Performance Analysis for Time Difference of Arrival Localization in Long-Range Networks
Abstract
Highlights
- Noise can cause discrepancies in the estimated distances, including negative values, indicating inaccuracies in reference base station identification.
- Using sets of ten messages to average TDoA measurements helps smooth out random fluctuations and mitigate multipath and environmental noise.
- Advanced algorithms such as Social Learning Particle Swarm Optimization (SL-PSO) and Least Squares are effective in handling noisy data and improving localization accuracy.
- The Chan algorithm performed less reliably under high noise conditions, often failing to provide accurate solutions.
- Grouping messages reduces the impact of noise and improves the accuracy of localization.
- The reduction in localization errors through noise mitigation and message grouping indicates that more reliable and precise positioning can be achieved in smart city applications.
- Better services in applications such as asset tracking, autonomous vehicles, and emergency response.
- For applications such as search and rescue operations, improved localization accuracy means quicker and more reliable identification of individuals in need. This can significantly enhance the safety and efficiency of such operations.
- The insights gained from this study can inform policymakers and city planners about the technical requirements and benefits of deploying advanced localization systems in urban areas. This can support strategic decisions in smart city planning and development.
Abstract
1. Introduction
- A thorough description of the steps required to perform the localization process on a LoRa network. This includes setting up the network, configuring the gateways, and implementing Time Difference of Arrival (TDoA) techniques.
- A deep, comparative evaluation of the performance of various methods and algorithms, including Social Learning Particle Swarm Optimization (SL-PSO), Least Squares, Chan algorithm, and our modified PSO, and thoroughly examining their performance through both real-world and simulated data.
- A clear guideline for algorithm selection based on the number of base stations communicating with sensors in real-world LoRa networks.
- A concrete investigation into the impact of noise in recorded timestamps on localization error. The work highlights the importance of using a group of messages to mitigate this and also discusses how the number and the topology of the base stations affect localization accuracy.
- Clear guidelines are provided for selecting appropriate localization methods and algorithms based on the number of base stations communicating with sensors in LoRa networks, aiming to assist researchers and practitioners in selecting the most suitable algorithm for their specific setup and requirements.
2. Background Topics and Related Work
Related Works
3. Methodology
3.1. LoRa Network Formulation
3.2. Localization Based on TDoA Measurements
3.3. Localization Methods on TDoA
3.3.1. Iterative Non-Linear Least Squares
3.3.2. Social Learning Particle Swarm Optimization (SL-PSO)
- N particles are created in the solution space with random position and velocity.
- The evaluation of the particles is conducted using the following equation, which gives the score for every particle:where represents the number of the actual measurements we have. The represents the particle’s , while represents the actual tdoa.
- Scores are normalized and transformed to represent the cumulative sum.
- The particles are ordered (the best particle is considered the one with the lowest score).
- Every particle, starting from the worst, is imitating from the N/2 best particles if the demonstrator’s score is bigger than a randomly generated number in [0, 1]; if its order is smaller than N/2, else it is imitating from the next better particles.
- The movement of the particles is conducted as follows:where is calculated as follows:
- , , and represent random numbers in [0, 1].
- represents the position of the imitator particle.
- represents the position of the demonstrator particle.
- represents the position of the best particle.
- represents the position of the demonstrator particle.
3.3.3. Chan Algorithm
3.4. Transformation of Coordinates
4. Experimental Study and Results
4.1. Data Collection
4.2. Results
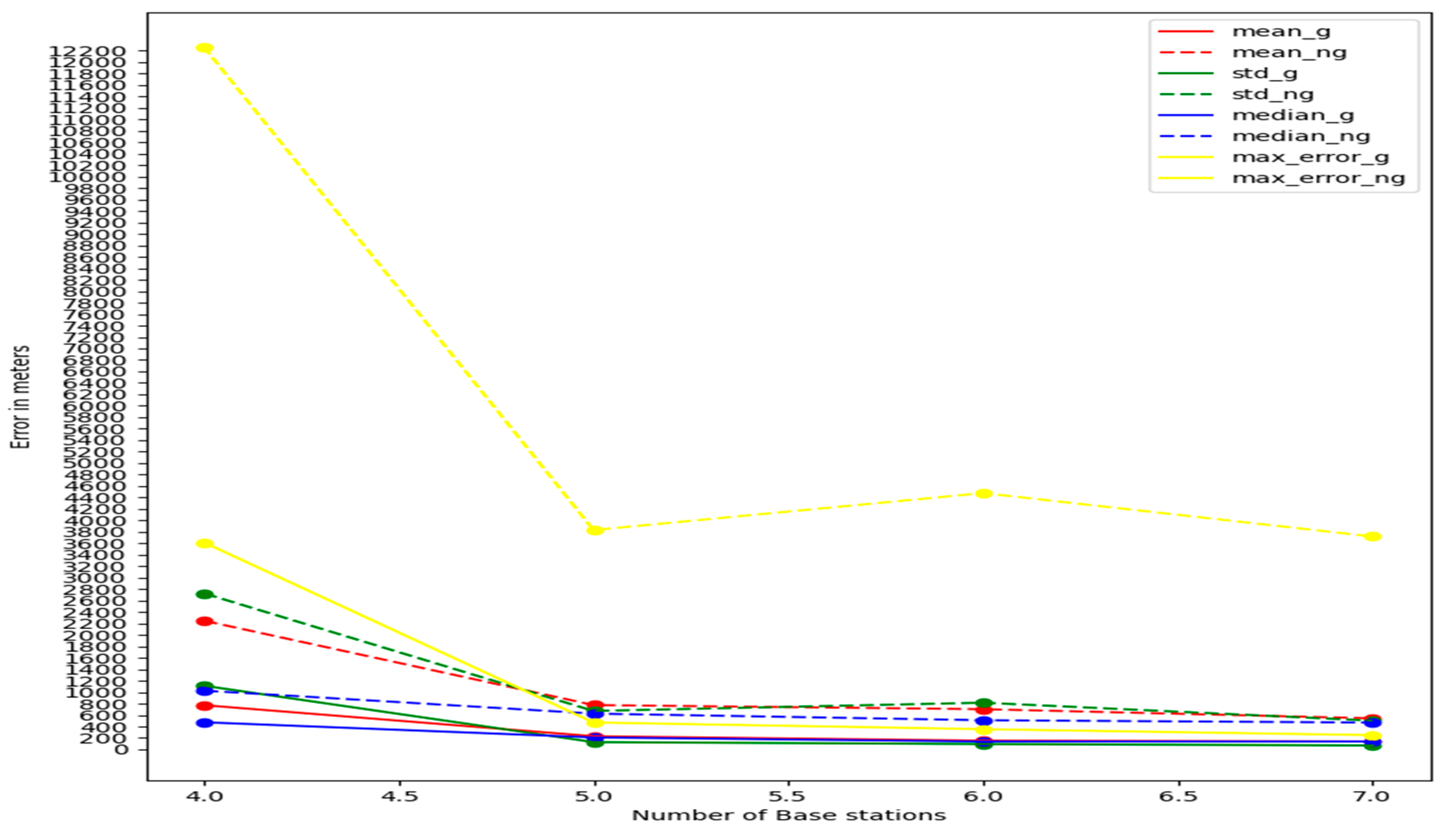
4.2.1. Network 1
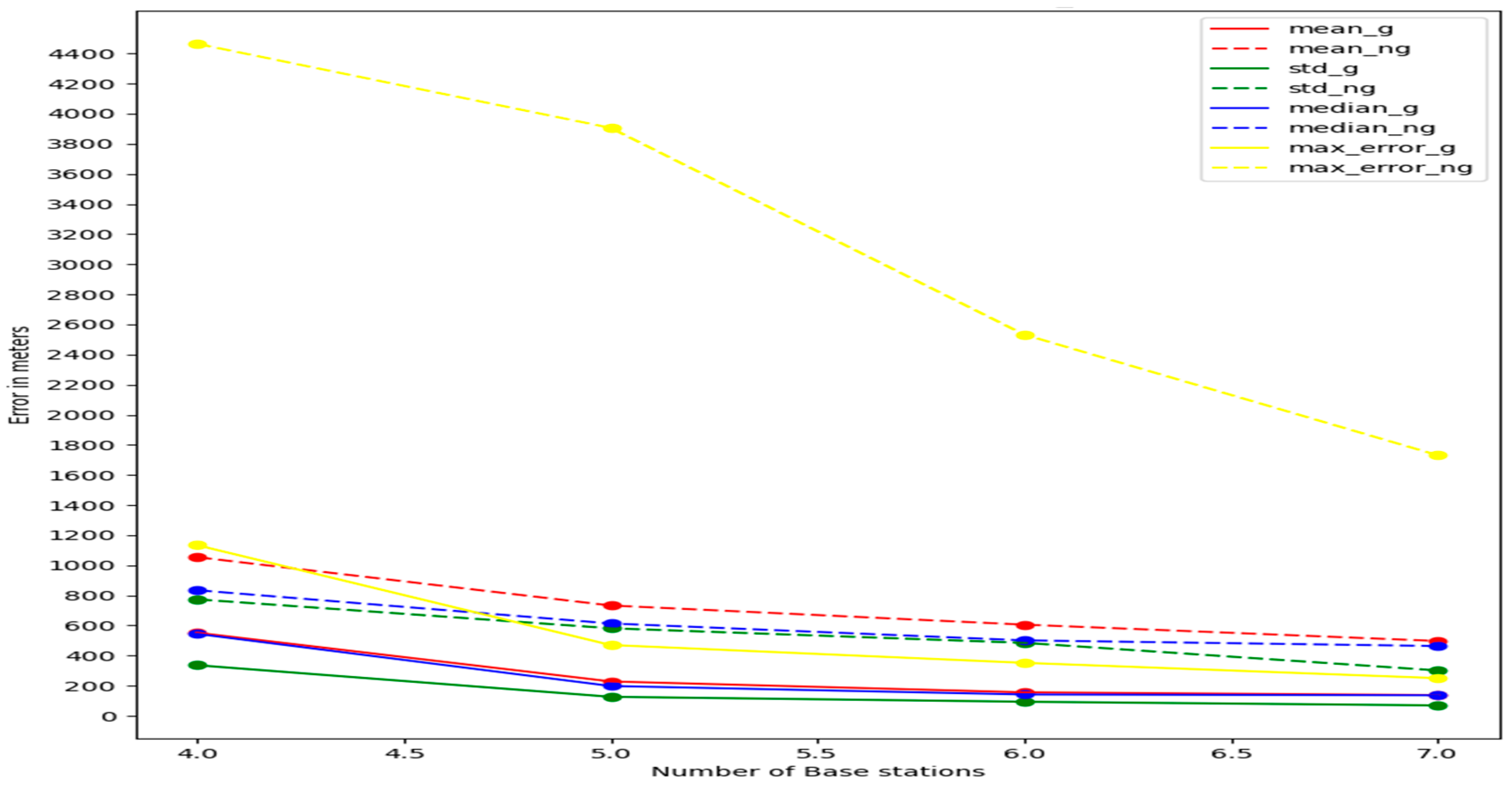
4.2.2. Network 2
5. Discussion and Conclusions
Author Contributions
Funding
Data Availability Statement
Conflicts of Interest
References
- Bouras, C.; Gkamas, A.; Kokkinos, V.; Papachristos, N. Time Difference of Arrival Localization Study for SAR Systems over LoRaWAN. Procedia Comput. Sci. 2020, 175, 292–299. [Google Scholar] [CrossRef]
- Zafari, F.; Gkelias, A.; Leung, K.K. A survey of indoor localization systems and technologies. IEEE Commun. Surv. Tutor. 2019, 21, 2568–2599. [Google Scholar] [CrossRef]
- Marquez, L.E.; Calle, M. Understanding LoRa-based localization: Foundations and challenges. IEEE Internet Things J. 2023, 10, 11185–11198. [Google Scholar] [CrossRef]
- Marais, J.M.; Malekian, R.; Abu-Mahfouz, A.M. LoRa and LoRaWAN testbeds: A review. In Proceedings of the 2017 IEEE Africon, Cape Town, South Africa, 18–20 September 2017; IEEE: Piscataway, NJ, USA, 2017; pp. 1496–1501. [Google Scholar]
- Raza, U.; Kulkarni, P.; Sooriyabandara, M. Low Power Wide Area Networks: An Overview. IEEE Commun. Surv. Tutor. 2017, 19, 855–873. [Google Scholar] [CrossRef]
- Bouras, C.; Gkamas, A.; Kokkinos, V.; Papachristos, N. Real—Time Geolocation Approach through LoRa on Internet of Things. In Proceedings of the 35th International Conference on Information Networking (ICOIN 2021), Jeju Island, Republic of Korea, 13–16 January 2021. [Google Scholar]
- Ntseane, L.; Isong, B. Analysis of lora/lorawan challenges. In Proceedings of the 2019 International Multidisciplinary Information Technology and Engineering Conference (IMITEC), Vanderbijlpark, South Africa, 21–22 November 2019; IEEE: Piscataway, NJ, USA, 2019; pp. 1–7. [Google Scholar]
- Moradbeikie, A.; Keshavarz, A.; Rostami, H.; Paiva, S.; Lopes, S.I. A cost-effective LoRaWAN-based IoT localization method using fixed reference nodes and dual-slope path-loss modeling. Internet Things 2023, 24, 100990. [Google Scholar] [CrossRef]
- Daramouskas, I.; Mitroulias, D.; Perikos, I.; Paraskevas, M.; Kapoulas, V. Localization in LoRa Networks Based on Time Difference of Arrival. In Computer and Information Science 2021-Fall; Springer: Cham, Switzerland, 2022; Volume 21, p. 130. [Google Scholar]
- Gu, C.; Jiang, L.; Tan, R. Lora-based localization: Opportunities and challenges. arXiv 2018, arXiv:1812.11481. [Google Scholar]
- Islam, K.Z.; Murray, D.; Diepeveen, D.; Jones, M.G.; Sohel, F. LoRa-based outdoor localization and tracking using unsupervised symbolization. Internet Things 2024, 25, 101016. [Google Scholar] [CrossRef]
- Raychowdhury, A.; Pramanik, A. Survey on LoRa Technology: Solution for Internet of Things. In Intelligent Systems, Technologies and Applications; Springer: Berlin/Heidelberg, Germany, 2020; pp. 259–271. [Google Scholar]
- Bouras, C.; Gkamas, A.; Kokkinos, V.; Papachristos, N. IoT Geolocation Performance Using LoRaWAN. In Proceedings of the 34th International Conference on Advanced Information Networking and Applications (AINA 2020), Caserta, Italy, 15–17 April 2020. [Google Scholar]
- Pandangan, Z.A.; Talampas, M.C.R. Hybrid LoRaWAN Localization using Ensemble Learning. In Proceedings of the 2020 Global Internet of Things Summit (GIoTS), Dublin, Ireland, 3 June 2020; pp. 1–6. [Google Scholar]
- Anjum, M.; Khan, M.A.; Hassan, S.A.; Jung, H.; Dev, K. Analysis of time-weighted LoRa-based positioning using machine learning. Comput. Commun. 2022, 193, 266–278. [Google Scholar] [CrossRef]
- Pettorru, G.; Pilloni, V.; Martalò, M. Trustworthy Localization in IoT Networks: A Survey of Localization Techniques, Threats, and Mitigation. Sensors 2024, 24, 2214. [Google Scholar] [CrossRef] [PubMed]
- Daramouskas, I.; Kapoulas, V.; Pegiazis, T. A survey of methods for location estimation on Low Power Wide Area Networks. In Proceedings of the 10th International Conference on Information, Intelligence, Systems and Applications (IISA), Patras, Greece, 15–17 July 2019; IEEE: Piscataway, NJ, USA, 2019; pp. 1–4. [Google Scholar]
- Kulaib, A.R.; Shubair, R.M.; Al-Qutayri, M.A.; Ng, J.W. An overview of localization techniques for wireless sensor networks. In Proceedings of the 2011 International Conference on innovations in information technology, Abu Dhabi, United Arab Emirates, 25–27 April 2011; IEEE: Piscataway, NJ, USA, 2011; pp. 167–172. [Google Scholar]
- Lam, K.H.; Cheung, C.C.; Lee, W.C. Rssi-based lora localization systems for large-scale indoor and outdoor environments. IEEE Trans. Veh. Technol. 2019, 68, 11778–11791. [Google Scholar] [CrossRef]
- Yoshitome, E.H.; da Cruz JV, R.; Monteiro ME, P.; Rebelatto, J.L. LoRa-aided outdoor localization system: RSSI or TDoA? Internet Technol. Lett. 2022, 5, e319. [Google Scholar] [CrossRef]
- Aernouts, M.; BniLam, N.; Podevijn, N.; Plets, D.; Joseph, W.; Berkvens, R.; Weyn, M. Combining TDoA and AoA with a particle filter in an outdoor LoRaWAN network. In Proceedings of the 2020 IEEE/ION Position, Location and Navigation Symposium (PLANS), Portland, OR, USA, 20–23 April 2020; pp. 1060–1069. [Google Scholar]
- Podevijn, N.; Plets, D.; Trogh, J.; Martens, L.; Suanet, P.; Hendrikse, K.; Joseph, W. TDoA-based outdoor positioning with tracking algorithm in a public LoRa network. Wirel. Commun. Mob. Comput. 2018, 2018, 1864209. [Google Scholar] [CrossRef]
- Klukas, R.; Fattouche, M. Line-of-sight angle of arrival estimation in the outdoor multipath environment. IEEE Trans. Veh. Technol. 1998, 47, 342–351. [Google Scholar] [CrossRef]
- Azmi, N.A.; Samsul, S.; Yamada, Y.; Yakub MF, M.; Ismail MI, M.; Dziyauddin, R.A. A survey of localization using rssi and tdoa techniques in wireless sensor network: System architecture. In Proceedings of the 2018 2nd International Conference on Telematics and Future Generation Networks (TAFGEN), Kuching, Malaysia, 24–26 July 2018; IEEE: Piscataway, NJ, USA, 2018; pp. 131–136. [Google Scholar]
- Bissett, D. Analysing TDoA Localisation in LoRa Networks. Master’s Thesis, Delft University of Technology, Delft, The Netherlands, 2018. [Google Scholar]
- Fargas, B.C.; Petersen, M.N. GPS-free geolocation using LoRa in low-power WANs. In Proceedings of the 2017 Global Internet of Things Summit (GIoTS), Geneva, Switzerland, 6–9 June 2017; pp. 1–6. [Google Scholar]
- Aernouts, M.; BniLam, N.; Berkvens, R.; Weyn, M. Simulating a combination of TDoA and AoA localization for LoRaWAN. In Proceedings of the International Conference on P2P, Parallel, Grid, Cloud and Internet Computing, Antwerp, Belgium, 7–9 November 2019; Springer: Cham, Switzerland, 2019; pp. 756–765. [Google Scholar]
- Goldoni, E.; Prando, L.; Vizziello, A.; Savazzi, P.; Gamba, P. Experimental data set analysis of RSSI-based indoor and outdoor localization in LoRa networks. Internet Technol. Lett. 2019, 2, e75. [Google Scholar] [CrossRef]
- Ghany, A.A.; Uguen, B.; Lemur, D. A Parametric TDoA Technique in the IoT Localization Context. In Proceedings of the 2019 16th Workshop on Positioning, Navigation and Communications (WPNC), Bremen, Germany, 23–24 October 2019; pp. 1–6. [Google Scholar]
- Bakkali, W.; Kieffer, M.; Lalam, M.; Lestable, T. Kalman filter-based localization for Internet of Things LoRaWANTM end points. In Proceedings of the 2017 IEEE 28th Annual International Symposium on Personal, Indoor, and Mobile Radio Communications (PIMRC), Montreal, QC, Canada, 8–13 October 2017; pp. 1–6. [Google Scholar]
- Saari, M.; bin Baharudin, A.M.; Sillberg, P.; Hyrynsalmi, S.; Yan, W. LoRa—A survey of recent research trends. In Proceedings of the 2018 41st International Convention on Information and Communication Technology, Electronics and Microelectronics (MIPRO), Opatija, Croatia, 21–25 May 2018; IEEE: Piscataway, NJ, USA, 2018; pp. 0872–0877. [Google Scholar]
- Plets, D.; Podevijn, N.; Trogh, J.; Martens, L.; Joseph, W. Experimental Performance Evaluation of Outdoor TDoA and RSS Positioning in a Public LoRa Network. In Proceedings of the 2018 International Conference on Indoor Positioning and Indoor Navigation (IPIN), Nantes, France, 24–27 September 2018; pp. 1–8. [Google Scholar]
- Choi, W.; Chang, Y.S.; Jung, Y.; Song, J. Low-Power LoRa Signal-Based Outdoor Positioning Using Fingerprint Algorithm. ISPRS Int. J. Geo-Inf. 2018, 7, 440. [Google Scholar] [CrossRef]
- Kim, S.; Ko, J. Poster: Low-complexity Outdoor Localization for Long-range, Low-power Radios. In Proceedings of the 14th Annual International Conference on Mobile Systems, Applications, and Services Companion, Singapore, 25–30 June 2016; ACM: Singapore, 2016. [Google Scholar]
- Pospisil, J.; Fujdiak, R.; Mikhaylov, K. Investigation of the Performance of TDoA-Based Localization Over LoRaWAN in Theory and Practice. Sensors 2020, 20, 5464. [Google Scholar] [CrossRef] [PubMed]
- Rauniyar AEngelstad, P.; Moen, J. A New Distributed Localization Algorithm Using Social Learning based Particle Swarm Optimization for Internet of Things. In Proceedings of the IEEE 87th Vehicular Technology Conference (VTC Spring), Porto, Portugal, 3–6 June 2018. [Google Scholar]
- Ho, K.C.; Chan, Y.T. Solution and performance analysis of geolocation by TDOA. IEEE Trans. Aerosp. Electron. Syst. 1993, 29, 1311–1322. [Google Scholar] [CrossRef]





















| Mobile Network Operator | European Network Operators |
|---|---|
| Cellular Performance | 4G-LTE Category 4 |
| Cellular Fallback | 3G-HSPA+ and 2G-GPRS |
| Frequency Band (MHz) | 4G: B3 (1800), B7 (2600), B20 (800), B28A (700) 3G: B1 (2100), B3 (1800), B8 (900) 2G: B3 (1800), and B8 (900) |
| Packet Data (LTE FDD) | Up to 150 Mbps peak downlink Up to 50 Mbps peak uplink |
| GPS/GNSS | GNSS for LoRa Packet Time Stamping Concurrent GNSS connections: 3 GNSS Systems Supported: (default: concurrent GPS/QZSS/SBAS and GLONASS) |
| LoRa Frequency Band | 868 MHz |
| LoRa Channel Plan | EU868 (EU863-870) |
| Channel Capacity | 16-channels (half duplex) |
| LoRa Maximum Output Power | Maximum EIRP: 14 dBm–27 dBm |
| Distances between Base Stations | ||||||
|---|---|---|---|---|---|---|
| Latitude | Longitude | Base Station 0 | Base Station 1 | Base Station 2 | Base Station 3 | |
| Base Station 0 (ITY) | 38.29117 | 21.79643 | - | 1018 m | 5984 m | 3078 m |
| Base Station 1 (CEID) | 38.28459 | 21.78831 | 1018 m | - | 7003 m | 2020 m |
| Base Station 2 (BOZAITIKA) | 38.28224 | 21.76306 | 5984 m | 7003 m | - | 8838 m |
| Base Station 3 (ARACHOVITIKA) | 38.32973 | 21.84425 | 3078 m | 2020 m | 8838 m | - |
| Distances between Targets and Base Stations | ||||||
|---|---|---|---|---|---|---|
| Latitude | Longitude | Base Station 0 | Base Station 1 | Base Station 2 | Base Station 3 | |
| Target 0 (MAGOULA) | 38.27759 | 21.79355 | 1530 m | 920 m | 7294 m | 2712 m |
| Target 1 (ITY) | 38.29082 | 21.79612 | 46 m | 972 m | 6030 m | 3040 m |
| Target 2 (RIO) | 38.31017 | 21.77963 | 2572 m | 2944 m | 6043 m | 3427 m |
| Data | ITY-CEID | ITY-ARAC | ITY-BOZ | CEID-BOZ | ||||
|---|---|---|---|---|---|---|---|---|
| Mean | Std | Mean | Std | Mean | Std | Mean | Std | |
| target_location_1 | 801 | 511 | 6009 | 534 | - | - | - | - |
| target_location_2 | 520 | 535 | - | - | - | - | 1942 | 569 |
| target_location_3 | 248 | 472 | 3408 | 197 | - | - | - | - |
| Parameters | Algorithms | ||||
|---|---|---|---|---|---|
| Base Stations | Grouping | Data | Least Squares | SL-PSO | Chan |
| 3 | y/n | real/simulated | y | y | y |
| 4 | y/n | real/simulated | y | y | n |
| 5 | y/n | simulated | y | y | n |
| 6 | y/n | simulated | y | y | n |
| 7 | y/n | simulated | y | y | n |
Disclaimer/Publisher’s Note: The statements, opinions and data contained in all publications are solely those of the individual author(s) and contributor(s) and not of MDPI and/or the editor(s). MDPI and/or the editor(s) disclaim responsibility for any injury to people or property resulting from any ideas, methods, instructions or products referred to in the content. |
© 2024 by the authors. Licensee MDPI, Basel, Switzerland. This article is an open access article distributed under the terms and conditions of the Creative Commons Attribution (CC BY) license (https://creativecommons.org/licenses/by/4.0/).
Share and Cite
Daramouskas, I.; Perikos, I.; Paraskevas, M.; Lappas, V.; Kapoulas, V. Performance Analysis for Time Difference of Arrival Localization in Long-Range Networks. Smart Cities 2024, 7, 2514-2541. https://doi.org/10.3390/smartcities7050098
Daramouskas I, Perikos I, Paraskevas M, Lappas V, Kapoulas V. Performance Analysis for Time Difference of Arrival Localization in Long-Range Networks. Smart Cities. 2024; 7(5):2514-2541. https://doi.org/10.3390/smartcities7050098
Chicago/Turabian StyleDaramouskas, Ioannis, Isidoros Perikos, Michael Paraskevas, Vaios Lappas, and Vaggelis Kapoulas. 2024. "Performance Analysis for Time Difference of Arrival Localization in Long-Range Networks" Smart Cities 7, no. 5: 2514-2541. https://doi.org/10.3390/smartcities7050098
APA StyleDaramouskas, I., Perikos, I., Paraskevas, M., Lappas, V., & Kapoulas, V. (2024). Performance Analysis for Time Difference of Arrival Localization in Long-Range Networks. Smart Cities, 7(5), 2514-2541. https://doi.org/10.3390/smartcities7050098

