Can Parents Provide Accurate Proxy Reports of Self-Management Skills for Their Child with Inflammatory Bowel Disease?
Abstract
1. Introduction
2. Materials and Methods
2.1. Study Design and Centres
2.2. Ethics and Consent
2.3. Populations
2.4. Assessment Tool: IBD-STAR
2.5. Italian Cross-Cultural Adaptation
2.6. Data Collection
2.7. Analysis
3. Results
3.1. Italian Cross-Cultural Adaptation
3.2. Demographics
3.3. Individual Agreement
3.4. Category Agreement
3.5. Inter-Rater Reliability
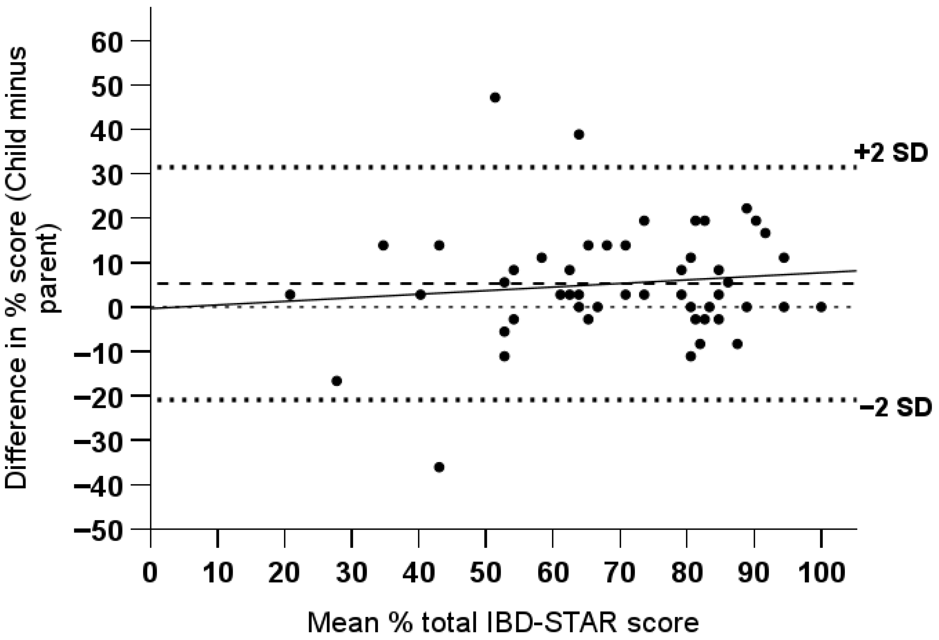
3.6. Aggregate Agreement
3.7. Summary
4. Discussion
4.1. Limitations
4.2. Strengths
5. Conclusions
Author Contributions
Funding
Institutional Review Board Statement
Informed Consent Statement
Data Availability Statement
Conflicts of Interest
Appendix A
| Item | I-CVI Cultural Relevance | I-CVI Language and Comprehension | Section | S-CVI Cultural Relevance | S-CVI Language and Comprehension |
|---|---|---|---|---|---|
| 1a | 1.00 | 1.00 | 1 | 0.99 | 0.99 |
| 1b | 1.00 | 1.00 | |||
| 1c | 1.00 | 1.00 | |||
| 1d | 0.97 | 0.97 | |||
| 2a | 0.97 | 0.97 | 2 | 1.00 | 1.00 |
| 2b | 1.00 | 1.00 | |||
| 2c | 1.00 | 1.00 | |||
| 2d | 1.00 | 1.00 | |||
| 3a | 1.00 | 1.00 | 3 | 1.00 | 0.99 |
| 3b | 1.00 | 1.00 | |||
| 3c | 1.00 | 0.97 | |||
| 4a | 1.00 | 1.00 | 4 | 0.99 | 0.99 |
| 4b | 0.97 | 0.97 | |||
| 4c | 1.00 | 1.00 | |||
| 5a | 1.00 | 1.00 | 5 | 1.00 | 1.00 |
| 5b | 1.00 | 1.00 | |||
| 5c | 1.00 | 1.00 | |||
| 5d | 1.00 | 1.00 | |||
| 6a | 1.00 | 1.00 | 6 | 1.00 | 1.00 |
| 6b | 1.00 | 1.00 | |||
| 6c | 1.00 | 1.00 | |||
| 6d | 1.00 | 1.00 | |||
| OVERALL | 1.00 | 0.99 | 1.00 | 0.99 |
References
- Kuenzig, M.E.; Fung, S.G.; Marderfeld, L.; Mak, J.W.; Kaplan, G.G.; Ng, S.C.; Wilson, D.C.; Cameron, F.; Henderson, P.; Kotze, P.G.; et al. Twenty-first Century Trends in the Global Epidemiology of Pediatric-Onset Inflammatory Bowel Disease: Systematic Review. Gastroenterology 2022, 162, 1147–1159.e4. [Google Scholar] [CrossRef] [PubMed]
- Jakobsen, C.; Bartek, J.; Wewer, V.; Vind, I.; Munkholm, P.; Groen, R.; Paerregaard, A. Differences in phenotype and disease course in adult and paediatric inflammatory bowel disease—A population-based study. Aliment. Pharmacol. Ther. 2011, 34, 1217–1224. [Google Scholar] [CrossRef] [PubMed]
- Granot, M.; Kopylov, U.; Loberman-Nachum, N.; Krauthammer, A.; Abaitbol, C.M.; Ben-Horin, S.; Weiss, B.; Haberman, Y. Differences in disease characteristics and treatment exposures between paediatric and adult-onset inflammatory bowel disease using a registry-based cohort. Aliment. Pharmacol. Ther. 2024, 60, 1435–1446. [Google Scholar] [CrossRef] [PubMed]
- Turner, D.; Ricciuto, A.; Lewis, A.; D’Amico, F.; Dhaliwal, J.; Griffiths, A.M.; Bettenworth, D.; Sandborn, W.J.; Sands, B.E.; Reinisch, W.; et al. STRIDE-II: An Update on the Selecting Therapeutic Targets in Inflammatory Bowel Disease (STRIDE) Initiative of the International Organization for the Study of IBD (IOIBD): Determining Therapeutic Goals for Treat-to-Target strategies in IBD. Gastroenterology 2021, 160, 1570–1583. [Google Scholar] [CrossRef]
- Mackner, M.L.; Greenley, N.R.; Szigethy, A.E.; Herzer, A.M.; Deer, A.K.; Hommel, A.K. Psychosocial Issues in Pediatric Inflammatory Bowel Disease: Report of the North American Society for Pediatric Gastroenterology, Hepatology, and Nutrition. J. Pediatr. Gastroenterol. Nutr. 2013, 56, 449–458. [Google Scholar] [CrossRef]
- Modi, A.C.; Pai, A.L.; Hommel, K.A.; Hood, K.K.; Cortina, S.; Hilliard, M.E.; Guilfoyle, S.M.; Gray, W.N.; Drotar, D. Pediatric self-management: A framework for research, practice, and policy. Pediatrics 2012, 129, e473–e485. [Google Scholar] [CrossRef]
- Vernon-Roberts, A.; Gearry, R.; Day, A. Overview of self-management skills and associated assessment tools for children with inflammatory bowel disease. Gastrointest. Disord. 2021, 3, 61–77. [Google Scholar] [CrossRef]
- Beacham, B.L.; Deatrick, J.A. Health Care Autonomy in Children with Chronic Conditions: Implications for Self-Care and Family Management. Nurs. Clin. N. Am. 2013, 48, 305–317. [Google Scholar] [CrossRef]
- Schwartz, L.A.; Tuchman, L.K.; Hobbie, W.L.; Ginsberg, J.P. A social-ecological model of readiness for transition to adult-oriented care for adolescents and young adults with chronic health conditions. Child Care Health Dev. 2011, 37, 883–895. [Google Scholar] [CrossRef]
- Constantinidis, D.D.; O’Brien, C.L.; Hebbard, G.; Kanaan, R.; Castle, D.J. Healthcare transition and inflammatory bowel disease: The challenges experienced by young adults after transfer from paediatric to adult health services. Psychol. Health Med. 2025, 1–23. [Google Scholar] [CrossRef]
- Vernon-Roberts, A.; Rouse, E.; Bowcock, N.L.; Lemberg, D.A.; Day, A.S. Agreement Level of Inflammatory Bowel Disease Symptom Reports between Children and Their Parents. Pediatr. Gastroenterol. Hepatol. Nutr. 2023, 26, 88–98. [Google Scholar] [CrossRef] [PubMed]
- Loonen, H.J.; Derkx, B.H.F.; Koopman, H.M.; Heymans, H.S.A. Are parents able to rate the symptoms and quality of life of their offspring with IBD? Inflamm. Bowel Dis. 2002, 8, 270–276. [Google Scholar] [CrossRef] [PubMed]
- Lawton, R.C.; Colman, R.J.; Rothbaum, R.; LaRose-Wicks, M.; Washburn, J. “But I’m Feeling Fine!” A Comparison of Parent and Child Symptom-Report Among Pediatric Patients With Inflammatory Bowel Disease. Gastroenterology 2015, 148, S–379–S–380. [Google Scholar] [CrossRef]
- Marcovitch, L.; Focht, G.; Horesh, A.; Shosberger, A.; Hyams, J.; Bousvaros, A.; Hale, A.E.; Baldassano, R.; Otley, A.; Mack, D.R.; et al. Agreement on Symptoms Between Children With Ulcerative Colitis and Their Caregivers: Towards Developing the TUMMY-UC. J. Pediatr. Gastroenterol. Nutr. 2021; publish ahead of print. [Google Scholar] [CrossRef]
- Alsous, M.M.; Hawwa, A.F.; Imrie, C.; Szabo, A.; Alefishat, E.; Farha, R.A.; Rwalah, M.; Horne, R.; McElnay, J.C. Adherence to Azathioprine/6-Mercaptopurine in Children and Adolescents with Inflammatory Bowel Diseases: A Multimethod Study. Can. J. Gastroenterol. Hepatol. 2020, 2020, 9562192. [Google Scholar] [CrossRef]
- Wu, Y.P.; Pai, A.L.H.; Gray, W.N.; Denson, L.A.; Hommel, K.A. Development and Reliability of a Correction Factor for Family-Reported Medication Adherence: Pediatric Inflammatory Bowel Disease as an Exemplar. J. Pediatr. Psychol. 2013, 38, 893–901. [Google Scholar] [CrossRef]
- Nazareth, M.; Hart, L.; Ferris, M.; Rak, E.; Hooper, S.; van Tilburg, M.A.L. A Parental Report of Youth Transition Readiness: The Parent STARx Questionnaire (STARx-P) and Re-evaluation of the STARx Child Report. J. Pediatr. Nurs. 2018, 38, 122–126. [Google Scholar] [CrossRef]
- Hanania, J.W.; George, J.E.; Rizzo, C.; Manjourides, J.; Goldstein, L. Agreement between child self-report and parent-proxy report for functioning in pediatric chronic pain. J. Patient-Rep. Outcomes 2024, 8, 88. [Google Scholar] [CrossRef]
- Cushman, G.K.; Stolz, M.G.; Shih, S.; Blount, R.; Otley, A.; Talmadge, C.; Grant, A.; Reed, B. Parent IMPACT-III: Development and Validation of an Inflammatory Bowel Disease-specific Health-related Quality-of-life Measure. J. Pediatr. Gastroenterol. Nutr. 2020, 70, 205–210. [Google Scholar] [CrossRef]
- Forgel, S.; Norman, G.; Issenman, R.M.; Gold, N.; Irvine, E.J. Health-related quality of life in pediatric inflammatory bowel disease: A comparison of parent and child reports. Gastroenterology 1998, 114, A977. [Google Scholar] [CrossRef]
- Gallo, R.J.; Grant, R.A.; Otley, R.A.; Orsi, R.M.; Macintyre, R.B.; Gauvry, R.S.; Lifschitz, R.C. Do Parents and Children Agree? Quality-of-Life Assessment of Children With Inflammatory Bowel Disease and Their Parents. J. Pediatr. Gastroenterol. Nutr. 2014, 58, 481–485. [Google Scholar] [CrossRef]
- Pirinen, T.; Kolho, K.L.; Simola, P.; Ashorn, M.; Aronen, E.T. Parent–adolescent agreement on psychosocial symptoms and somatic complaints among adolescents with inflammatory bowel disease. Acta Paediatr. 2012, 101, 433–437. [Google Scholar] [CrossRef]
- Vernon-Roberts, A.; Rouse, E.; Day, A. Systematic review of self-management assessment tools for children with inflammatory bowel disease. J. Pediatr. Gastroenterol. Nutr. Rep. 2021, 2, e075. [Google Scholar] [CrossRef] [PubMed]
- Vernon-Roberts, A.; Frampton, C.; Gearry, R.; Day, A. Development and validation of a self-management skills assessment tool for children with Inflammatory Bowel Disease. J. Pediatr. Gastroenterol. Nutr. 2020, 72, 67–73. [Google Scholar] [CrossRef] [PubMed]
- Vernon-Roberts, A.; Musto, F.; Aloi, M.; Day, A.S. Italian Cross-Cultural Adaptation of a Knowledge Assessment Tool (IBD-KID2) for Children with Inflammatory Bowel Disease. Gastrointest. Disord. 2023, 5, 187–197. [Google Scholar] [CrossRef]
- Polit, D.; Beck, C.; Owen, S. Is the CVI an acceptable indicator of content validity? Appraisal and recommendations. Res. Nurs. Health 2007, 30, 459–467. [Google Scholar] [CrossRef]
- Gwet, K.L. Handbook of Inter-Rater Reliability: The Definitive Guide to Measuring The Extent of Agreement Among Raters, 4th ed.; Advanced Analytics; LLC: Baltimore, MD, USA, 2014. [Google Scholar]
- Wongpakaran, N.; Wongpakaran, T.; Wedding, D.; Gwet, K.L. A comparison of Cohen’s Kappa and Gwet’s AC1 when calculating inter-rater reliability coefficients: A study conducted with personality disorder samples. BMC Med. Res. Methodol. 2013, 13, 61. [Google Scholar] [CrossRef]
- Altman, D.G. Practical Statistics for Medical Research, 1st ed.; Chapman and Hall: London, UK, 1991. [Google Scholar]
- Bland, J.M.; Altman, D.G. Statistical methods for assessing agreement between two methods of clinical measurement. Int. J. Nurs. Stud. 2010, 47, 931–936. [Google Scholar] [CrossRef]
- Pinheiro, L.; McFatrich, M.; Lucas, N.; Walker, J.; Withycombe, J.; Hinds, P.; Sung, L.; Tomlinson, D.; Freyer, D.; Mack, J.; et al. Child and adolescent self-report symptom measurement in pediatric oncology research: A systematic literature review. Qual. Life Res. 2018, 27, 291–319. [Google Scholar] [CrossRef]
- Morrow, A.M.; Hayen, A.; Quine, S.; Scheinberg, A.; Craig, J.C. A comparison of doctors’, parents’ and children’s reports of health states and health-related quality of life in children with chronic conditions. Child Care Health Dev. 2012, 38, 186–195. [Google Scholar] [CrossRef]
- Carlsen, K.; Gordon, J.; Haddad, N.; Phan, B.; Dubinksy, M.; Keefer, L. Development of the Parent Version of the IBD Self-efficacy Scale for Adolescents and Young Adults with Inflammatory Bowel Diseases. Inflamm. Bowel Dis. 2017, 23, S72–S73. [Google Scholar] [CrossRef]
- Cushman, G.; Shih, S.; Reed, B. Parent and Family Functioning in Pediatric Inflammatory Bowel Disease. Children 2020, 7, 188. [Google Scholar] [CrossRef] [PubMed]
- Roberts, C.M.; Gamwell, K.L.; Baudino, M.N.; Perez, M.N.; Delozier, A.M.; Sharkey, C.M.; Grant, D.M.; Grunow, J.E.; Jacobs, N.J.; Tung, J.; et al. Youth and Parent Illness Appraisals and Adjustment in Pediatric Inflammatory Bowel Disease. J. Dev. Phys. Disabil. 2019, 31, 777–790. [Google Scholar] [CrossRef]
- Jesus, H.; Ooms, A.; Norton, C.; Dibley, L.; Croft, N. Development of self-management in pediatric inflammatory bowel disease: A qualitative exploration. J. Nurs. Educ. Pract. 2019, 9, 75–84. [Google Scholar] [CrossRef]
- Williams, T.; Sherman, E.; Mah, J.K.; Blackman, M.; Latter, J.; Mohammed, I.; Slick, D.; Thornton, N. Measurement of medical self-management and transition readiness among Canadian adolescents with special health care needs. Int. J. Child Adolesc. Health 2010, 3, 527–535. [Google Scholar]
- Hommel, K.A.; Noser, A.E.; Plevinsky, J.; Gamwell, K.; Denson, L.A. Pilot and feasibility of the SMART IBD mobile app to improve self-management in pediatric inflammatory bowel disease. J. Pediatr. Gastroenterol. Nutr. 2024, 78, 1273–1278. [Google Scholar] [CrossRef]
- Hommel, K.A.; Ramsey, R.R.; Gray, W.N.; Denson, L.A. Digital Therapeutic Self-Management Intervention in Adolescents With Inflammatory Bowel Disease. J. Pediatr. Gastroenterol. Nutr. 2023, 76, 38–42. [Google Scholar] [CrossRef]
- Hait, E.J.; Barendse, R.M.; Arnold, J.H.; Valim, C.; Sands, B.E.; Korzenik, J.R.; Fishman, L.N. Transition of adolescents with inflammatory bowel disease from pediatric to adult care: A survey of adult gastroenterologists. J. Pediatr. Gastroenterol. Nutr. 2009, 48, 61–65. [Google Scholar] [CrossRef]
- Greenley, N.R.; Stephens, N.M.; Doughty, N.A.; Raboin, N.T.; Kugathasan, N.S. Barriers to adherence among adolescents with inflammatory bowel disease. Inflamm. Bowel Dis. 2010, 16, 36–41. [Google Scholar] [CrossRef]
- Ingerski, L.M.; Baldassano, R.N.; Denson, L.A.; Hommel, K.A. Barriers to oral medication adherence for adolescents with inflammatory bowel disease. J. Pediatr. Psychol. 2010, 35, 683–691. [Google Scholar] [CrossRef]
- Oliva-Hemker, M.M.; Abadom, V.; Cuffari, C.; Thompson, R.E. Nonadherence with thiopurine immunomodulator and mesalamine medications in children with Crohn disease. J. Pediatr. Gastroenterol. Nutr. 2007, 44, 180–184. [Google Scholar] [CrossRef]
- Schurman, J.V.; Cushing, C.C.; Carpenter, E.; Christenson, K. Volitional and Accidental Nonadherence to Pediatric Inflammatory Bowel Disease Treatment Plans: Initial Investigation of Associations with Quality of Life and Disease Activity. J. Pediatr. Psychol. 2011, 36, 116–125. [Google Scholar] [CrossRef] [PubMed]
- Schulman-Green, D.; Jaser, S.S.; Park, C.; Whittemore, R. A metasynthesis of factors affecting self-management of chronic illness. J. Adv. Nurs. 2016, 72, 1469–1489. [Google Scholar] [CrossRef] [PubMed]
- Bo, H.; Galiani, S. Assessing external validity. Res. Econ. 2021, 75, 274–285. [Google Scholar] [CrossRef]
- Steckler, A.; McLeroy, K. The Importance of External Validity. Am. J. Public Health 2008, 98, 9–10. [Google Scholar] [CrossRef]




| Section | Item | Item | Complete Agreement N (%) | Gwet’s AC1 | Rating |
|---|---|---|---|---|---|
| One: My IBD and symptoms | 1a | I can tell others what type of IBD I have. | 39 (78) | 0.56 | Moderate |
| 1b | I can tell others what my IBD symptoms are. | 41 (82) | 0.64 | Good | |
| 1c | I can tell others what makes my IBD symptoms worse. | 34 (68) | 0.36 | Fair | |
| 1d | I keep track of my symptoms to see when my IBD is better or worse. | 28 (56) | 0.12 | Poor | |
| Two: My appointments | 2a | I can tell others the name of my IBD doctor. | 44 (88) | 0.76 | Good |
| 2b | I keep track of when I have appointments. | 22 (44) | 0.12 | Poor | |
| 2c | I can talk to my doctor about my recent IBD symptoms. | 38 (76) | 0.52 | Moderate | |
| 2d | I can talk to my doctor about my IBD treatment. | 36 (72) | 0.44 | Moderate | |
| Three: My Treatment | 3a | I can tell others the names of my IBD treatment. | 36 (72) | 0.44 | Moderate |
| 3b | I can tell others the times I take my IBD treatment. | 47 (94) | 0.88 | Very good | |
| 3c | I can tell others how much of each IBD treatment I have to take. | 39 (78) | 0.56 | Moderate | |
| Four: Taking my drugs or nutrition drinks | 4a | I remember to take my drugs or EN | 41 (82) | 0.68 | Good |
| 4b | I can get my drugs or EN ready when it is time to take them | 38 (76) | 0.60 | Moderate | |
| 4c | I can organize enough drugs or EN to last me if I’m going away from home. | 32 (64) | 0.21 | Fair | |
| Five: Managing my IBD | 5a | I keep track of when I need to order more treatment | 30 (60) | 0.20 | Poor |
| 5b | I can order and collect treatment from the hospital or pharmacy | 30 (60) | 0.30 | Fair | |
| 5c | I can find information about my IBD, treatment or tests. | 28 (56) | 0.16 | Poor | |
| 5d | I can contact my IBD team if I need their help | 27 (54) | 0.10 | Poor | |
| Section 1 | 0.44 | Moderate | |||
| Section 2 | 0.41 | Moderate | |||
| Section 3 | 0.63 | Good | |||
| Section 4 | 0.50 | Moderate | |||
| Section 5 | 0.20 | Poor | |||
| OVERALL | 0.64 | Good | |||
| Category Agreement (%) | Inter-Rater Reliability | |||
|---|---|---|---|---|
| Parent Underestimated | Parent Overestimated | Scored Same | Gwet’s AC1: Rating | |
| Section 1 | 36 | 32 | 32 | 0.44: Moderate |
| Section 2 | 48 | 20 | 32 | 0.41: Moderate |
| Section 3 | 16 | 18 | 64 | 0.63: Good |
| Section 4 | 30 | 28 | 42 | 0.50: Moderate |
| Section 5 | 60 | 20 | 20 | 0.20: Poor |
Disclaimer/Publisher’s Note: The statements, opinions and data contained in all publications are solely those of the individual author(s) and contributor(s) and not of MDPI and/or the editor(s). MDPI and/or the editor(s) disclaim responsibility for any injury to people or property resulting from any ideas, methods, instructions or products referred to in the content. |
© 2025 by the authors. Licensee MDPI, Basel, Switzerland. This article is an open access article distributed under the terms and conditions of the Creative Commons Attribution (CC BY) license.
Share and Cite
Vernon-Roberts, A.; Musto, F.; Aloi, M.; Bowcock, N.; Lemberg, D.; Day, A.S. Can Parents Provide Accurate Proxy Reports of Self-Management Skills for Their Child with Inflammatory Bowel Disease? Gastrointest. Disord. 2026, 8, 4. https://doi.org/10.3390/gidisord8010004
Vernon-Roberts A, Musto F, Aloi M, Bowcock N, Lemberg D, Day AS. Can Parents Provide Accurate Proxy Reports of Self-Management Skills for Their Child with Inflammatory Bowel Disease? Gastrointestinal Disorders. 2026; 8(1):4. https://doi.org/10.3390/gidisord8010004
Chicago/Turabian StyleVernon-Roberts, Angharad, Francesca Musto, Marina Aloi, Nerissa Bowcock, Daniel Lemberg, and Andrew S. Day. 2026. "Can Parents Provide Accurate Proxy Reports of Self-Management Skills for Their Child with Inflammatory Bowel Disease?" Gastrointestinal Disorders 8, no. 1: 4. https://doi.org/10.3390/gidisord8010004
APA StyleVernon-Roberts, A., Musto, F., Aloi, M., Bowcock, N., Lemberg, D., & Day, A. S. (2026). Can Parents Provide Accurate Proxy Reports of Self-Management Skills for Their Child with Inflammatory Bowel Disease? Gastrointestinal Disorders, 8(1), 4. https://doi.org/10.3390/gidisord8010004

