Abstract
Considerable variation in soil often occurs within and across production fields, which can significantly impact farming input management strategies. Optimizing resource utilization while enhancing crop productivity is critical for achieving Sustainable Development Goals (SDGs). This paper proposes a low-cost retrofittable Variable Rate Applicator Controller (VRAC) designed to leverage soil variability and facilitate the adoption of Variable Rate Technologies. The controller operates using a Raspberry Pi platform, RTK—Global Navigation Satellite System (GNSS), a stepper motor, and an anti-slip wheel encoder. The VRAC allows precise, on-the-fly control of the Variable Rate application of farming inputs utilizing an accurate GNSS to pinpoint geographic coordinates in real time. A wheel encoder measures accurate distance travel, providing a real-time calculation of speed with a slip-resistant wheel design for precise RPM readings. The Raspberry Pi platform processes the data, enabling dynamic adjustments of variability based on predefined maps, while the motor driver controls the motor’s RPM. It is designed to be plug-and-play, user-friendly, and accessible for a broader range of farming practices, including seeding rates, dry fertilizer, and liquid fertilizer application. Data logging is performed from various field sensors. The controller exhibits an average of 0.864 s for rate changes from 267 to 45, 45 to 241, 241 to 128, 128 to 218, and 218 to 160 kg/ha at speeds of 8, 11, 16, 19, 24, and 32 km/h. It has an average coefficient of variation of 4.59, an accuracy of 97.17%, a root means square error (RMSE) of 4.57, an R square of 0.994, and an average standard deviation of 1.76 kg for seeding discharge. The cost-effectiveness and retrofitability of this technology offer an increase in precision agriculture adoption to a broader range of farmers and promote sustainable farming practices.
1. Introduction
Precision agriculture (PA) involves collecting, analyzing, and taking actions based on site-specific data [1,2]. With the world’s population projected to reach 8.7 billion by 2050 [3,4], feeding more people is a great challenge for the agriculture–food industry [5], and the question is, how can the same size of land feed a significantly higher population? PA can help the agricultural sector meet increasing demand for food products while also assisting farmers improve efficiencies through reduced input costs [6]. PA technologies such as Variable Rate Application (VRA) can improve resource management through the precise application of inputs, such as seeding [7], fertilizer [8], irrigation [9], lime, and pesticides [10], leading to more efficient agricultural production [6].
VRA can be considered as the backbone to implementing climate protection and economic benefits [11]. VRA ensures precise input application, reducing waste and environmental pollution [12,13,14,15,16,17]. It lowers nutrient runoff and greenhouse gas emissions [18], safeguarding water bodies and enhancing biodiversity and the atmosphere [19]. Economically, VRA cuts farmers’ costs by optimizing input use [20,21,22,23,24]. It also promotes soil health by preventing excess nutrient buildup and enhancing crop yields. VRA’s adaptability to climate conditions and reliance on advanced technologies for data-driven decisions make it indispensable for sustainable agricultural practices [4]. This study focuses on emphasizing the necessity of affordable Variable Rate practices for small and medium-scale farmers. Several global initiatives can benefit from Variable Rate Technology (VRT), particularly Zero Hunger (SDG 2), which sees improvements in agricultural productivity and reductions in crop yield losses due to precise input applications. Additionally, Clean Water and Sanitation (SDG 6) is supported by VRT’s ability to significantly reduce runoff and leaching, thereby protecting water sources and promoting sustainable water management practices. Moreover, Climate Action (SDG 13) benefits from VRT’s optimization of input use, which not only reduces the carbon footprint of agricultural practices but also enhances soil carbon sequestration, highlighting the essential role of innovative technologies in tackling climate change [25]. In a study conducted by Schimmelpfennig (2018) on 750,000 soybean fields, the analysis compared fertilizer costs per acre between farms utilizing Variable Rate Technology on high and low soil variability, using the productive variability of the soil approximated using the National Commodity Crop Productivity Index (NCCPI) normalized between 0 and 1; results reveal that farms with low soil variability incurred fertilizer costs of USD 54.73 per acre, while those with high soil variability had costs of USD 2.75 per acre for custom application as shown in Figure 1. This significant difference in cost margins highlights the impact of Variable Rate Technology on fertilizer expenses across different soil conditions [20].
Figure 1.
Fertilizer cost with and without VRT for low and high soil variability.
While VRT has been available since the 1990s, only 27 percent of United States farms have used Variable Rate practices to manage crops, based on 2023 (USDA) reporting. Moreover, 19 percent of farmers are adopting the technology, while 28 percent of cropland are using the technology [4]. This suggests that farmers who have adopted the technology may be managing larger areas of cropland compared with others. In other words, the technology is being used more extensively by farmers who have adopted it, covering a significant portion of the available cropland. It also implies that larger or more intensive farming operations are more likely to adopt and implement the technology on a wider scale. However, these machines equipped with VRT are usually expensive, and the high costs of available VRT for today’s planters and the need for personnel with advanced knowledge to operate and maintain them [26] are barriers to their adoption by smallholder farmers [12].
Adoption challenges, such as the high costs of VRT equipment and the need for specialized knowledge to operate and maintain these systems, particularly hinder smallholder farmers from fully utilizing these technologies. Despite these challenges, the adoption of VRT has continued to grow, particularly among larger-scale farming operations. Since 1998, corn planted acres have increased from 80.8 million to 91.5 million acres in 2024. The adoption of VRT in corn fields saw a steady increase, from 5.6 million acres to reaching approximately 35 million acres in 2016. For wheat, planted acres have decreased from 65.8 million in 1998 to 47.2 million in 2024, with VRT adoption growing steadily until 2017, reaching only 8.5 million acres. Soybean planted acres have increased from 72.7 million in 1998 to 86.4 million in 2024, with VRT adoption steadily rising from 4.8 million acres to approximately 21 million acres until 2020 [18,27], as described in Figure 2.
Figure 2.
Planted acres vs. adoption rate of VRT.
The integration of PA technologies, such as remote sensing and phenotyping, with VRA enhances real-time, large-scale monitoring and precise management of crop health and field conditions. Remote sensing technologies, including satellite imagery, drones, and aerial sensors, capture detailed data on factors like soil moisture, nutrient levels, and crop vigor, enabling VRA systems to optimize the application of inputs like water, fertilizers, and pesticides [28]. Simultaneously, phenotyping technologies collect detailed data on crop traits like plant height, biomass [29], leaf area, and stress indicators [30], offering insights into spatial variability within a field. This integrated, data-driven approach enables VRA systems to customize inputs based on the specific needs of different areas, optimizing resource use.
Several studies on developing affordable VRT have laid the groundwork for further innovations in precision agriculture aimed at reducing costs for smallholder farmers. A study by Coelho et al. (2020) focused on building a low-cost Variable Rate controller implemented on a one-row manual planter. Utilizing a direct current electric motor controlled by a BeagleBone Black single-board computer, the system was tested with maize seeds across different management zones. The controller adjusted planting density to match a prescribed seeding map, demonstrating the feasibility of using low-cost components (USD 337.97 total) for precision planting suitable for smallholder farmers [22]. Another attempt was made by Mirzakhaninafchi et al. (2021) to develop a Variable Rate fertilizer applicator designed to detect real-time nitrogen deficiencies within fields and apply fertilizer accordingly. The system utilizes a microcontroller that receives signals from an N sensor and adjusts a pulse-width modulation valve to vary the rotational speed of a hydraulic motor at an approximate cost of USD 700 [31].
In 2024, the predicted nitrogen fertilizer consumption for U.S. corn fields, based on linear regression interpolation using data from USDA and NASS Surveys in 2003, 2005, 2010, 2014, 2016, 2018, and 2021, is estimated at 5.675 million tons, with 295,000 tons for South Dakota [32]. The projected corn production is 6.896 million tons for the U.S. and 389,000 tons for South Dakota, as described in Figure 3 and Figure 4. Using average 2024 prices of USD 0.171/kg for corn and USD 0.51/kg for nitrogen fertilizer [32], the potential economic benefits of the VRAC, developed at South Dakota State University, Department of Plant Science, Digital Agriculture Lab (SDSU-VRAC), through a 5–15% yield increase and a 5–20% reduction in fertilizer use, are estimated to range from USD 144 million to USD 694 million for the U.S. and USD 7.5 million to USD 36.5 million for South Dakota.
Figure 3.
United States produced corn and consumed nitrogen fertilizer from 2003 to 2024.
Figure 4.
South Dakota produced corn and consumed nitrogen fertilizer from 2003 to 2024.
The current mechanisms of VRT controllers often rely on pulse-width modulation (PWM) signals to control direct current (DC) actuators [33]. This approach can introduce time delays in converting input signals from in-field sensors or GNSS data to the output actuator. Additionally, some VRT systems use Programmable Logic Controllers (PLCs) as the main processor [34]. However, integrating PLCs into agricultural practices can be challenging to modulate, as these controllers were originally designed for industrial environments, where they perform optimally indoors rather than in outdoor farming conditions. Additionally, new applicators lacking VRT features are being manufactured and sold today in the United States, for example, John Deer 1590 No-Till Drill (John Deer, USA), Agromaster Seed Drills, Landoll 5000 Series Grain Drill, and Gandy OribitAir air seeder. This equipment, when purchased new, is expected to operate in perfect condition at 25,000 acres, without VRT. Usually, the cost of investing in machinery becomes “locked in” as soon as the investment is made, meaning when the machinery is bought, the money spent is fixed and cannot be recovered, making it a committed cost [27]. Hence, the objective of this research is to develop and evaluate a retrofittable VRAC on an existing applicator unit to utilize environment variation and existing machines and help increase VRT adoption.
2. Materials and Methods
2.1. System Design and Specifications
The design requirements for the SDSU-VRAC are detailed across several critical components, each with specific needs. The modification of a planter unit should facilitate seamless integration with the actuator and feedback sensors. The development of the VRAC necessitates a rapid response time to dynamically adjust seeding rates based on real-time data inputs. Calibration and performance evaluation are essential, requiring high calibration precision to ensure the controller’s accuracy and reliability under diverse field conditions.
2.1.1. Modification of a Planter Unit
A retrofittable variable rate controller was designed and tested on a four-row Gandy (Owatonna, MN, USA)—Model P454WP12—45-pound feed additive applicator with four outlets, shown in Figure 5a. The Gandy modification consists of modifying four metering seeding wheels, adding a NEMA 23 stepper motor with 3 N.M torque chained with a sprocket with a 1:2 reduction ratio to the main metering shaft, an incremental wheel encoder for seeding discharge feedback Figure 5b, and a ground-driven anti-slip encoder wheel to drive the electric motor, as shown in Figure 5c. Component, specifications, and prices of the Variable Rate Controller are describes in Table 1.
Figure 5.
Development of SDSU-VRAC: (a) represents the development and testing of the SDSU-VRAC, (b) the modification of the Gandy four-row unit, and (c) testing of the anti-slippage wheel.
Table 1.
Component, Specifications, and Prices of the Variable Rate Controller.
2.1.2. System Block Diagram
The diagram represents the SDSU-VRAC system design, shown in Figure 6. It comprises the inputs: GNSS for field positioning and a prescription map detailing variable application rates. These inputs are processed by a Raspberry Pi, which controls the system’s actions through a motor drive connected to a stepper motor, executing tasks such as seeding or fertilization as specified. Additionally, an encoder provides real-time feedback on the motor’s performance to the Raspberry Pi, ensuring operations adhere closely to the prescription map.
Figure 6.
System block diagram.
2.1.3. Component of the SDSU-VRAC
Designed and developed at South Dakota State University—Digital Agricultura lab, the SDSU-VRAC, shown in Figure 7(a–i), requires a common 12 v power supply (a) and consists of an incremental encoder (b), GNSS (c), flash memory (d) as an input, a Raspberry Pi 4 (e) as the processor unit, a monitor (f), a stepper driver (g), and a motor (h) as outputs, with feedback from the incremental encoder (i). A second incremental encoder was used to measure the angular rotation speed and position of the seed metering shaft.
Figure 7.
Components of the VRAC, (a) 12v power supply, (b) wheel encoder, (c) GNSS, (d) prescription map, (e) Raspberry Pi, (f) monitor, (g) motor drive, (h) stepper motor, and (i) feedback encoder.
2.1.4. Mechatronics Design Methodology
The process initiates with the system reading a prescription map from a USB and obtaining the machine’s position to ensure it matches specific zones. The machine then reads traveling pulses, adjusts the pulse ratio according to preset densities, and actuates to apply the necessary treatment. Lastly, it logs feedback into a map for future reference, described in Figure 8.
Figure 8.
Mechatronic design methodology.
2.1.5. Power Consumption of the SDSU-VRAC
Table 2 outlines the power requirements for the components used in the SDSU-VRAC. The Raspberry Pi 4 operates at 5 volts and 3 amps, consuming 5 watts of power. The GNSS module can function at either 3.3 or 5 volts, drawing between 0.085 and 0.13 amps, which results in a power usage of 0.65 watts. Similarly, the Sparkfun Arduino requires 7–12 volts with a 1.5 amps current draw, totaling 1.0 watts. The incremental encoder, accommodating a voltage range from 5 to 24 volts, uses 0.16 amps and consumes 0.8 watts. The NEMA 23 motor, working within 12–36 volts, draws 4.2 amps and uses 3 watts of power. Additionally, a stepper drive that operates between 20 to 50 volts pulls between 1 to 4.5 amps, and the logic control option is 5/24 volts; its wattage depends on motor draw torque. The monitor, requiring 12 volts, consumes 15 watts. All together, the total power consumption for these components amounts to 28.45 watts.
Table 2.
Controller power consumption.
A 12 V 75 AH battery can power a system drawing 28.45 watts continuously for approximately 31.65 h. This is an estimate, and actual performance can vary based on factors like battery age, temperature, and the efficiency of the power conversion system. However, in real-case scenarios, the developed controller can be powered from the regular 12 V tractor power terminals.
2.2. Calibration and Performance Evaluation
As our prototype metering mechanism (modified Gandy applicator metering mechanism) was not designed for wheat seeding discharge operating with electronic systems, the SDSU-VRAC electronic drive setting was calibrated against our project prototype system to generate a calibration chart for seeding rates (wheat) based on the South Dakota Wheat Commission recommendation [35], created as a reference and calibration purpose, as shown in Figure 9.
Figure 9.
Calibration chart of the SDSU-VRAC.
2.2.1. Experimental Design (Planting Prescription Maps)
The planting prescription map was generated on a 0.8-hectare research plot on the east side of campus at latitude 44.319142 and longitude −96.774048. On an area of 0.8 hectares, the randomized experimental design consisted of 42 points, 45 m apart, to evaluate the seeding discharge accuracy and precision of the system, as shown in Figure 10. Another prescription map was made, as shown in Figure 11, composed of 5 zones, 60 m apart, used for time response evaluation for changing the rate from one zone to another. Both fields were flagged to assess the performance of the retrofittable VRAC.
Figure 10.
Randomized experiment design plot planting prescription map.
Figure 11.
Time response evaluation map for different speeds and rates.
Zones were selected in accordance with the experimental design to effectively evaluate the performance of the developed controller. Moreover, to ensure accurate experiment results, multiple replications (at least 3 replications) are essential, particularly when dealing with highly variable data such as seeding rates. More replications help to accurately capture underlying patterns and mitigate the impact of outliers. Additionally, increasing the number of replications can significantly narrow confidence intervals, providing more precise estimates of treatment effects.
2.2.2. Evaluation of Seeding Discharge Performance
The experiment field was flagged with 56 flags to set each zone boundary. The modified Gandy was placed inside a truck, and the anti-slip wheel encoder was mounted at the back of the truck coupling. While traveling at a fixed speed of 8 km/h, the seed discharged nozzle was placed in a plastic bag, and the bags were replaced on the zone boundaries to separate each zone seeding rate; the bags were then measured separately with a scale inside the lab. Two operators were needed to conduct the evaluation; one was driving the truck, and the other was taking samples, as shown in Figure 12.
Figure 12.
Seeding discharge evaluation.
2.2.3. Performance Evaluation (Time Response Test)
The experiment took place at the South Dakota State University research extension on 210th Street West, on a 300 m distance road. The road was divided into 5 zones, and a flag was placed at the boundary of each zone 60 m apart. The experiment was conducted at 6 different speeds and 6 different rates. A strip mark was placed on the truck window aligned with the GNSS attached to the truck roof. An oscilloscope was used to capture the signals sent from the controller to the electric motor to change the rate. The oscilloscope was also connected to a handheld push button used to provide a signal on the boundary of the zone. While the drivers drove the truck, another person took samples by pressing the push button when the flag aligned with the strip, as shown in Figure 13.
Figure 13.
Time response evaluation setup.
2.2.4. Performance Evaluation Metrics
The data were randomly selected and tested for the 8 treatments. The metrics used for the performance evaluation of the seeding discharge accuracy and the precision are mean error (ME) (Equation (1)), root mean square error (RMSE) (Equation (2)), coefficient of determination (R2) (Equation (3)), error (Equation (4)), accuracy (Equation (5)), and precision (Equation (6)).
where , , and N is the actual value, the measured samples, and the number of samples, respectively.
3. Results and Discussion
3.1. Seeding Discharge Result
A randomized experiment (Figure 14) was performed to evaluate the seed discharge performance, and eight different rates were used to assess the SDSU-VRAC system’s performance: 0, 50, 72, 94, 129, 151, 166, and 220 kg/ha were selected for testing due to the test field’s capacity to easily accommodate these multiple rates. A total of 42 zones, each 15 × 15 m, were selected, and the calculated seed discharge was based on four rows, with 2.5 m spacing, and a fixed traveling speed of 8 km/h, with five replications.
Figure 14.
Target seeding rate compared with SDSU-VRAC discharge rate.
Utilizing eight different seeding rates, ranging from very low to very high, allows for a comprehensive evaluation of the controller across a broad spectrum of test conditions. This diversity ensures that the controller can handle a wide array of demands, assessing its ability to consistently deliver the correct amount of seeds regardless of the rate set. The tests also evaluate how well the controller manages transitions between different rates, checking for performance consistency over time and across various settings. Furthermore, using higher and lower than typical rates serves as stress tests, pushing the system beyond usual operational parameters.
3.1.1. Statistical Analysis of Seeding Discharge
Table 3 shows the statistical analysis of the seeding discharge, showing an STD range from 0 to 8.68 kg, a coefficient of variation (C.V) of 4.59, a root mean square error (RMSE) of 5.13 kg, a mean error of 0.85, and an R square of 0.9948, as shown in Figure 15.
Table 3.
Statistical Analysis of Seeding Discharge.
Figure 15.
Interaction chart of target seeding rate vs. SDSU-VRAC discharge rate, coefficient of determination R2 = 0.0994 across 8 treatments.
The STD of the output seeding rate generally reflects a pattern where STD increases as the average seeding rate increases. This trend suggests that as the seeding rate rises, variations in the application rate also tend to increase. However, Treatments 5 and 8 show significant deviations from this trend, with lower-than-expected STD values. These exceptions could arise due to specific operational factors related to the viscosity of the wheat seeds and the metering wheel’s rotational speeds under certain conditions. One possible reason for these exceptions is seed flow dynamics affected by higher operational speeds. At certain higher speeds, the viscosity of the seeds may interact with the metering wheel in unpredictable ways. When the metering wheel rotates faster, the seeds may experience increased flow resistance or friction, affecting their smooth passage through the metering outlet. Additionally, a faster-moving metering wheel could lead to irregular seed flow, where the seeds are dispensed at inconsistent rates due to physical disturbances and flow fluctuations inside the hopper.
Moreover, clogging in the metering wheel could contribute to these errors. When the wheel rotates rapidly, seeds are more likely to bunch up or clog, temporarily restricting the flow rate. This clogging could result in sudden drops in the output rate, causing higher/lower variation in the seeding rate and, thus, a higher/lower STD. These inconsistencies in seed flow and clogging issues are likely to contribute to the unexpected results seen in Treatments 5 and 8.
3.1.2. Descriptive Statistics for Seeding Discharge Results
Across the treatments, Treatment 1 showed no variability, with an average weight of 0 kg. Treatment 2 had a mean weight of 48.44 kg, ranging from 43.95 to 53.82 kg, with an STD of 4.53 kg and a C.V of 8.38. Treatment 3 recorded a mean weight of 75.53 kg, with a range of 91.5 kg to 68.17 kg and an STD of 6.3 kg, with a C.V of 7.48. Treatment 4 had an average weight of 95.62 kg, ranging between 91.5 and 104 kg, with an STD of 6.23 kg and a C.V of 5.84. Treatment 5 recorded a mean of 129.35 kg, ranging from 124.7 to 134.5 kg, with an STD of 4.82 kg and a C.V of 3.34. Treatment 6 had an average weight of 143 kg, with a range of 133.6 to 152.5 kg, an STD of 7.47 kg, and a C.V of 4.69. Treatment 7 had a mean weight of 158.2 kg, ranging from 145.3 to 166 kg, with an STD of 8.68 kg and a C.V of 4.92. Lastly, Treatment 8 had the highest mean weight of 226.2 kg, ranging from 220.6 to 233.3 kg, with an STD of 5.2 kg and a C.V of 2.07.
The R squared value of 0.9948 indicates that the model explains about 99.48% of the variance in the target variable (weight), suggesting an excellent fit with the data. The RMSE of 5.13 kg reflects the average deviation of the predicted weights from the actual values, indicating that the model’s predictions typically vary by approximately 5.13 kg from the actual weights. Additionally, the mean error of 0.85 kg shows that, on average, the model’s predictions are very close to the actual weights, with an average difference of just 0.85 kg.
3.1.3. Analysis of Variance (ANOVA)
Table 4 shows a single-factor ANOVA between the target and the measured kilograms with an F score of 0.000597, showing a high correlation between the target and the measured kilograms, and with a p-value of 0.980853, there is no statistically significant difference between the target and measured values.
Table 4.
ANOVA Analysis.
ANOVA Analysis Results Interpretation
The SS (sum of squares) = 2.945015168, which is a value that represents the variability in the data that is attributed to differences between the target values and the measured values. It indicates how much the group mean deviates from the overall mean. The df (degrees of freedom) = 1, which typically means there are two groups being compared (target vs. measured kilograms). The MS (mean square) = 2.945015168, which is the sum of squares divided by the degrees of freedom. This value represents the average variability between the group means. Since there is only one degree of freedom, the MS is the same as the SS in this case. The F (F-statistic) = 0.000596891, which is a ratio of the mean square between groups to the mean square within groups. In this case, an F-value of 0.000596891 is very low, indicating that the variability between the groups is minimal relative to the variability within the groups. The p-value = 0.980853355, indicating the probability of observing an F-statistic as extreme as the one calculated, assuming the null hypothesis (that the group means are equal) is true. A p-value of 0.980853355 is very high, well above the typical significance level of 0.05. This suggests that there is no statistically significant difference between the target and measured values. The Fcrit (F critical value) = 4.600109937; this value is the threshold that the F-statistic must exceed to reject the null hypothesis at a given significance level (typically 0.05). Here, the critical value is 4.600109937. Since the F-statistic (0.000596891) is much lower than the critical value, we do not reject the null hypothesis.
ANOVA Conclusion
The ANOVA results indicate that there is no significant difference between the target and the measured values. The very low F-statistic, high p-value, and the fact that the F-statistic does not exceed the F critical value all support the conclusion that the differences observed are likely due to random chance rather than any meaningful difference between the groups.
3.2. Accuracy and Precision
The standard deviation of the average measured samples ranged from 0 to 8.68 kg as detailed in Table 5. The application rate and the corresponding errors of the SDSU-VRAC are depicted in Figure 16. The error values ranged between -5.51% and 3.67%, with an average error of 2.82%, detailed in Figure 17a. The outcomes for the average measured samples demonstrated an accuracy of 96.17% and a precision of 95.15%, as presented in Figure 17b.
Table 5.
Accuracy, Precision, and Error results.
Figure 16.
Application rate compared with SDSU-VRAC error.
Figure 17.
(a,b): actual vs. target rate error (%) and controller performance evaluation (%).
The measured errors compared with the target rates in Figure 16 are 0 kg for the first application rate, 1.98 kg for 50 kg, 2.68 for 73 kg, 1.47 for 94 kg, 0.4 for 129 kg, 8.32 for 151 kg, 7.66 for 166 kg, and 6.55 for 220 kg.
With a controller accuracy of 96.17%, precision of 95.15%, and an error rate of 2.82%, the system demonstrates strong reliability and effectiveness in its operations. The high accuracy indicates that the system correctly performs or predicts outcomes most of the time, which is critical for building trust among users. Similarly, the precision rate highlights its capability to deliver consistent and targeted results, minimizing the occurrence of false positives. However, the presence of a 2.82% error rate suggests that there is still room for improvement, especially in refining the system to further reduce inaccuracies and enhance overall performance.
3.3. Time Response
The cluster bar shown in Figure 18 represents the correlation between speed and the time required to change the rate from one zone to another. However, with R square = 0.505, there was a %50.5 correlation between the speed and the time required to change the rate from one zone to another. The human measurement error contributed to the variation in time response variations, where, on average, the measured time required to change the rate was 0.867 s, with variation in the 0.3 s range. In practical applications, the time response determines how quickly the system can react to changes in operating conditions, such as varying speeds during seeding or fertilizing. A lag in time at different speeds can lead to misplaced inputs, such as seeds or fertilizer, which can result in uneven crop distribution, wasted resources, and ultimately, reduced crop yields.
Figure 18.
Time response.
Time Response Analysis
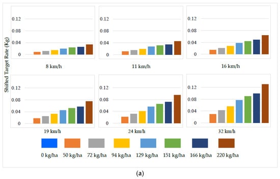
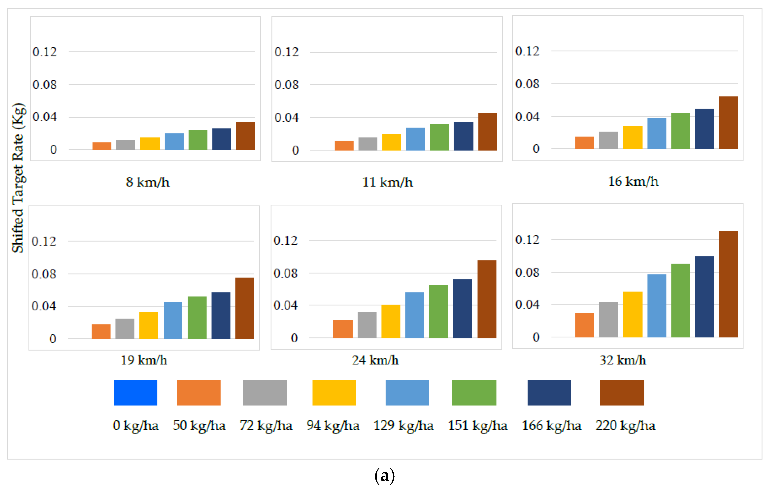
Based on the 63.5 cm applicator width, the shifted target rate (kg) results from the time response delay range from 0 to 0.13 kg; the shifted distances were 2.22, 3.06, 4.44, 5.28, 6.67, and 8.89 m for 8, 11, 16, 19, 24, and 32 km/h speeds, respectively, as detailed in Figure 19a and combined in Figure 19b.

Figure 19.
(a) Detailed description of the shift from the target rate (kg) for different speeds; (b) combined shift from the target rate (kg/ha) for different speeds.
3.4. Summary
The system’s controller exhibits high reliability, with an accuracy of 96.17%, a precision of 95.15%, and a low error rate of 2.82%, confirming consistent and effective performance. Time response delays lead to minor shifts in target rates ranging from 0 to 0.13 kg and distances between 2.22 and 8.89 m across speeds from 8 to 32 km/h. These results underscore the system’s capability to maintain high precision and effectiveness under various operational speeds.
4. Conclusions
In conclusion, this study introduces an advancement in precision agriculture through the development and evaluation of a low-cost, retrofittable Variable Rate Applicator Controller (VRAC) designed as an open platform for broad adoption. Key findings demonstrate that the controller achieves an accuracy and precision of 97.17% and 95.15%, respectively, in seeding discharge with a root mean square error (RMSE) of 4.57 kg, a coefficient of variation of 4.59%, and an average error of 2.83%. The system also exhibits an average response time of 0.836 s for rate changes across diverse speeds and rates.
The VRAC utilizes accessible technologies, including a Raspberry Pi, RTK-GNSS, stepper motor, and slip-resistant wheel encoder, to deliver precise, on-the-fly adjustments. Its open and modular design enables plug-and-play compatibility, making it suitable for various farming applications such as seeding, dry fertilizer, and liquid fertilizer application. This study contributes to the broader Sustainable Development Goals (SDGs) by promoting precision agriculture technologies that are both affordable and user-friendly, ensuring accessibility for farmers with limited resources. Future work will focus on enhancing the platform with mobile integration for real-time monitoring and expanding its applicability to a wider range of crops and field conditions.
Author Contributions
Conceptualization, methodology, software, validation, formal analysis, investigation, resources, data curation, and writing—original draft preparation, A.A. and A.M.N.; writing—review and editing, visualization, supervision, project administration, and funding acquisition, A.M.N. All authors have read and agreed to the published version of the manuscript.
Funding
This research was funded by the South Dakota Wheat Commission.
Data Availability Statement
Raw data are available upon request from the corresponding author.
Acknowledgments
The authors hereby acknowledge and express their gratitude to South Dakota State University and the graduate students, Dhe Young, Salman Mirzaee, Yashar Askarzadeh, and Karishma Kumari, for their help throughout this work.
Conflicts of Interest
The authors declare no conflicts of interest.
References
- Shannon, D.K.; Clay, D.E.; Kitchen, N.R. Precision Agriculture Basics; John Wiley & Sons: Hoboken, NJ, USA, 2020; Volume 176. [Google Scholar]
- Garzon Delvaux, P.A.; Riesgo, L.; Gomez y Paloma, S. Are small farms more performant than larger ones in developing countries? Sci. Adv. 2020, 6, eabb8235. [Google Scholar] [CrossRef] [PubMed]
- Sands, R.D.; Meade, B.; Seale, J.L., Jr.; Robinson, S.; Seeger, R. Scenarios of Global Food Consumption: Implications for Agriculture. In Economic Research Report; United States Department of Agriculture, Economic Research Service: Washington, DC, USA, 2023. [Google Scholar]
- Schimmelpfennig, D. Farm profits and adoption of precision agriculture. In Economic Research Report; United States Department of Agriculture, Economic Research Service: Washington, DC, USA, 2016. [Google Scholar]
- Mizik, T. How can precision farming work on a small scale? A systematic literature review. Precis. Agric. 2023, 24, 384–406. [Google Scholar] [CrossRef]
- United States Government Accountability Office. Report to Congressional Committees, Technology Assessment, Precision Agriculture, January 2024. Available online: https://www.gao.gov/assets/d24105962.pdf (accessed on 2 April 2024).
- Abdalla, A.K.; Nafchi, A.M. Desing of a Variable Rate Applicator Controller. In Proceedings of the 2024 ASABE Annual International Meeting, Anaheim, CA, USA, 28–31 July 2024; American Society of Agricultural and Biological Engineers: St. Joseph, MI, USA, 2024. [Google Scholar]
- Mills, B.E.; Wade Brorsen, B.; Arnall, D.B. The profitability of variable rate lime in wheat. Precis. Agric. 2020, 21, 369–386. [Google Scholar] [CrossRef]
- Vellidis, G.; Liakos, V.; Porter, W.; Tucker, M.; Liang, X. A dynamic variable rate irrigation control system. In Proceedings of the 13th International Conference on Precision Agriculture, St. Louis, MI, USA, 31 July–3 August 2016; Volume 13, pp. 1–9. [Google Scholar]
- Somashekar, K.S.; Belagalla, N.; Srinatha, T.N.; Abhishek, G.J.; Kumar, V.; Tiwari, A. Revolutionizing Agriculture: Innovative Techniques, Applications, and Future Prospects in Precision Farming. J. Sci. Res. Rep. 2024, 30, 405–419. [Google Scholar]
- Bongiovanni, R.; Lowenberg-DeBoer, J. Precision agriculture and sustainability. Precis. Agric. 2004, 5, 359–387. [Google Scholar] [CrossRef]
- Van Loon, J.; Speratti, A.B.; Gabarra, L.; Govaerts, B. Precision for smallholder farmers: A small-scale-tailored variable rate fertilizer application kit. Agriculture 2018, 8, 48. [Google Scholar] [CrossRef]
- Späti, K.; Huber, R.; Finger, R. Benefits of increasing information accuracy in variable rate technologies. Ecol. Econ. 2021, 185, 107047. [Google Scholar] [CrossRef]
- O’Shaughnessy, S.A.; Evett, S.R.; Colaizzi, P.D.; Andrade, M.A.; Marek, T.H.; Heeren, D.M.; Lamm, F.R.; LaRue, J.L. Identifying advantages and disadvantages of variable rate irrigation: An updated review. Appl. Eng. Agric. 2019, 35, 837–852. [Google Scholar] [CrossRef]
- Fabiani, S.; Vanino, S.; Napoli, R.; Zajíček, A.; Duffková, R.; Evangelou, E.; Nino, P. Assessment of the economic and environmental sustainability of Variable Rate Technology (VRT) application in different wheat intensive European agricultural areas. A Water energy food nexus approach. Environ. Sci. Policy 2020, 114, 366–376. [Google Scholar] [CrossRef]
- Dukes, M.D.; Perry, C. Uniformity testing of variable-rate center pivot irrigation control systems. Precis. Agric. 2006, 7, 205–218. [Google Scholar] [CrossRef]
- Min, J.; Zhang, H.; Shi, W. Optimizing nitrogen input to reduce nitrate leaching loss in greenhouse vegetable production. Agric. Water Manag. 2012, 111, 53–59. [Google Scholar] [CrossRef]
- McFadden, J.; Njuki, E.; Griffin, T. Precision agriculture in the digital era: Recent adoption on US farms. In Economic Information Bulletin; United States Department of Agriculture, Economic Research Service: Washington, DC, USA, 2023. [Google Scholar]
- Askarzadeh, Y.; Jones, E.; Sahraei, M.; Abdalla, A.; Nafchi, A.M. Sustainable Weed Management through Precision Cover Cropping System. In Proceedings of the 2024 ASABE Annual International Meeting, Anaheim, CA, USA, 28–31 July 2024; American Society of Agricultural and Biological Engineers: St. Joseph, MI, USA, 2024; p. 1. [Google Scholar]
- Schimmelpfennig, D. Crop production costs, profits, and ecosystem stewardship with precision agriculture. J. Agric. Appl. Econ. 2018, 50, 81–103. [Google Scholar] [CrossRef]
- Coelho, A.L.D.F.; de Queiroz, D.M.; Valente, D.S.; Pinto, F.A. Development of a variable-rate controller for a low-cost precision planter. Appl. Eng. Agric. 2020, 36, 233–243. [Google Scholar] [CrossRef]
- Maleki, M.R.; Mouazen, A.M.; De Ketelaere, B.; Ramon, H.; De Baerdemaeker, J. On-the-go variable-rate phosphorus fertilisation based on a visible and near-infrared soil sensor. Biosyst. Eng. 2008, 99, 35–46. [Google Scholar] [CrossRef]
- Kempenaar, C.; Been, T.; Booij, J.; Van Evert, F.; Michielsen, J.M.; Kocks, C. Advances in variable rate technology application in potato in the Netherlands. Potato Res. 2017, 60, 295–305. [Google Scholar] [CrossRef]
- English, B.C.; Mahajanashetti, S.B.; Roberts, R.K. Assessing spatial break-even variability in fields with two or more management zones. J. Agric. Appl. Econ. 2001, 33, 551–565. [Google Scholar] [CrossRef]
- United Nations. Transforming Our World: The 2030 Agenda for Sustainable Development; United Nations, Department of Economic and Social Affairs: New York, NY, USA, 2015; Volume 1, p. 41. [Google Scholar]
- Schimmelpfennig, D.; Lowenberg-DeBoer, J. Farm types and precision agriculture adoption: Crops, regions, soil variability, and farm size. In Global Institute for Agri-Tech Economics Working Paper; Economic Research Service: Washington, DC, USA, 2020; pp. 1–20. [Google Scholar]
- Siemens, J.; Hamburg, K.; Tyrrell, T. A farm machinery selection and management program. J. Prod. Agric. 1990, 3, 212–219. [Google Scholar] [CrossRef]
- Mulla, D.J. Twenty five years of remote sensing in precision agriculture: Key advances and remaining knowledge gaps. Biosyst. Eng. 2013, 114, 358–371. [Google Scholar] [CrossRef]
- Raun, W.R.; Solie, J.B.; Johnson, G.V.; Stone, M.L.; Mullen, R.W.; Freeman, K.W.; Thomason, W.; Lukina, E.V. Improving nitrogen use efficiency in cereal grain production with optical sensing and variable rate application. Agron. J. 2002, 94, 815–820. [Google Scholar] [CrossRef]
- Abdalla, A.K.A.; Azad, B.; Won, K.; Nafchi, A. Maintaining Optimum Closeup in Wheat FHB Detection Using 360-Degree Deep Scanning Method. In Proceedings of the 2023 ASABE Annual International Meeting, Omaha, NE, USA, 9–12 July 2023; American Society of Agricultural and Biological Engineers: St. Joseph, MI, USA, 2023; p. 1. [Google Scholar]
- Mirzakhaninafchi, H.; Singh, M.; Bector, V.; Gupta, O.P.; Singh, R. Design and development of a variable rate applicator for real-time application of fertilizer. Sustainability 2021, 13, 8694. [Google Scholar] [CrossRef]
- USDA, NASS. Survey (2003–2024). Available online: https://quickstats.nass.usda.gov (accessed on 13 October 2024).
- Jafari, M.; Hemmat, A.; Sadeghi, M. Development and performance assessment of a DC electric variable-rate controller for use on grain drills. Comput. Electron. Agric. 2010, 73, 56–65. [Google Scholar] [CrossRef]
- Niu, K.; Bai, S.; Zhou, L.; Zhao, B.; Liu, L.; Yuan, Y.; Yang, D.; Xiong, S.; Zhang, W. Design and experimental research of variable formula fertilization control system based on prescription diagram. Appl. Sci. 2021, 12, 325. [Google Scholar] [CrossRef]
- Clay, D.E.; Gregg, C.C.; Dalsted, K. iGrow Wheat. 2012. Available online: https://openprairie.sdstate.edu/plant_book/1/ (accessed on 13 October 2024).
Disclaimer/Publisher’s Note: The statements, opinions and data contained in all publications are solely those of the individual author(s) and contributor(s) and not of MDPI and/or the editor(s). MDPI and/or the editor(s) disclaim responsibility for any injury to people or property resulting from any ideas, methods, instructions or products referred to in the content. |
© 2024 by the authors. Licensee MDPI, Basel, Switzerland. This article is an open access article distributed under the terms and conditions of the Creative Commons Attribution (CC BY) license (https://creativecommons.org/licenses/by/4.0/).