Passive Oxide Destruction by Dense Low-Energy Radionuclide i-Analyzed by Voltammetry ii-Analyzed by Chaos
Abstract
1. Introduction
- (a)
- Formulation of the results obtained by voltammetry in examining the effects of at the surface of steel for different impact rates (models);
- (b)
- Formulation of the chaos data computed from the unstable oxide at the active and passive potentials for several radionuclide contents. Local chaos was clarified each time.
- (a)
- energy dissipation into oxide;
- (b)
- the unstable divergence topology when the oxide is unstable.
2. Experimental Equipment with Procedure for Objective
- -
- A reinforced glass safety small jar;
- -
- A puncturable flexible membrane placed at the opening of the jar;
- -
- A syringe allowing the perforation;
- -
- A sampling head to guide the syringe in order to protect the operator’s fingers.
- -
- Surface preparation of 316L stainless steel;
- -
- Draw the voltammetric curves;
- -
- Use the oscilloscope data;
- -
- Check values using UnScanIt;
- -
- Perform these values using the chaos data analyzer.
2.1. Electrochemical Aspects
- (A)
- active peak A;
- (B)
- Flade event B;
- (C)
- passivity C;
- (D)
- transpassive peak D;
- (E)
- transpassivity E;
2.2. Chaos Analysis and Result Projection
3. Model 1, Measurements for 1.2 Energetic Impacts cm−2 s−1
3.1. Aspects of Global Spectra
3.2. Aspects of Local Sectors in Spectra
4. Model 2, Measurements for 6 Energetic Impacts cm−2 s−1
4.1. Aspects of Global Spectra
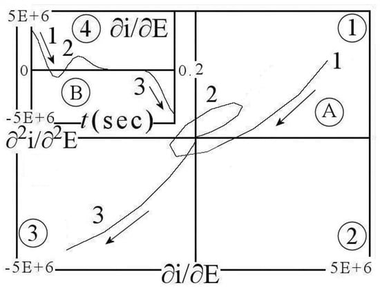
- (a)
- Centralized points indicating steady-stable in pseudo-prepassivity (event 1);
- (b)
- Minor positive and negative instabilities in the Flade potential (event 2);
- (c)
- Significant instability scaled highly positive signal synchronized with highly negative signal in pseudo-passivity (event 3);
- (d)
- High negative signal synchronized with the unstable event in transpassivity (event 4).
4.2. Aspects of Local Sectors in Spectra
5. Model 3, Measurements for 6 Energetic Impacts cm−2 s−1
5.1. Aspects of Global Spectra
5.2. Aspects of Local Sectors in Spectra
6. Model 4, Measurements for 6 Energetic Impacts cm−2 s−1
6.1. Aspects of Global Spectra
6.2. Aspects of Local Sectors in Spectra
7. Conclusions
Funding
Data Availability Statement
Conflicts of Interest
References
- Lässer, R. Tritium and helium-3 in metals. In Materials Science; Series in Materials Science; Springer: New York, NY, USA, 1989; Volume 9. [Google Scholar]
- Oltra, R.; Boquillon, J.P. Depassivation by laser impacts. Electrochim. Acta 1986, 31, 869–872. [Google Scholar] [CrossRef]
- Oltra, R.; Indrianjafy, G.M.; Efimov, I.O. Laser Pulsed Irradiation of Passive Films. In Modifications of Passive Oxide; Institute of Materials, T., Ed.; European Federation of Corrosion: Paris, France, 1993; Volume 12, pp. 230–233. [Google Scholar]
- Arnoult, X.; Arnoult-Růžičková, M.; Maňák, J.; Viani, A.; Brajer, J.; Arrigoni, M.; Kolman, R.; Macák, J. Corrosion and Electrochemical Properties of Laser-Shock-Peening-Treated Stainless Steel AISI 304L in VVER Primary Water Environment. Metals 2022, 12, 1702. [Google Scholar] [CrossRef]
- Kameo, Y.; Nakashima, M.; Hirabayashi, T. New laser decontamination technique for radioactively contaminated metal surfaces using acid-bearing sodium silicate gel. J. Nucl. Sci. Technol. 2004, 41, 919–924. [Google Scholar] [CrossRef]
- Sentis, M.L.; Delaporte, P.; Marine, W.; Uteza, O. Surface oxide removal by a XeCl laser for decontamination. Quantum Electron. 2000, 30, 495–500. [Google Scholar] [CrossRef]
- Delaporte, P.; Gastaud, M.; Marine, W.; Sentis, M.; Uteza, O.; Thouvenot, P.; Alcaraz, J.L.; Le Samedy, J.M.; Blin, D. Radioactive oxide removal by XeCl laser. Appl. Surf. Sci. 2002, 197–198, 826–830. [Google Scholar] [CrossRef]
- Yoo, H.J.; Baek, S.; Kim, J.H.; Choi, J.; Kim, Y.J.; Park, C. Effect of laser surface cleaning of corroded 304L stainless steel on microstructure and mechanical properties. J. Mater. Res. Technol. 2022, 16, 373–385. [Google Scholar] [CrossRef]
- Wang, X.; Wang, J.; Fu, C.; Gao, Y. Determination of corrosion type by wavelet-based fractal dimension from electrochemical noise. Int. J. Electrochem. Sci. 2013, 8, 7211–7222. [Google Scholar] [CrossRef]
- Macía, L.F.; Tourwé, E.; Pintelon, R.; Hubin, A. A new modeling method for determining electrochemical parameters from LSV experiments using the stochastic noise. Part I: Theory and validation. J. Electroanal. Chem. 2013, 690, 127–135. [Google Scholar] [CrossRef]
- Bellanger, G. Blocking Hydrogen Diffusion in Palladium Cathode I-Analyzed by Electrochemistry; II-Analyzed by Chaos. Hydrogen 2022, 3, 123–160. [Google Scholar] [CrossRef]
- Li, X.; Liang, X.; Liu, D.; Chen, R.; Huang, F.; Wang, R.; Rettenmayr, M.; Su, Y.; Guo, J.; Fu, H. Design of (Nb, Mo)40Ti30Ni30 Alloy membranes for Combined Enhancement of Hydrogen Permeability and Embrittlement Resistance. Nat. Sci. Rep. 2017, 7, 209. [Google Scholar] [CrossRef]
- Kurbanova, E.D.; Polukhin, V.A. Influence of Alloying Ti, Mo, Zr on Strength and Workability of Membrane Alloys (Nb-Ni, V-Ni). Procedia Struct. 2022, 40, 251–257. [Google Scholar] [CrossRef]
- Bellanger, G. Corrosion Induced by Low-Energy Radionuclides- Modeling of Tritium and Its Radiolytic and Decay Products Formed in Nuclear Installations, in Materials Science; Elsevier Science: Amsterdam, The Netherlands, 2004. [Google Scholar]
- Bellanger, G. Localized corrosion of 316L stainless steel in tritiated water containing aggressive radiolytic and decomposition products at different temperatures. J. Nucl. Mater. 2007, 374, 20–31. [Google Scholar] [CrossRef]
- Sprott, J.C. Chaos and Time; Series Analysis; Oxford University Press: Oxford, UK, 2003. [Google Scholar]
- Anishchenko, V.S.; Astakhov, V.; Neiman, A.; Vadivasova, T.; Schimansky-Geier, L. Nonlinear Dynamics of Chaotic and Stochastic Systems—Tutorial and Modern Developments; Springer: New York, NY, USA, 2007. [Google Scholar]
- Muthuswamy, B. Implementing memristor based chaotic circuits. Int. J. Bifurcat. Chaos 2010, 20, 1335–1350. [Google Scholar] [CrossRef]
- Cottis, R.; Turgoose, S. Electrochemical Impedance and Noise; Corrosion Testing Made Easy; Nace: Houston, TX, USA, 1999. [Google Scholar]
- Petrzela, J. Chaos in Analog Electronic Circuits: Comprehensive Review, Solved Problems, Open Topics and Small Example. J. Math. 2022, 10, 4108. [Google Scholar] [CrossRef]
- O’Connell, R.A. An Exploration of Chaos in Electrical Circuits; Senior Projects Spring; Bard College: Baltimore, MA, USA, 2016. [Google Scholar]
- Marquardt, R.; Zahari, F.; Carstensen, J.; Popkirov, G.; Gronenberg, O.; Kolhatkar, G.; Kohlstedt, H.; Ziegler, M. Advanced Electronic Materials, Impedance Spectroscopy on Hafnium Oxide-Based Memristive Devices; Wiley, Online Library: Hoboken, NJ, USA, 2023. [Google Scholar] [CrossRef]
- Zhong, G.Q.; Ayrom, F. Periodicity and chaos circuit. IEEE Trans. Circuits Syst. 1985, 32, 501–503. [Google Scholar] [CrossRef]
- Chua, L.O.; Lin, G.N. Intermittency in a piecewise-linear circuit. IEEE Trans. Circuits Syst. 1991, 38, 510–520. [Google Scholar] [CrossRef]
- Xia, D.; Song, S.; Wang, J.; Shi, J.; Bi, H.; Gao, Z. Determination of corrosion types from electrochemical noise by phase space reconstruction theory. Electrochem. Commun. 2012, 15, 88–92. [Google Scholar] [CrossRef]
- García, E.; Hernández, M.A.; Rodríguez, F.J.; Genescá, J.; Boerio, F.J. Oscillation and Chaos in Pitting Corrosion of Steel. Corrosion 2003, 59, 50–58. [Google Scholar] [CrossRef]
- Bartissol, P.; Chua, L.O. The double hook. IEEE Trans. Circuits Syst. 1988, 35, 1512–1522. [Google Scholar] [CrossRef]
- Wigdorowitz, B.; Petrick, M.H. Modelling concepts arising from an investigation into a chaotic system. Math. Comput. Model. Dyn. Syst. 1991, 15, 1–16. [Google Scholar] [CrossRef]
- Limphodaen, N.; Chansangiam, P. Mathematical analysis for classical Chua circuit with two nonlinear resistors. Songklanakarin J. Sci. Technol. 2020, 42, 678–687. [Google Scholar] [CrossRef]
- Cheng, W.; Luo, S.; Chen, Y. Use of EIS, Polarization and electrochemical noise measurements to monitor the copper corrosion in chloride media at different temperatures. Int. J. Electrochem. 2019, 14, 4254–4263. [Google Scholar] [CrossRef]
- Anishchenko, V.S.; Vadivasova, T.E.; Okrokvertskhov, G.A.; Strelkova, G. Correlation analysis of dynamical chaos. Phys. A 2003, 325, 199–212. [Google Scholar] [CrossRef]
- Le Maıtre, O.P.; Reagan, M.T.; Najm, H.N.; Ghanem, R.G.; Knio, O.M. A stochastic projection method for fluid flow. ii. Random process. J. Comp. Phys. 2002, 181, 9–44. [Google Scholar] [CrossRef]
- Blatman, G.; Sudret, B. Adaptive sparse polynomial chaos expansion based on least angle regression. J. Comput. Phys. 2011, 230, 2345–2367. [Google Scholar] [CrossRef]








































Disclaimer/Publisher’s Note: The statements, opinions and data contained in all publications are solely those of the individual author(s) and contributor(s) and not of MDPI and/or the editor(s). MDPI and/or the editor(s) disclaim responsibility for any injury to people or property resulting from any ideas, methods, instructions or products referred to in the content. |
© 2023 by the author. Licensee MDPI, Basel, Switzerland. This article is an open access article distributed under the terms and conditions of the Creative Commons Attribution (CC BY) license (https://creativecommons.org/licenses/by/4.0/).
Share and Cite
Bellanger, G. Passive Oxide Destruction by Dense Low-Energy Radionuclide i-Analyzed by Voltammetry ii-Analyzed by Chaos. Corros. Mater. Degrad. 2023, 4, 398-427. https://doi.org/10.3390/cmd4030021
Bellanger G. Passive Oxide Destruction by Dense Low-Energy Radionuclide i-Analyzed by Voltammetry ii-Analyzed by Chaos. Corrosion and Materials Degradation. 2023; 4(3):398-427. https://doi.org/10.3390/cmd4030021
Chicago/Turabian StyleBellanger, Gilbert. 2023. "Passive Oxide Destruction by Dense Low-Energy Radionuclide i-Analyzed by Voltammetry ii-Analyzed by Chaos" Corrosion and Materials Degradation 4, no. 3: 398-427. https://doi.org/10.3390/cmd4030021
APA StyleBellanger, G. (2023). Passive Oxide Destruction by Dense Low-Energy Radionuclide i-Analyzed by Voltammetry ii-Analyzed by Chaos. Corrosion and Materials Degradation, 4(3), 398-427. https://doi.org/10.3390/cmd4030021
