Next Article in Journal
Environmental Covariates for Sampling Optimization and Pest Prediction in Soybean Crops
Previous Article in Journal
Mixing Data Cube Architecture and Geo-Object-Oriented Time Series Segmentation for Mapping Heterogeneous Landscapes
 
 
Font Type:
Arial Georgia Verdana
Font Size:
Aa Aa Aa
Line Spacing:
Column Width:
Background:
Article

Electronic Playback Devices to Reduce Ungulates’ Attendance in an Olive Grove Farm in the Province of Florence (Italy)

Department of Agriculture, Food, Environment and Forestry, University of Florence, Piazzale delle Cascine 18, 50144 Florence, Italy
*
Author to whom correspondence should be addressed.
AgriEngineering 2025, 7(1), 20; https://doi.org/10.3390/agriengineering7010020
Submission received: 19 November 2024 / Revised: 14 January 2025 / Accepted: 14 January 2025 / Published: 17 January 2025

Abstract

(1) Background: Human–wildlife conflict can lead to adverse consequences for both parties, particularly in areas with a high concentration of wild ungulates. Ungulates cause frequent, severe plant damage by stripping the bark or browsing on the youngest plants. In the latter case, they damage vegetative sprouts and leaves, which can cause a delay in growth or the plant’s death. Tuscany is notable for its significant population of wild boar, which cause substantial damage to vineyards and cereal crops, costing farmers millions annually. In Tuscany, given the highly cultivated landscape of olive trees, damage has also been recorded in these plants. Balancing human and wildlife needs is crucial for minimizing damage and ensuring coexistence. (2) Methods: This study tested innovative electronic playback devices using long-range radio technology (LoRa) to deter wild ungulates and prevent crop damage. These devices use sounds and lights to induce wild animals to be afraid and thus run away from the cultivated plot to be protected. The experiment was conducted on a farm in Chianti, Tuscany, involving four plots of land planted with olive trees: in two test areas, four playback devices and four camera traps were installed, and in the two control areas, only camera traps were installed. Playback devices aimed to deter wild ungulates and camera traps aimed to test their effectiveness. Data from the camera traps were analyzed statistically and behaviorally. (3) Results: Playback devices significantly reduced wild animal activity in the equipped areas. Statistical analysis revealed that the use of acoustic–luminous deterrent devices (PDs) significantly reduced wildlife visits to the olive groves. (4) Conclusion: The study’s findings, supported by heatmaps and frequency analyses, provide insights into wildlife activity patterns and guide the development of targeted, effective wildlife management strategies.

1. Introduction

The presence of wild ungulates, mainly wild boar, roe deer, red deer, and fallow deer, can exert substantial impacts on their surroundings, which can give rise to conflicts in landscapes dominated by human activities, such as agriculture [1]. Human–wildlife conflict encompasses the detrimental interactions between humans and wild animals, often leading to adverse consequences for both parties. Wild ungulates may cause substantial damage to crops, resulting in economic losses for farmers [2,3]. The excessive presence of wild ungulates impacts the environment by altering vegetation, soil, and wildlife behavior. Beyond agricultural damage, forestry damage from browsing and bark stripping is a growing concern across Europe [3].
Furthermore, in agriculture, wild boar impacts are repeatedly described as a continuously expanding problem [1,4]. Europe’s ungulate population is estimated at 19 million, with roe deer (54.4%), wild boar (22.8%), and red deer (14.4%) comprising 91.7% of the total. In terms of biomass, red deer account for 31.5%, followed by wild boar (25.2%) and roe deer (24.1%) [5]. In this context, Tuscany stands out as one of the European regions with the most significant concentration of wild boar. Here, where wild boar hunting is a part of cultural heritage, this problem is more evident because ungulate management aimed for decades to increase the abundance of this species for hunting purposes. As in the rest of Italy, there is no accurate estimate of the wild boar population, but it is possible to have an idea from last year’s hunting bag. Wild boar culled from 2015 to 2019 ranged from 70,384 to 96,042 per year, and approximately 30% of those were killed in Italy [6]. Ungulate damage, primarily by wild boar targeting vineyards and cereal crops, has risen significantly from 2000 to 2017, with annual farmer compensation exceeding EUR 2 million. Preventive measures now cost approximately EUR 500,000 annually [6]. In a study conducted on farms falling within the territorial hunting areas (THAs) of the Tuscany region, it emerges that, from 2010 to 2021, the percentage of damage caused by wild boar ranged from 51.2% in 2013 to 81% in 2020, while more generally damage from ungulates fluctuated from 82% in 2013 to 96% in 2021. The estimated cost of the damage suffered by the Tuscany region from ungulates was a minimum of EUR 1,067,308 in 2018 up to a maximum of EUR 3,192,765 in 2017. Between 2015 and 2021, Abruzzo and Piedmont recorded the highest level of wild boar damage in Italy, with costs of EUR 18 and EUR 17 million, respectively, followed by Campania and Lazio with over EUR 10 million [6]. Ungulates frequently cause severe plant damage, including bark stripping and browsing on young shoots and leaves, which can hinder growth or kill plants. In Tuscany, the widespread cultivation of olive trees has also suffered damage. While expanding ungulate populations in Europe exacerbate conflicts with human land use, they are vital to ecosystem functioning [2]. Addressing the problem of human–wildlife conflict and mitigating the impact of wild ungulates often require a combination of approaches. Balancing the needs of humans and wildlife is decisive in minimizing the damage and ensuring these species’ coexistence.
Possible solutions against ungulate damage to crops include implementing prevention methods. Prevention methods and tools aim to create “barriers”, which can be divided into physical and psychological barriers depending on the operating principle. In the first case, we are talking about structures aimed at constituting a physical impediment to damage or the free movement of animals or preventing them from entering the areas to be defended. These include traditional metal fences and shelters. In the second case, these are devices or substances that act on the senses of animals to modify their behavior [7]. This group includes chemical repellents (odor-based and taste-based), optical, acoustic, or ultrasonic deterrents, electrified fences, and virtual fencing. Traditional fences have been used throughout history to control the movements of animals and reduce the damage they might cause. Despite the clear benefits of fenced boundaries in species conservation for disease mitigation and generally protected area design and management, fences create an inflexible physical barrier that is difficult and often costly to erect and maintain [8,9]. Electrified fences, however, do not have the purpose of physically preventing the passage of animals but instead prevent them from crossing the protection due to the electric shock generated upon contact with the fence. This type of fence is efficient only if correctly designed, built, and managed over time [7]. Due to the expenses and constraints of constructing conventional and electrified fences, alternative management approaches have emerged to guide wildlife movement.
In contrast to traditional fences that rely on physical structures to modify animal behavior, some “virtual fences” employ different technologies to delimit enclosures, barriers, or boundaries on the landscape [10,11]. Chemical repellents are formulated using ingredients that trigger specific reactions (e.g., fear or pain) and work through mechanisms like taste, odor, or physical effects. Odor-based repellents, such as those mimicking predators (e.g., meat, blood, or urine), are particularly effective in reducing deer damage [12,13]. Playback devices, advanced electronic tools that emit sounds to trigger fear-based escape reactions, are increasingly used to guide wildlife behavior [14,15,16] and reduce feeding time in affected areas [16,17,18]. In addition to creating different distributions of wildlife, this approach is also interesting for managing species that are numerically difficult to control (for example, wild boar) and for citizens who increasingly require non-lethal methods to resolve these conflicts [1,14,15,16,19]. However, habituation could be one of the main limitations in using acoustic deterrents as a tool for effective wildlife management and preventing damage [18,19]. Habituation is closely connected to the time between sound reproduction and the aversive stimulus: discontinuity and sporadicity reduce the probability of habituation [18,19,20,21]. In several studies, although structured for different purposes, the effectiveness of PDs in scaring away various species of wildlife is confirmed, in most cases, ungulates, i.e., prey species that are very sensitive to acoustic stimuli that activate escape [20,21,22], especially if installed in protect small areas, generally not exceeding 2 ha, and for short periods [23].
This study aims to experiment with innovative playback devices using long-range radio technology (LoRa) as deterrent tools to prevent damage caused by wildlife in four parcels of land planted with olive trees on a farm in the Chianti area of Tuscany. The main goal was to verify if the olive groves in the two testing areas experienced less damage than the two checking areas without PDs. The other aim was to repel wild ungulates without causing them harm while simultaneously ensuring economic and financial sustainability and preserving landscape and agricultural features.

2. Materials and Methods

2.1. Study Area and Mapping

The study area was selected within the Chianti hills, a territory comprising a dense network of intensely cultivated farms, forest stands, terraced areas, rows of trees, and rural housing settlements. A landscape historically modified by humans, it has been affected by extensive conversions from olive groves to vineyards and from mixed systems to specialized viticultural systems in the last fifty years. The experimental area was identified within a farm, Fattoria Castelruggero Pellegrini (coordinates 32 T E 687,032 m, N 4,837,974 m), located in the Municipality of Bagno a Ripoli in the Province of Florence (Italy). From a climatic point of view, the hilly areas of Chianti are generally characterized by a temperate sub-Mediterranean climate; spring–summer 2023 was characterized by relatively high average temperatures, 23.9 °C from May–August, and average seasonal rainfall of 45 mm. In the autumn months of September–November, the average temperature was 18.2 °C, and the average precipitation was 98 mm of rain [24].
The farm’s production is based on olive growing, with mixed (2 ha) and intensive (23 ha) plantings, and on viticulture (Chianti Classico vineyards, 6 ha). The leading farm product is Chianti Classico Protected Designation of Origin (PDO) olive oil, the national and international flag of the farm, thanks to the various recognitions obtained. Hunting is an integrated activity in agricultural management, especially of pheasants, as it is a hunting farm focused on repopulating native species. In addition to the olive and wine-growing areas, the farm has very dense forest stands (70 ha) made up of mixed coppice forests of deciduous trees (predominantly thermophilic oak woods such as Quercus pubescens and Quercus cerris, as well as Ostrya carpinifolia, Fraxinus ornus, Sorbus domestica, Acer campestre, Castanea sativa, and Prunus avium) and coniferous trees (pine and cypress forests). The agro-forestry mosaic of the study area, typical of the Chianti hills, represents a complex and delicate territory, difficult to manage concerning wildlife, as the woods represent refuge and shelter areas, while valuable agricultural cultivations are trophic resources that are highly exploited by wild species.
Four different olive groves within the farm were selected, which had suffered severe damage from ungulate browsing in previous years. The four experimental areas were divided into two testing areas (A and B) and two checking areas (A and B). Prevention tools and camera traps have been installed in the testing areas to protect cultivation and control the behavior of wild animals. In contrast, only camera traps have been installed in the checking areas (Figure 1).
Specifically, testing area A represents an olive grove of approximately 1.20 ha, while checking area A is an olive grove of approximately 1.19 ha. Testing area B was created on a mature olive grove of approximately 1.50 ha while checking area B is a mature olive grove of approximately 1.40 ha.

2.2. Electronics: Playback Devices and Camera Traps

The prevention tools used are playback devices (PDs), the latest generation acoustic–luminous deterrents produced by CO.M.I.TEL (Ltd) (Cesena, Italy) that can reproduce aversive treatments, such as threatening vocalizations and/or high-frequency lighting (Figure 2a). With electronic operation, these devices provide passive modes of use, i.e., by timers (with programmable frequencies—from 30 min to 220 min) and active modes of use, i.e., triggered by animals passing in front of a passive infrared (PIR) sensor. A PIR sensor is an electronic device that detects the infrared light from objects in its field of view and is programmable for day/night and 24 h a day operation. In terms of PIR activation mode, a minimum time must be programmed between subsequent activations (recovery time); the recovery time ranges from 10 s to 60 s. The acoustic/luminous emissions can be also selected to work in a combined or distinct way, alternatively choosing acoustic or luminous dissuasion. The emissions of different sounds and noises produced by the PD in a randomized way and an indefinite number are collected in folders contained in a memory card prepared by the user. It will thus be possible to select the most efficient emissions in relation to the species and area of use. The device can be integrated with a Remote IP Cam system with different types of cameras for viewing in real time through the automatic switching on of the devices thanks to the long-range (LoRa) radio modules. Alternatively, the PDs can function as “stand-alone” units, communicating with other units up to 500 m away, always using the LoRa radio modules to amplify their range of action to create virtual fences. LoRa is a long-range, low-power wireless communication platform that implements many networks for IoT devices. It uses a free radio frequency (868 mHz in Europe), enabling long-range transmission and connectivity (over 10 km in rural areas) with low energy consumption [25]. The PD’s acoustic–luminous emission duration is programmable from 30 s to 3 min. Power is provided by an external 12 V battery rechargeable by a solar panel. The device is housed inside an IP68 polypropylene case, easily transportable and positionable on any vertical support (trees, poles, fences) by the rear fixing brackets. On the outside of the device, there are the compression speaker (1), the PIR sensor (2), and six high-power LED illuminators with white and blue lights (3). Inside, there are the power switch and volume–tone adjustment button (4), the electronic board with DIP switch programming and an electronic circuit in mp3 format with an SD card (5), the integrated power socket for the solar panel (6), and a 12-volt battery 7 A (7).
Unlike other devices for wildlife dissuasion, experimental PDs do not allow the programming of the sensitivity of the PIR sensor (low, medium, high) according to the environmental conditions present in the study area.
Camera traps (CTs—model Guard Micro 2), which can be activated by a PIR sensor with the same operating principle as PDs, were used to monitor wildlife behavior in front of the deterrent tools and inside the checking areas (Figure 2b). The camera traps acquire color images (30 MP, 16 MP, 3 MP) or videos (1920 × 1080, 1280 × 720, 640 × 480) with audio, or black and white night images/videos via integrated infrared LEDs (48 × 940 nm) in the system.
The CTs trigger a video-photographic recording every time the PIR detects movement in the surrounding environment (detection zone) up to a maximum of 15 m. The PIR sensitivity can be set according to four levels (high, standard, low, automatic) corresponding to increasing temperature ranges from <0 °C to >40 °C. In addition to the sensitivity parameter, it is possible to define the video length (5–60 s), the shooting numbers (1–9), the intervals between the shoots (recovery time) (1–60 s), and the response time (trigger time) (<1 s). Images or videos are stored on an SD card, up to a maximum capacity of 256 GB. Other essential technical components of the CT are the lens (f = 7.36 mm F/NO: 2.8, field of view = 55°, HOV = 42°) and the invisible blackout IR LEDs for night videos with a maximum detection zone of approximately 20 m. The hardware and software components are contained in an IP67 case, where the programming keyboard, the 2.4-inch HD screen, and the power supply made up of 6 slots for AA alkaline batteries (1.5 V) are housed. An external 6 V Pb battery can support the internal battery.
During PD and CT installation, the positioning of the devices from the ground (0.5–1.5 m) is very important, which must be determined according to the size of the target species to be monitored and the conformation of the area to be filmed to avoid false triggers due to the presence of heat sources or accidental movements of tree branches or bushes caused by the wind.

2.3. Experimental Procedure

The experimental period started on 5 May 2023 and ended on 24 November 2023, after the olive harvest. The testing and the checking areas were defined respectively based on areas intensely damaged by ungulates in previous years and opportunistically based on well-used trails and a high abundance of dung and tracks. Specifically, testing area A was delimited by 4 PDs positioned on the tops of trees of a mixed olive tree grove–vineyard of approximately 1.2 ha; a CT directed towards the instrument was installed in front of each PD to monitor the animals’ response to the devices, with a total of 4 CTs. Checking area A was instead created in an olive grove of approximately 1.19 ha, where 4 CTs were installed.
Testing area B was created on a mature olive grove of approximately 1.5 ha, installing 4 PDs and 4 CTs, while control area B, of approximately 1.40 ha, was monitored with the help of 4 CTs. Preliminary tests were carried out on PDs to select the suitable sound pressure produced by the speakers. Using a PCE-430 (1st class) sound level meter, the sounds of dogs, predators, shots, human screams, cars, and tractors were measured at a 1 m distance. Considering an average background noise of 20–40 dB (in the 9–10 p.m. time band) due to the presence of roads and an industrial settlement adjacent to area A, it was decided to set the mean sound pressure level of PDs at 60 dB at 1 m, to be distinctly audible within the detection zone of the CT sensor (15 m). It should also be noted that the devices were set for 24 h operation at the beginning of the testing. However, after the first two weeks of monitoring, the setting was changed to only the nighttime period (time band 7 p.m.–6 a.m.), given the wildlife’s predominantly twilight/nighttime behavior.
The PDs were set to be activated by PIR, i.e., when the animal passes in front of the sensor, and by a timer, set every 220 min. The devices were virtually connected to each other via radio modules; when the first device started, the other three were also activated (the mean distance between the PDs in area A was approximately 100 m, while in area B, slightly less than 100 m). The recovery time was less than 220 min. The potentially dangerous acoustic–luminous emission length has been limited to 20 s to avoid the habituation of wild animals. The CTs were programmed for overnight video recordings of 20 s with a recovery time of 5 s. The videos were downloaded every 15 days. Each device’s operational status and battery status were checked at the same time.

2.4. Processing of Camera Trap Data

The videos obtained through the camera traps were archived by day and time using the information present in each video. Subsequently, the video sequences were analyzed and classified by species to create a camera trap dataset of the events in the sample areas, and the maximum number of animals per species filmed in each video sequence was counted (Figure 3).
In managing the CT data, the protocol of Kelly and Holub (2008) was applied, which considers the passage of animals of the same species from the same CT within 30 min as the same event. This avoids counting animals of the same species attributable to the same event many times. On the contrary, after 30 min, the video sequences were considered as independent events.

2.5. Statistical Treatment of Data

Data were collected over a 7-month period from May to November. Each CT activation event corresponded to a capture, with each capture containing at least one animal. After each recorded capture, the number of animals was counted. The effect of the presence of PDs was then compared to their absence (control) in terms of the average number of animals counted per capture. This average count was used as the response variable in a generalized linear mixed model (GLMM) assuming a Poisson distribution, with PDs as a fixed effect (at two levels: presence or absence) and the areas (i.e., A and B) as a random effect. This model represents an expansion of the generalized linear model (GLM) in which the linear predictor contains random effects besides the common fixed effects. In particular, it extends linear mixed models to adjust non-continuous responses, such as binary responses or counts and non-normally distributed data. Similarly, the effects of species presence and seasonality on the average number of animals per capture were tested separately, with both treated as fixed factors.
All analyses were performed using JASP software (JASP Team, 2024, Version 0.18.3).

2.6. Crop Damage—Direct Field Observations

In addition to monitoring PDs by CTs, direct checks were carried out in the field to verify the possible presence of damage to the plants and fruits. The methods of carrying out the field checks did not include the creation of transects in the study areas, as these are areas of limited extension. For this reason, it was decided to carry out specific surveys on each plant through direct assessment of any wildlife damage every 15 days. The damage assessment procedure involves a direct estimate of the damaged plant in the field. First, the plant is considered in its entirety (100%), then divided into two parts if the damage is 50%, then into four if the damage is 25% of the plant, and so on down to smaller percentages.

3. Results

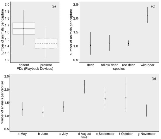
The locality (centering), spread, and skewness of the data for the average number of animals sighted per capture are graphically presented in Figure 4a. The results of the analysis of variance from the GLMM applied to the same data—using the average number of animals per capture as the dependent variable—are shown in Table 1. The effect of the PD factor was significant, with a p-value of 0.05, indicating a significantly higher mean number of animals per capture when PDs were absent (mean: 1.68, standard error: 0.08) compared to when they were present (mean: 1.45, standard error: 0.05).
Interestingly, as shown in Figure 4b, animal visitations followed a seasonal pattern, increasing from late spring to a peak in late summer, then decreasing until November. The most frequently captured species was wild boar (Figure 4c). However, according to Table 1, the effects of species presence and seasonal variation were only weakly significant, with p-values of 0.08 for species and 0.17 for seasonal variation.
Mapping the total density of species events in a raster environment to the olive grove using the Heatmap plugin of QGIS software (version 3.34.13 Prizren) identified the hotspots frequented by wildlife. Since the locations of the CTs in the experimental areas had been georeferenced, the Heatmap plugin provided a graphical representation of animal visitation in the experimental areas (Figure 5).
The Heatmap plugin was helpful because it computed the density of recorded input points in a given location, with greater density values corresponding to larger numbers of clustered points. A density raster created using kernel density estimation (KDE) represents the estimated density of points or events in each space. This made it straightforward to recognize clustered points and relevant hotspots. According to Figure 5a, the heatmaps of area A highlighted hotspots attributable to intermediate heat class 5 for the CT positioning sites 2, 3, and 6, while for the other sites, the concentration values of the raster cells ranged between classes 2 and 4, indicating less attendance. In the case of area B (Figure 5b), the CT positioning sites with the highest frequency were 18 (class 10), 13 (class 7), and 15 (class 5), while the other sites had raster cell values between 2 and 3, indicating a potentially reduced incidence of damage.
Species frequencies were also studied based on the seasonal period to understand the olive grove’s critical phase and intensify prevention systems.
The graphs in Figure 6a, which display species frequencies in testing areas A and B, show that wild animals visited the olive grove almost continuously from late spring to late autumn. Roe deer activity peaked in July, October, and November, while wild boar activity was highest in August and September.
For wild boar, a distribution resembling a Gaussian curve was observed in both the testing and control areas (Figure 6a,b). Presence increased steadily from May, peaked in August, and then declined through November.
The monthly activity patterns of roe deer differed. In the testing areas (Figure 6a), their activity was highest in June and July, decreased between August and September, and rose again during fruit ripening. In the control areas (Figure 6b), roe deer activity was minimal in June, July, and October but peaked in August, September, and November.
Fallow deer and red deer showed occasional absences, particularly in the control areas. This is likely due to their larger home ranges and non-territorial behavior, unlike the roe deer [26]. There was a peak in August attributable to wild boar in both testing and checking areas, with an apparent numerical difference: 95 in the testing areas and 220 in the checking areas. The wild boar frequency in the checking areas was reduced by more than a third in September.
The graph in Figure 7 shows wildlife behavior in both testing areas A and B. The investigated species, especially roe deer and wild boar, tended to run away (55 and 69 events, respectively) when faced with the PD’s acoustic–luminous emission. However, there were situations where the animals continued grazing, rooting, or transiting in front of the devices without running away (106 events total). Browsing events on olive trees were rare in the testing and checking areas. In the checking areas, the prevalent behavior of the wild animals was to graze in front of the CTs, not being disturbed by the sound emissions of the PDs.
Field checks did not include creating transects in the study areas, as these were areas of limited extension. Specific surveys on each plant through direct assessment of any wildlife damage were conducted every 15 days. Throughout the experiment’s duration, no damage occurred to the plants or produce until the fruit maturation stage. However, estimating the damage before the olive harvest, a phase more susceptible to wildlife damage, browsing damage occurred moderately.
Despite this damage, it did not significantly impact on the olive grove’s productivity, with a total loss of production from the damaged plants estimated at 20%. Given the average yield is 4 kg per plant, the total production of the olive groves was approximately 45 quintals (total number of plants × 4 kg yield per plant), with an estimated 8 kg of olives lost due to browsing damage (20% of production per damaged plant), as shown in Table 2.

4. Discussion

Escalating human–wildlife conflict, particularly concerning the damage caused by wild ungulates to agricultural and forestry activities, poses significant challenges across Europe. This study focused on the Chianti region of Tuscany and addresses the pressing issue of ungulate damage to olive groves, a critical agricultural resource in the area.
The analysis of variance, performed by the GedLMM method, revealed key insights into the factors influencing wildlife visitation in olive groves.
Specifically, the study showed that protective devices (PDs) significantly reduced wildlife visits to olive groves. However, seasonal visitation patterns and species behavior differences were not statistically significant. Wild boar showed higher visitation rates, approaching significance, suggesting they are a major factor. The effect of species presence seems more pronounced due to the high visitation rates of wild boar, with a p-value of 0.08, indicating it is close to significance.
The use of the Heatmap plugin in QGIS provided a powerful visual tool for identifying hotspots of wildlife activity within the olive groves. These hotspots highlight areas at greater risk of damage, helping guide focused prevention measures. The kernel density estimation used in creating the heatmaps allows for an intuitive understanding of spatial patterns in wildlife activity, which is essential for effective management and conservation efforts.
The analysis of species activity throughout the seasons highlights the importance of considering timing in wildlife management. Patterns like the Gaussian distribution of wild boar activity and the varying peaks for other species show that management strategies need to adjust to seasonal changes. For instance, stronger preventive measures might be required during periods of increased wildlife activity to safeguard the olive groves from damage.
Observations in the testing areas showed that acoustic and light emissions from PDs were effective in deterring wildlife, especially roe deer and wild boar. However, their effectiveness was inconsistent, as some animals continued their activities despite the emissions. This indicates that while PDs are useful for reducing wildlife damage, they should be combined with other strategies, such as habitat modifications, exclusion methods, and additional deterrents, as part of a comprehensive management approach.
The absence of significant damage to the plants or produce during the experiment, except for minor browsing damage before the olive harvest, indicates that the implemented management strategies were largely effective. The estimated 8 kg loss in production of the total 45 q due to browsing damage highlights the potential impact of wildlife on agricultural productivity, emphasizing the need for ongoing monitoring and adaptive management to mitigate these effects.
Overall, the study highlights the complexity of managing wildlife in agricultural areas and the need to consider various factors, such as location, seasonal changes, and species-specific behaviors. The findings offer valuable guidance for enhancing wildlife management strategies in olive groves and similar agricultural environments.

5. Conclusions

Human–wildlife conflict, especially from wild ungulates damaging agriculture and forestry, is a major issue in Europe. This study in Tuscany’s Chianti region addresses significant economic losses (over EUR 2 million annually) to olive groves caused by wild boar, roe deer, and red deer. It emphasizes the need for effective management to balance human needs and wildlife preservation. The study explores non-lethal deterrents, specifically playback devices using long-range radio technology (LoRa).
The study, using camera traps and field observations, shows that PDs significantly reduce wildlife activity, particularly in olive groves. Analysis with the GedLMM method confirmed a reduction in wildlife visits. Heatmaps generated with QGIS identified high-risk areas, guiding targeted management. Acoustic–luminous PDs were effective against roe deer and wild boar, though their efficacy varied among individuals, indicating the need for complementary management strategies like habitat modification and exclusion techniques.
For better management in areas with intense human activity, fear emissions like dog barks and predator sounds (especially wolves) are preferred over anthropic noises like machinery or human voices. Repeated exposure to a disturbance without a concrete threat can lead to habituation problems and poor response in wild animals [18,19,20,21,23]. To reduce the phenomenon of habituation, in addition to varying the type of stimulus, it is also necessary to adjust the temporal frequency of the disturbance, which should be scheduled during the most critical periods of production to be protected (sprouting, flowering, and pre-harvest) [18,19]; in addition, since habituation is closely related to the time between sound reproduction and the aversive stimulus, it is necessary to reduce the discontinuity and sporadicity of stimuli [18,19,20,21].
The research group is developing future advancements, including integrating PIR sensors and AI for image recognition and species labeling in CTs and PDs. This will reduce false positives and alarms, with a pre-training phase to enhance object detection accuracy using animal imagery datasets. This study contributes to addressing human–wildlife conflicts through innovative, non-lethal methods, aligning with the growing demand for ethical, environmentally friendly wildlife management. It lays the foundation for future efforts to promote coexistence between humans and wild ungulates in agricultural landscapes.

Author Contributions

L.C., P.M. and A.P.; methodology, L.C., G.A., S.C., V.R. and P.M.; software, L.C., G.A., S.C., F.C. and P.M.; validation, L.C., P.M. and A.P.; formal analysis, L.C., G.A., C.S. and P.M.; investigation, L.C., G.A., C.S., F.C., V.R., A.S. and F.G.P.; resources, L.C., P.M. and A.P.; data curation, L.C., G.A., C.S., S.C., F.C., V.R. and P.M.; writing—original draft preparation, L.C., G.A., C.S., P.M. and V.R.; writing—review and editing, L.C., G.A., C.S., P.M., F.C., A.S. and F.G.P.; visualization, L.C., P.M. and A.P.; supervision L.C., P.M. and A.P.; funding acquisition, A.P. All authors have read and agreed to the published version of the manuscript.

Funding

Funding for this work was provided by the European Agricultural Fund for Rural Development through the Rural Development Plan 2014–2020 of the Tuscany Region, specifically under sub-measure 16.2, within the project titled “Innovations for Tuscan Olive Farming”.

Data Availability Statement

Data are contained within the article.

Conflicts of Interest

The authors declare no conflicts of interest.

References

  1. Reimoser, F.; Putman, R. Impacts of wild ungulates on vegetation: Costs and benefits. In Ungulate Management in Europe: Problems and Practices; Cambridge University Press: Cambridge, UK, 2011; pp. 144–191. [Google Scholar] [CrossRef]
  2. Linnell, J.D.; Cretois, B.; Nilsen, E.B.; Rolandsen, C.M.; Solberg, E.J.; Veiberg, V.; Kaczensky, P.; Van Moorter, B.; Panzacchi, M.; Rauset, G.R.; et al. The challenges and opportunities of coexisting with wild ungulates in the human-dominated landscapes of Europe’s Anthropocene. Biol. Conserv. 2020, 244, 108500. [Google Scholar] [CrossRef]
  3. Carpio, A.J.; Apollonio, M.; Acevedo, P. Wild ungulate overabundance in Europe: Contexts, causes, monitoring and management recommendations. Mamm. Rev. 2021, 51, 95–108. [Google Scholar] [CrossRef]
  4. Apollonio, M.; Andersen, R.; Putman, R. Present status and future challenges for European ungulate management. In European Ungulates and Their Management in the 21st Century; Cambridge University Press: Cambridge, UK, 2010; pp. 578–604. [Google Scholar]
  5. Apollonio, M. L’evoluzione della distribuzione e consistenza degli ungulati in Europa. Atti Accad. Georg. 2017, 14, 7–18. [Google Scholar]
  6. Banti, P.; Mazzarone, V.; Mattioli, L.; Ferretti, M.; Lenuzza, A.; Lopresti, R.; Zaccaroni, M.; Taddei, M. A Step Change in Wild Boar Management in Tuscany Region, Central Italy. In Managing Wildlife in a Changing World, 115; IntechOpen: London, UK, 2021. [Google Scholar]
  7. Capaccioli, A.; Racanelli, V.; Sorbetti Guerri, F. La difesa dai danni provocati dalla fauna selvatica. In Realizzazione e Gestione Delle Recinzioni Elettriche; Aracne: Rome, Italy, 2017; p. 143. ISBN 978-88-548-9945-2. [Google Scholar]
  8. Hayward, M.W.; Kerley, G.I.H. Fencing for conservation: Restriction of evolutionary potential or a riposte to threatening processes? Biol. Conserv. 2009, 142, 1–13. [Google Scholar] [CrossRef]
  9. Jachowski, D.S.; Slotow, R.; Millspaugh, J.J. Good virtual fences make good neighbors: Opportunities for conservation. Anim. Conserv. 2014, 17, 187–196. [Google Scholar] [CrossRef]
  10. Lee, C.; Campbell, D.L.M. A Multi-Disciplinary Approach to Assess the Welfare Impacts of a New Virtual Fencing Technology. Front. Vet. Sci. 2021, 8, 637709. [Google Scholar] [CrossRef]
  11. Goliński, P.; Sobolewska, P.; Stefańska, B.; Golińska, B. Virtual Fencing Technology for Cattle Management in the Pasture Feeding System—A Review. Agriculture 2023, 13, 91. [Google Scholar] [CrossRef]
  12. Gulsby, W.D.; Cherry, M.J.; Johnson, J.T.; Conner, L.M.; Miller, K.V. Behavioral response of white-tailed deer to coyote predation risk. Ecosphere 2018, 9, e02141. [Google Scholar] [CrossRef]
  13. Guerisoli, M.d.L.M.; Pereira, J.A. Deer damage: A review of repellents to reduce impacts worldwide. J. Environ. Manag. 2020, 271, 110977. [Google Scholar] [CrossRef] [PubMed]
  14. Cromsigt, J.P.; Kuijper, D.P.; Adam, M.; Beschta, R.L.; Churski, M.; Eycott, A.; Kerley, G.I.; Mysterud, A.; Schmidt, K.; West, K. Hunting for fear: Innovating management of human-wildlife conflicts. J. Appl. Ecol. 2013, 50, 544–549. [Google Scholar] [CrossRef]
  15. Garvey, P.M.; Banks, P.B.; Suraci, J.P.; Bodey, T.W.; Glen, A.S.; Jones, C.J.; McArthur, C.; Norbury, G.L.; Price, C.J.; Russell, J.C.; et al. Leveraging Motivations, Personality, and Sensory Cues for Vertebrate Pest Management. Trends Ecol. Evol. 2020, 35, 990–1000. [Google Scholar] [CrossRef] [PubMed]
  16. Gaynor, K.M.; Cherry, M.J.; Gilbert, S.L.; Kohl, M.T.; Larson, C.L.; Newsome, T.M.; Prugh, L.R.; Suraci, J.P.; Young, J.K.; Smith, J.A. An applied ecology of fear framework: Linking theory to conservation practice. Anim. Conserv. 2021, 24, 308–321. [Google Scholar] [CrossRef]
  17. Kuijper, D.P.J.; Verwijmeren, M.; Churski, M.; Zbyryt, A.; Schmidt, K.; Jedrzejewska, B.; Smit, C. What cues do ungulates use to assess predation risk in dense temperate forests? PLoS ONE 2014, 9, e84607. [Google Scholar] [CrossRef] [PubMed]
  18. Zanette, L.Y.; Clinchy, M. Ecology and Neurobiology of Fear in Free-Living Wildlife. Annu. Rev. Ecol. Evol. Syst. 2020, 51, 297–318. [Google Scholar] [CrossRef]
  19. Blumstein, D.T. Habituation and sensitization: New thoughts about old ideas. Anim. Behav. 2016, 120, 255–262. [Google Scholar] [CrossRef]
  20. Almås, P. Use of Sound Stimuli to Elicit a Change in Moose (Alces alces) and Red Deer (Cervus elaphus) Behaviour. Master’s Thesis, Norwegian University of Life Sciences, Ås, Norway, 2021. [Google Scholar]
  21. Lodnert, D. Evaluating the Behavioural Response of Moose (Alces alces) to Acoustic Stimuli. Master’s Thesis, Swedish University of Agricultural Sciences, SLU, Uppsala, Sweden, 2021; p. 44. [Google Scholar]
  22. Widén, A.; Clinchy, M.; Felton, A.M.; Hofmeester, T.R.; Kuijper, D.P.; Singh, N.J.; Widemo, F.; Zanette, L.Y.; Cromsigt, J.P. Playbacks of predator vocalizations reduce crop damage by ungulates. Agric. Ecosyst. Environ. 2022, 328, 107853. [Google Scholar] [CrossRef]
  23. Conti, L.; Bartolozzi, S.; Iacobelli, S.; Racanelli, V.; Guerri, F.S. Alarm guard systems for the prevention of damage produced by ungulates in a chestnut grove of Middle Italy. Agron. Res. 2018, 16, 679–687. [Google Scholar] [CrossRef]
  24. Lamma, C. AUTUNNO Report 2023; Zenodo: Florence, Italy, 2023. [Google Scholar] [CrossRef]
  25. Sanchez-Iborra, R.; Sanchez-Gomez, J.; Ballesta-Viñas, J.; Cano, M.-D.; Skarmeta, A.F. Performance Evaluation of LoRa Considering Scenario Conditions. Sensors 2018, 18, 772. [Google Scholar] [CrossRef] [PubMed]
  26. Morellet, N.; Bonenfant, C.; Börger, L.; Ossi, F.; Cagnacci, F.; Heurich, M.; Kjellander, P.; Linnell, J.D.C.; Nicoloso, S.; Sustr, P.; et al. Seasonality, weather and climate affect home range size in roe deer across a wide latitudinal gradient within Europe. J. Anim. Ecol. 2013, 82, 1326–1339. [Google Scholar] [CrossRef] [PubMed]
Figure 1. (a) Camera Traps (CTs) and Playback Devices (PDs) placed in testing and checking area A; (b) CTs and PDs placed in testing and checking area B; (c) Installation of a PD in the olive grove; (d) Geographical location of the study area.
Figure 1. (a) Camera Traps (CTs) and Playback Devices (PDs) placed in testing and checking area A; (b) CTs and PDs placed in testing and checking area B; (c) Installation of a PD in the olive grove; (d) Geographical location of the study area.
Agriengineering 07 00020 g001
Figure 2. Playback device (a) components: Speaker (1), PIR sensor (2), six high-power LED illuminators (3), power switch and volume–tone adjustment button (4), DIP switch programming and electronic circuit in mp3 with SD card slot (5), integrated socket for solar panel (6), 12-volt battery (7). Camera trap (b) components: PIR sensor (1), LED indicator (2), lens (3), IR LED (4), display screen (5), SD card slot (6), on/off switch (7), operation buttons (8), battery case (9).
Figure 2. Playback device (a) components: Speaker (1), PIR sensor (2), six high-power LED illuminators (3), power switch and volume–tone adjustment button (4), DIP switch programming and electronic circuit in mp3 with SD card slot (5), integrated socket for solar panel (6), 12-volt battery (7). Camera trap (b) components: PIR sensor (1), LED indicator (2), lens (3), IR LED (4), display screen (5), SD card slot (6), on/off switch (7), operation buttons (8), battery case (9).
Agriengineering 07 00020 g002
Figure 3. Wild boar (a) and Roe deer (b) captured by camera traps while playback devices were operating.
Figure 3. Wild boar (a) and Roe deer (b) captured by camera traps while playback devices were operating.
Agriengineering 07 00020 g003
Figure 4. Number of animals sighted per capture (dependent variable) distributed over the GedLMM main effect of playback devices (PDs) (a), seasonal pattern (b), and attending species (c) s.
Figure 4. Number of animals sighted per capture (dependent variable) distributed over the GedLMM main effect of playback devices (PDs) (a), seasonal pattern (b), and attending species (c) s.
Agriengineering 07 00020 g004
Figure 5. (a) Heatmap of events in testing and checking areas A; (b) Heatmap of events in testing and checking areas B.
Figure 5. (a) Heatmap of events in testing and checking areas A; (b) Heatmap of events in testing and checking areas B.
Agriengineering 07 00020 g005
Figure 6. (a) Monthly frequencies by species in testing areas A and B; (b) Monthly frequencies by species in checking areas A and B.
Figure 6. (a) Monthly frequencies by species in testing areas A and B; (b) Monthly frequencies by species in checking areas A and B.
Agriengineering 07 00020 g006
Figure 7. Wildlife behavior in testing areas A and B.
Figure 7. Wildlife behavior in testing areas A and B.
Agriengineering 07 00020 g007
Table 1. Output of the analysis of variance of the generalized linear mixed model (GLMM), with the PDs, season pattern, or attending species considered as fixed factors, separately.
Table 1. Output of the analysis of variance of the generalized linear mixed model (GLMM), with the PDs, season pattern, or attending species considered as fixed factors, separately.
EffectDfChiSquarep
PDs13.790.05
Attending species36.8430.08
Season pattern68.9870.17
Table 2. Number of plants damaged by browsing and percentage of damage.
Table 2. Number of plants damaged by browsing and percentage of damage.
AreaN° of PlantsProductivity
(kg)
Plants
Damaged
by Browsing
% of
Damage
Olive Lost Productivity (kg)
Testing A11044021.81.6
Checking A17068031.762.4
Testing B425170051.14
Checking B4101640000
Total11154460104.668
Disclaimer/Publisher’s Note: The statements, opinions and data contained in all publications are solely those of the individual author(s) and contributor(s) and not of MDPI and/or the editor(s). MDPI and/or the editor(s) disclaim responsibility for any injury to people or property resulting from any ideas, methods, instructions or products referred to in the content.

Share and Cite

MDPI and ACS Style

Conti, L.; Angeloni, G.; Masella, P.; Sottili, C.; Corti, F.; Camiciottoli, S.; Racanelli, V.; Spadi, A.; Garbati Pegna, F.; Parenti, A. Electronic Playback Devices to Reduce Ungulates’ Attendance in an Olive Grove Farm in the Province of Florence (Italy). AgriEngineering 2025, 7, 20. https://doi.org/10.3390/agriengineering7010020

AMA Style

Conti L, Angeloni G, Masella P, Sottili C, Corti F, Camiciottoli S, Racanelli V, Spadi A, Garbati Pegna F, Parenti A. Electronic Playback Devices to Reduce Ungulates’ Attendance in an Olive Grove Farm in the Province of Florence (Italy). AgriEngineering. 2025; 7(1):20. https://doi.org/10.3390/agriengineering7010020

Chicago/Turabian Style

Conti, Leonardo, Giulia Angeloni, Piernicola Masella, Caterina Sottili, Ferdinando Corti, Stefano Camiciottoli, Veronica Racanelli, Agnese Spadi, Francesco Garbati Pegna, and Alessandro Parenti. 2025. "Electronic Playback Devices to Reduce Ungulates’ Attendance in an Olive Grove Farm in the Province of Florence (Italy)" AgriEngineering 7, no. 1: 20. https://doi.org/10.3390/agriengineering7010020

APA Style

Conti, L., Angeloni, G., Masella, P., Sottili, C., Corti, F., Camiciottoli, S., Racanelli, V., Spadi, A., Garbati Pegna, F., & Parenti, A. (2025). Electronic Playback Devices to Reduce Ungulates’ Attendance in an Olive Grove Farm in the Province of Florence (Italy). AgriEngineering, 7(1), 20. https://doi.org/10.3390/agriengineering7010020

Article Metrics

Back to TopTop