Next Article in Journal
Automated Detection and Counting of Gossypium barbadense Fruits in Peruvian Crops Using Convolutional Neural Networks
Previous Article in Journal
Using Sentinel-1 Time Series Data for the Delineation of Management Zones
Previous Article in Special Issue
Using Drones to Predict Degradation of Surface Drainage on Agricultural Fields: A Case Study of the Atlantic Dykelands
 
 
Font Type:
Arial Georgia Verdana
Font Size:
Aa Aa Aa
Line Spacing:
Column Width:
Background:
Article

Monitoring Eichhornia crassipes and Myriophyllum aquaticum in Irrigation Systems Using High-Resolution Satellite Imagery: Impacts on Water Quality and Management Strategies

by
Susana Ferreira
1,*,
Juan Manuel Sánchez
1,
José Manuel Gonçalves
2,
Rui Eugénio
2 and
Henrique Damásio
3
1
Instituto de Desarrollo Regional, Universidad de Castilla-La Mancha (UCLM), 02071 Albacete, Spain
2
Instituto Politécnico de Coimbra (IPC), Escola Superior Agrária de Coimbra, CERNAS—Research Center for Natural Resources, Environment and Society, 3045-601 Coimbra, Portugal
3
Associação de Regantes e Beneficiários do Vale do Lis (ARBVL), Quinta do Picoto, 2425-492 Leiria, Portugal
*
Author to whom correspondence should be addressed.
AgriEngineering 2025, 7(5), 151; https://doi.org/10.3390/agriengineering7050151
Submission received: 29 March 2025 / Revised: 25 April 2025 / Accepted: 2 May 2025 / Published: 8 May 2025

Abstract

This study presents a remote sensing (RS) approach for monitoring invasive aquatic species and assessing their impact on water quality in the Lis Valley Irrigation District (LVID), Portugal. Using high-resolution PlanetScope imagery (3.7 m resolution), this method overcomes spatial limitations in narrow irrigation canals. Representative sub-zones were selected to analyze spatial and temporal trends, and vegetation indices (Normalized Difference Vegetation Index—NDVI, Enhanced Vegetation Index—EVI, Green Chlorophyll Index—GCI) were calculated to map the spread of Eichhornia crassipes (water hyacinth—WH) and Myriophyllum aquaticum (parrot’s feather—PF). All three vegetation indices exhibited significant linear regressions with pH, with the EVI showing the highest coefficient of determination (R2 = 0.761), followed by the NDVI (R2 = 0.726) and GCI (R2 = 0.663), with p-values and ANOVA p-values below 0.05. Dissolved Oxygen (DO) also showed strong correlations, particularly with the GCI (R2 = 0.886 for both DO concentration and saturation). The NDVI and EVI demonstrated significant regressions for these parameters, with R2 values between 0.661 and 0.862. The results demonstrate the potential of RS to detect invasive species and assess their ecological impact, providing a cost-effective tool for management strategies in irrigation systems. Future research should integrate more field data and extend the study period to enhance classification accuracy.

1. Introduction

Invasive aquatic plants, such as water hyacinth (Eichhornia crassipes) and parrot’s feather (Myriophyllum aquaticum), present significant challenges to water management systems worldwide, particularly in irrigation and drainage infrastructure. In the Lis Valley Irrigation District (LVID), located in central Portugal, these species form dense infestations that impair ecosystem balance, reduce infrastructure efficiency, and generate substantial economic and labor costs [1,2,3,4,5,6]. Their proliferation also contributes to water quality degradation, including deoxygenation, increased turbidity, and sediment accumulation, thus threatening aquatic biodiversity and system functionality [7,8,9,10,11].
Despite their invasiveness, both E. crassipes and M. aquaticum show potential for phytoremediation, effectively removing heavy metals and improving water quality [10,11,12]. Additionally, their biomass can be utilized for biofuel production, contributing to greenhouse gas emission reduction [13,14], and also in nanotechnology for nanoparticle synthesis [15,16]. These species can also be composted for soil enrichment, fermented for biogas production, or used as animal feed [17,18,19], highlighting the economic and environmental benefits of sustainably managing these invasive species [20,21].
E. crassipes, native to tropical South America [22,23], is one of the most aggressive invasive species worldwide [24]. It tolerates a wide range of environmental conditions, with optimal growth occurring between 25 °C and 27.5 °C and pH levels of 6–8, although it is sensitive to cold and high salinity [10,25]. It has spread globally [26], including to Portugal [27], and it is characterized by waxy, floating leaves, bulbous petioles, and lilac flowers with yellow spots [28]. The species reproduces both sexually and vegetatively, with rapid population growth that can double in a week under ideal conditions [29,30], producing up to 140 million ramets annually and generating up to 28,000 tons of fresh biomass [31]. Its rapid spread clogs irrigation systems, degrades water quality, and provides breeding grounds for disease vectors, such as mosquitoes [32,33].
Similarly, M. aquaticum is an invasive aquatic macrophyte that thrives in shallow waters and river margins. It propagates through fragmentation, forming dense mats that reduce oxygen levels, restrict light penetration, and harm aquatic biodiversity. Both species are listed as invasive in Portugal [34] and classified as Species of Concern by the European Union [35].
Managing these species is challenging due to their rapid expansion and adaptability. Traditional control methods, such as mechanical removal, chemical treatments, and biological control, are constrained by factors like cost, environmental risks, and long-term effectiveness [36,37,38]. Consequently, remote sensing (RS) has emerged as an effective tool for monitoring these species over large areas with high temporal resolution [39]. However, their spatial resolution (10–20 m for Sentinel-2 and 30 m for Landsat) may be insufficient to accurately map the narrow irrigation and drainage canals in the LVID, which pose a unique challenge for monitoring invasive species in such restricted environments. While previous studies have successfully applied these satellites to broader environments, little attention has been given to the specific limitations of the narrow and confined nature of irrigation and drainage canals.
To address this gap, our study employs high-resolution PlanetScope satellite imagery (3–5 m), which provides enhanced precision for monitoring these narrow areas. Additionally, Unmanned Aerial Vehicles (UAVs) equipped with digital cameras offer complementary, detailed observations that help validate satellite data. By incorporating these advanced technologies, our research addresses an important gap in the literature through the use of high-resolution imagery to monitor invasive species in spatially constrained environments, an issue that has not been sufficiently explored in previous studies. Vegetation indices, such as the Normalized Difference Vegetation Index (NDVI), the Enhanced Vegetation Index (EVI), and the Green Chlorophyll Index (GCI), play a key role in distinguishing invasive plants from native vegetation and open water surfaces, further improving monitoring accuracy [40,41,42].
This study aims to map the spatio-temporal distribution of Eichhornia crassipes and Myriophyllum aquaticum in the Lis River from 2018 to 2020, using high-resolution PlanetScope imagery. Additionally, it assesses the relationship between the presence of these invasive species and water quality parameters, combining remote sensing indices (NDVI, EVI, GCI) with field-based assessments. The results will support the development of integrated management strategies to mitigate the ecological and economic impacts of these species.

2. Materials and Methods

2.1. Site Description

The LVID is a public irrigation district located on the Central Coast of Portugal (administrative headquarters: 39°51′22.1′′ N, 8°50′56.1′′ W), covering the municipalities of Leiria and Marinha Grande (Figure 1). The area spans approximately 2000 ha, with modern alluvial soils of high agricultural quality, although some regions face drainage challenges. The region experiences a Mediterranean climate (Csb and Csa in the Köppen classification), characterized by mild, rainy winters and warm, dry summers [43,44]. Annual precipitation ranges from 800 to 900 mm, with most of the rainfall occurring between October and March [45]. The average annual temperature is 15.9 °C, with an average maximum of 20.6 °C and a minimum of 10 °C [46,47].
The LVID is managed by a Water Users’ Association (WUA) [48] responsible for operating the hydraulic system, which includes perimeter drainage structures (hillside collectors and valley ditches), an open canal-based irrigation water supply network, and field drainage through a system of ditches. Additionally, drainage ditches assist with irrigation through pumping stations. The system is subdivided into supply sectors, identified by the main canals (C1, C2, etc.), and it is managed by the WUA in coordination with local farmer groups [49].
The affected area corresponds to a section of the Negro River, one of the main right-bank tributaries of the Lis River, and it is an integral part of the LVID’s hydraulic system. Since 2009, this area has been severely impacted by invasive aquatic species, particularly water hyacinth and parrot’s feather, which have disrupted water flow and irrigation efficiency (Figure 2a,b). The area, delineated by a 5.86 km long polygon obtained via Google Earth, has been carefully mapped using geographic coordinates. Discharges from the Negro River into the Lis River occur through gravity through a tidal gate on the right bank of the Lis River or through pumping through the Boco Pumping Station. This station, recently reconditioned to enhance water management, is crucial for maintaining water flow, especially in areas affected by these species. It supports the irrigation network by pumping water from the Negro River when gravity flow is insufficient. The lands adjacent to the affected stretch are occupied by pastures, a maize and ryegrass consortium, fallow lands, and forest areas.

2.2. Remote Sensing Data for Invasive Species Monitoring

In this study, Sentinel-2 data were initially considered for monitoring the distribution of water hyacinth and parrot’s feather in the Lis River. However, due to the narrow width of the river canals in the study area, the 10 m spatial resolution of Sentinel-2 imagery posed challenges. Many pixels only partially covered the water body, with a significant portion overlapping with adjacent land. Specifically, a large number of pixels captured only half or less of the river canal, leading to a lack of precision in delineating the water body’s boundaries. To overcome these limitations, we selected PlanetScope imagery, benefiting from access provided through the Planet Education and Research (E&R) Program. PlanetScope data, acquired at a spatial resolution of 3.7 m per pixel, were downloaded at Level 3B processing, which includes radiometric calibration, geometric correction, and orthorectification. These data were particularly useful for mapping invasive species in the narrow river canals, offering greater detail and accuracy. PlanetScope imagery contains four spectral bands, blue (450–510 nm), green (520–590 nm), red (630–685 nm), and near-infrared (NIR, 770–890 nm), which were selected for vegetation monitoring due to their sensitivity to plant characteristics. Data were collected between 2018 and 2020, and images were obtained based on the satellite’s overpass times, thus ensuring the accuracy of pixel coverage for both the water body and the surrounding vegetation.
The images used for these analyses were acquired monthly to monitor temporal changes in vegetation health, density, and chlorophyll content, ensuring sufficient resolution (Table 1). Image acquisition was based on key ecological and operational factors. Early-season images documented initial vegetation development, while mid-season acquisitions focused on periods of maximum growth, typically associated with optimal temperatures and stable water conditions. Late-season images were selected to assess post-growth decline or potential effects of cleaning interventions. This temporal distribution guarantees that the dataset represents the full spectrum of vegetation dynamics, supporting a comprehensive understanding of the seasonal patterns and management impacts within the canal system. This approach allows for a detailed assessment of vegetation dynamics, which is key for understanding the spread and impact of invasive species in the study area.
To ensure accurate analysis, specific criteria were applied to the selection of satellite images. (i) Surface reflectance only: only images providing surface reflectance L3B were selected to exclude atmospheric interference, thus ensuring more accurate vegetation index calculations [50]. (ii) Maximum 5% cloud cover: images with no more than 5% cloud cover were chosen to minimize distortions in reflectance measurements and maintain data reliability. (iii) 100% coverage: selected images covered the entire study area to ensure comprehensive analysis and consistency across the region.
The phenological stages of E. crassipes and M. aquaticum for 2018, 2019, and 2020 were also considered. Key differences between the species include their life cycle (E. crassipes is temperature-dependent for growth, while M. aquaticum can survive year-round submerged) and dispersal modes (E. crassipes spreads through seeds and stolons, while M. aquaticum spreads mainly through fragmentation).
These criteria were essential to safeguard the accuracy and reliability of the vegetation indices, providing a solid foundation for the analysis of vegetation health and invasive species dynamics in the study area.
Additionally, the study aimed to identify the years in which cleaning activities (with herbicide) took place. These cleaning activities are complex, as they follow a strategy designed to avoid interfering with surrounding agricultural activities. The predominant crop rotation system in the surrounding agricultural fields consists of maize, followed by ryegrass. Therefore, herbicide must be applied either after final ryegrass cutting/before maize sowing (late March/early April) or after maize harvesting and before ryegrass seeding (around mid-October). This scheduling is essential to avoid damaging crops. In some years, cleaning was undertaken in one of these periods (mainly, in the second), and efforts were made to clean during both periods. However, due to factors like the COVID-19 pandemic, lack of labor, and competing priorities, like cleaning canals and repairing irrigation and drainage infrastructures, cleaning activities were not always carried out as planned.

2.3. Vegetation Indices, Classification, and Image Processing

Among the large variety of vegetation indices, a set of three were selected for this study—NDVI, EVI, and GCI—due to their proven effectiveness in monitoring vegetation health, density, and chlorophyll content. These factors are crucial for assessing the spread of invasive species like E. crassipes and M. aquaticum in the study area, as these species exhibit distinct spectral responses that make them particularly suitable for detection using RS imagery.
The NDVI is widely used to assess overall vegetation cover and health. This index is sensitive to the chlorophyll content in plants, which plays a key role in the spectral behavior of invasive aquatic species. These species typically have high chlorophyll content, resulting in strong absorption in the red wavelengths (600–700 nm) and high reflectance in the near-infrared band (700–1300 nm), making the NDVI an ideal indicator for monitoring their biomass and density. NDVI values range from −1 to +1, with higher values indicating denser, healthier vegetation [42].
It is expressed as
N D V I = ( N I R R E D ) ( N I R + R E D )
where NIR is the near-infrared reflectance and RED is the red reflectance.
The EVI enhances sensitivity in dense vegetation areas where the NDVI might be saturated. It is particularly valuable for areas with high vegetation density, such as areas with a high density of E. crassipes and M. aquaticum, where traditional indices like NDVI may struggle to differentiate between dense and less dense stands of vegetation. EVI improves the analysis of vegetation health by minimizing atmospheric influences and surface reflectance, making it suitable for regions with dense aquatic plant growth [40].
It is expressed as
E V I = G × ( N I R R E D ) ( N I R + C 1 × R E D C 2 × B L U E + L )
where NIR is near-infrared reflectance, RED is red reflectance, and BLUE is blue reflectance; G = 2.5 (gain factor), C1 = 6, C2 = 7.5 (coefficients for the bands), and L = 10,000 (background radiation correction value) are constants.
The GCI provides insights into chlorophyll content, which is closely linked to plant health and photosynthetic activity. Invasive aquatic plants have elevated chlorophyll concentrations, which makes GCI particularly useful for identifying and monitoring these species. It is sensitive to green reflectance, which is important for assessing the photosynthetic potential of plants, and its high chlorophyll content is typically associated with dense and vigorous plant growth [41]. It is expressed as
G C I = N I R G R E E N 1
where NIR is the near-infrared reflectance and GREEN is green reflectance.
To assess the significance of temporal variations in vegetation indices and their relationship with environmental factors, satellite images acquired between 2018 and 2020 were processed to calculate the NDVI, EVI, and GCI for the study area. The analysis used only Level 3B (L3B) products, which are pre-processed and already corrected for atmospheric and radiometric factors, ensuring accurate vegetation index calculations using the standard formulas for each index.
To categorize vegetation, pixels were classified into three classes: Class 1 (low vegetation), Class 2 (moderate vegetation), and Class 3 (dense vegetation). Table 2 shows the classification thresholds for each index, based on values in the literature adapted to the study area’s characteristics. For the NDVI, thresholds of 0.2 and 0.4 were used to distinguish between low, moderate, and dense vegetation [42]. The EVI was classified with a threshold of 0.1 for low vegetation and values above 0.3 for dense vegetation [39]. For GCI, values below 0.2 indicated low chlorophyll content, while values above 0.4 were used to identify healthy, dense vegetation [41]. The total study area encompassed a polygon of 2878 pixels, representing an area of 25,902 m2 (2.59 hectares). The percentage distribution of each class was determined by counting the pixels in each class, dividing by the total number of pixels, and multiplying by 100. This methodology allowed temporal vegetation dynamics to be evaluated and seasonal variations in the vegetation cover to be identified.
These meteorological data were obtained from an automated agrometeorological station (N 39°51′22.32″, W 8°50′56.44″). The station’s sensors were installed at a height of 2 m above ground level, following methodologies established in prior studies [48]. Because meteorological data were recorded daily, while the vegetation indices were measured approximately once per month, it was necessary to account for the climatic conditions preceding each image acquisition. For this purpose, the 10-day period prior to each image acquisition date was considered. This timeframe was selected to capture the short-term influence of weather conditions on vegetation growth and vigor, which is particularly relevant given the dynamic response of vegetation to recent climatic conditions. To reflect the most representative conditions for each variable, different aggregation methods were applied. (1) For average temperature, relative humidity, and global solar radiation, we calculated the arithmetic mean of the values recorded during the 10 days preceding the image acquisition date. This approach was chosen because these parameters fluctuate continuously throughout the day, and the cumulative effect over several days better reflects their influence on plant physiological processes and overall canopy development. (2) For rainfall and reference evapotranspiration (ETo), the cumulative values over the same 10-day period were calculated. This method was selected because these variables exert a more immediate and cumulative impact on soil moisture dynamics and plant water stress. Rainfall events and evapotranspiration rates contribute directly to water availability and depletion, respectively, making their accumulated effect over the preceding days a more suitable indicator of the environmental conditions influencing the vegetation indices. By aggregating the meteorological data in this manner, we sought to improve the temporal alignment between the climate variables and the remotely sensed vegetation indices, ensuring a more robust and meaningful correlation analysis.
Satellite images were processed using QGIS software (version 3.42—Münster). To calculate the NDVI, EVI, and GCI, the “Raster Calculator” tool was used, allowing for the direct application of specific formulas for each index on the raster data. This tool was essential to generate the average, minimum, maximum, and standard deviation values of the indices, which provided a detailed analysis of vegetation across the study area. For spatial analysis and image classification into different value classes, the “Raster Calculator” was also employed, alongside the “Zonal Histogram” tool, to identify the distribution of values within different zones of the study area, allowing for the segmentation of images into specific classes based on index value ranges. These classes were vital in quantifying areas and calculating zonal statistics, facilitating the assessment of spatial variability in vegetation and environmental conditions.
Drawing on the previously calculated NDVI images, the “Clip Raster by Mask Layer” QGIS tool was used to delineate the areas of interest corresponding to the sampling points, specifically, the upstream sampling point (USP) and the downstream sampling point (DSP). The images were adjusted to show the variation in the NDVI across the seasons and between years, with each map representing a specific season in each year. The NDVI was selected as the primary vegetation index due to its proven ability to assess vegetation cover, biomass, and sensitivity to chlorophyll content.

2.4. Water Quality Assessment and Sampling Locations

Water quality in river systems is influenced by various environmental factors, including invasive aquatic plants. In the Negro River, infestations of E. crassipes and M. aquaticum have altered water chemistry and ecological dynamics. To assess their impact, two sampling points—upstream (N 39°52′53.961′′/W 8°53′26.482′′) and downstream (N 39°53′06.166′′/W 8°55′15.981′′) of the infested area—were monitored annually from 2018 to 2020 (Figure 1). These data, previously reported in [49], were reanalyzed to explore the relationship between vegetation indices and water quality.
Measurements were conducted using a multiparametric probe (smarTROLL MP, In-Situ Inc., Fort Collins, CO, USA), which recorded pH, electrical conductivity (EC, µS/cm), dissolved oxygen (mg/L and % saturation), temperature (°C), suspended solids (ppm), salinity (PSU), and resistance (Ω·cm). The probe was calibrated in situ before each reading, and data were transmitted to the VuSitu Water Monitoring App for immediate analysis (Figure 2c).
To compare vegetation indices (NDVI, EVI, GCI) and water quality, the study defined two spatial zones: upstream and downstream. These sub-polygons were delineated based on fixed sampling locations and refined using QGIS. In collaboration with a technician from the WUA, polygons were drawn to encompass areas of frequent herbicide application—primarily flat, accessible zones in which invasive species proliferated. Although the delimitation partially relied on expert visual interpretation, it was adjusted using geospatial data to ensure representative coverage of herbicide exposure and ecological conditions.
The upstream polygon included the area preceding the first sampling point, while the downstream polygon encompassed the area beyond the second. Within each polygon, vegetation index values were extracted by averaging satellite-derived pixel values from the corresponding sampling dates for each year (2018–2020).
For statistical robustness, data from both zones were pooled, resulting in six data points per index—three upstream and three downstream. This approach enhanced the analytical power of our Pearson correlation analysis and the coefficient of determination (R2), which were used to evaluate relationships between vegetation indices and water quality parameters.
Additionally, an ANOVA was conducted to test for significant differences across years in both water quality variables and vegetation indices. This temporal analysis provided insight into how invasive species and river management practices may have influenced water quality over time.

3. Results

3.1. Temporal Variation of Vegetation Indices and Influencing Factors (2018–2020)

The vegetation index analysis (NDVI, EVI, and GCI) revealed significant correlations with climatic events over the years 2018 to 2020. In 2018, heavy rainfall in March (over 400% of the average) triggered a significant peak in the NDVI at 0.53, reflecting healthy vegetation (Figure 3a). This was further supported by increases in the EVI and GCI, indicating enhanced chlorophyll activity. Following an experimental mechanical cleaning in early April, the NDVI remained relatively high at 0.41. Despite the extreme heat during the summer months of August and September, there was a peak in the NDVI at 0.61 in August, which then dropped to 0.44 in September due to water scarcity and heightened evapotranspiration. The passage of Tropical Storm Leslie in October caused a temporary dip in the NDVI to 0.42, but the subsequent rainfall helped restore moisture, as indicated by a partial recovery in the GCI (2.19), suggesting an improvement in chlorophyll activity [50]. Herbicide was applied in mid-October, and the NDVI clearly showed a decline, with the year ending around 0.30.
In 2019, high temperatures early in the year caused a slight increase in the NDVI (0.53) and GCI (2.61), despite ongoing drought conditions (Figure 3b). In May, NDVI peaked at 0.62, but the coldest June in decades caused a sharp decline in vegetation activity, with the NDVI dropping to 0.38 [51]. As summer progressed, the NDVI showed a slight recovery, but herbicide application in mid-October led to a clear decline, with the year ending around 0.38.
In 2020, extreme climatic events continued to significantly impact the vegetation indices (Figure 3c). In early spring, warm temperatures resulted in a high NDVI value of 0.64. By May, extreme heat caused the NDVI to fall to 0.48, accompanied by declines in both the EVI (0.28) and the GCI (2.21). In July, heatwaves maintained the NDVI at 0.53. Despite this, cooler temperatures in October led to another drop in the NDVI to 0.41, although a certain recovery in the GCI was observed [52]. Herbicide was not applied that year due to the COVID-19 pandemic.

3.2. Class-Based Analysis of Vegetation Indices (2018–2020)

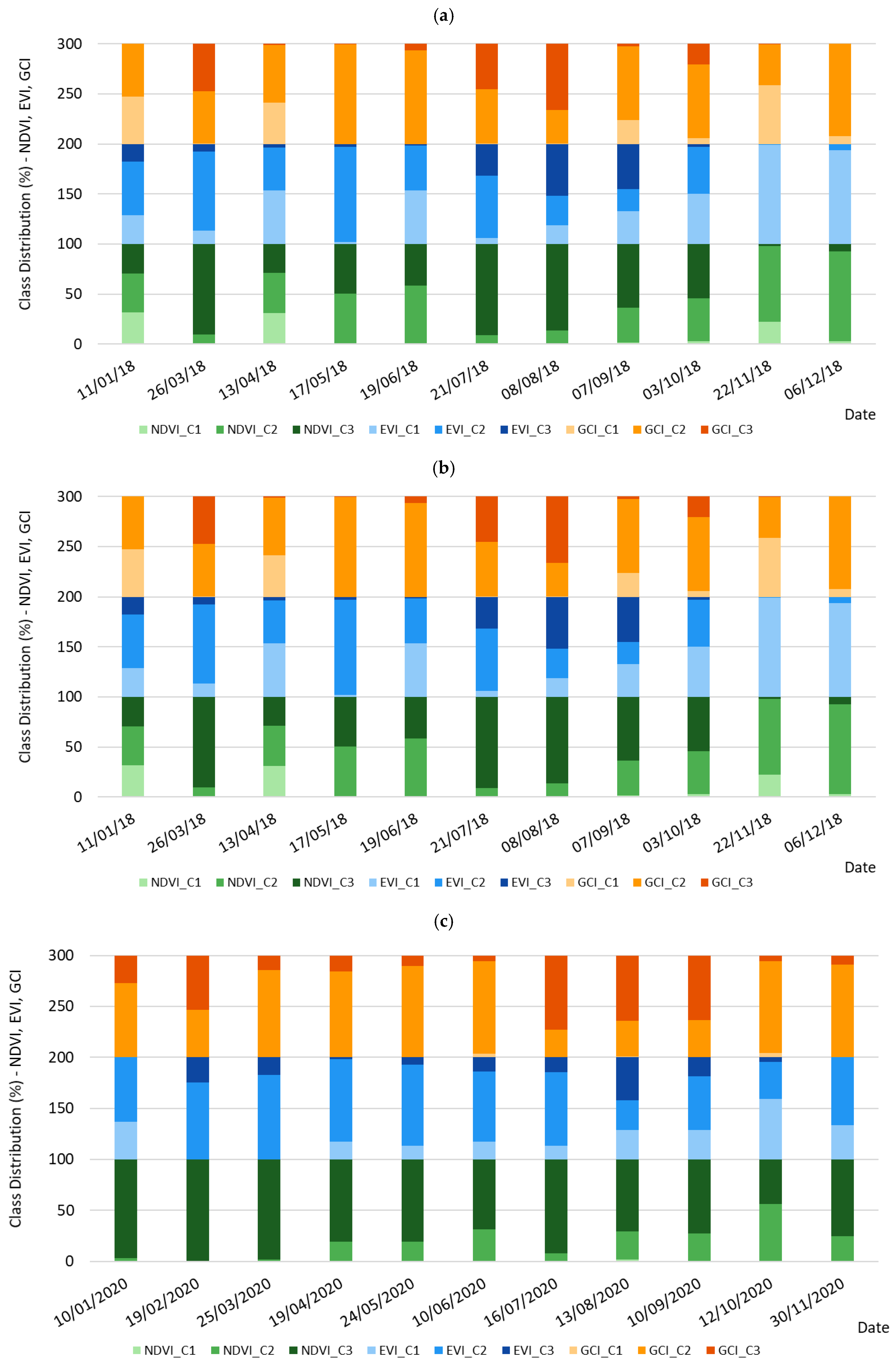
Figure 4a illustrates the temporal distribution of the NDVI, EVI, and GCI class percentages throughout 2018, revealing key seasonal vegetation trends. In winter (January to March), the NDVI and GCI were predominantly in Class 2, indicating moderate vegetation cover. Moving into spring and summer (April to August), there was a notable increase in the NDVI and GCI within Class 3, signifying improved vegetation density and higher chlorophyll content, characteristic of peak growth periods. EVI, however, maintained a stable presence in Class 2, reflecting its sensitivity to structural vegetation changes rather than biomass accumulation alone. By autumn and early winter (September to December), the NDVI and GCI shifted back toward Class 2, marking the typical reduction in vegetation vigor during seasonal decline and herbicide application. The complementary behavior of these indices underscores their combined value in capturing vegetation dynamics across seasonal transitions.
The temporal distribution of the NDVI, EVI, and GCI throughout 2019 revealed distinct patterns associated with vegetation dynamics (Figure 4b). During winter (January to March), GCI values were predominantly concentrated in Class 2, while NDVI values were more associated with Class 3. As spring and summer progressed (April to August), the GCI showed a notable increase in Class 3 during April and May. However, the lower temperatures recorded in May [50] appeared to impact both the GCI and NDVI, as a shift from Class 3 to Class 2 was observed. The EVI, on the other hand, remained more stable throughout this period, reflecting its greater sensitivity to structural changes rather than biomass accumulation alone. In autumn and early winter (October to December), a progressive shift towards Class 2 was observed for both the NDVI and GCI, which aligns with the natural decline in vegetation vigor and the application of herbicide treatments.
Figure 4c illustrates the class distribution of the NDVI, EVI, and GCI throughout 2020, providing insights into seasonal vegetation dynamics. Compared to the 2018 data, this graph reveals a more stable pattern, with fewer fluctuations between classes. The NDVI consistently dominated Class 3 across all observation dates, indicating stable vegetation cover with moderate biomass levels. The EVI exhibited a relatively uniform distribution, with Class 2 remaining predominant, reinforcing the stability in vegetation structure throughout the year. The GCI demonstrated slightly more dynamic behavior, with a substantial increase in Class 3 during the summer months (July to September), suggesting a peak in chlorophyll content likely associated with active crop growth or denser vegetation during this period. The stability observed across the NDVI, EVI, and GCI classes, even in autumn, reflects the absence of herbicide application, as mentioned in Section 3.1.
Table 3 presents the results of vegetation indices (NDVI, EVI, GCI) and climate variables (average temperature, relative humidity, solar radiation, rainfall, and reference evapotranspiration) recorded between 2018 and 2020. These data were collected on specific dates throughout each year, as mentioned in Table 1, reflecting seasonal variations and environmental conditions relevant to the study.

3.3. Seasonal NDVI Analysis and Vegetation Response

The analysis of the NDVI maps presented in Figure 5 for the selected periods reveals distinct patterns in vegetation response over time. Seasonal variations were evident across both sampling points (USP and DSP), with NDVI values generally being lower during autumn and winter months. For example, in October 2018 and October 2019, NDVI values decreased notably at the DSP, suggesting reduced vegetation activity, likely due to herbicide application. Conversely, during spring and summer, NDVI values increased considerably at both sampling points, reflecting improved vegetation conditions. This seasonal behavior aligns with expected plant growth cycles, where lower temperatures, frost events, and reduced sunlight during winter typically limit photosynthetic activity.
Comparing NDVI trends between years reveals further differences. The DSP consistently exhibited lower NDVI values in 2019 compared to 2018 and 2020, suggesting unfavorable conditions that may have hindered vegetation development. In contrast, the USP showed faster recovery and more stable NDVI levels over the observation period. This may indicate that the USP area experienced fewer limiting factors, such as nutrient competition or sediment accumulation. The pronounced NDVI recovery at the USP in 2020 is particularly significant, likely due to the absence of herbicide application that year (resulting from COVID-19 restrictions).
The presence of water harvesting structures may have contributed to supporting vegetation growth during dry periods. These features likely played a role in sustaining vegetation at the USP site, particularly during the 2020 season, when NDVI values remained consistently higher. Conversely, the DSP site may have been more vulnerable to environmental stress, possibly due to its downstream position, where nutrient accumulation and water quality fluctuations can adversely impact vegetation.
Because the NDVI provided meaningful insights into seasonal and interannual vegetation patterns, alternative indices, that is, the EVI and the GCI, were not included, as they offered redundant information in this context.

3.4. Water Quality Sampling and Analysis

The water quality results, summarized in Table 4, compare key parameters between upstream and downstream locations from 2018 to 2020. The data show variations in several physicochemical properties of the water, particularly in years with higher infestation of aquatic macrophytes.
pH levels remained stable over the years, with a slight decrease observed downstream across all years. Electrical conductivity and general conductivity were consistently higher downstream in 2019 and 2020, with the most notable increase recorded in 2019. Dissolved oxygen concentrations were lower downstream across all years, with the sharpest decline observed in 2019 (from 9.54 mg/L upstream to 6.38 mg/L downstream). Oxygen saturation followed a similar trend, showing a decrease downstream. Water temperature presented a minor but consistent increase downstream, with a difference of approximately 0.6° in 2019 and 2020. Suspended solid concentrations were higher downstream, particularly in 2019, with an increase from 1090 ppm upstream to 1240 ppm downstream. Salinity values remained stable but were slightly higher downstream in 2019 and 2020. Electrical resistance showed a decrease downstream in 2019, coinciding with higher infestation levels, whereas it slightly increased in 2020.
Table 5 shows the results of the linear regression analyses between vegetation indices (NDVI, EVI, and GCI) and water quality parameters. Significant and meaningful relationships between vegetation indices and water quality parameters were observed primarily for pH and dissolved oxygen, both in concentration (mg/L) and saturation (%). For pH, all three indices exhibited statistically significant linear regressions, with the EVI presenting the highest coefficient of determination (R2 = 0.761), followed by the NDVI (R2 = 0.726) and the GCI (R2 = 0.663), with all of the models displaying p-values and ANOVA p-values below 0.05. Similarly, strong associations were found for dissolved oxygen, particularly with the GCI, which yielded R2 values of 0.886 for both DO concentration and DO saturation and statistically significant p-values (p = 0.005 for both the regression coefficient and the ANOVA test). The NDVI and EVI also demonstrated significant regressions for these parameters, with R2 values ranging from 0.661 to 0.862 and p-values consistently below 0.05. In contrast, the remaining water quality parameters—namely, electrical conductivity (EC), conductivity (C), suspended solids (SS), salinity (S), resistance (R), and temperature—showed no statistically significant associations with any of the vegetation indices, as evidenced by low R2 values and p-values above the significance threshold. These results suggest a potential link between vegetation vigor and dissolved oxygen dynamics and acidity conditions in the aquatic environment, whereas other physicochemical parameters appear less sensitive to variations in vegetative cover, at least within the scope and spatial resolution of this study.

4. Discussion

4.1. Influence of Edaphoclimatic Conditions on Vegetation, Invasive Species Monitoring with High-Resolution Remote Sensing, and Implications for Water Management Strategies

The results show that climatic conditions significantly influence vegetation health, as observed through changes in the NDVI, EVI, and GCI. High precipitation in March and May positively affected vegetation growth, increasing NDVI and GCI values. In contrast, heat and drought in August and September stressed vegetation, causing a decline in these indices. Tropical Storm Leslie in October led to a temporary drop in vegetation health, but subsequent rainfall helped vegetation recover [50].
The climatic anomalies of 2019 had a profound impact on vegetation productivity. Heatwaves in February and March and drought in May stressed vegetation, with a marked decline in vegetation indices in June. However, a certain recovery was observed in August, likely due to summer rains. Prolonged drought in the autumn kept productivity below optimal levels, with December rains offering some relief [50]. In 2020, heatwaves and drought conditions continued to affect vegetation, with paradoxical increases in the NDVI in February despite water stress. The extreme heat in May led to significant declines in vegetation indices, and the continued drought worsened the situation. However, rainfall from Subtropical Storm Alpha in September helped vegetation recover, particularly in chlorophyll content, as seen in the GCI values. The recovery in autumn following precipitation events highlighted the critical role of rainfall [52].
Overall, the results underscore the importance of vegetation indices in assessing the health and vigor of plants, as well as the key role of climatic factors, such as temperature, in driving evapotranspiration. The strong relationships observed between these variables suggest that vegetation indices can be powerful tools for monitoring vegetation dynamics, particularly in regions where climatic conditions vary significantly.
In addition to monitoring vegetation health, high-resolution remote sensing (RS) played a pivotal role in tracking the spread of invasive species in the Lis River, particularly E. crassipes and M. aquaticum. RS data, especially from high-resolution PlanetScope imagery, allowed for precise identification of the narrow river canals, improving infestation mapping. Over three years (2018–2020), the infestation of these invasive species increased during years with higher precipitation, peaking in the warmer months and falling in colder months due to die-back [53].
Accuracy assessments using ground truthing confirmed the reliability of RS as an effective tool for monitoring aquatic invasions, especially in hard-to-reach areas [54]. Combining RS data with field-based monitoring enhances invasive species management by enabling timely, targeted interventions [55]. The distribution of NDVI classes revealed ecological dynamics, with Class 3 (dense vegetation) indicating favorable growth conditions and Class 2 (moderate vegetation) reflecting stress factors or interventions. Class 1 (low vegetation) was rare, reinforcing the dominance of vegetation in the river, which corresponds to the reproductive capacity of invasive species [56]. The EVI and GCI trends highlighted the resilience of invasive species, which maintained biomass under less favorable conditions. Peak Class 3 values in warmer months were linked to favorable growth conditions. Seasonal NDVI variations mirrored typical plant growth cycles, with recovery in spring and peak growth in summer. Geographical differences between the USP and DSP sites highlighted the impact of local environmental factors, with higher NDVI values at the USP suggesting better water management or favorable micro-climate conditions [40].
These findings underscore the importance of adaptive management strategies, considering both climatic and seasonal patterns, as well as the dynamics of invasive species, in improving ecosystem resilience in the LVID region.
The replicability of the method proposed in this study is particularly relevant in regions facing similar challenges to the LVID, where the presence of invasive species compromises water management and the maintenance of hydraulic infrastructures. An example of local activities addressing the proliferation of water hyacinth can be found in the Mondego River basin, near the LVID. In Montemor-o-Velho, the municipality is implementing the CEIEJAM Fund, which combines strategic planning with field operations, including the development of a local action plan [57]. In parallel, the Biocomp 3.0 project, coordinated by the Polytechnic Institute of Bragança, aims to provide a sustainable, circular economy solution for the disposal of the biomass removed. A key objective of Biocomp 3.0 directly related to this study is the evaluation and monitoring of the temporal and spatial dynamics of water hyacinth in aquatic ecosystems. A plugin will be developed, utilizing aerial imagery and GIS tools, to support monitoring and decision making in the process of controlling and eradicating water hyacinth [58].
These two complementary efforts not only highlight the complexity of managing invasive aquatic species but also underscore the potential for collaboration between local authorities, higher education institutions, and agricultural communities. The method presented in this study, RS, could easily be integrated as a decision support tool in projects of this type, enabling efficient, continuous, and low-cost monitoring—essential for preventive actions and adaptive management at the regional scale.

4.2. Impact of E. crassipes and M. aquaticum on Water Quality and Statistical Analysis

4.2.1. Effects of E. crassipes and M. aquaticum on Water Quality

The analysis of water quality parameters over the years revealed significant changes associated with the presence of the invasive species of water hyacinth and parrot’s feather. These species, classified as invasive at both national [34] and European levels [35], are notorious for forming dense mats that alter water quality and disturb the ecological equilibrium of aquatic environments [10,25].
Data from the multiparametric probe provided key insights into trends in various water quality parameters over the years. pH values recorded at both upstream and downstream locations remained within the range tolerated by E. crassipes (pH 6–8) [10]. However, slight seasonal variations were observed, with a decrease in pH downstream in all years. This decline, albeit subtle, may indicate the influence of organic matter decomposition from the invasive species, which can release acidic compounds into the water column [8,59]. In contrast, electrical conductivity and general conductivity were consistently higher downstream in 2019 and 2020, suggesting an increase in dissolved ion concentrations. This supports the findings of Pádua (2022), who reported that dense mats of E. crassipes enhance ion concentration by impeding water flow, thus increasing nutrient retention and decomposition rates [26]. High EC values are also consistent with nutrient enrichment from agricultural runoff, as E. crassipes thrives in nutrient-rich waters [10,23]. The association between invasive macrophytes and elevated EC underscores their role in altering the ionic composition of freshwater systems, which can have cascading effects on aquatic biota [36].
Dissolved oxygen (RDO) concentrations were noticeably lower downstream across all years, with a particularly sharp decline in 2019 (from 9.54 mg/L upstream to 6.38 mg/L downstream). The corresponding decrease in oxygen saturation (Sat DO) highlights potential oxygen depletion caused by the high biomass of aquatic plants. These findings align with studies by Masifwa (2001) and Malik (2007), which link the dense canopies of E. crassipes to light obstruction and reduced photosynthetic activity, leading to hypoxia [9,10]. Furthermore, microbial decomposition of plant residues beneath the mats exacerbates oxygen depletion, posing risks to aquatic fauna. Low DO concentrations have been reported to induce shifts in fish populations, favoring species with higher hypoxia tolerance while reducing biodiversity [3]. This phenomenon is well-documented in water bodies heavily infested with floating macrophytes, leading to hypoxic or even anoxic conditions that can negatively impact aquatic organisms.
Water temperature showed a minor but consistent increase downstream in all years, with differences of approximately 0.6 °C in 2019 and 2020. This temperature rise could be due to heat retention by the dense vegetation cover, which reduces evaporative cooling and modifies local microclimatic conditions. This thermal alteration may also contribute to the proliferation of other opportunistic species, exacerbating the ecological imbalance in the affected areas [7]. Similar findings have been reported in studies where floating vegetation acts as a thermal barrier, leading to localized warming that may further promote invasive plant proliferation.
Suspended solid (SS) concentrations were also higher downstream, particularly in 2019, when they increased from 1090 ppm upstream to 1240 ppm downstream. This suggests increased particulate matter in the water column, potentially due to plant detritus and root system disturbances. This increase is linked to the fragmentation and decay of E. crassipes and M. aquaticum, which contribute organic detritus and fine particulate matter to the water column [36]. Additionally, the dense mats hinder sedimentation, leading to increased turbidity and reduced water clarity [10]. Elevated SS concentrations and reduced transparency impair light penetration, further affecting photosynthetic organisms and altering aquatic food webs [11]. The accumulation of suspended solids can also clog irrigation systems and drainage canals, leading to additional economic and maintenance burdens [38].
Salinity (S) variations were minor but followed a consistent trend, with higher values downstream in 2019 and 2020. This could be linked to evapotranspiration effects caused by the extensive plant cover concentrating dissolved salts in the water. Additionally, resistance to electrical flow (R) was lower downstream in 2019, coinciding with the peak infestation period, which may reflect alterations in water chemistry due to organic matter accumulation. Interestingly, R increased in 2020, suggesting a certain level of stabilization, arguably due to seasonal changes in plant biomass.
The significant alterations in water quality parameters demonstrate the profound ecological impacts of E. crassipes and M. aquaticum in the LVID. These invasive species not only disrupt aquatic habitats but also impair water management infrastructures, affecting irrigation and drainage efficiency [3]. The economic implications are substantial, given the increased costs of mechanical removal, maintenance, and water treatment [38].

4.2.2. Statistical Analysis of E. crassipes and M. aquaticum and Water Quality Parameters

The results reveal significant correlations between vegetation indices (NDVI, EVI, GCI) and certain water quality parameters, particularly dissolved oxygen (RDO and Sat DO) and pH. These relationships highlight the impacts of the invasive species Eichhornia crassipes and Myriophyllum aquaticum on water quality in irrigation channels.
Strong correlations were observed between vegetation indices and dissolved oxygen levels. The GCI showed the best explanatory power for both RDO (R2 = 0.886) and Sat DO (R2 = 0.886). This suggests that dense vegetation, particularly from invasive species, may reduce the oxygen content in the water, likely due to the decomposition of plant biomass, limiting photosynthesis and generating hypoxic conditions [10,11].
pH also exhibited significant correlations with the NDVI (R2 = 0.726) and the EVI (R2 = 0.761). The decrease in pH may be linked to the decomposition of organic matter, which alters the water’s acidity. This phenomenon is commonly observed in environments with high levels of invasive plant biomass [10].
The correlations with EC, S, and SS were weak, which indicates that these parameters are not significantly influenced by vegetation density. Other environmental factors, such as soil composition and sediment transport, may play a more significant role in determining these parameters. In addition, we found no significant correlations with temperature and R, suggesting that these parameters are less influenced by vegetation, at least within the scope of this study.
These statistical correlations further confirm that invasive macrophytes, particularly Eichhornia crassipes and Myriophyllum aquaticum, are significantly influencing water quality, with potential implications for irrigation management and water treatment. The alterations observed in parameters like dissolved oxygen and pH are primarily attributed to the proliferation of these invasive species, highlighting the need for targeted management strategies to mitigate their impact on water resources.

5. Conclusions

This study demonstrated the effectiveness of RS techniques, particularly the use of the NDVI, EVI, and GCI, to monitor the temporal dynamics of invasive aquatic vegetation in narrow river canals. Strong correlations between vegetation indices and environmental factors, particularly temperature and precipitation, highlighted their significant role in biomass development. These findings emphasize the seasonal variability of vegetation growth, underscoring the need for adaptive management strategies capable of responding to such fluctuations.
From a practical perspective, the results can guide more effective intervention strategies. Critical growth phases (e.g., summer months with peak NDVI and GCI values) may be optimal for cleaning interventions, while reduced chlorophyll activity during cooler months may indicate natural biomass suppression, thus reducing the need for mechanical intervention. However, in the case of the LVID, with limited labor and an open canal surrounded by cultivated parcels throughout most of the year, a different approach was adopted, one unaligned with “optimal” intervention timing.
Despite the successful use of PlanetScope imagery, certain limitations must be acknowledged. The spatial resolution of 3.7 m, combined with limited spectral bands (blue, green, red, and NIR), restricts the ability to distinguish between subtle spectral differences in species. Cloud cover, particularly during the summer months, also reduced the temporal resolution of the dataset. While monthly image acquisition provided a balance between data availability and processing feasibility, it limited the ability to capture more rapid short-term dynamics. Additionally, the narrow and heterogeneous geometry of the river canals posed challenges for accurate classification.
Future research should focus on optimizing satellite remote sensing (e.g., PlanetScope imagery) for automated monitoring of invasive species, capitalizing on its ability to cover large areas efficiently without the need for costly UAV flights or labor-intensive ground sampling. Although UAV imagery can enhance spatial detail and support ground truthing, its practical use in the study area is limited due to airspace restrictions imposed by the nearby Air Base, which prevents UAV operations in several zones. Therefore, its primary strength lies in leveraging RS data for comprehensive and cost-effective monitoring. In addition, artificial-intelligence-based classification techniques, such as machine learning algorithms, can play a pivotal role in enhancing the accuracy and scalability of this approach. These AI methods, which include various algorithms, such as Random Forest, Support Vector Machines, or Convolutional Neural Networks, can improve the detection and classification of invasive species by learning complex patterns from remote sensing data. Integrating these AI techniques with satellite imagery will not only provide better prediction accuracy but also enable more efficient and timely interventions for invasive species management.
This study also highlights the complex interactions between invasive aquatic macrophytes and water quality parameters in the LVID. Long-term monitoring is necessary to assess the effectiveness of different control strategies and refine intervention approaches. However, the small sample size in our study, along with the limited temporal resolution, call for further research with a larger and more regularly sampled dataset to provide more robust conclusions. Although extending the study to additional years (e.g., 2021–2024) would strengthen the analysis, it is worth noting that the available quota for PlanetScope imagery in the current version of the project was relatively limited, constraining our ability to expand the dataset. Nevertheless, we acknowledge that incorporating more data in future research, particularly for model evaluation, represents a valuable direction for further studies. By addressing these gaps, future research can support the development of more effective, ecologically sound, and sustainable management strategies for controlling invasive species, ultimately conserving water resources and biodiversity in the Lis Valley.

Author Contributions

J.M.S. and J.M.G. conceptualized and designed the study; S.F., J.M.G., R.E. and H.D. performed the field observations; S.F., J.M.S. and J.M.G. analyzed and validated the data; S.F. wrote the paper, with contributions from the other authors. All authors have read and agreed to the published version of the manuscript.

Funding

This research was funded by the Portuguese Foundation for Science and Technology, grant number 2020.07088.BD, Program PDR2020, co-funded by FEDER under the Innovation Measure, Portugal, grant number PDR2020-1.0.1-FEADER-030911.

Data Availability Statement

The data presented in this study are available upon request from the corresponding author.

Acknowledgments

The authors would like to thank the Lis Valley Water User’s Association for their collaboration during the measuring campaigns.

Conflicts of Interest

The authors declare no conflicts of interest.

Abbreviations

The following abbreviations are used in this manuscript:
CConductivity
DSCDownstream sampling point
ECElectrical conductivity
EToReference evapotranspiration
EVIEnhanced Vegetation Index
GCIGreen Chlorophyll Index
GSRGlobal solar radiation
IADImage acquisition date
LVIDLis Valley Irrigation District
NDVINormalized Difference Vegetation Index
PFMyriophyllum aquaticum/parrot’s feather
PSCPhenological stage code
PSUPractical Salinity Units
RResistance to electrical flow
RDODissolved oxygen concentration
RfRainfall
RHRelative humidity
RSRemote sensing
SSalinity
Sat DO Dissolved Oxygen Saturation
SSSuspended solid concentration
TempTemperature
UAVUnmanned Aerial Vehicle
USPUpstream sampling point
WHEichhornia crassipes/water hyacinth
WUAWater User’s Association

References

  1. Alimi, T.; Akinyemiju, O.A. Effect of Water Hyacinth on Water Transportation in Nigeria. J. Aquat. Plant Manag. 1991, 29, 109–112. [Google Scholar]
  2. Segbefia, A.Y.; Honlah, E.; Appiah, D.O. Effects of Water Hyacinth Invasion on Sustainability of Fishing Livelihoods Along the River Tano and Abby-Tano Lagoon, Ghana. Cogent Food Agric. 2019, 5, 1654649. [Google Scholar] [CrossRef]
  3. Mathur, P.; Mathur, S.M. Water Hyacinth: A Useful Plant to Improve Rural Economy. In Energy and Environment; Springer: Singapore, 2018. [Google Scholar] [CrossRef]
  4. Center, T.; Hill, M.; Cordo, H.; Julien, M. Water Hyacinth. In Biological Control of Weeds in the United States; Agricultural Research Service: Washington, DC, USA, 2002. [Google Scholar]
  5. Lu, J.; Wu, J.; Fu, Z.; Zhu, L. Water Hyacinth in China: A Sustainability Science-Based Management Framework. Environ. Manag. 2007, 40, 823. [Google Scholar] [CrossRef]
  6. Tewabe, D. Preliminary Survey of Water Hyacinth in Lake Tana, Ethiopia. Glob. J. Allergy 2015, 1, 013–018. [Google Scholar] [CrossRef]
  7. Tobias, V.D.; Conrad, J.L.; Mahardja, B.; Khanna, S. Impacts of Water Hyacinth Treatment on Water Quality in A Tidal Estuarine Environment. Biol. Invasions 2019, 21, 3479–3490. [Google Scholar] [CrossRef]
  8. Kiyemba, H.; Barasa, B.; Asaba, J.; Gudoyi, P.M.; Akello, G. Water Hyacinth’s Extent and Its Implication on Water Quality in Lake Victoria, Uganda. Sci. World J. 2023, 2023, 4947272. [Google Scholar] [CrossRef]
  9. Masifwa, W.F.; Twongo, T.; Denny, P. The Impact of Water Hyacinth, Eichhornia crassipes (Mart) Solms on the Abundance and Diversity of Aquatic Macroinvertebrates along the Shores of Northern Lake Victoria, Uganda. Hydrobiologia 2001, 452, 79–88. [Google Scholar] [CrossRef]
  10. Malik, A. Environmental Challenge Vis a Vis Opportunity: The Case of Water Hyacinth. Environ. Int. 2007, 33, 122–138. [Google Scholar] [CrossRef]
  11. Getahun, S.; Kefale, H. Problem of Water Hyacinth (Eichhornia crassipes (Mart.)) in Lake Tana (Ethiopia): Ecological, Economic, and Social Implications and Management Options. Int. J. Ecol. 2023, 2023, 4618069. [Google Scholar] [CrossRef]
  12. Ansari, A.A.; Naeem, M.; Gill, S.S.; AlZuaibr, F.M. Phytoremediation of Contaminated Waters: An Eco-Friendly Technology Based on Aquatic Macrophytes Application. Egypt. J. Aquat. Res. 2020, 46, 371–376. [Google Scholar] [CrossRef]
  13. Rai, P.K. Eichhornia crassipes as a Potential Phytoremediation Agent and an Important Bioresource for Asia Pacific Region. Environ. Skept. Crit. 2016, 5, 12. [Google Scholar]
  14. Kumar, V.; Singh, J.; Saini, A.; Kumar, P. Phytoremediation of Copper, Iron and Mercury from Aqueous Solution by Water Lettuce (Pistia stratiotes L.). Environ. Sustain. 2019, 2, 55–65. [Google Scholar] [CrossRef]
  15. Vanathi, P.; Periakaruppan, R.; Narendhran, S.; Sivaraj, R.; Rahman, P.; Venckatesh, R. Biosynthesis and Characterization of Phyto Mediated Zinc Oxide Nanoparticles: A Green Chemistry Approach. Mater. Lett. 2014, 134, 13–15. [Google Scholar] [CrossRef]
  16. Jaithon, T.; Ruangtong, J.; T-Thienprasert, J.; T-Thienprasert, N.P. Effects of Waste-Derived ZnO Nanoparticles against Growth of Plant Pathogenic Bacteria and Epidermoid Carcinoma Cells. Crystals 2022, 12, 779. [Google Scholar] [CrossRef]
  17. Chen, B. Ecological Engineering of Water Hyacinth Control and Utilization in River Basins. Ph.D. Thesis, Tongji University, Shanghai, China, 2007; pp. 131–133. [Google Scholar]
  18. Goswami, L.; Nath, A.; Sutradhar, S.; Bhattacharya, S.S.; Kalamdhad, A.; Vellingiri, K.; Kim, K.-H. Application of Drum Compost and Vermicompost to Improve Soil Health, Growth, and Yield Parameters for Tomato and Cabbage Plants. J. Environ. Manag. 2017, 200, 243–252. [Google Scholar] [CrossRef]
  19. Sierra-Carmona, C.G.; Hernández-Orduña, M.G.; Murrieta-Galindo, R. Alternative Uses of Water Hyacinth (Pontederia crassipes) from a Sustainable Perspective: A Systematic Literature Review. Sustainability 2022, 14, 3931. [Google Scholar] [CrossRef]
  20. Sundari, M.T.; Ramesh, A. Isolation and Characterization of Cellulose Nanofibers from the Aquatic Weed Water Hyacinth-Eichhornia crassipes. Carbohydr. Polym. 2012, 87, 1701–1705. [Google Scholar] [CrossRef]
  21. Yong, Y.S.; Lim, Y.A.; Ilankoon, I. An Analysis of Electronic Waste Management Strategies and Recycling Operations in Malaysia: Challenges and Future Prospects. J. Clean. Prod. 2019, 224, 151–166. [Google Scholar] [CrossRef]
  22. Lozano, V. Distribution of Five Aquatic Plants Native to South America and Invasive Elsewhere under Current Climate. Ecologies 2021, 2, 27–42. [Google Scholar] [CrossRef]
  23. Datta, A.; Maharaj, S.; Prabhu, G.N.; Bhowmik, D.; Marino, A.; Akbari, V.; Rupavatharam, S.; Sujeetha, J.A.R.P.; Anantrao, G.G.; Poduvattil, V.K.; et al. Monitoring The Spread of Water Hyacinth (Pontederia crassipes): Challenges and Future Developments. Front. Ecol. Evol. 2021, 9, 631338. [Google Scholar] [CrossRef]
  24. Guerena, D.; Neufeldt, H.; Berazneva, J.; Duby, S. Water Hyacinth Control in Lake Victoria: Transforming an Ecological Catastrophe into Economic, Social and Environmental Benefits. Sustain. Prod. Consum. 2015, 3, 59–69. [Google Scholar] [CrossRef]
  25. Wilson, J.R.; Holst, N.; Rees, M. Determinants and Patterns of Population Growth in Water Hyacinth. Aquat. Bot. 2005, 81, 51–67. [Google Scholar] [CrossRef]
  26. Pádua, L.; Antão-Geraldes, A.M.; Sousa, J.J.; Rodrigues, M.Â.; Oliveira, V.; Santos, D.; Miguens, M.F.P.; Castro, J.P. Water Hyacinth (Eichhornia crassipes) Detection Using Coarse and High Resolution Multispectral Data. Drones 2022, 6, 47. [Google Scholar] [CrossRef]
  27. Figueiredo, J.; Duarte, C.; Moreira, I.; Agusti, S. As Infestantes Aquáticas Nos Sistemas de Irrigação e Drenagem Do Ribatejo. Recur. Hídricos 1984, 5, 5–10. (In Portuguese) [Google Scholar]
  28. Jafari, N. Ecological and Socio-Economic Utilization of Water Hyacinth (Eichhornia crassipes Mart Solms). J. Appl. Sci. Environ. Manag. 2010, 14, 43–49. [Google Scholar] [CrossRef]
  29. Barrett, S.C.H.; Forno, I.W. Style Morph Distribution in New World Populations of Eichhornia crassipes (Mart.) Solms-Laubach (Water hyacinth). Aquat. Bot. 1982, 13, 299–306. [Google Scholar] [CrossRef]
  30. Tag EI-Din, A.R. Utilization of Water-Hyacinth Hay in Feeding of Growing Sheep. Indian J. Anim. Sci. 1992, 62, 989–992. [Google Scholar]
  31. Ogutu-Ohwayo, R.; Heckey, R.E.; Cohen, A.S.; Kaufman, L. Human Impacts on the African Great Lakes. Environ. Biol. Fishes 1997, 50, 117–131. [Google Scholar] [CrossRef]
  32. Turnipseed, R.K.; Moran, P.J.; Allan, S.A. Behavioral Responses of Gravid Culex quinquefasiatus, Aedes aegypti, and Anopheles quadrimaculatus Mosquitoes to Aquatic Macrophyte Volatiles. J. Vector Ecol. 2018, 43, 252–260. [Google Scholar] [CrossRef]
  33. Honlah, E.; Yao Segbefia, A.; Odame Appiah, D.; Mensah, M.; Atakora, P.O. Effects of Water Hyacinth Invasion on the Health of the Communities, and the Education of Children Along River Tano and Abby-Tano Lagoon in Ghana. Cogent Soc. Sci. 2019, 5, 1619652. [Google Scholar] [CrossRef]
  34. Government of Portugal. Decree-Law No. 92/2019, of July 10. Diário da República, 1st series, No. 132. 2019. Available online: https://diariodarepublica.pt/dr/detalhe/decreto-lei/92-2019-123025739 (accessed on 12 February 2025).
  35. European Union. Regulation (EU) No. 1143/2014 of the European Parliament and of the Council of 22 October 2014 on the Prevention and Management of the Introduction and Spread of Invasive Alien Species. Off. J. Eur. Union 2014, L317, 35–55. Available online: https://eur-lex.europa.eu/eli/reg/2014/1143/oj/eng (accessed on 12 February 2025).
  36. Villamagna, A.M.; Murphy, B.R. Ecological and Socio-Economic Impacts of Invasive Water Hyacinth (Eichhornia crassipes): A Review. Freshw. Biol. 2010, 55, 282–298. [Google Scholar] [CrossRef]
  37. Cerveira Junior, W.R.; Carvalho, L.B.d. Control of Water Hyacinth: A Short Review. Commun. Plant Sci. 2019, 9, 129–132. [Google Scholar] [CrossRef]
  38. Su, W.; Sun, Q.; Xia, M.; Wen, Z.; Yao, Z. The Resource Utilization of Water Hyacinth (Eichhornia crassipes [Mart.] Solms) and its Challenges. Resources 2018, 7, 46. [Google Scholar] [CrossRef]
  39. Pádua, L.; Guimarães, N.; Adão, T.; Sousa, A.; Peres, E.; Sousa, J.J. Effectiveness of Sentinel-2 in Multi-Temporal Post-Fire Monitoring When Compared with UAV Imagery. ISPRS Int. J. Geo-Inf. 2020, 9, 225. [Google Scholar] [CrossRef]
  40. Huete, A.R.; Liu, H.Q.; Batchily, K.; Van Leeuwen, W. A comparison of vegetation indices global set of TM images for estimating vegetation properties over a global range of conditions. Remote Sens. Environ. 1997, 59, 246–258. [Google Scholar] [CrossRef]
  41. Gitelson, A.A.; Kaufman, Y.J.; Merzlyak, M.N. Vegetation indices from spectral reflectance data: Derivation and applications. Remote Sens. Environ. 2003, 58, 289–298. [Google Scholar] [CrossRef]
  42. Tucker, C.J. Red and photographic infrared linear combinations for monitoring vegetation. Remote Sens. Environ. 1979, 8, 127–150. [Google Scholar] [CrossRef]
  43. Kottek, M.; Grieser, J.; Beck, C.; Rudolf, B.; Rubel, F. World Map of the Köppen-Geiger Climate Classification Updated. Meteorol. Z. 2006, 15, 259–263. [Google Scholar] [CrossRef]
  44. Ferreira, S.; Sánchez, J.M.; Gonçalves, J.M. A Remote-Sensing-Assisted Estimation of Water Use in Rice Paddy Fields: A Study on Lis Valley, Portugal. Agronomy 2023, 13, 1357. [Google Scholar] [CrossRef]
  45. Ferreira, S.; Sánchez, J.M.; Gonçalves, J.M.; Eugénio, R.; Damásio, H. Remote Sensing-Assisted Estimation of Water Use in Apple Orchards with Permanent Living Mulch. Agronomy 2025, 15, 338. [Google Scholar] [CrossRef]
  46. Campar, A.; Gama, A.; Cunha, L.; Jacinto, R.; Boura, I.; Medeiros, J.; Brandão, J. The Lis River Watershed—Contribution to the Study of Territory Organization and Environmental Problems; Câmara Municipal de Leiria, CCDR-Centro: Coimbra, Portugal, 1989. (In Portuguese) [Google Scholar]
  47. Ferreira, S.; Oliveira, F.; Silva, F.G.; Teixeira, M.; Gonçalves, M.; Eugénio, R.; Damásio, H.; Gonçalves, J.M. Assessment of Factors Constraining Organic Farming Expansion in Lis Valley, Portugal. AgriEngineering 2020, 3, 111–127. [Google Scholar] [CrossRef]
  48. Gonçalves, J.M.; Nunes, M.; Ferreira, S.; Jordão, A.; Paixão, J.; Eugénio, R.; Russo, A.; Damásio, H.; Duarte, I.M.; Bahcevandziev, K. Alternate Wetting and Drying in the Center of Portugal: Effects on Water and Rice Productivity and Contribution to Development. Sensors 2022, 22, 3632. [Google Scholar] [CrossRef] [PubMed]
  49. Gonçalves, J.M.; Ferreira, S.; Nunes, M.; Eugénio, R.; Amador, P.; Filipe, O.; Duarte, I.M.; Teixeira, M.; Vasconcelos, T.; Oliveira, F.; et al. Developing Irrigation Management at District Scale Based on Water Monitoring: Study on Lis Valley, Portugal. AgriEngineering 2020, 2, 78–95. [Google Scholar] [CrossRef]
  50. IPMA. Resumo Climatológico, Ano 2018; IPMA: Lisbon, Portugal, 2019; Available online: https://www.ipma.pt/resources.www/docs/im.publicacoes/edicoes.online/20190131/ddliTNijyEWyfrhUMDTy/cli_20180901_20181231_pcl_aa_co_pt.pdf (accessed on 15 December 2024). (In Portuguese)
  51. IPMA. Resumo Climatológico, Ano 2019; IPMA: Lisbon, Portugal, 2020; Available online: https://www.ipma.pt/resources.www/docs/im.publicacoes/edicoes.online/20200318/piMisHmKRkiueuXQgHpM/cli_20191201_20191231_pcl_aa_co_pt.pdf (accessed on 15 December 2024). (In Portuguese)
  52. IPMA. Resumo Climatológico, Ano 2020; IPMA: Lisbon, Portugal, 2021; Available online: https://www.ipma.pt/resources.www/docs/im.publicacoes/edicoes.online/20200903/aLIMdENsRORErLkagmmX/cli_20200801_20200831_pcl_mm_co_pt.pdf (accessed on 15 December 2024). (In Portuguese)
  53. Lai, X.; You, Y.; Yang, X.; Wang, Z.; Shen, Y. Quantifying the rainfall variability effects on crop growth and production in the intensified annual forage–winter wheat rotation systems in a semiarid region of China. Agric. Water Manag. 2024, 305, 109131. [Google Scholar] [CrossRef]
  54. Gitelson, A.A.; Kaufman, Y.J.; Stark, R.; Rundquist, D.C. Novel algorithms for remote estimation of vegetation fraction. Remote Sens. Environ. 2002, 80, 76–87. [Google Scholar] [CrossRef]
  55. Gilabert, M.A.; Vázquez, M.; Serradell, S.; Sánchez, J.M.; Téllez, I. A review of remote sensing for monitoring vegetation dynamics in semi-arid regions. Remote Sens. 2002, 24, 334–346. [Google Scholar] [CrossRef]
  56. Rouse, J.W.; Haas, R.H.; Schell, J.A.; Deering, D.W. Monitoring vegetation systems in the Great Plains with ERTS. In Proceedings of the Third Earth Resources Technology Satellite-1 Symposium, Washington, DC, USA, 8–12 December 1974; Volume 1, pp. 301–317. [Google Scholar]
  57. Municipality of Montemor-o-Velho. Combate à invasora exótica jacinto-de-água em Montemor-o-Velho: Conheça o plano de ação Local. 2021. Available online: https://www.cm-montemorvelho.pt/index.php/municipio/comunicacao/item/5013-combate-a-invasora-exotica-jacinto-de-agua-em-montemor-o-velho-conheca-o-plano-de-acao-local (accessed on 21 April 2025). (In Portuguese).
  58. Biocomp 3.0. Biocomp 3.0 Project. 2025. Available online: https://www.biocomp3.pt (accessed on 21 April 2025). (In Portuguese).
  59. Barko, J.W.; Gunnison, D.; Carpenter, S.R. Sediment Interactions with Submersed Macrophyte Growth and Community Dynamics. Aquat. Bot. 1991, 41, 41–65. [Google Scholar] [CrossRef]
Figure 1. Geographic location of the infested area. The left-hand image shows the LVID’s layout, with boundaries outlined in white (the source is PlanetScope, https://www.planet.com/explorer/, accessed on 25 March 2025). In the right-hand image, the red line marks the LVID’s boundary, while the orange polygon outlines the area affected. The green dot indicates the upstream sampling point (USP), while the yellow dot marks the downstream sampling point (DSP) for water collection, along with the Boco Pumping Station (the source is Google Earth, https://earth.google.com, accessed on 8 March 2025). The sub-polygons, outlined in blue, are used for comparing USP and DSP areas.
Figure 1. Geographic location of the infested area. The left-hand image shows the LVID’s layout, with boundaries outlined in white (the source is PlanetScope, https://www.planet.com/explorer/, accessed on 25 March 2025). In the right-hand image, the red line marks the LVID’s boundary, while the orange polygon outlines the area affected. The green dot indicates the upstream sampling point (USP), while the yellow dot marks the downstream sampling point (DSP) for water collection, along with the Boco Pumping Station (the source is Google Earth, https://earth.google.com, accessed on 8 March 2025). The sub-polygons, outlined in blue, are used for comparing USP and DSP areas.
Agriengineering 07 00151 g001
Figure 2. Photographic survey of the species under study observed in the affected area of the LVID. On the left, Myriophyllum aquaticum (a), and on the right, Eichhornia crassipes (b). Further to the right, water collecting in the downstream area (DSP) (c). Photographs taken by the author on 12 January 2021.
Figure 2. Photographic survey of the species under study observed in the affected area of the LVID. On the left, Myriophyllum aquaticum (a), and on the right, Eichhornia crassipes (b). Further to the right, water collecting in the downstream area (DSP) (c). Photographs taken by the author on 12 January 2021.
Agriengineering 07 00151 g002
Figure 3. Climatic events and herbicide application (or absence thereof) are represented using schematic icons/pictograms within the figures. Panel (a) represents 2018, panel (b) represents 2019, and panel (c) represents 2020.
Figure 3. Climatic events and herbicide application (or absence thereof) are represented using schematic icons/pictograms within the figures. Panel (a) represents 2018, panel (b) represents 2019, and panel (c) represents 2020.
Agriengineering 07 00151 g003aAgriengineering 07 00151 g003b
Figure 4. Distribution of NDVI, EVI, and GCI classes throughout the study period: (a) 2018, (b) 2019, and (c) 2020. Each bar represents the percentage of each vegetation class (Class 1, Class 2, and Class 3) for the respective index on the corresponding date.
Figure 4. Distribution of NDVI, EVI, and GCI classes throughout the study period: (a) 2018, (b) 2019, and (c) 2020. Each bar represents the percentage of each vegetation class (Class 1, Class 2, and Class 3) for the respective index on the corresponding date.
Agriengineering 07 00151 g004
Figure 5. The maps depict NDVI variations across sampling points in the study canal for selected periods. These maps illustrate seasonal and interannual differences in vegetation dynamics at the USP, marked by an orange dot, and the DSP, marked by a pink dot. Higher NDVI values, represented by blue and green shades, indicate greater vegetation density, while lower NDVI values, shown in red and orange shades, reflect reduced vegetation cover. The dates correspond to the observation periods listed in Table 1, with one image selected for each season per year: winter (a), spring (b), summer (c), and autumn (d).
Figure 5. The maps depict NDVI variations across sampling points in the study canal for selected periods. These maps illustrate seasonal and interannual differences in vegetation dynamics at the USP, marked by an orange dot, and the DSP, marked by a pink dot. Higher NDVI values, represented by blue and green shades, indicate greater vegetation density, while lower NDVI values, shown in red and orange shades, reflect reduced vegetation cover. The dates correspond to the observation periods listed in Table 1, with one image selected for each season per year: winter (a), spring (b), summer (c), and autumn (d).
Agriengineering 07 00151 g005aAgriengineering 07 00151 g005bAgriengineering 07 00151 g005cAgriengineering 07 00151 g005d
Table 1. Acquisition dates of PlanetScope images used in the study, along with corresponding phenological stage codes for Eichhornia crassipes (WH) and Myriophyllum aquaticum (PF).
Table 1. Acquisition dates of PlanetScope images used in the study, along with corresponding phenological stage codes for Eichhornia crassipes (WH) and Myriophyllum aquaticum (PF).
201820192020
IADPSC WHPSC PFIADPSC WHPSC PFIADPSC WHPSC PF
11 JanII09 JanII10 JanII
23 MarIIII13 FebII19 FebII
13 AprIIIIII26 MarIIII25 MarIIII
17 MayIVIII12 AprIIIIII19 AprIIIIII
19 JunIVIV11 MayIVIII24 MayIVIII
21 JulIVIV11 JunIVIV10 JunIVIV
08 AugIVIV18 JulIVIV16 JulIVIV
07 SepVIV05 AugIVIV13 AugIVIV
03 OctVV12 SepVIV10 SepVIV
22 NovVV21 OctVV12 OctVV
06 DecII23 NovVV30 NovVV
17 DecII
IAD—image acquisition date; PSC—phenological stage code for Eichhornia crassipes (WH) and Myriophyllum aquaticum (PF): I. dormancy/reduced growth, II. initial growth, III. vegetative expansion, IV. maximum biomass/flowering, and V. seasonal decline.
Table 2. Classification and value ranges for NDVI, EVI, and GCI.
Table 2. Classification and value ranges for NDVI, EVI, and GCI.
IndexClassificationValue Range
NDVIClass 1 (Low Vegetation/Soil)NDVI ≤ 0.2
Class 2 (Moderate Vegetation)0.2 < NDVI ≤ 0.4
Class 3 (Dense Vegetation)NDVI > 0.4
EVIClass 1 (Low Vegetation/Soil)EVI ≤ 0.1
Class 2 (Moderate Vegetation)0.1 < EVI ≤ 0.3
Class 3 (Dense Vegetation)EVI > 0.3
GCIClass 1 (Low Chlorophyll Content)GCI ≤ 0.2
Class 2 (Moderate Chlorophyll Content)0.2 < GCI ≤ 0.4
Class 3 (High Chlorophyll Content)GCI > 0.4
Table 3. Recorded values of vegetation indices and climatic parameters on PlanetScope satellite image acquisition dates (2018–2020).
Table 3. Recorded values of vegetation indices and climatic parameters on PlanetScope satellite image acquisition dates (2018–2020).
YearDateVegetation IndexT 10D
Average
RH 10D AverageGSR 10D AverageRf 10D SumEto 10d Sum
2018 NDVIEVIGCI(°C)(%)(%)(mm)(mm)
11 Jan0.280.250.9710.293.53.930.06.4
26 Mar0.530.292.8810.383.113.567.618.4
13 Apr0.270.191.2711.090.810.6114.218.2
17 May0.410.271.7815.677.320.11.032.1
19 Jun0.400.211.8918.285.519.616.433.3
21 Jul0.550.352.9321.181.419.50.034.8
08 Aug0.610.384.2622.573.021.50.041.0
07 Sep0.440.341.8720.978.118.71.233.8
03 Oct0.420.222.1921.671.917.00.030.4
22 Nov0.250.071.0113.387.58.534.79.5
06 Dec0.310.141.3211.390.18.021.08.4
2019
09 Jan0.490.212.467.679.610.00.68.7
13 Feb0.530.282.619.284.212.25.213.2
26 Mar0.410.231.6913.363.120.70.429.6
12 Apr0.540.283.2612.184.916.362.223.5
11 May0.620.373.9517.178.522.220.435.0
11 Jun0.380.211.9415.475.527.910.042.3
18 Jul0.450.272.1120.183.019.93.236.4
05 Aug0.620.383.4918.884.323.56.640.0
12 Sep0.580.323.7117.774.421.10.038.0
21 Oct0.320.141.3815.887.19.355.617.2
23 Nov0.390.201.5112.190.26.6106.610.3
17 Dec0.520.262.1811.794.75.749.06.9
2020
10 Jan0.540.222.77.292.18.02.67.6
19 Feb0.640.363.212.790.59.85.69.3
25 Mar0.560.352.511.916.45.713.421.6
19 Apr0.530.252.414.816.96.343.025.7
24 May0.480.282.216.726.56.43.238.6
10 Jun0.470.301.917.824.27.20.638.6
16 Jul0.560.304.219.427.46.70.048.1
13 Aug0.570.344.419.421.07.30.833.0
10 Sep0.530.293.818.521.35.70.039.6
12 Oct0.410.211.715.515.35.910.220.4
30 Nov0.450.232.310.38.34.553.810.7
T average represents the average temperature (°C), RH is the average relative humidity (%), GSR is the average global solar radiation (MJ/m2/d), Rf is the cumulative rainfall (mm), and ETo is the cumulative reference evapotranspiration (mm). For all parameters, “10D” denotes the 10-day period preceding the satellite image acquisition date.
Table 4. Water quality parameters upstream and downstream in different years.
Table 4. Water quality parameters upstream and downstream in different years.
ParameterLocation10 October 201830 October 20199 October 2020
pHUpstream7.237.137.03
Downstream7.037.447.56
EC
(µs/cm)
Upstream11531672968
Downstream7931905914
C
(µs/cm)
Upstream9871480761
Downstream6721705815
RDO
(mg/L)
Upstream8.019.549.67
Downstream7.386.386.32
Sat DO
(%)
Upstream84.8102.694.8
Downstream77.569.568.0
Temp
(°C)
Upstream17.519.119.0
Downstream17.119.719.4
SS
(ppm)
Upstream7501090480
Downstream5161240590
S
(PSU)
Upstream0.580.850.63
Downstream0.390.980.45
R
(Ω cm)
Upstream10136761306
Downstream14845851228
The data correspond to measurements taken at two locations along the watercourse: the initial location (upstream) at N 39° 52′53.961′′/W 8° 53′26.482′′ and the final location (downstream) at N 39° 53′06.166′′/W 8°55′15.981′′. The parameters measured include pH, EC (electrical conductivity in µs/cm), C (conductivity related to dissolved ions in µs/cm), RDO (dissolved oxygen concentration in mg/L), Sat DO (dissolved oxygen in %), Temp (water temperature in °C), SS (suspended solid concentration in ppm), S (salinity in PSU), and R (resistance to electrical flow in Ω cm).
Table 5. Results of simple linear regression models between water quality parameters and the three vegetation indices (NDVI, EVI, and GCI). Data are organized by variables, with three rows per parameter in the order NDVI–EVI–GCI, enabling direct comparison of the indices’ performance. Values in bold indicate statistically significant or relevant results, specifically when both R2 > 0.7 and p-value < 0.05 or when the ANOVA p-value is <0.05.
Table 5. Results of simple linear regression models between water quality parameters and the three vegetation indices (NDVI, EVI, and GCI). Data are organized by variables, with three rows per parameter in the order NDVI–EVI–GCI, enabling direct comparison of the indices’ performance. Values in bold indicate statistically significant or relevant results, specifically when both R2 > 0.7 and p-value < 0.05 or when the ANOVA p-value is <0.05.
ParameterIndexMultiple RR2Standard Errorp-ValueCoef. X1F-ValueANOVA
p-Value
pHNDVI0.8520.7260.1290.0316.54010.6100.031
EVI0.8720.7610.1200.0002.32112.7200.023
GCI0.8140.6630.1430.0480.1947.8800.048
ECNDVI0.0160.000503.9880.23360.0180.0010.976
EVI0.0710.005502.7880.894385.6590.0200.894
GCI0.0890.008502.0530.86743.3760.0320.867
CNDVI0.0590.004472.7510.293205.9680.0140.911
EVI0.1070.011470.8660.840547.2050.0460.840
GCI0.1360.018469.1960.79862.1680.0750.798
RDONDVI0.9050.8190.7020.000−10.97118.1550.013
EVI0.8130.6610.9610.001−14.5057.8030.049
GCI0.9420.8860.5560.005−1.50331.2320.005
SAT DONDVI0.9280.8625.7720.000−105.75324.9340.008
EVI0.8310.6908.6440.001−139.2908.9020.041
GCI0.9410.8865.2470.005−14.12431.0210.005
TempNDVI0.2530.0641.1560.0012.2170.2730.629
EVI0.2970.0881.1410.0003.8310.3860.568
GCI0.1590.0251.1800.7630.1840.1040.763
SSNDVI0.0730.005354.1380.316190.9360.0220.890
EVI0.1160.013352.7070.231443.8500.0540.827
GCI0.1660.027350.1890.75456.8480.1130.754
SNDVI0.0660.0040.2550.182−0.1230.0170.902
EVI0.0020.0000.2560.1350.0050.0000.997
GCI0.0220.0010.2560.966−0.0060.0020.966
RNDVI0.0500.002400.4500.178−146.5560.0100.925
EVI0.1370.019397.1550.091−594.2630.0770.795
GCI0.1120.013398.4310.833−43.3600.0510.833
Disclaimer/Publisher’s Note: The statements, opinions and data contained in all publications are solely those of the individual author(s) and contributor(s) and not of MDPI and/or the editor(s). MDPI and/or the editor(s) disclaim responsibility for any injury to people or property resulting from any ideas, methods, instructions or products referred to in the content.

Share and Cite

MDPI and ACS Style

Ferreira, S.; Sánchez, J.M.; Gonçalves, J.M.; Eugénio, R.; Damásio, H. Monitoring Eichhornia crassipes and Myriophyllum aquaticum in Irrigation Systems Using High-Resolution Satellite Imagery: Impacts on Water Quality and Management Strategies. AgriEngineering 2025, 7, 151. https://doi.org/10.3390/agriengineering7050151

AMA Style

Ferreira S, Sánchez JM, Gonçalves JM, Eugénio R, Damásio H. Monitoring Eichhornia crassipes and Myriophyllum aquaticum in Irrigation Systems Using High-Resolution Satellite Imagery: Impacts on Water Quality and Management Strategies. AgriEngineering. 2025; 7(5):151. https://doi.org/10.3390/agriengineering7050151

Chicago/Turabian Style

Ferreira, Susana, Juan Manuel Sánchez, José Manuel Gonçalves, Rui Eugénio, and Henrique Damásio. 2025. "Monitoring Eichhornia crassipes and Myriophyllum aquaticum in Irrigation Systems Using High-Resolution Satellite Imagery: Impacts on Water Quality and Management Strategies" AgriEngineering 7, no. 5: 151. https://doi.org/10.3390/agriengineering7050151

APA Style

Ferreira, S., Sánchez, J. M., Gonçalves, J. M., Eugénio, R., & Damásio, H. (2025). Monitoring Eichhornia crassipes and Myriophyllum aquaticum in Irrigation Systems Using High-Resolution Satellite Imagery: Impacts on Water Quality and Management Strategies. AgriEngineering, 7(5), 151. https://doi.org/10.3390/agriengineering7050151

Article Metrics

Back to TopTop