Spray Deposition and Quality Assessment at Varying Ground Speeds for an Agricultural Sprayer with and without a Rate Controller
Abstract
1. Introduction
2. Materials and Methods
2.1. Site and Application Equipment
2.2. Spray Applications and Data Collection
2.3. Data Analysis
3. Results and Discussion
3.1. Spray Deposition
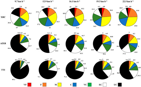
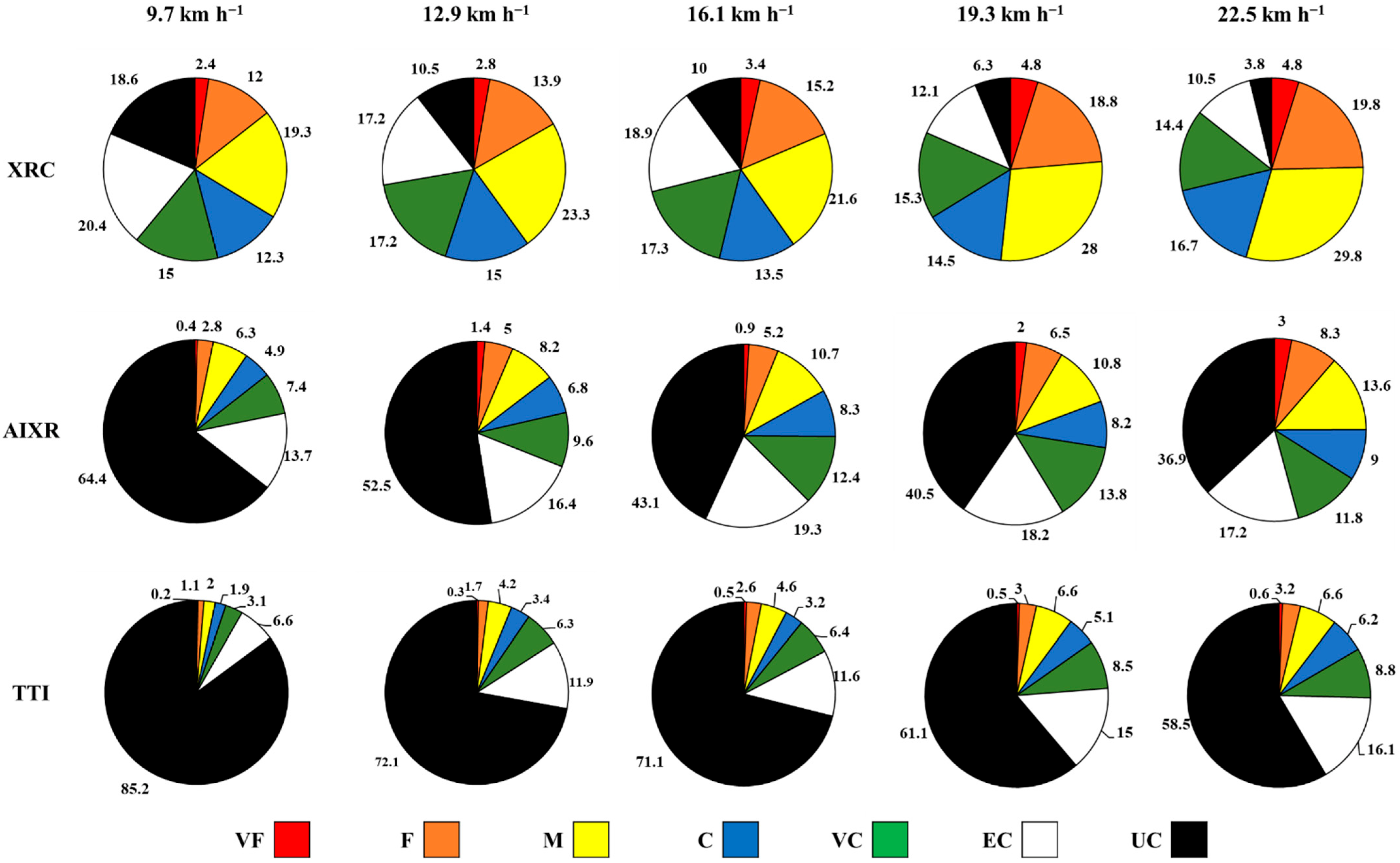
3.2. Spray Quality
4. Conclusions
- For CNS, an increase in the ground speed decreased the quantity of spray droplets applied per unit area and consequently reduced the spray deposition;
- For SRC, the quality of spray droplets and the spray deposition was more consistent among the ground speeds due to the flow rate adjustments (and accordingly spray pressure changes) by the rate controller as ground speed increased;
- Spray quality variations (difference in droplet size distributions) with an increase in the ground speed were observed for both CNS and SRC. However, these variations were greater for SRC because of the changes in spray pressure with ground speed;
- Among nozzle types, the trends in spray deposition and quality were similar for the XRC and TTI nozzles as observed within each sprayer setup (CNS and SRC). The AIXR nozzle exhibited inconsistent spray deposition and quality as ground speed varied.
5. Implications and Future Research
Author Contributions
Funding
Institutional Review Board Statement
Informed Consent Statement
Data Availability Statement
Acknowledgments
Conflicts of Interest
Abbreviations
| AI | Air Induction |
| AIXR | Air Induction Extended Range |
| CNS | Conventional Sprayer without a rate controller |
| PWM | pulse width modulation |
| SRC | Sprayer equipped with a rate controller |
| TTI | Turbo-Teejet Induction |
| VMD | Volume Median Diameter |
| WSP | Water Sensitive Paper |
| XRC | Extended Range |
| Spray Quality | |
| VF | Very Fine |
| F | Fine |
| M | Medium |
| C | Coarse |
| VC | Very Coarse |
| EC | Extremely Coarse |
| UC | Ultra-Coarse |
References
- [USDA-NASS]. United States Department of Agriculture-National Agricultural Statistics Service. 2021 Agricultural Chemical Use Highlights. 2022. Available online: https://www.nass.usda.gov/Surveys/Guide_to_NASS_Surveys/Chemical_Use/ (accessed on 13 November 2022).
- Fernandez-Cornejo, J.; Nehring, R.F.; Osteen, C.; Wechsler, S.; Martin, A.; Vialou, A. Pesticide Use in US Agriculture: 21 Selected Crops, 1960–2008; USDA-ERS Economic Information Bulletin 124; United States Department of Agriculture: Washington, DC, USA, 2014. [Google Scholar] [CrossRef]
- [USDA-NASS]. United States Department of Agriculture-National Agricultural Statistics Service. 2021 U.S. Farm Production Expenditures. 2022. Available online: https://www.nass.usda.gov/Publications/Highlights/2022/2021_FarmExpenditures.pdf (accessed on 11 November 2022).
- Al-Gaadi, K.; Ayers, P. Monitoring controller-based field sprayer performance. Appl. Eng. Agric. 1994, 10, 205–208. [Google Scholar] [CrossRef]
- Ayers, P.; Rogowski, S.; Kimble, B. An investigation of factors affecting sprayer control system performance. Appl. Eng. Agric. 1990, 6, 701–706. [Google Scholar] [CrossRef]
- Luck, J.; Zandonadi, R.; Luck, B.; Shearer, S. Reducing pesticide over-application with map-based automatic boom section control on agricultural sprayers. Trans. ASABE 2010, 53, 685–690. [Google Scholar] [CrossRef]
- Sharda, A.; Fulton, J.P.; McDonald, T.P.; Zech, W.C.; Darr, M.J.; Brodbeck, C.J. Real-time pressure and flow dynamics due to boom section and individual nozzle control on agricultural sprayers. Trans. ASABE 2010, 53, 1363–1371. [Google Scholar] [CrossRef]
- Butts, T.R.; Samples, C.A.; Franca, L.X.; Dodds, D.M.; Reynolds, D.B.; Adams, J.W.; Zollinger, R.K.; Howatt, K.A.; Fritz, B.K.; Clint Hoffmann, W. Spray droplet size and carrier volume effect on dicamba and glufosinate efficacy. Pest Manag. Sci. 2018, 74, 2020–2029. [Google Scholar] [CrossRef] [PubMed]
- Virk, S.; Meena, R. Pulse Width Modulation Technology for Agricultural Sprayers. University of Georgia Cooperative Extension, Athens, GA. Circular 1277; 2022; pp. 1–8. Available online: https://extension.uga.edu/publications/detail.html?number=C1277 (accessed on 14 February 2023).
- Miller, P.; Smith, R. The effects of forward speed on the drift from boom sprayers. In Proceedings of the Brighton Crop Protection Conference, Weeds, Brighton, UK, 17–20 November 1997. [Google Scholar]
- Taylor, W.; Anderson, P.; Cooper, S. The use of air assistance in a field crop sprayer to reduce drift and modify drop trajectories. In Proceedings of the Brighton Crop Protection Conference, Weeds, Brighton, UK, 20–23 November 1989. [Google Scholar]
- Hofman, V.; Solseng, E. Reducing Spray Drift. North Dakota State University Extension Service; Agricultural and Biosystems Engineering: Fargo, ND, USA, 2001; Available online: http://hdl.handle.net/10365/5111 (accessed on 11 November 2022).
- Nuyttens, D.; De Schampheleire, M.; Baetens, K.; Sonck, B. The influence of operator-controlled variables on spray drift from field crop sprayers. Trans. ASABE 2007, 50, 1129–1140. [Google Scholar] [CrossRef]
- Virk, S.; Prostko, E.; Kemerait, R.; Abney, M.; Rains, G.; Powell, C.; Carlson, D.; Jacobs, J.; Tyson, W. On-Farm Evaluation of Nozzle Types for Peanut Pest Management Using Commercial Sprayers. Peanut Sci. 2021, 48, 87–96. [Google Scholar] [CrossRef]
- Ozkan, H.; Womac, A. Best Management Practices for Boom Spraying. Ohio State University Extension Publication AEX-527-05. 2005. Available online: https://ohioline.osu.edu/factsheet/fabe-527 (accessed on 11 November 2022).
- ASABE S572.3; Spray Nozzle Classification by Droplet Spectra. American Society of Agricultural Biological Engineers: St. Joseph, MI, USA, 2020.
- Ramsdale, B.K.; Messersmith, C.G. Drift-reducing nozzle effects on herbicide performance. Weed Technol. 2001, 15, 453–460. [Google Scholar] [CrossRef]
- Etheridge, R.E.; Womac, A.R.; Mueller, T.C. Characterization of the spray droplet spectra and patterns of four venturi-type drift reduction nozzles. Weed Technol. 1999, 13, 765–770. [Google Scholar] [CrossRef]
- Lund, I. Nozzles for drift reduction. Asp. Appl. Biol. 2000, 57, 97–102. [Google Scholar]
- Carter, O.; Prostko, E.; Davis, J. The influence of nozzle type on peanut weed control programs. Peanut Sci. 2017, 44, 93. [Google Scholar] [CrossRef]
- Bouse, L.; Kirk, I.; Bode, L. Effect of spray mixture on droplet size. Trans. ASAE 1990, 33, 783–0788. [Google Scholar] [CrossRef]
- Hanna, M.; Kruckeberg, J.; Darr, M.; Steward, B. Nozzle and droplet size effects on pesticide performance and drift. In Proceedings of the 21st Annual Integrated Crop Management Conference, Ames, IA, USA, 1 December 2009; Iowa State University: Ames, IA, USA, 2009; pp. 49–52. [Google Scholar]
- Taylor, W.; Womac, A.; Miller, P.; Taylor, B. An Attempt to Relate Drop Size to Drift Risk. In Proceedings of the International Conference on Pesticide Application for Drift Management, Waikoloa, HI, USA, 27–29 October 2004; Washington State University: Pullman, WA, USA, 2004; pp. 210–213. [Google Scholar]
- Yates, W.E.; Cowden, R.E.; Akesson, N.B. Drop size spectra from nozzles in high-speed airstreams. Trans. ASAE 1985, 28, 405–0410. [Google Scholar] [CrossRef]
- TeeJet Technologies. A User Guide to Spray Nozzles. 2013. Available online: http://www.teejet.com/ (accessed on 11 November 2022).
- Ferguson, J.C.; Hewitt, A.J.; O’Donnell, C.C. Pressure, droplet size classification, and nozzle arrangement effects on coverage and droplet number density using air-inclusion dual fan nozzles for pesticide applications. Crop Prot. 2016, 89, 231–238. [Google Scholar] [CrossRef]
- Carroll, J. The Effects of Sprayer Speed and Droplet Size on Herbicide Burndown Efficacy. Master’s Thesis, University of Arkansas, Fayetteville, AK, USA, 2017. Available online: https://scholarworks.uark.edu/etd/2435 (accessed on 11 November 2022).
- Ozkan, H.E.; Zhu, H. Effects of Major Variables on Drift Distances of Spray Droplets; Ohio State Cooperative Extension: Columbus, OH, USA, 1998; pp. 525–598. [Google Scholar]
- Wolf, T.M.; Grover, R.; Wallace, K.; Shewchuk, S.R.; Maybank, J. Effect of protective shields on drift and deposition characteristics of field sprayers. Can. J. Plant Sci. 1993, 73, 1261–1273. [Google Scholar] [CrossRef]
- Van de Zande, J.; Stallinga, H.; Michielsen, J.; Van Velde, P. Effect of sprayer speed on spray drift. Annu. Rev. Agric. Eng. 2005, 4, 129–142. [Google Scholar]
- Al Heidary, M.; Douzals, J.P.; Sinfort, C.; Vallet, A. Influence of spray characteristics on potential spray drift of field crop sprayer: A literature review. Crop Prot. 2014, 63, 120–130. [Google Scholar] [CrossRef]
- ASABE S592.1; Best Management Practices for Boom Spraying. American Society of Agricultural Biological Engineers: St. Joseph, MI, USA, 2020.





| Application | Herbicides | Active Ingredient | Rate (kg ha−1) |
|---|---|---|---|
| Pre- Emergence | Prowl | Pendimethalin | 1.06 |
| Valor | Flumioxazin | 0.11 | |
| Strongarm | Diclosulam | 0.01 | |
| Post- Emergence | Cadre | Imazapic | 0.07 |
| Dual Magnum | S-metolachlor | 0.90 | |
| Butyrac | 2,4-dichloro-phenoxyacetic acid | 0.90 |
| Year | Temperature (°C) | Relative Humidity (%) | Dew Point (°C) | Wind Speed (m s−1) | Wind Direction |
|---|---|---|---|---|---|
| 2021 | 30.8 ± 1.3 | 56.4 ± 9.9 | 20.9 ± 1.7 | 0.6 ± 0.6 | ESE |
| 2022 | 28.8 ± 1.7 | 75.0 ± 0.9 | 23.9 ± 0.5 | 1.0 ± 0.7 | NNW |
| Nozzle Type | Spray Coverage | Quantity of Spray Droplets | ||
|---|---|---|---|---|
| CNS | SRC | CNS | SRC | |
| XRC | <0.0001 * | NS | 0.0002 * | NS |
| AIXR | <0.0003 * | 0.016 * | NS | 0.0027 * |
| TTI | <0.0002 * | NS | 0.0042 * | NS |
| Speed | Spray Coverage a | Quantity of Spray Droplets a | ||||
|---|---|---|---|---|---|---|
| (km h−1) | XRC | AIXR | TTI | XRC | AIXR | TTI |
| 9.7 | 40.1 a | 35.9 a | 26.3 a | 5746 a | 2733 | 905 a |
| 12.9 | 29.7 b | 29.5 b | 23.4 a | 4933 ab | 3089 | 601 c |
| 16.1 | 23.5 c | 22.0 c | 17.0 b | 4589 b | 2074 | 404 bc |
| 19.3 | 16.0 d | 21.0 c | 14.1 b | 2819 c | 2921 | 604 b |
| 22.5 | 11.3 e | 18.0 c | 9.4 c | 2363 c | 2955 | 566 b |
| Speed | Spray Coverage a | Quantity of Spray Droplets a | ||||
|---|---|---|---|---|---|---|
| (km h−1) | XRC | AIXR | TTI | XRC | AIXR | TTI |
| 9.7 | 41.0 | 43.5 ab | 37.5 | 6845 | 2441 b | 1325 |
| 12.9 | 50.8 | 49.4 a | 34.3 | 7893 | 5736 a | 1677 |
| 16.1 | 46.9 | 37.9 bc | 35.7 | 8626 | 3371 b | 2263 |
| 19.3 | 34.5 | 25.2 d | 31.2 | 7355 | 3366 b | 2092 |
| 22.5 | 37.2 | 32.1 cd | 28.0 | 8218 | 5970 a | 2334 |
| Effects | D0.1 | D0.5 | D0.9 | |||
|---|---|---|---|---|---|---|
| CNS | SRC | CNS | SRC | CNS | SRC | |
| XRC | 0.0101 * | NS | NS | NS | NS | NS |
| AIXR | 0.0115 * | 0.004 * | 0.0317 * | 0.0014 * | NS | NS |
| TTI | 0.0096 * | NS | NS | NS | NS | NS |
| Nozzle Type | Speed (km h−1) | D0.1 a (µm) | D0.5 a (µm) | D0.9 a (µm) |
|---|---|---|---|---|
| XRC | 9.7 | 205.8 a | 420.4 | 719.3 |
| 12.9 | 180.2 b | 350.6 | 687.5 | |
| 16.1 | 174.4 bc | 374.4 | 713.0 | |
| 19.3 | 178.4 bc | 374.5 | 697.0 | |
| 22.5 | 164.6 c | 399.5 | 774.1 | |
| AIXR | 9.7 | 338.0 a | 822.6 a | 1385.3 |
| 12.9 | 330.0 a | 841.8 a | 1410.7 | |
| 16.1 | 329.4 a | 818.3 a | 1435.3 | |
| 19.3 | 271.1 b | 719.1 b | 1561.4 | |
| 22.5 | 244.5 b | 692.1 b | 1405.0 | |
| TTI | 9.7 | 617.1 ab | 1396.5 | 1975.0 |
| 12.9 | 663.0 a | 1319.7 | 2397.0 | |
| 16.1 | 659.5 a | 1486.7 | 2467.0 | |
| 19.3 | 556.3 b | 1229.3 | 2019.3 | |
| 22.5 | 412.1 c | 985.7 | 1607.2 |
| Nozzle Type | Speed (km h−1) | D0.1 (µm) | D0.5 (µm) | D0.9 (µm) |
|---|---|---|---|---|
| XRC | 9.7 | 195.5 | 385.3 | 693.1 |
| 12.9 | 200.7 | 382.5 | 680.4 | |
| 16.1 | 189.0 | 388.8 | 667.0 | |
| 19.3 | 175.0 | 331.3 | 583.7 | |
| 22.5 | 175.0 | 323.3 | 548.9 | |
| AIXR | 9.7 | 350.5 a | 818.2 a | 1320.8 |
| 12.9 | 282.5 b | 693.9 b | 1281.3 | |
| 16.1 | 279.3 b | 608.3 c | 1099.5 | |
| 19.3 | 251.2 bc | 571.9 c | 1152.6 | |
| 22.5 | 224.4 c | 550.3 c | 1040.0 | |
| TTI | 9.7 | 572.9 | 1236.0 | 1897.6 |
| 12.9 | 416.0 | 944.0 | 1602.2 | |
| 16.1 | 385.6 | 916.0 | 1584.3 | |
| 19.3 | 397.4 | 877.2 | 1452.9 | |
| 22.5 | 333.0 | 756.4 | 1601.7 |
Disclaimer/Publisher’s Note: The statements, opinions and data contained in all publications are solely those of the individual author(s) and contributor(s) and not of MDPI and/or the editor(s). MDPI and/or the editor(s) disclaim responsibility for any injury to people or property resulting from any ideas, methods, instructions or products referred to in the content. |
© 2023 by the authors. Licensee MDPI, Basel, Switzerland. This article is an open access article distributed under the terms and conditions of the Creative Commons Attribution (CC BY) license (https://creativecommons.org/licenses/by/4.0/).
Share and Cite
Sapkota, M.; Virk, S.; Rains, G. Spray Deposition and Quality Assessment at Varying Ground Speeds for an Agricultural Sprayer with and without a Rate Controller. AgriEngineering 2023, 5, 506-519. https://doi.org/10.3390/agriengineering5010033
Sapkota M, Virk S, Rains G. Spray Deposition and Quality Assessment at Varying Ground Speeds for an Agricultural Sprayer with and without a Rate Controller. AgriEngineering. 2023; 5(1):506-519. https://doi.org/10.3390/agriengineering5010033
Chicago/Turabian StyleSapkota, Madan, Simerjeet Virk, and Glen Rains. 2023. "Spray Deposition and Quality Assessment at Varying Ground Speeds for an Agricultural Sprayer with and without a Rate Controller" AgriEngineering 5, no. 1: 506-519. https://doi.org/10.3390/agriengineering5010033
APA StyleSapkota, M., Virk, S., & Rains, G. (2023). Spray Deposition and Quality Assessment at Varying Ground Speeds for an Agricultural Sprayer with and without a Rate Controller. AgriEngineering, 5(1), 506-519. https://doi.org/10.3390/agriengineering5010033

