Relationship between Storage Quality and Functionality of Common Buckwheat (Fagopyrum esculentum Moench) and Tartary Buckwheat (Fagopyrum tataricum Gaertn) at Different Temperatures
Abstract
1. Introduction
2. Materials and Methods
2.1. Materials and Chemicals
2.2. Simulated Storage Test
2.3. Scanning Electron Microscope (SEM)
2.4. Moisture and Water Activity Analysis
2.5. Color Analysis
2.6. Physical Quality Indices
pH, Titratable Acidity, and Total Soluble Solids of Buckwheat
2.7. Fourier-Transform Infrared Spectroscopy (FTIR) Analysis
2.8. Antioxidants and Its Capacities of Buckwheat
2.9. HPLC-DAD Analysis of Rutin
2.10. Microorganism Growth Tests
2.11. Statistical Analysis
3. Results and Discussion
3.1. Microstructure
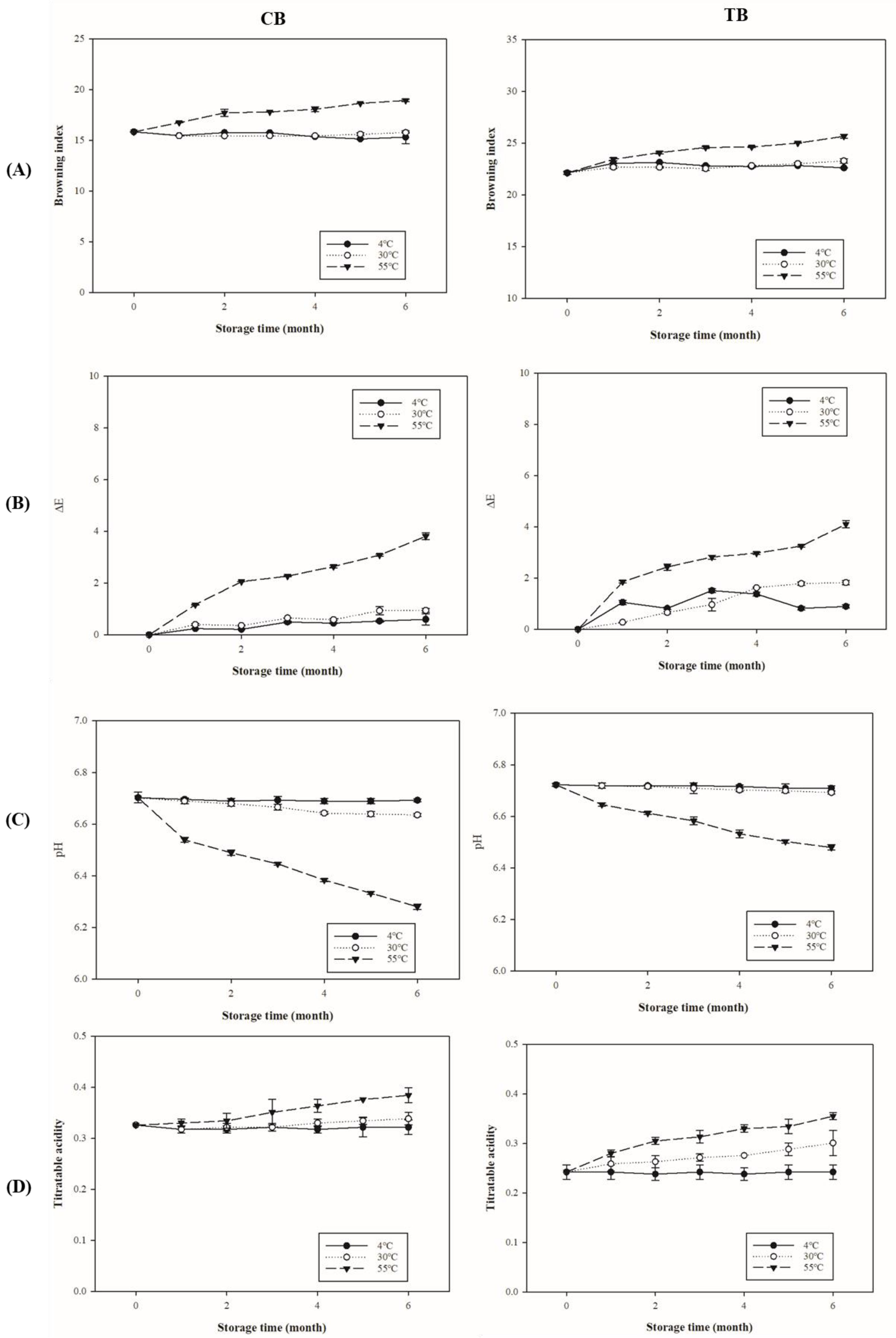
3.2. Quality
3.3. Fourier-Transform Infrared Spectroscopy (FT-IR) Analysis
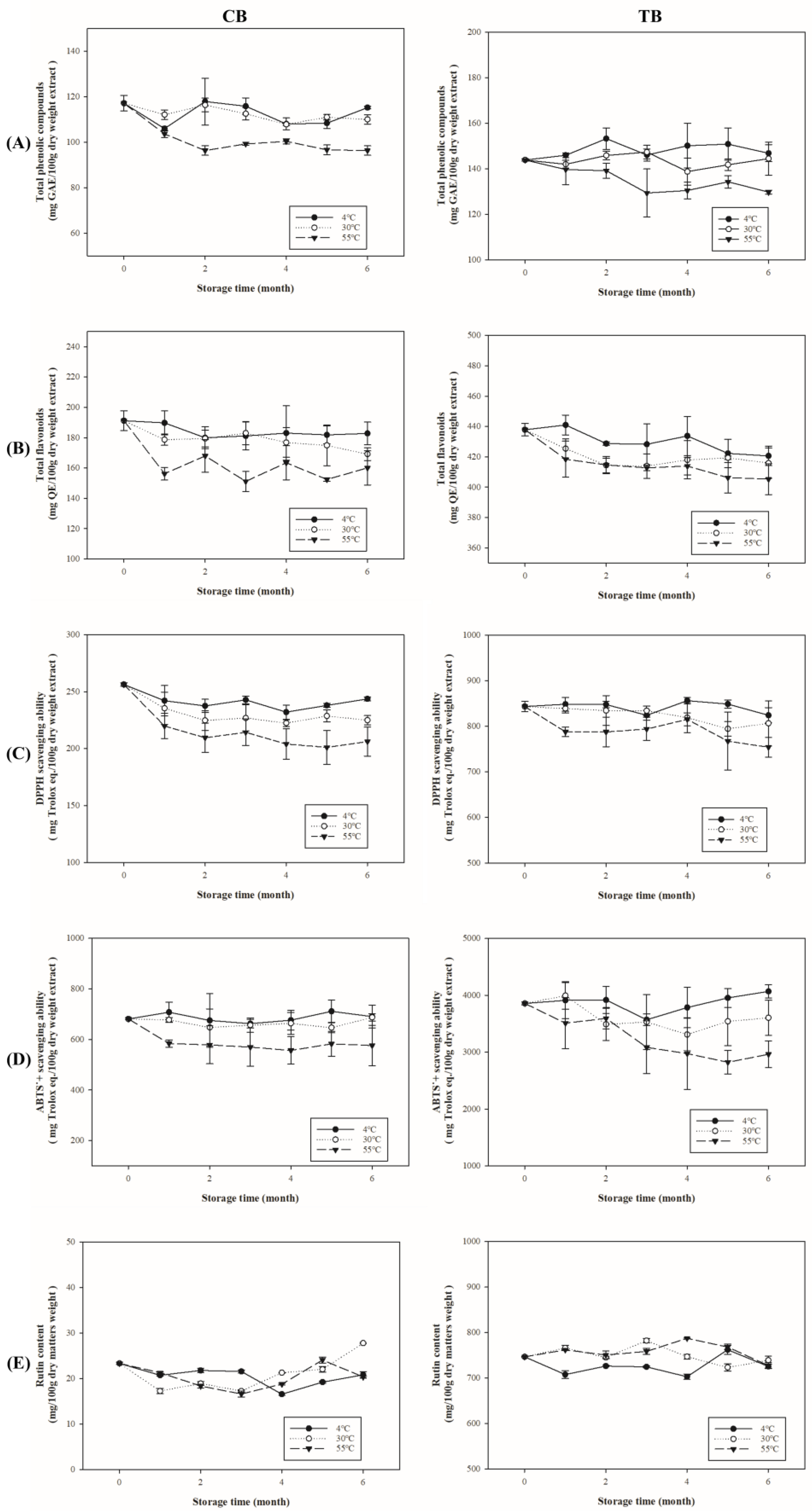
3.4. Functional Compounds and Antioxidant Capacities
3.5. The Influence of Total Plate Count/Yeast and Mold during Storage
3.6. Principal Component Analysis (PCA)
4. Conclusions
Supplementary Materials
Author Contributions
Funding
Data Availability Statement
Acknowledgments
Conflicts of Interest
References
- Shen, Y.; Chen, Y.; Shi, X.; An, Y.; Yang, M.; Qi, Y. Assessing the role of global food commodity prices in achieving the 2030 agenda for SDGs. iScience 2024, 27, 108832. [Google Scholar] [CrossRef]
- Kibar, H.; Sönmez, F.; Temel, S. Effect of storage conditions on nutritional quality and color characteristics of quinoa varieties. J. Stored Prod. Res. 2021, 91, 101761. [Google Scholar] [CrossRef]
- Onigbinde, A.; Akinyele, I. Biochemical and nutritional changes in corn (Zea mays) during storage at three temperatures. J. Food Sci. 1988, 53, 117. [Google Scholar] [CrossRef]
- Pohndorf, R.S.; Meneghetti, V.L.; Paiva, F.F.; de Oliveira, M.; Elias, M.C. Kinetic evaluation of oxidative stability and physical degradation of soybean grains stored at different conditions. J. Food Process Preserv. 2018, 42, 1–8. [Google Scholar] [CrossRef]
- Cañizares, L.D.C.C.; Gaioso, C.A.; Timm, N.D.S.; Meza, S.L.R.; Ramos, A.H.; Oliveira, D.M.; Lutz, É.; Elias, M.C. Influence of broken kernels content on soybean quality during storage. Grain Oil Sci. Technol. 2024, 7, 105–112. [Google Scholar] [CrossRef]
- FAO. Food Security Indicators, Ethiopia. FAOSTAT Stat. Database. 2022. Available online: http://www.fao.org/faostat/en/#data/FS (accessed on 1 July 2024).
- Ahmed, A.; Khalid, N.; Ahmad, A.; Abbasi, N.; Latif, M.; Randhawa, M. Phytochemicals and biofunctional properties of buckwheat: A review. J. Agric. Sci. 2014, 152, 349–369. [Google Scholar] [CrossRef]
- Steadman, K.J.; Burgoon, M.S.; Lewis, B.A.; Edwardson, S.E.; Obendorf, R.L. Buckwheat seed milling fractions: Description, macronutrient composition and dietary fibre. J. Cereal Sci. 2001, 33, 271–278. [Google Scholar] [CrossRef]
- Kreft, I.; Golob, A.; Germ, M. A crop of high nutritional quality and health maintenance value: The importance of tartary buckwheat breeding. Agriculture 2023, 13, 1783. [Google Scholar] [CrossRef]
- Wijngaard, H.; Arendt, E.K. Buckwheat. Cereal Chem. 2006, 83, 391–401. [Google Scholar] [CrossRef]
- Christa, K.; Soral-Śmietana, M. Buckwheat grains and buckwheat products–nutritional and prophylactic value of their components–a review. Czech. J. Food Sci. 2008, 26, 153–162. [Google Scholar] [CrossRef]
- Kim, S.J.; Zaidul, I.; Suzuki, T.; Mukasa, Y.; Hashimoto, N.; Takigawa, S.; Noda, T.; Matsuura-Endo, C.; Yamauchi, H. Comparison of phenolic compositions between common and tartary buckwheat (Fagopyrum) sprouts. Food Chem. 2008, 110, 814–820. [Google Scholar] [CrossRef] [PubMed]
- Forkmann, G. Flavonoids as flower pigments:the formation of natural spectrum and its extension by genetic engineering. Plant Breed. 1991, 106, 1–26. [Google Scholar] [CrossRef]
- Fernandes, A.A.H.; Novelli, E.L.B.; Okoshi, K.; Okoshi, M.P.; Di Muzio, B.P.; Guimarães, J.F.C.; Junior, A.F. Influence of rutin treatment on biochemical alterations in experimental diabetes. Biomed. Pharmacother. 2010, 64, 214–219. [Google Scholar] [CrossRef] [PubMed]
- Li, S.Q.; Zhang, Q.H. Advances in the development of functional foods from buckwheat. Crit. Rev. Food Sci. Nutr. 2001, 41, 451–464. [Google Scholar] [CrossRef]
- Klepacka, J.; Najda, A. Effect of commercial processing on polyphenols and antioxidant activity of buckwheat seeds. Int. J. Food Sci. Technol. 2021, 56, 661–670. [Google Scholar] [CrossRef]
- Wójtowicz, A.; Kolasa, A.; Moscicki, L. Influence of buckwheat addition on physical properties, texture and sensory characteristics of extruded corn snacks. Pol. J. Food Nutr. Sci. 2013, 63, 239–244. [Google Scholar] [CrossRef]
- Giménez-Bastida, J.A.; Piskuła, M.; Zieliński, H. Recent advances in development of gluten-free buckwheat products. Trends Food Sci. Technol. 2015, 44, 58–65. [Google Scholar] [CrossRef]
- Qin, P.; Wu, L.; Yao, Y.; Ren, G. Changes in phytochemical compositions, antioxidant and α-glucosidase inhibitory activities during the processing of tartary buckwheat tea. Food Res. Int. 2013, 50, 562–567. [Google Scholar] [CrossRef]
- Bhinder, S.; Singh, B.; Kaur, A.; Singh, N.; Kaur, M.; Kumari, S.; Yadav, M.P. Effect of infrared roasting on antioxidant activity, phenolic composition and Maillard reaction products of Tartary buckwheat varieties. Food Chem. 2019, 285, 240–251. [Google Scholar] [CrossRef]
- Harrington, J.F.; Kozlowski, T. Seed storage and longevity. Seed Biol. 1972, 3, 145–245. [Google Scholar] [CrossRef]
- Manandhar, A.; Milindi, P.; Shah, A. An overview of the post-harvest grain storage practices of smallholder farmers in developing countries. Agriculture 2018, 8, 57. [Google Scholar] [CrossRef]
- Liu, Y.; Cai, C.; Yao, Y.; Xu, B. Alteration of phenolic profiles and antioxidant capacities of common buckwheat and Tartary buckwheat produced in China upon thermal processing. J. Sci. Food Agric. 2019, 99, 5565–5576. [Google Scholar] [CrossRef] [PubMed]
- Hsu, T.Y.; Yang, K.M.; Chiang, Y.C.; Lin, L.Y.; Chiang, P.Y. The browning properties, antioxidant activity, and α-glucosidase inhibitory improvement of aged oranges (Citrus sinensis). Foods 2024, 13, 1093. [Google Scholar] [CrossRef] [PubMed]
- Chiang, Y.C.; Chiang, P.Y. Accentuation of the browning characteristics and functional properties of aged tomatoes (Solanum Lycopersicon cv.). Food Chem. X 2024, 22, 101499. [Google Scholar] [CrossRef]
- Tsai, Y.J.; Lin, L.Y.; Yang, K.M.; Chiang, Y.C.; Chen, M.H.; Chiang, P.Y. Effects of roasting sweet potato (Ipomoea batatas L. Lam.): Quality, volatile compound composition, and sensory evaluation. Foods 2021, 10, 2602. [Google Scholar] [CrossRef]
- Lin, L.Y.; Chuang, C.H.; Chen, H.C.; Yang, K.M. Lime (Citrus aurantifolia (Christm.) Swingle) Essential oils: Volatile compounds, antioxidant capacity, and hypolipidemic effect. Foods 2019, 8, 398. [Google Scholar] [CrossRef] [PubMed]
- Chen, G.; Mantilla, S.M.O.; Netzel, M.E.; Cozzolino, D.; Sivakumar, D.; Sultanbawa, Y. Physicochemical, antioxidant and microbial stability of Burdekin plum leathers. Int. J. Food Sci. Technol. 2024, 59, 2716–2726. [Google Scholar] [CrossRef]
- Zhu, F. Buckwheat starch: Structures, properties, and applications. Trends Food Sci. Technol. 2016, 49, 121–135. [Google Scholar] [CrossRef]
- Al-Yahya, S.A. Effect of storage conditions on germination in wheat. J. Agron. Crop Sci. 2001, 186, 273–279. [Google Scholar] [CrossRef]
- Moreno-Martínez, E.; Rivera, A.; Badillo, M.V. Effect of fungi and fungicides on the preservation of wheat seed stored with high and low moisture content. J. Stored Prod. Res. 1998, 34, 231–236. [Google Scholar] [CrossRef]
- Flor, O.; Palacios, H.; Suárez, F.; Salazar, K.; Reyes, L.; González, M.; Jiménez, K. New sensing technologies for grain moisture. Agriculture 2022, 12, 386. [Google Scholar] [CrossRef]
- Raudienė, E.; Rušinskas, D.; Balčiūnas, G.; Juodeikienė, G.; Gailius, D. Carbon dioxide respiration rates in wheat at various temperatures and moisture Contents. Mapan 2017, 32, 51–58. [Google Scholar] [CrossRef]
- Palou, E.; López-Malo, A.; Barbosa-Cánovas, G.V.; Welti-Chanes, J.; Swanson, B.G. Polyphenoloxidase activity and color of blanched and high hydrostatic pressure treated banana puree. J. Food Sci. 1999, 64, 42–45. [Google Scholar] [CrossRef]
- Małgorzata, W.; Konrad, P.M.; Zieliński, H. Effect of roasting time of buckwheat groats on the formation of Maillard reaction products and antioxidant capacity. Food Chem. 2016, 196, 355–358. [Google Scholar] [CrossRef] [PubMed]
- Ramstad, P.E.; Geddes, W.F. The Respiration and Storage Behavior of Soybeans; University of Minnesota Agricultural Experiment Station: Saint Paul, MN, USA, 1942; p. 156. [Google Scholar]
- Rodriguez-Saona, L.E.; Allendorf, M.E. Use of FTIR for rapid authentication and detection of adulteration of food. Annu. Rev. Food Sci. Technol. 2011, 2, 467–483. [Google Scholar] [CrossRef] [PubMed]
- Lu, Z.H.; Donner, E.; Liu, Q. The effect of various extracting agents on the physicochemical and nutritional properties of pea starch. Starch-Stärke 2019, 71, 1900123. [Google Scholar] [CrossRef]
- Wu, M.L.; Nie, M.Q.; Wang, X.C.; Su, J.M.; Cao, W. Analysis of phenanthrene biodegradation by using FTIR, UV and GC–MS. Spectrochim. Acta Part A Mol. Biomol. Spectrosc. 2010, 75, 1047–1050. [Google Scholar] [CrossRef]
- Zieliński, H.; Michalska, A.; Piskuła, M.K.; Kozłowska, H. Antioxidants in thermally treated buckwheat groats. Mol. Nutr. Food Res. 2006, 50, 824–832. [Google Scholar] [CrossRef]
- Zhang, M.; Chen, H.; Li, J.; Pei, Y.; Liang, Y. Antioxidant properties of tartary buckwheat extracts as affected by different thermal processing methods. LWT-Food Sci. Technol. 2010, 43, 181–185. [Google Scholar] [CrossRef]
- Guo, X.D.; Ma, Y.J.; Parry, J.; Gao, J.M.; Yu, L.L.; Wang, M. Phenolics content and antioxidant activity of tartary buckwheat from different locations. Molecules 2011, 16, 9850–9867. [Google Scholar] [CrossRef]
- Holasova, M.; Fiedlerova, V.; Smrcinova, H.; Orsak, M.; Lachman, J.; Vavreinova, S. Buckwheat—The source of antioxidant activity in functional foods. Food Res. Int. 2002, 35, 207–211. [Google Scholar] [CrossRef]
- Karamac, M.; Biskup, I.; Kulczyk, A. Fractionation of buckwheat seed phenolics and analysis of their antioxidant activity. Pol. J. Food Nutr. Sci. 2015, 65, 243–249. [Google Scholar] [CrossRef]
- Verardo, V.; Glicerina, V.; Cocci, E.; Frenich, A.G.; Romani, S.; Caboni, M.F. Determination of free and bound phenolic compounds and their antioxidant activity in buckwheat bread loaf, crust and crumb. LWT-Food Sci. 2018, 87, 217–224. [Google Scholar] [CrossRef]
- Rice-Evans, C.; Miller, N.; Paganga, G. Antioxidant properties of phenolic compounds. Trends Plant Sci. 1997, 2, 152–159. [Google Scholar] [CrossRef]
- Del Rio, D.; Stewart, A.J.; Pellegrini, N. A review of recent studies on malondialdehyde as toxic molecule and biological marker of oxidative stress. Nutr. Metab. Carbiovasc. Dis. 2005, 15, 316–328. [Google Scholar] [CrossRef] [PubMed]
- Suzuki, T.; Morishita, T.; Noda, T.; Ishiguro, K.; Otsuka, S.; Katsu, K. Breeding of buckwheat to reduce bitterness and rutin hydrolysis. Plants 2021, 10, 791. [Google Scholar] [CrossRef]
- Zhang, S.-B.; Zhai, H.-C.; Huang, S.-X.; Cai, J.-P. A site-directed CO2 detection method for monitoring the spoilage of stored grains by insects and fungi in Chinese horizontal warehouses. J. Stored Prod. Res. 2014, 59, 146–151. [Google Scholar] [CrossRef]
- Alegbeleye, O.; Odeyemi, O.A.; Strateva, M.; Stratev, D. Microbial spoilage of vegetables, fruits and cereals. Appl. Food Res. 2022, 2, 100122. [Google Scholar] [CrossRef]






| Group | Temperature | Months | |||||||
|---|---|---|---|---|---|---|---|---|---|
| 0 | 1 | 2 | 3 | 4 | 5 | 6 | |||
| Moisture content (%) | CB | 4 °C | 7.24 ± 0.02 a | 7.24 ± 0.06 a | 7.24 ± 0.03 a | 7.24 ± 0.04 a | 7.23 ± 0.01 a | 7.24 ± 0.05 a | 7.23 ± 0.03 a |
| 30 °C | 7.24 ± 0.02 a | 7.24 ± 0.03 a | 7.23 ± 0.02 a | 7.24 ± 0.05 a | 7.24 ± 0.06 a | 7.25 ± 0.01 a | 7.25 ± 0.04 a | ||
| 55 °C | 7.24 ± 0.02 a | 7.25 ± 0.04 a | 7.25 ± 0.01 a | 7.24 ± 0.05 a | 7.23 ± 0.06 a | 7.23 ± 0.06 a | 7.24 ± 0.04 a | ||
| TB | 4 °C | 6.76 ± 0.06 a | 6.77 ± 0.05 a | 6.76 ± 0.04 a | 6.77 ± 0.06 a | 6.77 ± 0.05 a | 6.75 ± 0.03 a | 6.78 ± 0.03 a | |
| 30 °C | 6.76 ± 0.06 a | 6.76 ± 0.05 a | 6.77 ± 0.06 a | 6.77 ± 0.02 a | 6.76 ± 0.07 a | 6.76 ± 0.03 a | 6.76 ± 0.06 a | ||
| 55 °C | 6.76 ± 0.06 a | 6.77 ± 0.04 a | 6.76 ± 0.06 a | 6.77 ± 0.01 a | 6.77 ± 0.03 a | 6.76 ± 0.06 a | 6.77 ± 0.02 a | ||
| Water activity | CB | 4 °C | 0.186 ± 0.002 a | 0.187 ± 0.001 a | 0.186 ± 0.001 a | 0.186 ± 0.001 a | 0.187 ± 0.002 a | 0.187 ± 0.002 a | 0.187 ± 0.002 a |
| 30 °C | 0.186 ± 0.002 a | 0.188 ± 0.001 a | 0.188 ± 0.001 a | 0.190 ± 0.001 a | 0.192 ± 0.002 a | 0.193 ± 0.002 a | 0.195 ± 0.001 a | ||
| 55 °C | 0.186 ± 0.002 a | 0.188 ± 0.001 a | 0.190 ± 0.001 a | 0.192 ± 0.002 a | 0.195 ± 0.001 a | 0.199 ± 0.001 a | 0.199 ± 0.001 a | ||
| TB | 4 °C | 0.172 ± 0.002 a | 0.172 ± 0.002 a | 0.172 ± 0.001 a | 0.172 ± 0.001 a | 0.172 ± 0.002 a | 0.172 ± 0.002 a | 0.172 ± 0.002 a | |
| 30 °C | 0.172 ± 0.002 a | 0.172 ± 0.002 a | 0.173 ± 0.002 a | 0.173 ± 0.002 a | 0.172 ± 0.001 a | 0.173 ± 0.001 a | 0.176 ± 0.001 a | ||
| 55 °C | 0.172 ± 0.002 a | 0.175 ± 0.001 a | 0.176 ± 0.001 a | 0.179 ± 0.002 a | 0.180 ± 0.001 a | 0.182 ± 0.002 a | 0.183 ± 0.002 a | ||
| Soluble solid content (°Brix) | CB | 4 °C | 1.02 ± 0.03 a | 1.02 ± 0.03 a | 0.98 ± 0.03 a | 1.02 ± 0.03 a | 1.02 ± 0.06 a | 1.00 ± 0.00 a | 0.98 ± 0.03 a |
| 30 °C | 1.02 ± 0.03 a | 1.00 ± 0.00 a | 1.02 ± 0.03 a | 0.98 ± 0.03 a | 1.00 ± 0.05 a | 1.02 ± 0.03 a | 0.98 ± 0.06 a | ||
| 55 °C | 1.02 ± 0.03 a | 1.03 ± 0.03 a | 1.00 ± 0.00 a | 0.98 ± 0.03 a | 1.00 ± 0.05 a | 0.98 ± 0.03 a | 1.02 ± 0.03 a | ||
| TB | 4 °C | 0.92 ± 0.03 a | 0.88 ± 0.03 a | 0.92 ± 0.03 a | 0.92 ± 0.03 a | 0.88 ± 0.03 a | 0.88 ± 0.03 a | 0.92 ± 0.03 a | |
| 30 °C | 0.92 ± 0.03 a | 0.90 ± 0.05 a | 0.92 ± 0.06 a | 0.90 ± 0.00 a | 0.92 ± 0.03 a | 0.88 ± 0.03 a | 0.92 ± 0.03 a | ||
| 55 °C | 0.92 ± 0.03 a | 0.88 ± 0.03 a | 0.92 ± 0.03 a | 0.92 ± 0.03 a | 0.92 ± 0.06 a | 0.90 ± 0.05 a | 0.90 ± 0.00 a | ||
| Months | Total Bacterial Count (log CFU/g) | Yeast and Mold (log CFU/g) | ||||||||||
|---|---|---|---|---|---|---|---|---|---|---|---|---|
| CB | TB | CB | TB | |||||||||
| 4 °C | 30 °C | 55 °C | 4 °C | 30 °C | 55 °C | 4 °C | 30 °C | 55 °C | 4 °C | 30 °C | 55 °C | |
| 0 | 4.30 ± 0.00 a | 4.30 ± 0.00 a | 4.30 ± 0.00 d | 3.21 ± 0.06 ab | 3.21 ± 0.06 a | 3.21 ± 0.06 e | 2.10 ± 0.17 a | 2.10 ± 0.17 a | 2.10 ± 0.17 | 2.20 ± 0.17 a | 2.20 ± 0.17 a | 2.10 ± 0.17 |
| 1 | 4.33 ± 0.01 ab | 4.50 ± 0.03 b | 3.78 ± 0.02 a | 3.19 ± 0.02 a | 3.40 ± 0.02 bc | 2.56 ± 0.07 d | 2.20 ± 0.17 ab | 2.40 ± 0.17 b | <1 | 2.30 ± 0.00 a | 2.36 ± 0.10 ab | <1 |
| 2 | 4.36 ± 0.02 cd | 4.52 ± 0.03 b | 3.84 ± 0.05 bc | 3.24 ± 0.03 ab | 3.38 ± 0.02 b | 2.56 ± 0.07 d | 2.30 ± 0.00 ab | 2.65 ± 0.16 bc | <1 | 2.26 ± 0.24 a | 2.42 ± 0.10 ab | <1 |
| 3 | 4.34 ± 0.00 bc | 4.53 ± 0.01 b | 3.83 ± 0.00 bc | 3.29 ± 0.03 bc | 3.41 ± 0.04 bc | 2.48 ± 0.00 cd | 2.20 ± 0.17 ab | 2.65 ± 0.16 bc | <1 | 2.36 ± 0.10 a | 2.40 ± 0.17 ab | <1 |
| 4 | 4.38 ± 0.02 d | 4.53 ± 0.01 b | 3.86 ± 0.02 c | 3.36 ± 0.09 cd | 3.40 ± 0.01 bc | 2.30 ± 0.00 bc | 2.30 ± 0.00 ab | 2.75 ± 0.05 c | <1 | 2.26 ± 0.24 a | 2.52 ± 0.07 b | <1 |
| 5 | 4.44 ± 0.02 e | 4.64 ± 0.04 c | 3.81 ± 0.01 ab | 3.37 ± 0.02 cd | 3.46 ± 0.02 c | 2.10 ± 0.17 a | 2.30 ± 0.00 ab | 2.75 ± 0.05 c | <1 | 2.26 ± 0.24 a | 2.42 ± 0.10 ab | <1 |
| 6 | 4.47 ± 0.03 e | 4.71 ± 0.01 d | 3.81 ± 0.01 ab | 3.39 ± 0.08 d | 3.53 ± 0.04 d | 2.20 ± 0.17 ab | 2.36 ± 0.10 b | 2.78 ± 0.16 c | <1 | 2.30 ± 0.00 a | 2.56 ± 0.07 b | <1 |
Disclaimer/Publisher’s Note: The statements, opinions and data contained in all publications are solely those of the individual author(s) and contributor(s) and not of MDPI and/or the editor(s). MDPI and/or the editor(s) disclaim responsibility for any injury to people or property resulting from any ideas, methods, instructions or products referred to in the content. |
© 2024 by the authors. Licensee MDPI, Basel, Switzerland. This article is an open access article distributed under the terms and conditions of the Creative Commons Attribution (CC BY) license (https://creativecommons.org/licenses/by/4.0/).
Share and Cite
Chen, Y.-L.; Yang, K.-M.; Shiao, X.-Y.; Huang, J.-J.; Ma, Y.-A.; Chiang, P.-Y. Relationship between Storage Quality and Functionality of Common Buckwheat (Fagopyrum esculentum Moench) and Tartary Buckwheat (Fagopyrum tataricum Gaertn) at Different Temperatures. AgriEngineering 2024, 6, 3121-3136. https://doi.org/10.3390/agriengineering6030178
Chen Y-L, Yang K-M, Shiao X-Y, Huang J-J, Ma Y-A, Chiang P-Y. Relationship between Storage Quality and Functionality of Common Buckwheat (Fagopyrum esculentum Moench) and Tartary Buckwheat (Fagopyrum tataricum Gaertn) at Different Temperatures. AgriEngineering. 2024; 6(3):3121-3136. https://doi.org/10.3390/agriengineering6030178
Chicago/Turabian StyleChen, Yen-Liang, Kai-Min Yang, Xin-Yu Shiao, Jan-Jeng Huang, Yu-An Ma, and Po-Yuan Chiang. 2024. "Relationship between Storage Quality and Functionality of Common Buckwheat (Fagopyrum esculentum Moench) and Tartary Buckwheat (Fagopyrum tataricum Gaertn) at Different Temperatures" AgriEngineering 6, no. 3: 3121-3136. https://doi.org/10.3390/agriengineering6030178
APA StyleChen, Y.-L., Yang, K.-M., Shiao, X.-Y., Huang, J.-J., Ma, Y.-A., & Chiang, P.-Y. (2024). Relationship between Storage Quality and Functionality of Common Buckwheat (Fagopyrum esculentum Moench) and Tartary Buckwheat (Fagopyrum tataricum Gaertn) at Different Temperatures. AgriEngineering, 6(3), 3121-3136. https://doi.org/10.3390/agriengineering6030178

