Intelligent Charging Navigation for Electric Vehicles Based on Reservation Charging Service
Highlights
- The smart charging navigation framework based on reservation time windows maintains stable charging costs while improving efficiency and user experience, and reduces unnecessary charger occupancy.
- The rolling time-axis dynamic dispatching model shortens queuing time, enhances user satisfaction, and improves distribution network voltage quality, showing better performance than conventional navigation strategies.
- Reservation-based intelligent charging provides a sustainable pathway to accommodate more electric vehicles without large-scale infrastructure expansion.
- Integrating user preferences and incentive mechanisms offers practical guidance for the large-scale promotion of smart charging services in future smart cities.
Abstract
1. Introduction
- (1)
- Electric vehicles can be regarded as distributed loads and controllable power sources. The large-scale integration of electric vehicles will transform the traditional radial power grid into a complex network of distributed micro-storage and user interconnections with spatiotemporal stochastic characteristics. The interconnection between navigation systems and power dispatching systems enables power grid companies to monitor the status of electric vehicles in real time and to make accurate predictions of the spatiotemporal distribution of electric vehicle charging demand, thereby allowing dispatching instructions to be issued in advance to ensure the safe, economical, and stable operation of the power grid;
- (2)
- Traditional in-vehicle navigation systems cannot obtain information such as queuing time and charging service fees at charging stations. The charging station decisions that navigation systems provide are solely based on traffic information and cannot reflect the actual charging time and charging cost, which may result in users ultimately making charging decisions that are not truly optimal. This issue must be resolved through interconnection with the power dispatching system;
- (3)
- Through interconnection with the power dispatching system, charging stations can obtain users’ charging navigation decisions, thereby accurately predicting their charging service capacity in the next period, formulating corresponding charging service fees, and guiding the charging users in an orderly manner through pricing. On the basis of ensuring their own operational benefits and rational utilization of regional charging station resources, this can realize a multi-party win-win among the power system, traffic system, charging stations, and users.
2. Intelligent Charging Navigation System
2.1. Basic Architecture
2.2. Traffic Flow Model
- (1)
- For electric vehicles approaching an intersection, the driving direction remains unchanged. However, the driving speed is influenced by real-time traffic conditions, and variations in user driving behavior affect power consumption;
- (2)
- At intersections, the on-board navigation device performs dynamic route planning by combining the vehicle’s travel destination with the traffic conditions of the upcoming road segments.
2.3. Charging Decision Model
- (1)
- When an electric vehicle generates a charging demand, it will go to a nearby charging station for charging. At this point, the charging behavior decision is made under the “reservation-based charging + consumption” mode;
- (2)
- Considering that over-discharge has an adverse effect on the lifetime of power batteries, the probability of generating a charging demand is 1 when the SOC of an electric vehicle falls below a certain threshold; the probability is 0 when the SOC reaches 100%; and when the SOC lies between these two values, the probability of generating a charging demand is influenced by the current SOC and the charging service fees of nearby stations.
3. Charging Reservation Optimization Method Based on Hard Time Windows
3.1. Problem Description
3.2. Reservation-Based Charging Service System
3.3. Dynamic Dispatching Model Based on Rolling Time Axis
3.3.1. Variable Length Rolling Horizon Mechanism
- (1)
- When an emergency occurs, the event-driven strategy is adopted to end the current rolling horizon and process user requests as quickly as possible;
- (2)
- When the duration reaches a certain threshold, the current rolling horizon is terminated;
- (3)
- When the number of new reservation requests reaches a certain threshold, the current rolling horizon is terminated.
3.3.2. Dynamic Insertion Algorithm Based on Rolling Time Axis
- (1)
- After each rolling horizon ends, calculate the reachable time intervals and estimated charging demand for all new reservation requests using the dynamic spatiotemporal evolution model of electric vehicle charging demand;
- (2)
- Determine the occupancy status of all non-idle charging piles on the time axis according to ongoing orders;
- (3)
- For each new reservation request, assign an adjustable charging amount as the charging time window buffer for each vehicle. Based on the status of accepted reservations, perform superimposed analysis of all charging piles at each station to obtain the candidate set of charging schemes that satisfy the constraints of vehicle reachable time intervals and buffer;
- (4)
- Sequentially calculate the idle time of charging piles after inserting the new reservation orders into the existing charging schemes;
- (5)
- Taking into account the equipment utilization rate of each charging station, determine the optimal charging scheme under the dynamic dispatching model with user charging behavior preferences as the optimization objective.
- (1)
- Predict the spatiotemporal distribution of charging demand for a finite number of variable forecasting stages (; is a finite integer, e.g., 15 min), and calculate the charging service fees of charging stations according to the coalition game pricing model;
- (2)
- For the charging reservation request of vehicle , determine the optimization objective of the order based on the user’s personal preferences, as expressed in (8)–(10);
- (3)
- Apply the conventional navigation control strategy considering traffic conditions to calculate the earliest arrival time of vehicle at charging station (; is the number of candidate charging stations), and determine the range of ;
- (4)
- Based on the charging pile status within station , generate a set of charging schemes that satisfy the constraint of , including charging time windows and total costs, where the total cost is obtained from the charging service fees and time windows computed in step (1);
- (5)
- Traverse the set of charging schemes of vehicle across all candidate charging stations, and use a heuristic algorithm to find the optimal charging scheme that satisfies the optimization objective defined in step (2). This scheme is then returned by the control center as the accepted charging order for the reservation request of vehicle .
3.4. Membership Points Growth Mechanism
3.4.1. Membership Points Model
- (1)
- The points obtained by electric vehicle users are proportional to the number of their responses to the control center;
- (2)
- The total points obtained by electric vehicle users during the reservation-based charging service process follow a “multiplicative growth” relationship with their expected single charging duration , according to the relation , where is a system parameter;
- (3)
- The control center has an independent function for imposing penalties on “breach of reservation”.
3.4.2. Membership Level Classification Model
4. Case Simulation
4.1. Verification of the Charging Navigation Strategy Based on a Simulated Scenario
4.1.1. Simulation Process and Parameter Settings
- (1)
- Initialize all vehicles in the scenario, with their starting positions randomly set in the residential, work, and other three types of areas shown in Reference [27];
- (2)
- Obtain the trip starting time of each vehicle using the maximum likelihood estimation method. At the same time, randomly generate the destination direction of vehicles at the boundary of the area, and plan detailed driving routes based on the shortest path algorithm;
- (3)
- Analyze the traffic flow of each road segment in the road network using the traffic flow model;
- (4)
- When an electric vehicle generates a charging demand, it submits a reservation request to the control center containing charging behavior preferences and membership level. For ease of analysis, the proportions of the three types of preferences among all users are fixed at 1:1:1, the maximum membership level is six, and the preference type and membership level of each user are randomly generated;
- (5)
- The control center processes new reservation requests based on the charging decision model and the dynamic dispatching model. In the intelligent charging navigation mode, charging piles can be in three states: idle, occupied, and insertable. In the conventional navigation mode, charging piles have only two states: idle and occupied, and user preferences and membership levels are not considered;
- (6)
- Once an electric vehicle completes its charging process, it continues its remaining trip for the day.
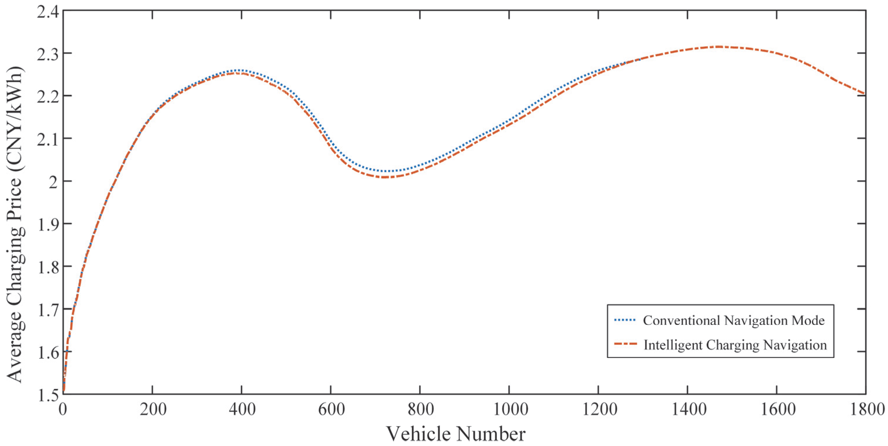
4.1.2. Results Analysis
- (1)
- User Experience Analysis
- (2)
- Analysis of Charging Station Operation Level
- (3)
- Analysis of Distribution Network Voltage Indices
4.2. Strategy Validation and Comparative Analysis Based on a Real Traffic Network
4.2.1. Simulation Process and Parameter Settings
4.2.2. Results Analysis
- (1)
- User Experience Analysis
- (2)
- Analysis of Distribution Network Voltage Indices
5. Conclusions
- (1)
- Simulation Results Based on Typical Test Cases
- (2)
- Strategy Validation and Comparative Analysis Based on a Real Traffic Network
Author Contributions
Funding
Data Availability Statement
Conflicts of Interest
References
- Mao, T.; Lau, W.-H.; Shum, C.; Chung, H.S.-H.; Tsang, K.-F.; Tse, N.C.-F. A Regulation Policy of EV Discharging Price for Demand Scheduling. IEEE Trans. Power Syst. 2018, 33, 1275–1288. [Google Scholar] [CrossRef]
- Zhao, J.; Wang, J.; Xu, Z.; Wang, C.; Wan, C.; Chen, C. Distribution Network Electric Vehicle Hosting Capacity Maximization: A Chargeable Region Optimization Model. IEEE Trans. Power Syst. 2017, 32, 4119–4130. [Google Scholar] [CrossRef]
- Zhong, W.; Yu, R.; Xie, S.; Zhang, Y.; Yau, D.K.Y. On Stability and Robustness of Demand Response in V2G Mobile Energy Networks. IEEE Trans. Smart Grid 2016, 9, 3203–3212. [Google Scholar] [CrossRef]
- Rempel, D.; Cullen, C.; Bryan, M.M.; Cezar, G.V. Reliability of open public electric vehicle direct current fast chargers. Hum. Factors 2024, 66, 2528–2538. [Google Scholar] [CrossRef] [PubMed]
- Powell, B.; Johnson, C. Impact of Electric Vehicle Charging Station Reliability, Resilience, and Location on Electric Vehicle Adoption; National Renewable Energy Laboratory (NREL): Golden, CO, USA, 2024.
- Weng, Z.; Zhou, J.; Song, X.; Jing, L. Research on orderly charging strategy for electric vehicles based on electricity price guidance and reliability evaluation of microgrid. Electronics 2023, 12, 4876. [Google Scholar] [CrossRef]
- Zhong, J.; Liu, J.; Zhang, X. Charging Navigation Strategy for Electric Vehicles Considering Empty-Loading Ratio and Dynamic Electricity Price. Sustain. Energy Grids Netw. 2023, 34, 100987. [Google Scholar] [CrossRef]
- Chis, A.; Lunden, J.; Koivunen, V. Reinforcement Learning-Based Plug-in Electric Vehicle Charging with Forecasted Price. IEEE Trans. Veh. Technol. 2017, 66, 3674–3684. [Google Scholar] [CrossRef]
- Contreras-Ocana, J.E.; Sarker, M.R.; Ortega-Vazquez, M.A. Decentralized Coordination of a Building Manager and an Electric Vehicle Aggregator. IEEE Trans. Smart Grid 2016, 9, 2625–2637. [Google Scholar] [CrossRef]
- Cupelli, M.; Ponci, F.; Sulligoi, G.; Vicenzutti, A.; Edrington, C.S.; El-Mezyani, T.; Monti, A. Power Flow Control and Network Stability in an All-Electric Ship. Proc. IEEE 2015, 103, 2355–2380. [Google Scholar] [CrossRef]
- Doerry, N.; Amy, J.; Krolick, C. History and the Status of Electric Ship Propulsion, Integrated Power Systems, and Future Trends in the U.S. Navy. Proc. IEEE 2015, 103, 2243–2251. [Google Scholar] [CrossRef]
- Iversen, E.B.; Moller, J.K.; Morales, J.M.; Madsen, H. Inhomogeneous Markov Models for Describing Driving Patterns. IEEE Trans. Smart Grid 2013, 8, 581–588. [Google Scholar] [CrossRef]
- Nunna, H.S.V.S.K.; Battula, S.; Doolla, S.; Srinivasan, D. Energy Management in Smart Distribution Systems with Vehicle-to-Grid Integrated Microgrids. IEEE Trans. Smart Grid 2016, 9, 4004–4016. [Google Scholar] [CrossRef]
- Zhao, Z.; Lee, C.K.M.; Yan, X.; Wang, H. Reinforcement learning for electric vehicle charging scheduling: A systematic review. Transp. Res. Part E Logist. Transp. Rev. 2024, 190, 103698. [Google Scholar] [CrossRef]
- An, D.; Cui, F.; Kang, X. Optimal scheduling for charging and discharging of electric vehicles based on deep reinforcement learning. Front. Energy Res. 2023, 11, 1273820. [Google Scholar] [CrossRef]
- Kamrani, A.S.; Dini, A.; Dagdougui, H.; Sheshyekani, K. Multi-agent deep reinforcement learning with online and fair optimal dispatch of EV aggregators. Mach. Learn. Appl. 2025, 19, 100620. [Google Scholar] [CrossRef]
- Chen, G.; Yang, L.; Cao, X. A deep reinforcement learning-based charging scheduling approach with augmented Lagrangian for electric vehicles. Appl. Energy 2025, 378, 124706. [Google Scholar] [CrossRef]
- Kumar, P.; Channi, H.K.; Kumar, R.; Rajiv, A.; Kumari, B.; Singh, G.; Singh, S.; Dyab, I.F.; Lozanović, J. A comprehensive review of vehicle-to-grid integration in electric vehicles: Powering the future. Energy Convers. Manag. X 2025, 25, 100864. [Google Scholar] [CrossRef]
- Al-Shehari, T.; Kadrie, M.; Alfakih, T.; Alsalman, H.; Kuntavai, T.; Vidhya, R.G.; Dhanamjayulu, C.; Shukla, S.; Khan, B. Blockchain with secure data transactions and energy trading model over the internet of electric vehicles. Sci. Rep. 2024, 14, 19208. [Google Scholar] [CrossRef]
- Wang, S.M. On several issues of reservation services. Syst. Eng. Theory Pract. 1995, 15, 32–37. [Google Scholar]
- Johari, M.; Keyvan-Ekbatani, M.; Leclercq, L.; Ngoduy, D.; Mahmassani, H.S. Macroscopic network-level traffic models: Bridging fifty years of development toward the next era. Transp. Res. Part C Emerg. Technol. 2021, 131, 103334. [Google Scholar] [CrossRef]
- Yu, B.; Jin, P.H.; Yang, Z.Z. A two-phase heuristic algorithm for solving the multi-depot vehicle routing problem with time windows. Syst. Eng. Theory Pract. 2012, 32, 1793–1800. [Google Scholar]
- Li, Z.; Lei, D.Y. Optimization model and algorithm for multi-depot vehicle scheduling. J. Transp. Eng. 2004, 4, 83–86. [Google Scholar]
- Li, M.; Guo, Q.; Liu, H.L. Research on logistics distribution problem with multiple depots and multiple distribution centers. Comput. Eng. Appl. 2007, 43, 202–208. [Google Scholar]
- Li, X.Y.; Tian, P. Vehicle routing problem with time windows and stochastic times: Model and algorithm. Syst. Eng. Theory Pract. 2009, 29, 81–91. [Google Scholar]
- Ding, Q.L.; Hu, X.P.; Li, Y.X. Hybrid ant colony algorithm for solving vehicle routing problem with time windows. Syst. Eng. Theory Pract. 2007, 27, 98–104. [Google Scholar]
- Shihong, X.; Hongzhi, Z.; Dong, S.; Xiusheng, G.; Xiangning, L.; Zhengtian, L.; Hui, H.; Shu, S.; Quan, S.; Zhixun, W. Pricing Strategy for Fast-Charging Load in Smart Cities. In Proceedings of the Chinese Society for Electrical Engineering, Shanghai, China, 27–29 October 2020; Volume 40, pp. 3187–3201. [Google Scholar]
- Hongming, Y.; Ming, L.; Fushuan, W.; Youjun, D.; Qing, Q.; Junhua, Z. Electric Vehicle Path Selection and Charging Navigation Strategy Based on Real-Time Traffic Information Perception. Autom. Electr. Power Syst. 2017, 41, 106–113. [Google Scholar]
- Shu, S.; Jinwen, S.; Xiangning, L.; Xianshan, L. Intelligent Charging Navigation for Electric Vehicles. Proc. China Electrotech. Soc. 2013, 33, 59–67. [Google Scholar]















| Variable Symbol | Definition | Unit |
|---|---|---|
| Expected duration of a single charging session | h | |
| Total number of reservation requests | times | |
| Number of failed reservation acceptances | times | |
| Number of on-time arrivals | times | |
| Number of late arrivals | times | |
| Number of no-shows | times |
Disclaimer/Publisher’s Note: The statements, opinions and data contained in all publications are solely those of the individual author(s) and contributor(s) and not of MDPI and/or the editor(s). MDPI and/or the editor(s) disclaim responsibility for any injury to people or property resulting from any ideas, methods, instructions or products referred to in the content. |
© 2025 by the authors. Licensee MDPI, Basel, Switzerland. This article is an open access article distributed under the terms and conditions of the Creative Commons Attribution (CC BY) license (https://creativecommons.org/licenses/by/4.0/).
Share and Cite
Cai, Z.; Lin, X.; Weng, H.; Mansour, D.-E.A. Intelligent Charging Navigation for Electric Vehicles Based on Reservation Charging Service. Smart Cities 2025, 8, 178. https://doi.org/10.3390/smartcities8050178
Cai Z, Lin X, Weng H, Mansour D-EA. Intelligent Charging Navigation for Electric Vehicles Based on Reservation Charging Service. Smart Cities. 2025; 8(5):178. https://doi.org/10.3390/smartcities8050178
Chicago/Turabian StyleCai, Zheyong, Xiangning Lin, Hanli Weng, and Diaa-Eldin A. Mansour. 2025. "Intelligent Charging Navigation for Electric Vehicles Based on Reservation Charging Service" Smart Cities 8, no. 5: 178. https://doi.org/10.3390/smartcities8050178
APA StyleCai, Z., Lin, X., Weng, H., & Mansour, D.-E. A. (2025). Intelligent Charging Navigation for Electric Vehicles Based on Reservation Charging Service. Smart Cities, 8(5), 178. https://doi.org/10.3390/smartcities8050178

