Machine Learning for Precise Rice Variety Classification in Tropical Environments Using UAV-Based Multispectral Sensing
Abstract
:1. Introduction
2. Methods
2.1. Location and Instruments
2.2. Experimental Plot Design
2.3. Airborne Data Processing
2.4. Feature Selection
2.5. Classification Algorithms
2.6. Accuracy Assessment
2.7. Feature Contribution Analysis
3. Results
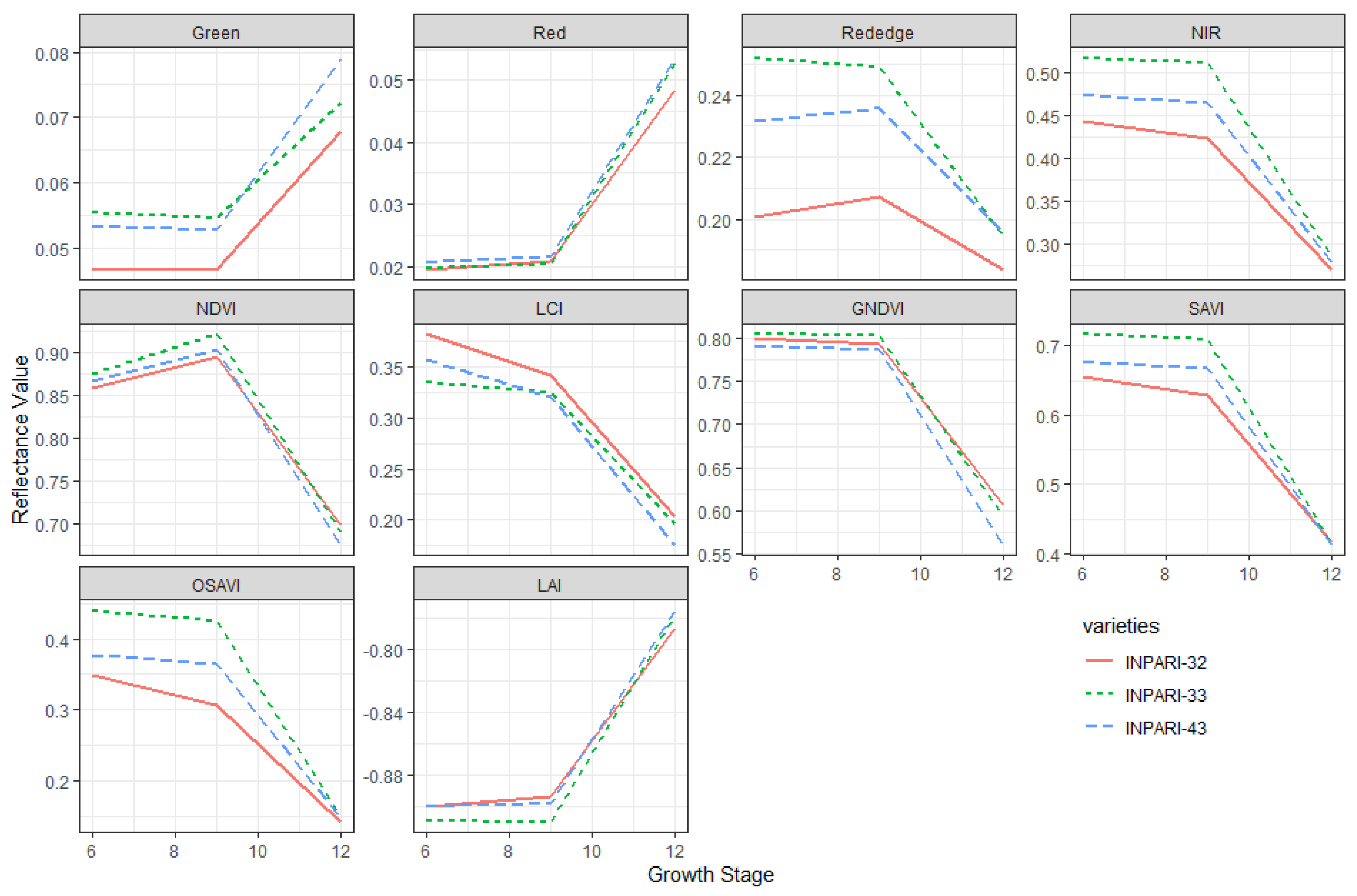
3.1. Spectral Characteristics of Observed Plants
3.2. Feature Selection
3.3. Varieties Classification
3.4. Features Contribution
4. Discussion
5. Conclusions and Future Works
Author Contributions
Funding
Data Availability Statement
Acknowledgments
Conflicts of Interest
References
- Hussain, S.; Fujii, T.; McGoey, S.; Yamada, M.; Ramzan, M.; Akmal, M. Evaluation of Different Rice Varieties for Growth and Yield Characteristics. J. Anim. Plant Sci. 2014, 24, 1504–1510. [Google Scholar]
- Karthikraja, M.; Sudhakar, P.; Ramesh, S.; Kumar, B.S. Evaluation of Rice Varieties for Growth and Yield Performance in Aerobic Cultivation. Int. J. Plant Soil Sci. 2022, 34, 532–538. [Google Scholar] [CrossRef]
- Hutapea, P.P.; Ginting, J.; Rahmawati, N. Growth And Production Of Several Rice Varieties with The Biochar from Different Sources of Materials. AGRITEPA J. Ilmu dan Teknol. Pertan. 2022, 9, 247–258. [Google Scholar] [CrossRef]
- Nagabovanalli Basavarajappa, P.; Shruthi, P.; Lingappa, M.; G, K.G.; Goudra Mahadevappa, S. Nutrient Requirement and Use Efficiency of Rice (Oryza sativa L.) as Influenced by Graded Levels of Customized Fertilizer. J. Plant Nutr. 2021, 44, 2897–2911. [Google Scholar] [CrossRef]
- Sun, T.; Yang, X.; Tang, S.; Han, K.; He, P.; Wu, L. Genotypic Variation in Nutrient Uptake Requirements of Rice Using the QUEFTS Model. Agronomy 2021, 11, 26. [Google Scholar] [CrossRef]
- Vu, D.H.; Stuerz, S.; Asch, F. Nutrient Uptake and Assimilation under Varying Day and Night Root Zone Temperatures in Lowland Rice. J. Plant Nutr. Soil Sci. 2020, 183, 602–614. [Google Scholar] [CrossRef]
- Astuti, L.P. Susceptibility of Four Rice Types to Sitophilus Oryzae Linnaeus (Coleoptera: Curculionidae). Agrivita 2019, 41, 277–283. [Google Scholar] [CrossRef]
- Syahri; Somantri, R.U. The Use of Improved Varieties Resistant to Pests and Diseases to Increase National Rice Production. J. Litbang Pert. 2016, 35, 25–36. [Google Scholar]
- Santoso, A.A.; Kartikawati, R.; Mellyga WP, D.; Supraptomo, E.; Fikra, M. Productivity of Four Rice Varieties and Pest Diseases with the Application of Environment Friendly Agriculture Technology in Jaken, Pati, Central Java. Agric 2022, 34, 35–44. [Google Scholar] [CrossRef]
- Rasheed, S.; Venkatesh, P.; Singh, D.R.; Renjini, V.R.; Jha, G.K.; Sharma, D.K. Who Cultivates Traditional Paddy Varieties and Why? Findings from Kerala, India. Curr. Sci. 2021, 121, 1188–1193. [Google Scholar] [CrossRef]
- Haridasan, A.; Thomas, J.; Raj, E.D. Deep Learning System for Paddy Plant Disease Detection and Classification. Environ. Monit. Assess. 2023, 195, 120. [Google Scholar] [CrossRef] [PubMed]
- Al Viandari, N.; Wihardjaka, A.; Pulunggono, H.B. Suwardi Sustainable Development Strategies of Rainfed Paddy Fields in Central Java, Indonesia: A Review. Caraka Tani J. Sustain. Agric. 2022, 37, 275–288. [Google Scholar] [CrossRef]
- Latif, M.S.; Kazmi, R.; Khan, N.; Majeed, R.; Ikram, S.; Ali-Shahid, M. Pest Prediction in Rice Using IoT and Feed forward Neural Network. KSII Trans. Internet Inf. Syst. 2022, 161, 133–153. [Google Scholar] [CrossRef]
- Karthikeyan, L.; Chawla, I.; Mishra, A.K. A Review of Remote Sensing Applications in Agriculture for Food Security: Crop Growth and Yield, Irrigation, and Crop Losses. J. Hydrol. 2020, 586, 124905. [Google Scholar] [CrossRef]
- Sishodia, R.P.; Ray, R.L.; Singh, S.K. Applications of Remote Sensing in Precision Agriculture: A Review. Remote Sens. 2020, 12, 3136. [Google Scholar] [CrossRef]
- Mutanga, O.; Dube, T.; Galal, O. Remote Sensing of Crop Health for Food Security in Africa: Potentials and Constraints. Remote Sens. Appl. Soc. Environ. 2017, 8, 231–239. [Google Scholar] [CrossRef]
- Usha, K.; Singh, B. Potential Applications of Remote Sensing in Horticulture—A Review. Sci. Hortic. 2013, 153, 71–83. [Google Scholar] [CrossRef]
- Ecke, S.; Dempewolf, J.; Frey, J.; Schwaller, A.; Endres, E.; Klemmt, H.J.; Tiede, D.; Seifert, T. UAV-Based Forest Health Monitoring: A Systematic Review. Remote Sens. 2022, 14, 3205. [Google Scholar] [CrossRef]
- Laporte-Fauret, Q.; Marieu, V.; Castelle, B.; Michalet, R.; Bujan, S.; Rosebery, D. Low-Cost UAV for High-Resolution and Large-Scale Coastal Dune Change Monitoring Using Photogrammetry. J. Mar. Sci. Eng. 2019, 7, 63. [Google Scholar] [CrossRef]
- Bareth, G.; Aasen, H.; Bendig, J.; Gnyp, M.L.; Bolten, A.; Jung, A.; Michels, R.; Soukkamäki, J. Low-Weight and UAV-Based Hyperspectral Full-Frame Cameras for Monitoring Crops: Spectral Comparison with Portable Spectroradiometer Measurements. Photogramm. Fernerkund. Geoinf. 2015, 103, 69–79. [Google Scholar] [CrossRef]
- Al-Rawabdeh, A.; He, F.; Moussa, A.; El-Sheimy, N.; Habib, A. Using an Unmanned Aerial Vehicle-Based Digital Imaging System to Derive a 3D Point Cloud for Landslide Scarp Recognition. Remote Sens. 2016, 8, 95. [Google Scholar] [CrossRef]
- Linli, L.; Ying, L.; Xuyang, Z.; Yongdong, S.; Xiaoyang, C. Application of Unmanned Aerial Vehicle in Surface Soil Characterization and Geological Disaster Monitoring in Mining Areas. Meitiandizhi Yu Kantan/Coal Geol. Explor. 2021, 49, 25. [Google Scholar] [CrossRef]
- Gómez, C.; Goodbody, T.R.H.; Coops, N.C.; Álvarez-Taboada, F.; Sanz-Ablanedo, E. Forest Ecosystem Monitoring Using Unmanned Aerial Systems. In Unmanned Aerial Remote Sensing; CRC Press: Boca Raton, FL, USA, 2020. [Google Scholar]
- Liu, J.; Chen, P.; Xu, X. Estimating Wheat Coverage Using Multispectral Images Collected by Unmanned Aerial Vehicles and a New Sensor. In Proceedings of the 2018 7th International Conference on Agro-Geoinformatics, Agro-Geoinformatics 2018, Hangzhou, China, 6–9 August 2018. [Google Scholar]
- Pilarska, M.; Ostrowski, W.; Bakuła, K.; Górski, K.; Kurczyński, Z. The Potential of Light Laser Scanners Developed for Unmanned Aerial Vehicles—The Review and Accuracy. Int. Arch. Photogramm. Remote Sens. Spatial Inf. Sci. 2016, XLII-2/W2, 87–95. [Google Scholar] [CrossRef]
- Niu, H. A UAV Resolution and Waveband Aware Path Planning for Onion Irrigation Treatments Inference. In Proceedings of the 2019 International Conference on Unmanned Aircraft Systems (ICUAS), Atlanta, GA, USA, 11–14 June 2019; pp. 808–812. [Google Scholar] [CrossRef]
- Fawcett, D.; Panigada, C.; Tagliabue, G.; Boschetti, M.; Celesti, M.; Evdokimov, A.; Biriukova, K.; Colombo, R.; Miglietta, F.; Rascher, U.; et al. Multi-Scale Evaluation of Drone-Based Multispectral Surface Reflectance and Vegetation Indices in Operational Conditions. Remote Sens. 2020, 12, 514. [Google Scholar] [CrossRef]
- Gitelson, A.A.; Chivkunova, O.B.; Merzlyak, M.N. Nondestructive Estimation of Anthocyanins and Chlorophylls in Anthocyanic Leaves. Am. J. Bot. 2009, 96, 1861–1868. [Google Scholar] [CrossRef] [PubMed]
- Peng, Y.; Nguy-Robertson, A.; Arkebauer, T.; Gitelson, A.A. Assessment of Canopy Chlorophyll Content Retrieval in Maize and Soybean: Implications of Hysteresis on the Development of Generic Algorithms. Remote Sens. 2017, 9, 226. [Google Scholar] [CrossRef]
- Widjaja Putra, B.T.; Soni, P. Evaluating NIR-Red and NIR-Red Edge External Filters with Digital Cameras for Assessing Vegetation Indices under Different Illumination. Infrared Phys. Technol. 2017, 81, 148–156. [Google Scholar] [CrossRef]
- Boiarskii, B. Comparison of NDVI and NDRE Indices to Detect Differences in Vegetation and Chlorophyll Content. J. Mech. Contin. Math. Sci. 2019, spl1, 20–29. [Google Scholar] [CrossRef]
- Onojeghuo, A.O.; Blackburn, G.A.; Wang, Q.; Atkinson, P.M.; Kindred, D.; Miao, Y. Mapping Paddy Rice Fields by Applying Machine Learning Algorithms to Multi-Temporal {Sentinel}-1A and {Landsat} Data. Int. J. Remote Sens. 2017, 39, 1042–1067. [Google Scholar] [CrossRef]
- Zheng, B.; Myint, S.W.; Thenkabail, P.S.; Aggarwal, R.M. A Support Vector Machine to Identify Irrigated Crop Types Using Time-Series {Landsat} {NDVI} Data. Int. J. Appl. Earth Obs. Geoinf. 2015, 34, 103–112. [Google Scholar] [CrossRef]
- Wang, L.; Liu, D.; Pu, H.; Sun, D.-W.; Gao, W.; Xiong, Z. Use of Hyperspectral Imaging to Discriminate the Variety and Quality of Rice. Food Anal. Methods 2015, 8, 515–523. [Google Scholar] [CrossRef]
- Darvishsefat, A.A.; Abbasi, M.; Schaepman, M.E. Evaluation of Spectral Reflectance of Seven Iranian Rice Varieties Canopies. J. Agric. Sci. Technol. 2011, 13, 1091–1104. [Google Scholar]
- Karaçali, B.; Snyder, W. Automatic Target Detection Using Multispectral Imaging. In Proceedings of the Applied Imagery Pattern Recognition Workshop, Washington, DC, USA, 16–18 October 2002; Volume 2002. [Google Scholar]
- Zhou, X.; Marani, M.; Albertson, J.D.; Silvestri, S. Hyperspectral and Multispectral Retrieval of Suspended Sediment in Shallow Coastal Waters Using Semi-Analytical and Empirical Methods. Remote Sens. 2017, 9, 393. [Google Scholar] [CrossRef]
- Badzmierowski, M.J.; McCall, D.S.; Evanylo, G. Using Hyperspectral and Multispectral Indices to Detect Water Stress for an Urban Turfgrass System. Agronomy 2019, 9, 439. [Google Scholar] [CrossRef]
- Slameto; Fariroh, I.; Rusdiana, R.Y.; Kriswanto, B. Nitrogen Fertilizer Reduction on Way Apo Buru and Inpari 33 Rice Varieties. Indones. J. Agron. 2022, 50, 132–138. [Google Scholar] [CrossRef]
- Ghazali, M.F.; Wikantika, K.; Aryantha, I.N.P.; Maulani, R.R.; Yayusman, L.F.; Sumantri, D.I. Integration of Spectral Measurement and UAV for Paddy Leaves Chlorophyll Content Estimation. Sci. Agric. Bohem. 2020, 51, 86–97. [Google Scholar] [CrossRef]
- Agustian, A.; Aldillah, R.; Nurjati, E.; Yaumidin, U.K.; Muslim, C.; Ariningsih, E.; Rachmawati, R.R. Analysis of the Utilization of Rice Seeds of Improved Variety (Inpari 32) in Indramayu District, West Java. IOP Conf. Ser. Earth Environ. Sci. 2022, 1114, 012098. [Google Scholar] [CrossRef]
- Olsson, P.O.; Vivekar, A.; Adler, K.; Garcia Millan, V.E.; Koc, A.; Alamrani, M.; Eklundh, L. Radiometric Correction of Multispectral Uas Images: Evaluating the Accuracy of the Parrot Sequoia Camera and Sunshine Sensor. Remote Sens. 2021, 13, 577. [Google Scholar] [CrossRef]
- Li, F.; Miao, Y.; Feng, G.; Yuan, F.; Yue, S.; Gao, X.; Liu, Y.; Liu, B.; Ustin, S.L.; Chen, X. Improving Estimation of Summer Maize Nitrogen Status with Red Edge-Based Spectral Vegetation Indices. F. Crop. Res. 2014, 157, 111–123. [Google Scholar] [CrossRef]
- Huete, A.; Didan, K.; Miura, T.; Rodriguez, E.P.; Gao, X.; Ferreira, L.G. Overview of the Radiometric and Biophysical Performance of the MODIS Vegetation Indices. Remote Sens. Environ. 2002, 83, 195–213. [Google Scholar] [CrossRef]
- Gitelson, A.A.; Kaufman, Y.J.; Merzlyak, M.N. Use of a Green Channel in Remote Sensing of Global Vegetation from EOS- MODIS. Remote Sens. Environ. 1996, 58, 289–298. [Google Scholar] [CrossRef]
- Huete, A.R. A Soil-Adjusted Vegetation Index (SAVI). Remote Sens. Environ. 1988, 25, 295–309. [Google Scholar] [CrossRef]
- Wan, L.; Cen, H.; Zhu, J.; Li, Y.; Zhu, Y.; Sun, D.; Weng, H.; He, Y. Combining UAV-Based Vegetation Indices, Canopy Height and Canopy Coverage to Improve Rice Yield Prediction under Different Nitrogen Levels. In Proceedings of the 2019 ASABE Annual International Meeting, Boston, MA, USA, 7–10 July 2019. [Google Scholar]
- Carlson, T.N.; Ripley, D.A. On the Relation between NDVI, Fractional Vegetation Cover, and Leaf Area Index. Remote Sens. Environ. 1997, 62, 241–252. [Google Scholar] [CrossRef]
- Freund, Y.; Schapire, R.E. Experiments with a New Boosting Algorithm. In ICML’96: Proceedings of the Thirteenth International Conference on Machine Learning, Bari, Italy, 3–6 July 1996; Morgan Kaufmann Publishers Inc.: San Francisco, CA, USA, 1996. [Google Scholar]
- Friedman, J.H. Greedy Function Approximation: A Gradient Boosting Machine. Ann. Stat. 2001, 29, 1189–1232. [Google Scholar] [CrossRef]
- Cox, D.R. The Regression Analysis of Binary Sequences. J. R. Stat. Soc. Ser. B 1958, 20, 215–232. [Google Scholar] [CrossRef]
- Lian, B.; Kartal, Y.; Lewis, F.L.; Mikulski, D.G.; Hudas, G.R.; Wan, Y.; Davoudi, A. Anomaly Detection and Correction of Optimizing Autonomous Systems with Inverse Reinforcement Learning. IEEE Trans. Cybern. 2022, 53, 4555–4566. [Google Scholar] [CrossRef]
- Rosenblatt, F. The Perceptron: A Perceiving and Recognizing Automation; Report; Cornell Aeronautical Laboratory: New York, NY, USA, 1957. [Google Scholar]
- Breiman, L. Random Forests—Random Features. Mach. Learn. 2001, 45, 5–32. [Google Scholar] [CrossRef]
- Wolpert, D.H. Stacked Generalization. Neural Netw. 1992, 5, 241–259. [Google Scholar] [CrossRef]
- Vapnik, V.N. The Nature of Statistical Learning Theory; Springer Science & Business Media: Berlin/Heidelberg, Germany, 1995. [Google Scholar]
- Quinlan, J.R. Induction of Decision Trees. Mach. Learn. 1986, 1, 81–106. [Google Scholar] [CrossRef]
- Demšar, J.; Curk, T.; Erjavec, A.; Gorup, Č.; Hočevar, T.; Milutinovič, M.; Možina, M.; Polajnar, M.; Toplak, M.; Starič, A.; et al. Orange: Data Mining Toolbox in Python. J. Mach. Learn. Res. 2013, 14, 2349–2353. [Google Scholar]
- Lundberg, S.M.; Lee, S.-I. A Unified Approach to Interpreting Model Predictions. In Advances in Neural Information Processing Systems; Guyon, I., Luxburg, U., Von Bengio, S., Wallach, H., Fergus, R., Vishwanathan, S., Garnett, R., Eds.; Curran Associates, Inc.: Boston, MA, USA, 2017; Volume 30. [Google Scholar]
- Huete, A.R. 11—Remote sensing for environmental monitoring. In Environmental Monitoring and Characterization; Artiola, J.F., Pepper, I.L., Brusseau, M.L., Eds.; Academic Press: Burlington, ON, Canada, 2004; pp. 183–206. ISBN 978-0-12-064477-3. [Google Scholar]
- Domiri, D.D. The New Method for Detecting Early Planting and Bare Land Condition in Paddy Field by Using Vegetation-Bare-Water Index. In Proceedings of the 2nd International Conference of Indonesian Society for Remote Sensing, Yogyakarta, Indonesia, 17–19 October 2016. [Google Scholar]
- Wijayanto, A.K.; Prasetyo, L.B.; Setiawan, Y. Spectral Pattern of Paddy as Response to Drought Condition: An Experimental Study. J. Pengelolaan Sumberd. Alam dan Lingkung 2021, 11, 83–92. [Google Scholar] [CrossRef]
- Choi, W.Y.; Park, H.-K.; Kang, S.; Kim, S.S.; Choi, S.-Y. Effects Water Stress on Physiological Traits at Various Growth-stages of Rice. Korean J. Crop Sci. 1999, 44, 282–287. [Google Scholar]
- Sui, B.; Feng, X.; Tian, G.; Hu, X.; Shen, Q.; Guo, S. Optimizing Nitrogen Supply Increases Rice Yield and Nitrogen Use Efficiency by Regulating Yield Formation Factors. F. Crop. Res. 2013, 150, 99–107. [Google Scholar] [CrossRef]
- Hao, F.; Cheng, J.; Wang, L.; Cao, J. Instance-Level Embedding Adaptation for Few-Shot Learning. IEEE Access 2019, 7, 100501–100511. [Google Scholar] [CrossRef]
- Tan, K.C.; Lim, H.S.; Jafri, M.Z.M. Comparison of Neural Network and Maximum Likelihood Classifiers for Land Cover Classification Using Landsat Multispectral Data. In Proceedings of the 2011 IEEE Conference on Open Systems, ICOS 2011, Langkawi, Malaysia, 25–28 September 2011. [Google Scholar]
- Etheridge, H.L.; Sriram, R.S.; Hsu, H.Y.K. A Comparison of Selected Artificial Neural Networks That Help Auditors Evaluate Client Financial Viability. Decis. Sci. 2000, 31, 531–550. [Google Scholar] [CrossRef]
- Senan, N.; Aamir, M.; Ibrahim, R.; Taujuddin, N.S.A.M.; Muda, W.H.N.W. An Efficient Convolutional Neural Network for Paddy Leaf Disease and Pest Classification. Int. J. Adv. Comput. Sci. Appl. 2020, 11, 116–122. [Google Scholar] [CrossRef]
- Bouguettaya, A.; Zarzour, H.; Kechida, A.; Taberkit, A.M. Recent Advances on UAV and Deep Learning for Early Crop Diseases Identification: A Short Review. In Proceedings of the 2021 International Conference on Information Technology (ICIT), Amman, Jordan, 14–15 July 2021; pp. 334–339. [Google Scholar] [CrossRef]
- Bouguettaya, A.; Zarzour, H.; Kechida, A.; Taberkit, A.M. A Survey on Deep Learning-Based Identification of Plant and Crop Diseases from UAV-Based Aerial Images. Cluster Comput. 2023, 26, 1297–1317. [Google Scholar] [CrossRef]
- Bouguettaya, A.; Zarzour, H.; Kechida, A.; Taberkit, A.M. Deep Learning Techniques to Classify Agricultural Crops through UAV Imagery: A Review. Neural Comput. Appl. 2022, 34, 9511–9536. [Google Scholar] [CrossRef]
- Ramesh, S.; Vydeki, D. Recognition and Classification of Paddy Leaf Diseases Using Optimized Deep Neural Network with Jaya Algorithm. Inf. Process. Agric. 2020, 7, 249–260. [Google Scholar] [CrossRef]
- Muthukumaran, S.; Geetha, P.; Ramaraj, E. Multi-Objective Optimization with Artificial Neural Network Based Robust Paddy Yield Prediction Model. Intell. Autom. Soft Comput. 2023, 35, 215–230. [Google Scholar] [CrossRef]
- Amaratunga, V.; Wickramasinghe, L.; Perera, A.; Jayasinghe, J.; Rathnayake, U.; Zhou, J.G. Artificial Neural Network to Estimate the Paddy Yield Prediction Using Climatic Data. Math. Probl. Eng. 2020, 2020, 1–11. [Google Scholar] [CrossRef]
- Abdullah, S.N.S.; Shabri, A.; Samsudin, R. Use of Empirical Mode Decomposition in Improving Neural Network Forecasting of Paddy Price. MATEMATIKA Malays. J. Ind. Appl. Math. 2019, 35, 53–64. [Google Scholar] [CrossRef]
- Fu, X.; Zhou, L.; Huang, J.; Mo, W.; Zhang, J.; Li, J.; Wang, H.; Huang, X. Relating Photosynthetic Performance to Leaf Greenness in Litchi: A Comparison among Genotypes. Sci. Hortic. 2013, 152, 16–25. [Google Scholar] [CrossRef]











| Unit | Varieties | Number of Repetitions | Sample Points | Total |
|---|---|---|---|---|
| 1 | INPARI-32 | 4 | 20 | 80 |
| INPARI-33 | 4 | 20 | 80 | |
| INPARI-43 | 4 | 20 | 80 | |
| 2 | INPARI-32 | 4 | 20 | 80 |
| INPARI-33 | 4 | 20 | 80 | |
| INPARI-43 | 4 | 20 | 80 | |
| Total | 480 | |||
| VI Name | Formula | Reference |
|---|---|---|
| NDVI | NDVI = (NIR − Red)/(NIR + Red) | [43,44] |
| LCI | LCI = (NIR − RedEdge)/(NIR + RedEdge) | [43] |
| GNDVI | GNDVI = (NIR − Green)/(NIR + Green) | [45] |
| SAVI | SAVI = ((NIR − Red)/(NIR + Red + 0.5)) × 1.5 | [46] |
| OSAVI | OSAVI = ((NIR − Red)/(NIR + Red + 0.16)) × (1 + 0.16) | [47] |
| LAI | LAI = [ln(NIR/Red)/(1.4 × (NIR/Red))] − 1 | [48] |
| Algorithm | Reference |
|---|---|
| AdaBoost | [49] |
| Gradient boosting | [50] |
| Logistic regression | [51] |
| Naïve Bayes | [52] |
| NN | [53] |
| RF | [54] |
| Stack algorithm | [55] |
| SVM | [56] |
| Decision tree | [57] |
| Feature | Six WAP | Nine WAP | Twelve WAP |
|---|---|---|---|
| NIR | O | O | X |
| Green | O | O | O |
| Red | O | X | X |
| Red edge | O | O | X |
| NDVI | X | X | O |
| LCI | X | X | O |
| GNDVI | X | X | O |
| SAVI | X | O | X |
| OSAVI | O | O | X |
| LAI | X | X | O |
| Growth Stage (WAP) | Algorithm | AUC 1 | CA 2 | F1 3 | Precision | Recall |
|---|---|---|---|---|---|---|
| 6 | AdaBoost | 0.648 | 0.530 | 0.535 | 0.545 | 0.530 |
| Gradient boosting | 0.792 * | 0.602 | 0.598 | 0.596 | 0.602 | |
| Logistic regression | 0.634 | 0.458 | 0.518 | 0.417 | 0.458 | |
| Naïve Bayes | 0.722 | 0.417 | 0.500 | 0.499 | 0.517 | |
| NN | 0.790 | 0.618 * | 0.612 * | 0.608 * | 0.618 * | |
| RF | 0.762 | 0.571 | 0.569 | 0.568 | 0.571 | |
| Stack algorithm | 0.786 | 0.608 | 0.597 | 0.592 | 0.608 | |
| SVM | 0.554 | 0.357 | 0.344 | 0.346 | 0.357 | |
| Decision tree | 0.662 | 0.533 | 0.531 | 0.533 | 0.533 | |
| 9 | AdaBoost | 0.590 | 0.454 | 0.455 | 0.458 | 0.454 |
| Gradient boosting | 0.696 | 0.508 | 0.503 | 0.500 | 0.508 | |
| Logistic regression | 0.595 | 0.457 | 0.405 | 0.417 | 0.457 | |
| Naïve Bayes | 0.700 | 0.517 | 0.509 | 0.508 | 0.517 | |
| NN | 0.750 * | 0.590 | 0.580 | 0.579 | 0.590 | |
| RF | 0.704 | 0.549 | 0.545 | 0.542 | 0.549 | |
| Stack algorithm | 0.743 | 0.600 * | 0.581 * | 0.586 * | 0.600 * | |
| SVM | 0.649 | 0.429 | 0.412 | 0.423 | 0.429 | |
| Decision tree | 0.682 | 0.571 | 0.567 | 0.567 | 0.571 | |
| 12 | AdaBoost | 0.662 | 0.550 | 0.550 | 0.550 | 0.550 |
| Gradient boosting | 0.802 | 0.625 | 0.622 | 0.621 | 0.625 | |
| Logistic regression | 0.548 | 0.372 | 0.363 | 0.358 | 0.372 | |
| Naïve Bayes | 0.717 | 0.506 | 0.494 | 0.490 | 0.506 | |
| NN | 0.804 ** | 0.644 ** | 0.642 ** | 0.642 ** | 0.644 ** | |
| RF | 0.788 | 0.628 | 0.626 | 0.626 | 0.628 | |
| Stack algorithm | 0.800 | 0.641 | 0.636 | 0.635 | 0.637 | |
| SVM | 0.646 | 0.359 | 0.368 | 0.387 | 0.359 | |
| Decision tree | 0.666 | 0.528 | 0.532 | 0.537 | 0.528 |
| Growth-Stage (WAP) | Algorithm | INPARI-32 | INPARI-33 | INPARI-43 |
|---|---|---|---|---|
| 6 | AdaBoost | 0.781 | 0.671 | 0.608 |
| Gradient boosting | 0.824 | 0.740 | 0.639 | |
| Logistic regression | 0.655 | 0.652 | 0.608 | |
| Naïve Bayes | 0.743 | 0.665 | 0.627 | |
| NN | 0.828 | 0.759 | 0.649 * | |
| RF | 0.815 | 0.708 | 0.618 | |
| Stack algorithm | 0.834 ** | 0.743 * | 0.639 | |
| SVM | 0.542 | 0.624 | 0.549 | |
| Decision tree | 0.777 | 0.680 | 0.608 | |
| 9 | AdaBoost | 0.705 | 0.625 | 0.578 |
| Gradient boosting | 0.765 | 0.654 | 0.597 | |
| Logistic regression | 0.679 | 0.603 | 0.632 | |
| Naïve Bayes | 0.721 | 0.689 | 0.625 | |
| NN | 0.797 | 0.721 * | 0.663 | |
| RF | 0.781 | 0.683 | 0.635 | |
| Stack algorithm | 0.816 ** | 0.714 | 0.670 | |
| SVM | 0.651 | 0.641 | 0.565 | |
| Decision tree | 0.778 | 0.686 | 0.679 * | |
| 12 | AdaBoost | 0.703 | 0.647 | 0.750 |
| Gradient boosting | 0.728 | 0.694 * | 0.828 | |
| Logistic regression | 0.609 | 0.491 | 0.644 | |
| Naïve Bayes | 0.694 | 0.597 | 0.722 | |
| NN | 0.753 * | 0.694 * | 0.841 ** | |
| RF | 0.750 | 0.684 | 0.828 | |
| Stack algorithm | 0.750 | 0.688 | 0.831 | |
| SVM | 0.500 | 0.497 | 0.722 | |
| Decision tree | 0.684 | 0.597 | 0.775 |
Disclaimer/Publisher’s Note: The statements, opinions and data contained in all publications are solely those of the individual author(s) and contributor(s) and not of MDPI and/or the editor(s). MDPI and/or the editor(s) disclaim responsibility for any injury to people or property resulting from any ideas, methods, instructions or products referred to in the content. |
© 2023 by the authors. Licensee MDPI, Basel, Switzerland. This article is an open access article distributed under the terms and conditions of the Creative Commons Attribution (CC BY) license (https://creativecommons.org/licenses/by/4.0/).
Share and Cite
Wijayanto, A.K.; Junaedi, A.; Sujaswara, A.A.; Khamid, M.B.R.; Prasetyo, L.B.; Hongo, C.; Kuze, H. Machine Learning for Precise Rice Variety Classification in Tropical Environments Using UAV-Based Multispectral Sensing. AgriEngineering 2023, 5, 2000-2019. https://doi.org/10.3390/agriengineering5040123
Wijayanto AK, Junaedi A, Sujaswara AA, Khamid MBR, Prasetyo LB, Hongo C, Kuze H. Machine Learning for Precise Rice Variety Classification in Tropical Environments Using UAV-Based Multispectral Sensing. AgriEngineering. 2023; 5(4):2000-2019. https://doi.org/10.3390/agriengineering5040123
Chicago/Turabian StyleWijayanto, Arif K., Ahmad Junaedi, Azwar A. Sujaswara, Miftakhul B. R. Khamid, Lilik B. Prasetyo, Chiharu Hongo, and Hiroaki Kuze. 2023. "Machine Learning for Precise Rice Variety Classification in Tropical Environments Using UAV-Based Multispectral Sensing" AgriEngineering 5, no. 4: 2000-2019. https://doi.org/10.3390/agriengineering5040123
APA StyleWijayanto, A. K., Junaedi, A., Sujaswara, A. A., Khamid, M. B. R., Prasetyo, L. B., Hongo, C., & Kuze, H. (2023). Machine Learning for Precise Rice Variety Classification in Tropical Environments Using UAV-Based Multispectral Sensing. AgriEngineering, 5(4), 2000-2019. https://doi.org/10.3390/agriengineering5040123

