm) | Tip (kPa) | WL (Mg) | RTip (kPa) | σm ¥ (kPa) |
|---|---|---|---|---|---|---|---|---|---|
| 1T/21: Tractor + one trailer unit | Tractor | – | Front | 18.4–26 | 47 | 159 | 2.08 | 120 | 94 |
| Rear | 24.5–32 | 62 | 145 | 2.69 | 100 | 83 | |||
| Trailer | 21 | 1, 2, 3, 4 | 600/50–22.5 | 60 | 345 | 4.73 * | 260 | 160 | |
| 2T/10: Tractor + two trailer units | Tractor | – | Front | 18.4–26 | 47 | 159 | 2.08 | 120 | 94 |
| Rear | 24.5–32 | 62 | 145 | 2.69 | 100 | 83 | |||
| Trailer | 10 each | 1, 2 | 600/50–22.5 | 60 | 345 | 4.47 * | 240 | 161 | |
| 1TT/20: Truck + one trailer unit | Truck and Trailer | 20 | 1 | 400/70 R20 | 41 | 414 | 3.13 * | 320 | 148 |
| 2 | 400/70 R20 | 41 | 414 | 4.70 * | 420 | 155 | |||
| 3, 4 | 560/60 R22.5 | 55 | 414 | 5.37 * | 200 | 343 |
| Soil Layer | PL | SL | Treatment | WTR | |
|---|---|---|---|---|---|
| (cm) | (kg kg−1) | (kg kg−1) | |||
| First harvest | Second harvest | ||||
| 0–10 | 0.17 (0.03) | 0.11 (0.01) | 1T/21 | 0.10 (0.02) | 0.11 (0.03) |
| 2T/10 | 0.09 (0.01) | 0.09 (0.02) | |||
| 1TT/20 | 0.09 (0.01) | 0.10 (0.01) | |||
| 10–20 | 0.17 (0.04) | 0.12 (0.02) | 1T/21 | 0.10 (0.01) | 0.10 (0.03) |
| 2T/10 | 0.09 (0.02) | 0.10 (0.02) | |||
| 1TT/20 | 0.10 (0.01) | 0.11 (0.01) | |||
| 20–30 | 0.17 (0.06) | 0.12 (0.01) | 1T/21 | 0.11 (0.01) | 0.11 (0.03) |
| 2T/10 | 0.09 (0.02) | 0.11 (0.03) | |||
| 1TT/20 | 0.11 (0.01) | 0.10 (0.01) | |||
| 30–50 | 0.17 (0.04) | 0.13 (0.03) | 1T/21 | 0.12 (0.02) | 0.13 (0.02) |
| 2T/10 | 0.11 (0.02) | 0.12 (0.02) | |||
| 1TT/20 | 0.12 (0.02) | 0.12(0.02) |
| After First Harvest | After Second Harvest | |||||
|---|---|---|---|---|---|---|
| Position | R | MP | IRC | R | MP | IRC |
| Treatment | 0–10 cm soil layer | |||||
| 1T/21 | 0.22 a | 0.19 Aa | 0.10 b | 0.25 a | 0.18 b | 0.15 b |
| 2T/10 | 0.19 a | 0.18 Aa | 0.12 b | 0.28 a | 0.19 b | 0.18 b |
| 1TT/20 | 0.18 a | 0.13 Bab | 0.10 b | 0.26 a | 0.19 b | 0.18 b |
| 10–20 cm soil layer | ||||||
| 1T/21 | 0.16 | 0.12 AB | 0.17 | 0.20 | 0.16 | 0.17 |
| 2T/10 | 0.15 | 0.15 A | 0.12 | 0.23 a | 0.20 a | 0.14 b |
| 1TT/20 | 0.18 a | 0.10 Bb | 0.15 a | 0.22 a | 0.14 b | 0.18 ab |
| 20–30 cm soil layer | ||||||
| 1T/21 | 0.13 | 0.11 | 0.14 | 0.15 | 0.14 | 0.14 |
| 2T/10 | 0.15 | 0.11 | 0.13 | 0.20 a | 0.16 ab | 0.12 b |
| 1TT/20 | 0.14 | 0.12 | 0.16 | 0.20 | 0.16 | 0.15 |
| 30–50 cm soil layer | ||||||
| 1T/21 | 0.10 | 0.11 | 0.10 | 0.17 | 0.14 | 0.13 |
| 2T/10 | 0.11 | 0.12 | 0.13 | 0.15 | 0.14 | 0.14 |
| 1TT/20 | 0.11 | 0.10 | 0.11 | 0.17 | 0.17 | 0.17 |
| After First Harvest | After Second Harvest | |||||
|---|---|---|---|---|---|---|
| Position | R | MP | IRC | R | MP | IRC |
| Treatment | 0–10 cm soil layer | |||||
| 1T/21 | 42.98 a * | 30.92 a | 1.10 b | 92.91 a | 99.23 a | 37.83 b |
| 2T/10 | 33.94 a | 35.74 a | 3.98 b | 120.21 | 116.43 | 66.73 |
| 1TT/20 | 34.60 a | 11.04 b | 2.73 c | 178.88 a | 97.88 b | 36.91 b |
| 10–20 cm soil layer | ||||||
| 1T/21 | 18.39 | 20.76 | 13.26 | 102.10 | 63.71 | 47.39 |
| 2T/10 | 13.43 | 9.95 | 6.13 | 72.52 | 69.13 | 26.99 |
| 1TT/20 | 30.58 a | 3.67 b | 17.64 ab | 87.16 | 54.72 | 53.61 |
| 20–30 cm soil layer | ||||||
| 1T/21 | 14.22 ab | 5.67 b | 34.35 a | 42.11 | 18.08 | 11.17 |
| 2T/10 | 16.06 | 9.29 | 4.74 | 138.45 a | 18.90 b | 31.24 b |
| 1TT/20 | 12.44 | 7.21 | 22.89 | 45.62 | 64.60 | 64.60 |
| 30–50 cm soil layer | ||||||
| 1T/21 | 4.66 | 11.51 | 4.18 | 103.47 | 58.35 | 28.31 |
| 2T/10 | 10.04 | 8.38 | 12.39 | 60.33 | 23.87 | 25.67 |
| 1TT/20 | 5.39 | 2.79 | 7.52 | 64.87 | 75.98 | 35.20 |
| Treatment | First Harvest (2020/2021 Crop Year) | Second Harvest (2021/2022 Crop Year) | Third Harvest (2022/2023 Crop Year) | Relative Variation from Second to Third Harvest (%) |
|---|---|---|---|---|
| 1T/21 | 120.07 (13.01) | 69.73 (8.98) | 79.79 (6.66) | 14.43 (7.58) |
| 2T/10 | 120.34 (9.19) | 63.92 (7.41) | 81.58 (9.83) | 27.63 (10.29) |
| 1TT/20 | 137.10 (9.44) | 68.60 (10.21) | 85.55 (8.17) | 24.71 (4.69) |
| p-value | 0.176 | 0.296 | 0.246 | 0.267 |
Disclaimer/Publisher’s Note: The statements, opinions and data contained in all publications are solely those of the individual author(s) and contributor(s) and not of MDPI and/or the editor(s). MDPI and/or the editor(s) disclaim responsibility for any injury to people or property resulting from any ideas, methods, instructions or products referred to in the content. |
© 2026 by the authors. Licensee MDPI, Basel, Switzerland. This article is an open access article distributed under the terms and conditions of the Creative Commons Attribution (CC BY) license.
Share and Cite
Esteban, D.A.A.; Souza, Z.M.d.; Tormena, C.A.; Gomes, M.G.d.S.; Parra, J.A.S.; Varón-Ramirez, V.M.; Moraes, M.T.d.; Lima, R.P.d. Effects of Infield Transshipment Traffic in Mechanized Sugarcane Harvest on Soil Physical Properties and Pore Functions. AgriEngineering 2026, 8, 82. https://doi.org/10.3390/agriengineering8030082
Esteban DAA, Souza ZMd, Tormena CA, Gomes MGdS, Parra JAS, Varón-Ramirez VM, Moraes MTd, Lima RPd. Effects of Infield Transshipment Traffic in Mechanized Sugarcane Harvest on Soil Physical Properties and Pore Functions. AgriEngineering. 2026; 8(3):82. https://doi.org/10.3390/agriengineering8030082
Chicago/Turabian StyleEsteban, Diego Alexander Aguilera, Zigomar Menezes de Souza, Cássio Antonio Tormena, Mayara Germana dos Santos Gomes, Jeison Andrey Sanchez Parra, Viviana Marcela Varón-Ramirez, Moacir Tuzzin de Moraes, and Renato Paiva de Lima. 2026. "Effects of Infield Transshipment Traffic in Mechanized Sugarcane Harvest on Soil Physical Properties and Pore Functions" AgriEngineering 8, no. 3: 82. https://doi.org/10.3390/agriengineering8030082
APA StyleEsteban, D. A. A., Souza, Z. M. d., Tormena, C. A., Gomes, M. G. d. S., Parra, J. A. S., Varón-Ramirez, V. M., Moraes, M. T. d., & Lima, R. P. d. (2026). Effects of Infield Transshipment Traffic in Mechanized Sugarcane Harvest on Soil Physical Properties and Pore Functions. AgriEngineering, 8(3), 82. https://doi.org/10.3390/agriengineering8030082

