Integrated DEM–Experimental Framework for Multi-Objective Optimization of a Low-Disturbance Liquid Manure Injector Shank
Abstract
1. Introduction
2. Materials and Methods
2.1. Soil Characterization
2.2. Calibration of DEM Soil Parameters
2.3. DEM Parameter Specification and Calibration Design
2.4. Verification of the Calibrated Soil Model
2.5. Soil Bin Test Validation
2.6. Multi-Response Optimization for Operational Parameters
3. Results and Discussions
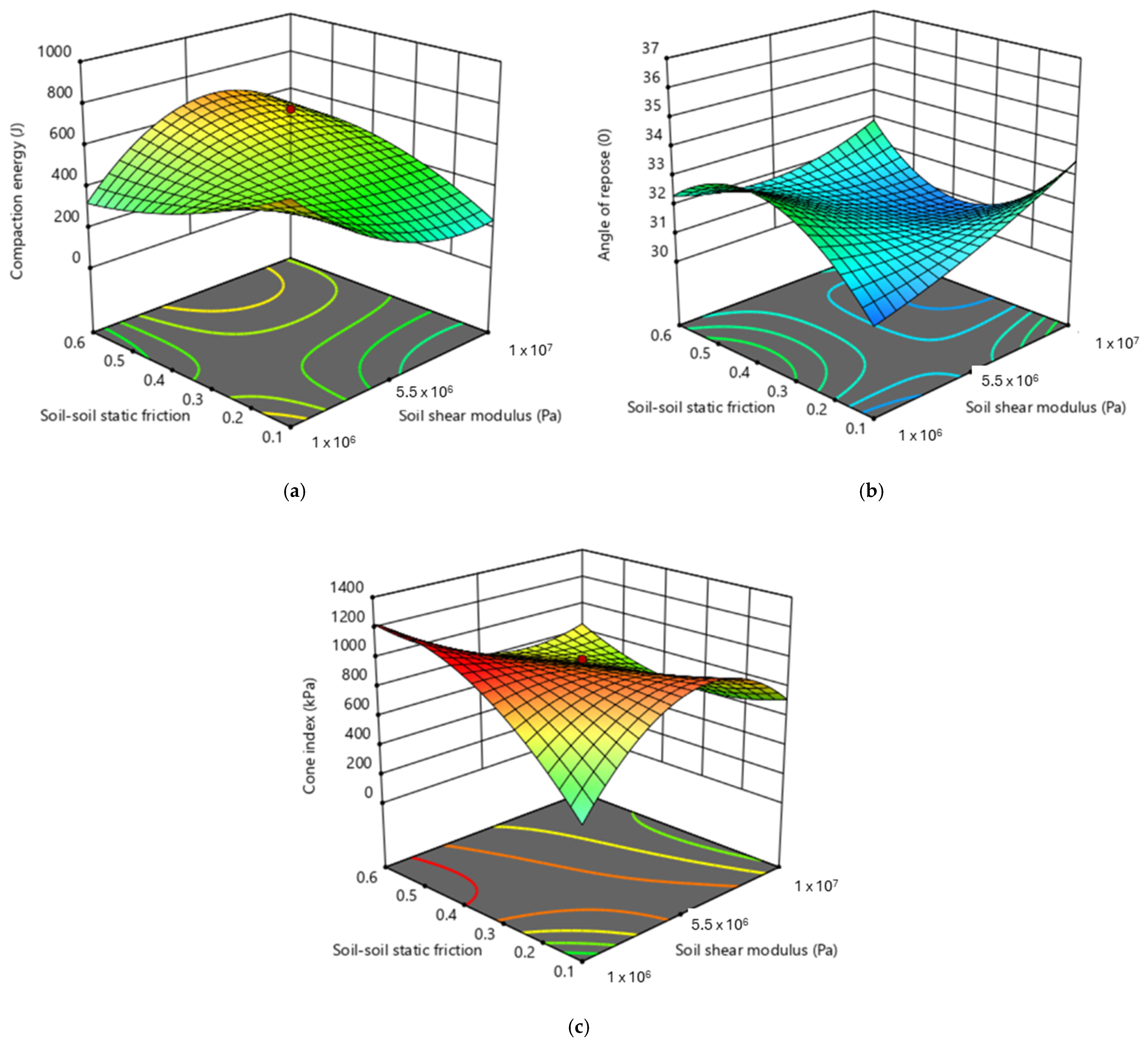
3.1. DEM Soil Model Calibration Prediction of Angle of Repose Test, Uniaxial Confined Compression Test and Cone Penetrometer
3.2. Verification of DEM Soil Model Predictions for Angle of Repose, Uniaxial Confined Compression, and Cone Penetrometer Tests of Bayer Sandy Loam
3.3. Validation of Soil-Tool Interaction DEM Prediction of Draft Force and Soil Rupture Area Using the Soil Bin Experiment
3.4. Operational Optimization for the Injector Shank Based on Simulation Draft and Soil Rupture Area Results
3.5. Crescent Failure Pattern, Soil Energy Balance, and Soil Velocity Behavior
4. Conclusions
Author Contributions
Funding
Institutional Review Board Statement
Informed Consent Statement
Data Availability Statement
Acknowledgments
Conflicts of Interest
Abbreviations
| DEM | Discrete Element Method |
| Cc | Coefficient of Curvature |
| Cu | Uniformity Coefficient |
| C | Soil cohesion |
| SD | Standard deviations |
| Pd | Particle diameter |
| D60 | 60% particle diameter |
| EEPA | Edinburgh Elasto-Plastic Adhesive |
| ASABE | American Society of Biological Engineering |
| CCD | Central Composite Design |
| Δt | Rayleigh time step |
| CI | Cone index |
| R2 | Coefficient of determination |
| RE | Relative error |
| AARE | Absolute Average Relative Error |
| RMSE | Root means square error |
| w1 and w2 | the weighting factors for each objective |
| D | Desirability value |
References
- Misselbrook, T.H.; Van Der Weerden, T.J.; Pain, B.F.; Jarvis, S.C.; Chambers, B.J.; Smith, K.A.; Phillips, V.R.; Demmers, T.G. Ammonia emission factors for UK agriculture. Atmos. Environ. 2000, 34, 871–880. [Google Scholar] [CrossRef]
- VanderZaag, A.C.; Gordon, R.J.; Glass, V.M.; Jamieson, R.C. Floating covers to reduce gas emissions from liquid manure storages: A review. Appl. Eng. Agric. 2008, 24, 657–671. [Google Scholar] [CrossRef]
- Chen, Y.; Zhang, Q.; Petkau, D.S. Evaluation of different techniques for liquid manure application on grassland. Appl. Eng. Agric. 2001, 17, 489. [Google Scholar] [CrossRef]
- Rahman, M.S.; Chen, Y. Laboratory investigation of cutting forces and soil disturbance resulting from different manure incorporation tools in loamy sand soil. Soil Tillage Res. 2001, 58, 19–29. [Google Scholar] [CrossRef]
- Cundall, P.A.; Strack, O.D.L. A discrete numerical model for granular assemblies. Géotechnique 1979, 29, 47–65. [Google Scholar] [CrossRef]
- Shmulevich, I. State of the art modeling of soil–tillage interaction using discrete element method. Soil Tillage Res. 2010, 111, 41–53. [Google Scholar] [CrossRef]
- Hegde, A.; Murthy, T.G. Experimental studies on deformation of granular materials during orthogonal cutting. Granul. Matter 2022, 24, 70. [Google Scholar] [CrossRef]
- Zhao, H.; Huang, Y.; Liu, Z.; Liu, W.; Zheng, Z. Applications of discrete element method in the research of agricultural machinery: A review. Agriculture 2021, 11, 425. [Google Scholar] [CrossRef]
- Li, L.; Chen, Y.; Liu, J. DEM simulation of soil disturbance by various furrow openers. Biosyst. Eng. 2020, 194, 133–145. [Google Scholar]
- Xu, T.; He, X.; Wang, Y. Discrete element method (DEM) modeling of organic fertilizer spreading processes. Comput. Electron. Agric. 2018, 154, 258–267. [Google Scholar]
- Yan, D.; Yu, J.; Wang, Y.; Zhou, L.; Sun, K.; Tian, Y. A review of the application of discrete element method in agricultural engineering: A case study of soybean. Processes 2022, 10, 1305. [Google Scholar] [CrossRef]
- Gallego, E.; Madrid, M.; Fuentes, J.M.; Wiącek, J.; Grande, A.; Ayuga, F. DEM analysis of friction of cylindrical pinewood pellets with corrugated steel silo walls. Comput. Part. Mech. 2025, 12, 2081–2100. [Google Scholar] [CrossRef]
- ASTM D6913/D6913M-17; Standard Test Methods for Particle-Size Distribution (Gradation) of Soils Using Sieve Analysis. ASTM International: West Conshohocken, PA, USA, 2017. [CrossRef]
- Feng, Y.T.; Owen, D.R.J. Discrete element modelling of large-scale particle systems—I: Exact scaling laws. Comput. Part. Mech. 2014, 1, 159–168. [Google Scholar] [CrossRef]
- Zhang, B.; Huang, Y.; Zhao, T. Comparison of Coarse Graining DEM Models Based on Exact Scaling Laws. Comput. Model. Eng. Sci. (CMES) 2021, 127, 1133–1150. [Google Scholar] [CrossRef]
- Larijani, R.S.; Magnanimo, V.; Luding, S. A Coarse-Grained Discrete Element Model (CG-DEM) based on parameter scaling for a dense wet granular system. Powder Technol. 2025, 453, 120581. [Google Scholar] [CrossRef]
- ASTM. Standard Test Method for Performing Laboratory Direct Shear Strength Tests of Rock Specimens Under Constant Normal Force; ASTM International: West Conshohocken, PA, USA, 2008. [Google Scholar]
- Tekeste, M.Z.; Balvanz, L.R.; Hatfield, J.L.; Ghorbani, S. Discrete element modeling of cultivator sweep-to-soil interaction: Worn and hardened edges effects on soil-tool forces and soil flow. J. Terramech 2019, 82, 1–11. [Google Scholar] [CrossRef]
- EDEM. EDEM Theory Reference Guide; DEM Solutions: Edinburgh, UK, 2024. [Google Scholar]
- Ghorbani, S. Simulation of Soil-to-Tool Interaction Using Discrete Element Method (DEM) and Multi Body Dynamics (MBD) Coupling. Ph.D. Dissertation, Iowa State University, Ames, IA, USA, 2019. Available online: https://www.proquest.com/docview/2242967820 (accessed on 24 October 2025).
- Tekeste, M.Z.; Raper, R.L.; Tollner, E.W.; Way, T.R. Finite element analysis of cone penetration in soil for prediction of hardpan location. Trans. ASABE 2007, 50, 23–31. [Google Scholar] [CrossRef]
- Bruce, C.; Curry, D.; Pantaleev, S. Development of soft soil models using the Discrete Element Method (DEM) for two-way Altair EDEM+MBD off-road mobility simulations. In Proceedings of the Ground Vehicle Systems Engineering and Technology Symposium, Novi, MI, USA, 10–12 August 2020; pp. 11–13. [Google Scholar]
- Mohajeri, N.; Hsu, S.C.; Milner, J.; Taylor, J.; Kiesewetter, G.; Gudmundsson, A.; Kennard, H.; Hamilton, I.; Davies, M. Urban–rural disparity in global estimation of PM2.5 household air pollution and its attributable health burden. Lancet Planet. Health 2023, 7, e660–e672. [Google Scholar] [CrossRef] [PubMed]
- Janda, A.; Ooi, J.Y. DEM modeling of cone penetration and unconfined compression in cohesive solids. Powder Technol. 2016, 293, 60–68. [Google Scholar] [CrossRef]
- Sedara, A.; Zeng, Z.; Digman, M.; Timm, A. Optimization of liquid manure injection designs for cover crop systems using discrete element modeling and soil bin evaluation. AgriEngineering 2025, 7, 404. [Google Scholar] [CrossRef]
- ImageJ: Image Processing and Analysis Software. Available online: https://imagej.net/ij/ (accessed on 24 October 2025).
- Shirazi, S.; Fielke, J.M.; Desbiolles, J.M.A. Manure injector design for efficient nutrient placement and reduced soil disturbance. Biosyst. Eng. 2019, 178, 116–128. [Google Scholar]
- Loghavi, M.; Shahgoli, G. Numerical simulation of soil failure by fertilizer band injector tines using DEM. Comput. Electron. Agric. 2014, 102, 80–88. [Google Scholar]
- Shafiei, S.M.; Loghavi, M.; Shahgoli, G. Effect of tine geometry and working depth on draft and soil disturbance in a clay loam soil. Soil Tillage Res. 2018, 177, 32–39. [Google Scholar]
- Godwin, R.J. A review of the effect of implement geometry on soil failure and implement forces. Soil Tillage Res. 2007, 97, 331–340. [Google Scholar] [CrossRef]
- Derringer, G.; Suich, R. Simultaneous Optimization of Several Response Variables. J. Qual. Technol. 1980, 12, 214–219. [Google Scholar] [CrossRef]
- Coetzee, C.J. Calibration and validation of the discrete element method for agricultural soil simulation. J. Terramechanics 2017, 73, 25–43. [Google Scholar]
- Chen, Y.; Munkholm, L.J.; Nyord, T. A discrete element model for soil–sweep interaction: Parameter determination and validation. Biosyst. Eng. 2013, 116, 399–408. [Google Scholar]
- Thakur, S.C.; Ooi, J.Y.; Ahmadian, H. Scaling of Discrete Element Model Parameters for Cohesionless and Cohesive Solid. Powder Technol. 2016, 293, 130–137. [Google Scholar] [CrossRef]
- Mak, J.; Chen, Y.; Sadek, M.A. Determining parameters of a discrete element model for soil–tool interaction. Soil Tillage Res. 2012, 118, 117–122. [Google Scholar] [CrossRef]
- Ucgul, M.; Fielke, J.M.; Saunders, C. 3D DEM tillage simulation: Validation of a hysteretic spring contact model for predicting soil–tool interaction. Biosyst. Eng. 2014, 121, 105–117. [Google Scholar] [CrossRef]
- Fielke, J.M.; Ucgul, M.; Saunders, C. Tillage tool design effects on draft and soil disturbance: An experimental and DEM study. Soil Tillage Res. 2013, 134, 13–20. [Google Scholar]
- Coetzee, C.J. Review: Calibration of the discrete element method and the effect of particle shape. Powder Technol. 2016, 297, 50–70. [Google Scholar] [CrossRef]
- Ucgul, M.; Fielke, J.M.; Saunders, C. Three-dimensional discrete element modelling of tillage: Accurate representation of soil–tool interaction. Biosyst. Eng. 2015, 129, 298–306. [Google Scholar] [CrossRef]
- Obermayr, M.; Dressler, K.; Vrettos, C.; Eberhard, P. Prediction of draft forces in cohesive soil with the discrete element method. J. Terramechanics 2013, 50, 277–287. [Google Scholar]
- Tagar, A.A.; Chen, Y.; Ji, C. Discrete element modeling of soil–tool interaction: Effect of speed and depth on draft and soil flow. Comput. Electron. Agric. 2015, 114, 100–107. [Google Scholar]
- Ucgul, M.; Saunders, C.; Fielke, J.M. Discrete element modelling of tillage forces and soil movement of a mouldboard plough operating in a cohesionless soil. Biosyst. Eng. 2018, 171, 254–266. [Google Scholar] [CrossRef]
- Mak, J.; Chen, Y.; Sadek, M.A. Discrete element modeling of soil failure patterns and tillage forces at different rake angles of simple tillage tools. Soil Tillage Res. 2019, 187, 165–174. [Google Scholar] [CrossRef]








| DEM Parameters | Value | Source |
|---|---|---|
| Soil particle | ||
| Single sphere particle diameter (mm) | 3.00 | Measurement |
| Soil parameters | ||
| Poisson’s ratio | 0.32 | [18] |
| Shear modulus (Pa) | 1.0 × 108 | [19] |
| Solid density (kg/m3) | 2177 | [19] |
| Steel parameters | ||
| Poisson’s ratio | 0.30 | [19] |
| Shear modulus (Pa) | 1.0 × 106 | [19] |
| Solid density (kg/m3) | 7800 | [19] |
| Soil-to-Soil interaction | ||
| Coefficient of Restitution | 0.01 | [18] |
| Coefficient of Static friction | 0.50 | [20] |
| Coefficient of Rolling friction | 0.50 | [18] |
| Soil-to-Tool (steel) interaction | ||
| Coefficient of Restitution | 0.01 | [18] |
| Coefficient of Static friction | 0.31 | [20] |
| Coefficient of Rolling friction | 0.13 | [18] |
| Edinburgh elastic plastic adhesion (EEPA) contact model | ||
| Constant pull-off force (N) | −0.005 | [21] |
| Surface energy (J/m2) | 0.43 | [19] |
| Contact plasticity ratio | 0.926 | [21] |
| Slope exp | 1.5 | [19] |
| Tensile exp | 1.5 | [19] |
| Tangential stiff multiplier | 0.66667 | [19] |
| Factor | Simulation Parameter | Units | Minimum | Maximum | Source |
|---|---|---|---|---|---|
| Soil parameter | Soil shear modulus | Pa | 1 × 106 | 1 × 107 | [20] |
| Soil–soil static friction | 0.10 | 0.60 | [22] | ||
| Soil–soil rolling friction | 0.01 | 0.60 | [20,22] | ||
| EEPA contact model | Pull off force | N | 0.00 | 0.01 | [22,23,24] |
| Surface energy | J/m2 | 0.00 | 1.00 | [22,23,24] |
| Runs | Soil Shear Modulus (Pa) | Soil–Soil Static Friction | Soil–Soil Rolling Friction | Pull Off Force (N) | Surface Energy (J/m2) |
|---|---|---|---|---|---|
| 1 | 5.5 × 106 | 0.350 | 0.305 | 0.010 | 0.500 |
| 2 | 1.0 × 106 | 0.350 | 0.305 | 0.005 | 0.500 |
| 3 | 1.0 × 107 | 0.600 | 0.600 | 0.000 | 1.000 |
| 4 | 1.0 × 107 | 0.600 | 0.600 | 0.010 | 0.000 |
| 5 | 1.0 × 106 | 0.100 | 0.010 | 0.000 | 0.000 |
| 6 | 5.5 × 106 | 0.350 | 0.600 | 0.005 | 0.500 |
| 7 | 1.0 × 107 | 0.100 | 0.010 | 0.010 | 0.000 |
| 8 | 1.0 × 107 | 0.100 | 0.010 | 0.000 | 1.000 |
| 9 | 5.5 × 106 | 0.350 | 0.305 | 0.005 | 0.500 |
| 10 | 5.5 × 106 | 0.350 | 0.305 | 0.005 | 0.500 |
| 11 | 1.0 × 106 | 0.100 | 0.600 | 0.010 | 0.000 |
| 12 | 1.0 × 106 | 0.600 | 0.600 | 0.010 | 1.000 |
| 13 | 1.0 × 106 | 0.600 | 0.600 | 0.000 | 0.000 |
| 14 | 1.0 × 107 | 0.100 | 0.600 | 0.000 | 0.000 |
| 15 | 1.0 × 106 | 0.600 | 0.010 | 0.000 | 1.000 |
| 16 | 5.5 × 106 | 0.350 | 0.305 | 0.000 | 0.500 |
| 17 | 5.5 × 106 | 0.350 | 0.305 | 0.005 | 1.000 |
| 18 | 1.0 × 107 | 0.100 | 0.600 | 0.010 | 1.000 |
| 19 | 1.0 × 107 | 0.600 | 0.010 | 0.010 | 1.000 |
| 20 | 5.5 × 106 | 0.350 | 0.305 | 0.005 | 0.000 |
| 21 | 1.0 × 107 | 0.600 | 0.010 | 0.000 | 0.000 |
| 22 | 1.0 × 106 | 0.600 | 0.010 | 0.010 | 0.000 |
| 23 | 5.5 × 106 | 0.600 | 0.305 | 0.005 | 0.500 |
| 24 | 5.5 × 106 | 0.100 | 0.305 | 0.005 | 0.500 |
| 25 | 1.0 × 106 | 0.100 | 0.010 | 0.010 | 1.000 |
| 26 | 5.5 × 106 | 0.350 | 0.010 | 0.005 | 0.500 |
| 27 | 1.0 × 106 | 0.100 | 0.600 | 0.000 | 1.000 |
| 28 | 1.0 × 107 | 0.350 | 0.305 | 0.005 | 0.500 |
| DEM Parameters | Value |
|---|---|
| Shear modulus (Pa) | 5.63 × 106 |
| Coefficient of Static friction | 0.21 |
| Coefficient of Rolling friction | 0.41 |
| Constant pull-off force (N) | 0.005 |
| Surface energy (J/m2) | 0.43 |
| Measurement | Experiment | DEM | Relative Error (%) |
|---|---|---|---|
| Compaction energy (J) | 5.2 | 5.9 | 11.9 |
| Angle of repose (°) | 34.4 | 34.3 | −0.4 |
| Cone index (kPa) | 845.3 | 846.8 | 0.2 |
| Soil Bin Experiment | DEM Simulation | ||||||
|---|---|---|---|---|---|---|---|
| Speed (mm/s) | Depth (mm) | Mean Draft (N) | a SD (N) | Mean Draft (N) | * RE (%) | ** AARE (%) | RMSE |
| 400 | 150 | 78.4 | 3.7 | 81.3 | 3.5 | 1.7 | 2.4 |
| 400 | 175 | 106.8 | 4.0 | 106.2 | −0.6 | ||
| 350 | 250 | 136.6 | 2.8 | 141.9 | 3.7 | ||
| 450 | 100 | 140.3 | 1.7 | 140.8 | 0.4 | ||
| 350 | 175 | 104.7 | 3.3 | 104.6 | −0.1 | ||
| 350 | 100 | 108.3 | 3.8 | 110.9 | 2.3 | ||
| 400 | 250 | 37.5 | 4.3 | 38.8 | 3.2 | ||
| 450 | 150 | 108.7 | 3.2 | 109.9 | 1.1 | ||
| 400 | 100 | 36.2 | 2.1 | 36.2 | −0.1 | ||
| 450 | 175 | 90.8 | 5.6 | 95.6 | 5.0 | ||
| 350 | 150 | 105.7 | 4.5 | 105.2 | −0.5 | ||
| 450 | 250 | 120.3 | 5.4 | 120.7 | 0.4 | ||
| Soil Bin Experiment | DEM Simulation | ||||||
|---|---|---|---|---|---|---|---|
| Speed (mm/s) | Depth (mm) | Mean Soil Rupture Area (mm2) | a SD (N) | Mean Soil Rupture Area (mm2) | * RE (%) | ** AARE (%) | RMSE |
| 400 | 150 | 6939.7 | 263.1 | 6983.3 | 0.6 | 6.2 | 379.8 |
| 400 | 175 | 6845.3 | 187.9 | 6782.0 | −0.9 | ||
| 350 | 250 | 7031.8 | 324.4 | 7496.6 | 6.2 | ||
| 450 | 100 | 5111.7 | 237.4 | 5224.9 | 2.2 | ||
| 350 | 175 | 8169.2 | 158.2 | 8061.5 | −1.3 | ||
| 350 | 100 | 2385.6 | 142.5 | 2595.1 | 8.1 | ||
| 400 | 250 | 2216.0 | 55.3 | 2639.1 | 16.0 | ||
| 450 | 150 | 3845.3 | 162.9 | 3750.8 | −2.5 | ||
| 400 | 100 | 2912.9 | 138.8 | 2636.0 | −10.5 | ||
| 450 | 175 | 4808.1 | 116.2 | 5442.3 | 11.7 | ||
| 350 | 150 | 4712.0 | 197.1 | 4880.6 | 3.5 | ||
| 450 | 250 | 6492.9 | 201.8 | 7319.9 | 11.3 | ||
Disclaimer/Publisher’s Note: The statements, opinions and data contained in all publications are solely those of the individual author(s) and contributor(s) and not of MDPI and/or the editor(s). MDPI and/or the editor(s) disclaim responsibility for any injury to people or property resulting from any ideas, methods, instructions or products referred to in the content. |
© 2026 by the authors. Licensee MDPI, Basel, Switzerland. This article is an open access article distributed under the terms and conditions of the Creative Commons Attribution (CC BY) license.
Share and Cite
Zeng, Z.; Sedara, A.; Digman, M. Integrated DEM–Experimental Framework for Multi-Objective Optimization of a Low-Disturbance Liquid Manure Injector Shank. AgriEngineering 2026, 8, 10. https://doi.org/10.3390/agriengineering8010010
Zeng Z, Sedara A, Digman M. Integrated DEM–Experimental Framework for Multi-Objective Optimization of a Low-Disturbance Liquid Manure Injector Shank. AgriEngineering. 2026; 8(1):10. https://doi.org/10.3390/agriengineering8010010
Chicago/Turabian StyleZeng, Zhiwei, Adewale Sedara, and Matthew Digman. 2026. "Integrated DEM–Experimental Framework for Multi-Objective Optimization of a Low-Disturbance Liquid Manure Injector Shank" AgriEngineering 8, no. 1: 10. https://doi.org/10.3390/agriengineering8010010
APA StyleZeng, Z., Sedara, A., & Digman, M. (2026). Integrated DEM–Experimental Framework for Multi-Objective Optimization of a Low-Disturbance Liquid Manure Injector Shank. AgriEngineering, 8(1), 10. https://doi.org/10.3390/agriengineering8010010

