Self-Reported Insomnia and Poor Sleep Quality Are Associated with Self-Reported Cognitive Changes in Older Adults
Abstract
1. Introduction
2. Results
2.1. Study Sample
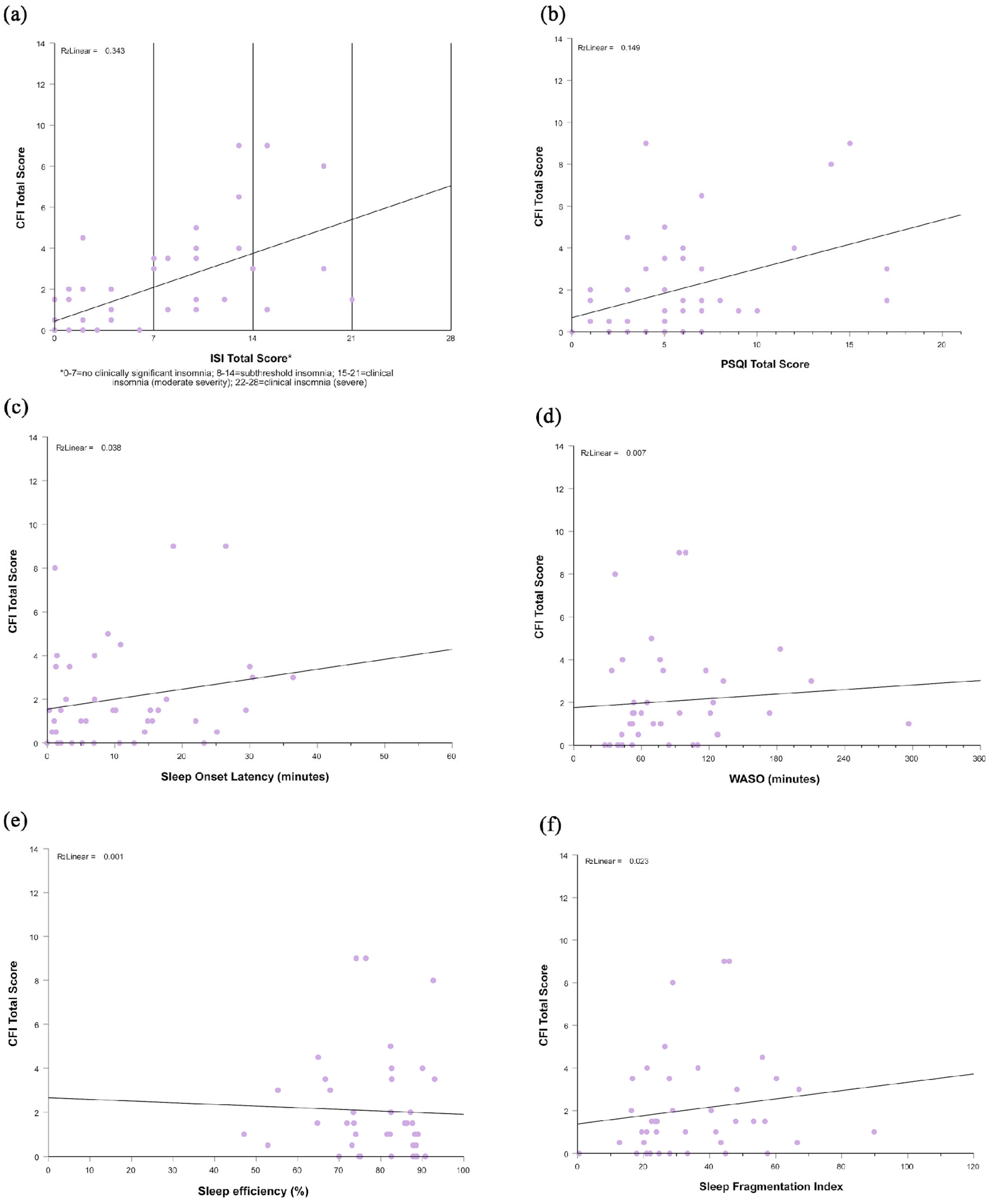
2.2. Association Between Scores on Cognitive Measures and Subjective Sleep Complaints
2.3. Association Between Scores on Cognitive Measures and Objective Sleep Data
3. Discussion
4. Materials and Methods
4.1. Participants
4.2. Sleep Measures
4.2.1. Actigraphy
4.2.2. Insomnia Severity Index
4.2.3. Pittsburgh Sleep Quality Index
4.3. Cognitive Measures
4.3.1. Cognitive Function Instrument
4.3.2. Mini-Mental State Examination
4.4. Emotional Screening Measures
4.4.1. Beck Depression Inventory-II
4.4.2. General Anxiety Disorder-7
4.5. Statistical Analysis
5. Conclusions
Author Contributions
Funding
Institutional Review Board Statement
Informed Consent Statement
Data Availability Statement
Acknowledgments
Conflicts of Interest
References
- Altena, E.; Ramautar, J.R.; Van Der Werf, Y.D.; Van Someren, E.J.W. Do Sleep Complaints Contribute to Age-Related Cognitive Decline? Prog. Brain Res. 2010, 185, 181–205. [Google Scholar] [CrossRef]
- Leng, Y.; Musiek, E.S.; Hu, K.; Cappuccio, F.P.; Yaffe, K. Association Between Circadian Rhythms and Neurodegenerative Diseases. Lancet Neurol. 2019, 18, 307–318. [Google Scholar] [CrossRef]
- American Psychiatric Association. Diagnostic and Statistical Manual of Mental Disorders; American Psychiatric Association: Washington, DC, USA, 2013; ISBN 0-89042-555-8. [Google Scholar]
- Cross, N.E.; Carrier, J.; Postuma, R.B.; Gosselin, N.; Kakinami, L.; Thompson, C.; Chouchou, F.; Dang-Vu, T.T. Association Between Insomnia Disorder and Cognitive Function in Middle-Aged and Older Adults: A Cross-Sectional Analysis of the Canadian Longitudinal Study on Aging. Sleep 2019, 42, zsz114. [Google Scholar] [CrossRef]
- Patel, D.; Steinberg, J.; Patel, P. Insomnia in the Elderly: A Review. J. Clin. Sleep Med. 2018, 14, 1017–1024. [Google Scholar] [CrossRef] [PubMed]
- Abbott, S.M.; Videnovic, A. Chronic Sleep Disturbance and Neural Injury: Links to Neurodegenerative Disease. Nat. Sci. Sleep 2016, 8, 55–61. [Google Scholar] [CrossRef] [PubMed]
- Jessen, F.; Amariglio, R.E.; Van Boxtel, M.; Breteler, M.; Ceccaldi, M.; Chételat, G.; Dubois, B.; Dufouil, C.; Ellis, K.A.; Van Der Flier, W.M.; et al. A Conceptual Framework for Research on Subjective Cognitive Decline in Preclinical Alzheimer’s Disease. Alzheimers Dement. 2014, 10, 844–852. [Google Scholar] [CrossRef] [PubMed]
- Jessen, F.; Amariglio, R.E.; Buckley, R.F.; van der Flier, W.M.; Han, Y.; Molinuevo, J.L.; Rabin, L.; Rentz, D.M.; Rodriguez-Gomez, O.; Saykin, A.J.; et al. The Characterisation of Subjective Cognitive Decline. Lancet Neurol. 2020, 19, 271–278. [Google Scholar] [CrossRef]
- Jessen, F.; Wiese, B.; Bachmann, C.; Eifflaender-Gorfer, S.; Haller, F.; Kölsch, H.; Luck, T.; Mösch, E.; van den Bussche, H.; Wagner, M.; et al. Prediction of Dementia by Subjective Memory Impairment Effects of Severity and Temporal Association with Cognitive Impairment. Arch. Gen. Psychiatry 2010, 67, 414–422. [Google Scholar] [CrossRef]
- Morrison, C.; Oliver, M.D. Subjective Cognitive Decline Is Associated with Lower Baseline Cognition and Increased Rate of Cognitive Decline. J. Gerontol. Ser. B 2022, 78, 573–584. [Google Scholar] [CrossRef]
- Kim, J.H.; Ahn, J.H.; Min, C.Y.; Yoo, D.M.; Choi, H.G. Association Between Sleep Quality and Subjective Cognitive Decline: Evidence from a Community Health Survey. Sleep Med. 2021, 83, 123–131. [Google Scholar] [CrossRef]
- Leng, M.; Yin, H.; Zhang, P.; Jia, Y.; Hu, M.; Li, G.; Wang, C.; Chen, L. Sleep Quality and Health-Related Quality of Life in Older People with Subjective Cognitive Decline, Mild Cognitive Impairment, and Alzheimer Disease. J. Nerv. Ment. Dis. 2020, 208, 387–396. [Google Scholar] [CrossRef] [PubMed]
- Nicolazzo, J.; Xu, K.; Lavale, A.; Buckley, R.; Yassi, N.; Hamilton, G.S.; Maruff, P.; Baril, A.A.; Lim, Y.Y.; Pase, M.P. Sleep Symptomatology Is Associated with Greater Subjective Cognitive Concerns: Findings from the Community-Based Healthy Brain Project. Sleep 2021, 44, zsab097. [Google Scholar] [CrossRef] [PubMed]
- Wardle-Pinkston, S.; Slavish, D.C.; Taylor, D.J. Insomnia and Cognitive Performance: A Systematic Review and Meta-Analysis. Sleep Med. Rev. 2019, 48, 101205. [Google Scholar] [CrossRef] [PubMed]
- Xiao, S.; Shi, L.; Zhang, J.; Li, X.; Lin, H.; Xue, Y.; Xue, B.; Chen, Y.; Zhou, G.; Zhang, C. The Role of Anxiety and Depressive Symptoms in Mediating the Relationship between Subjective Sleep Quality and Cognitive Function among Older Adults in China. J. Affect. Disord. 2023, 325, 640–646. [Google Scholar] [CrossRef]
- Sun, M.; Zhang, Q.; Han, Y.; Liu, J. Sleep Quality and Subjective Cognitive Decline among Older Adults: The Mediating Role of Anxiety/Depression and Worries. J. Aging Res. 2024, 2024, 4946303. [Google Scholar] [CrossRef]
- Markova, H.; Andel, R.; Stepankova, H.; Kopecek, M.; Nikolai, T.; Hort, J.; Thomas-Antérion, C.; Vyhnalek, M. Subjective Cognitive Complaints in Cognitively Healthy Older Adults and Their Relationship to Cognitive Performance and Depressive Symptoms. J. Alzheimer’s Dis. 2017, 59, 871–881. [Google Scholar] [CrossRef]
- Sabatini, S.; Woods, R.T.; Ukoumunne, O.C.; Ballard, C.; Collins, R.; Clare, L. Associations of Subjective Cognitive and Memory Decline with Depression, Anxiety, and Two-Year Change in Objectively-Assessed Global Cognition and Memory. Aging Neuropsychol. Cogn. 2022, 29, 840–866. [Google Scholar] [CrossRef]
- O’Donnell, D.; Silva, E.J.; Munch, M.; Ronda, J.M.; Wang, W.; Duffy, J.F. Comparison of Subjective and Objective Assessments of Sleep in Healthy Older Subjects without Sleep Complaints. J. Sleep Res. 2009, 18, 254–263. [Google Scholar] [CrossRef]
- Stavitsky, K.; Saurman, J.L.; McNamara, P.; Cronin-Golomb, A. Sleep in Parkinson’s Disease: A Comparison of Actigraphy and Subjective Measures. Park. Relat. Disord. 2010, 16, 280–283. [Google Scholar] [CrossRef]
- Jiang, H.-X.; Xie, X.; Xu, Y.; Wang, R.; Lei, X.; Yu, J. Older Adults’ Subjective Cognitive Decline Correlated with Subjective but Not Objective Sleep: A Mediator Role of Depression. Int. J. Aging Hum. Dev. 2022, 95, 42–56. [Google Scholar] [CrossRef]
- Bubbico, G.; Di Iorio, A.; Lauriola, M.; Sepede, G.; Salice, S.; Spina, E.; Brondi, G.; Esposito, R.; Perrucci, M.G.; Tartaro, A. Subjective Cognitive Decline and Nighttime Sleep Alterations, a Longitudinal Analysis. Front. Aging Neurosci. 2019, 11, 142. [Google Scholar] [CrossRef] [PubMed]
- Lauriola, M.; Esposito, R.; Delli Pizzi, S.; de Zambotti, M.; Londrillo, F.; Kramer, J.H.; Rabinovici, G.D.; Tartaro, A. Sleep Changes Without Medial Temporal Lobe or Brain Cortical Changes in Community-Dwelling Individuals with Subjective Cognitive Decline. Alzheimers Dement. 2017, 13, 783–791. [Google Scholar] [CrossRef] [PubMed]
- Manousakis, J.E.; Scovelle, A.J.; Rajaratnam, S.M.W.; Naismith, S.L.; Anderson, C. Advanced Circadian Timing and Sleep Fragmentation Differentially Impact on Memory Complaint Subtype in Subjective Cognitive Decline. J. Alzheimers Dis. 2018, 66, 565–577. [Google Scholar] [CrossRef] [PubMed]
- Cavuoto, M.G.; Ong, B.; Pike, K.E.; Nicholas, C.L.; Bei, B.; Kinsella, G.J. Better Objective Sleep Quality in Older Adults with High Subjective Memory Decline. J. Alzheimers Dis. 2016, 53, 943–953. [Google Scholar] [CrossRef]
- Lo, J.C.; Groeger, J.A.; Cheng, G.H.; Dijk, D.J.; Chee, M.W.L. Self-Reported Sleep Duration and Cognitive Performance in Older Adults: A Systematic Review and Meta-Analysis. Sleep Med. 2016, 17, 87–98. [Google Scholar] [CrossRef]
- Reynolds, A.C.; Banks, S. Total Sleep Deprivation, Chronic Sleep Restriction and Sleep Disruption. In Progress in Brain Research; Elsevier: Amsterdam, The Netherlands, 2010; Volume 185, pp. 91–103. ISBN 978-0-444-53702-7. [Google Scholar]
- Banks, S.; Dinges, D.F. Behavioral and Physiological Consequences of Sleep Restriction. J. Clin. Sleep Med. 2007, 03, 519–528. [Google Scholar] [CrossRef]
- Hu, T.; Wang, F.; Duan, Q.; Zhao, X.; Yang, F. Prevalence of Fatigue and Perceived Fatigability in Older Adults: A Systematic Review and Metaanalysis. Sci. Rep. 2025, 15, 4818. [Google Scholar] [CrossRef]
- Fekedulegn, D.; Andrew, M.E.; Shi, M.; Violanti, J.M.; Knox, S.; Innes, K.E. Actigraphy-Based Assessment of Sleep Parameters. Ann. Work Expo. Health 2020, 64, 350–367. [Google Scholar] [CrossRef]
- McSorley, V.E.; Bin, Y.S.; Lauderdale, D.S. Associations of Sleep Characteristics with Cognitive Function and Decline among Older Adults. Am. J. Epidemiol. 2019, 188, 1066–1075. [Google Scholar] [CrossRef]
- Kotwal, A.A.; Schumm, P.; Kern, D.W.; McClintock, M.K.; Waite, L.J.; Shega, J.W.; Huisingh-Scheetz, M.J.; Dale, W. Evaluation of a Brief Survey Instrument for Assessing Subtle Differences in Cognitive Function Among Older Adults. Alzheimer Dis. Assoc. Disord. 2015, 29, 317–324. [Google Scholar] [CrossRef]
- Fong, T.G.; Fearing, M.A.; Jones, R.N.; Shi, P.; Marcantonio, E.R.; Rudolph, J.L.; Yang, F.M.; Kiely, D.K.; Inouye, S.K. The Telephone Interview for Cognitive Status: Creating a Crosswalk with the Mini-Mental State Exam. Alzheimers Dement. J. Alzheimers Assoc. 2009, 5, 492–497. [Google Scholar] [CrossRef] [PubMed]
- Buysse, D.J.; Ancoli-Israel, S.; Edinger, J.D.; Lichstein, K.L.; Morin, C.M. Recommendations for a Standard Research Assessment of Insomnia. Sleep 2006, 29, 1155–1173. [Google Scholar] [CrossRef] [PubMed]
- Bastien, C.H.; Valliers, A.; Morin, C.M. Validation of the Insomnia Severity Index as an Outcome Measure for Insomnia Research. Sleep Med. 2001, 2, 297–307. [Google Scholar] [CrossRef] [PubMed]
- Shahid, A.; Wilkinson, K.; Marcu, S.; Shapiro, C.M. STOP, THAT and One Hundred Other Sleep Scales; Shahid, A., Wilkinson, K., Marcu, S., Shapiro, C.M., Eds.; Springer: Berlin/Heidelberg, Germany, 2012. [Google Scholar]
- Morin, C.M.; Belleville, G.; Belanger, L.; Ivers, H. The Insomnia Severity Index: Psychometric Indicators to Detect Insomnia Cases and Evaluate Treatment Response. Sleep 2011, 34, 601–608. [Google Scholar] [CrossRef]
- Beaudreau, S.A.; Spira, A.P.; Stewart, A.; Kezirian, E.J.; Lui, L.Y.; Ensrud, K.; Redline, S.; Ancoli-Israel, S.; Stone, K.L. Validation of the Pittsburgh Sleep Quality Index and the Epworth Sleepiness Scale in Older Black and White Women. Sleep Med. 2012, 13, 36–42. [Google Scholar] [CrossRef]
- Carpenter, J.S.; Andrykowski, M.A. Psychometric Evaluation of the Pittsburgh Sleep Quality Index. J. Psychosom. Res. 1998, 45, 5–13. [Google Scholar] [CrossRef]
- Spira, A.P.; Beaudreau, S.A.; Stone, K.L.; Kezirian, E.J.; Lui, L.Y.; Redline, S.; Ancoli-Israel, S.; Ensrud, K.; Stewart, A. Reliability and Validity of the Pittsburgh Sleep Quality Index and the Epworth Sleepiness Scale in Older Men. J. Gerontol.—Ser. Biol. Sci. Med. Sci. 2011, 67A, 433–439. [Google Scholar] [CrossRef]
- Li, C.; Neugroschl, J.; Luo, X.; Zhu, C.; Aisen, P.; Ferris, S.; Sano, M. The Utility of the Cognitive Function Instrument (CFI) to Detect Cognitive Decline in Non-Demented Older Adults. J. Alzheimers Dis. 2017, 60, 427–437. [Google Scholar] [CrossRef]
- Folstein, M.F.; Folstein, S.E.; Mchugh, P.R. “Mini-Mental State” A Practical Method for Grading the Cognitive State of Patients for the Clinician. J. Psychiat Res. 1975, 12, 189–198. [Google Scholar] [CrossRef]
- Kurlowicz, L.; Wallace, M. The Mini-Mental State Examination (MMSE). J. Gerontol. Nurs. 1999, 25, 8–9. [Google Scholar] [CrossRef]
- Upton, J. Beck Depression Inventory (BDI). In Encyclopedia of Behavioral Medicine, 2nd ed.; Gellman, M.D., Ed.; Springer: Cham, Switzerland, 2020; p. 202. ISBN 978-3-030-39901-6. [Google Scholar]
- Segal, D.L.; Coolidge, F.L.; Cahill, B.S.; O’Riley, A.A. Psychometric Properties of the Beck Depression Inventory-II (BDI-II) among Community-Dwelling Older Adults. Behav. Modif. 2008, 32, 3–20. [Google Scholar] [CrossRef]
- Spitzer, R.L.; Kroenke, K.; Williams, J.B.W.; Löwe, B. A Brief Measure for Assessing Generalized Anxiety Disorder: The GAD-7. Arch. Intern. Med. 2006, 166, 1092. [Google Scholar] [CrossRef]
- Wild, B.; Eckl, A.; Herzog, W.; Niehoff, D.; Lechner, S.; Maatouk, I.; Schellberg, D.; Brenner, H.; Mueller, H.; Loewe, B. Assessing Generalized Anxiety Disorder in Elderly People Using the GAD-7 and GAD-2 Scales: Results of a Validation Study. Am. J. Geriatr. Psychiatry 2014, 22, 1029–1038. [Google Scholar] [CrossRef]
- Kline, R.B. Principles and Practice of Structural Equation Modeling, Methodology in the Social Sciences; 4th ed.; The Guilford Press: New York, NY, USA, 2016; ISBN 978-1-4625-2335-1. [Google Scholar]
- Cohen, J. Statistical Power Analysis for the Behavioral Sciences, 2nd ed.; Lawrence Erlbaum Associates, Publishers: Hillsdale, NJ, USA, 1988; ISBN 0-8058-0283-5. [Google Scholar]

| Mean | Standard Deviation | Range | |
| Age | 64.2 | 9.5 | 52–85 |
| Education | 16.1 | 2.5 | 12–20 |
| MMSE | 28.2 | 1.5 | 24–30 |
| CFI | 2.1 | 2.4 | 0–9.0 |
| PSQI | 6.0 | 3.9 | 0–17 |
| ISI | 7.0 | 5.9 | 0–21 |
| BDI-II | 4.2 | 4.9 | 0–16 |
| GAD-7 | 1.8 | 2.3 | 0–7 |
| CFI | MMSE | |||||
|---|---|---|---|---|---|---|
| r | [95% CI] | p | r | [95% CI] | p | |
| Age | 0.29 | [−0.01, 0.54] | 0.06 | −0.05 | [−0.34, 0.25] | 0.76 |
| Sex | 0.03 | [−0.26, 0.32] | 0.83 | 0.01 | [−0.28, 0.30] | 0.94 |
| Education | −0.07 | [−0.36, 0.23] | 0.63 | 0.22 | [−0.08, 0.48] | 0.14 |
| BDI | 0.62 | [0.40, 0.78] | <0.001 * | −0.13 | [−0.41, 0.17] | 0.38 |
| GAD7 | 0.31 | [0.02, 0.56] | 0.04 * | −0.05 | [−0.34, 0.25] | 0.76 |
| ISI | 0.50 | [0.25, 0.70] | <0.001 * | −0.04 | [−0.39, 0.31] | 0.79 |
| PSQI | 0.28 | [−0.06, 0.57] | 0.07 | −0.24 | [−0.54, 0.08] | 0.12 |
| Subjective Sleep Quality | 0.31 | [0.02, 0.53] | 0.048 * | −0.23 | [−0.55, 0.11] | 0.15 |
| Sleep Latency | 0.11 | [−0.25, 0.46] | 0.49 | −0.09 | [−0.37, 0.20] | 0.59 |
| Sleep Duration | 0.32 | [0.03, 0.58] | 0.04 * | −0.26 | [−0.64, 0.13] | 0.10 |
| Sleep Efficiency | 0.19 | [−0.21, 0.53] | 0.24 | −0.11 | [−0.41, 0.18] | 0.49 |
| Sleep Disturbance | 0.13 | [−0.18, 0.39] | 0.43 | −0.16 | [−0.48, 0.15] | 0.31 |
| Sleeping Medication | 0.31 | [0.02, 0.53] | 0.048 * | −0.23 | [−0.55, 0.11] | 0.15 |
| Daytime Dysfunction | −0.20 | [−0.55, 0.17] | 0.20 | −0.02 | [−0.23, 0.18] | 0.93 |
| CFI | MMSE | |||||
|---|---|---|---|---|---|---|
| r | [95% CI] | p | r | [95% CI] | p | |
| Sleep Onset Latency | 0.14 | [−0.27, 0.41] | 0.40 | −0.05 | [−0.38, 0.25] | 0.75 |
| Total Sleep Time | 0.18 | [−0.08, 0.43] | 0.28 | 0.26 | [−0.05, 0.56] | 0.12 |
| Sleep Efficiency | 0.07 | [−0.23, 0.40] | 0.70 | 0.12 | [−0.15, 0.41] | 0.47 |
| Wake After Sleep Onset | −0.08 | [−0.44, 0.29] | 0.65 | −0.08 | [−0.39, 0.19] | 0.64 |
| Number of Awakenings | −0.06 | [−0.28, 0.34] | 0.73 | 0.10 | [−0.24, 0.38] | 0.54 |
| Sleep Fragmentation Index | −0.03 | [−0.37, 0.28] | 0.86 | −0.17 | [−0.45, 0.10] | 0.32 |
Disclaimer/Publisher’s Note: The statements, opinions and data contained in all publications are solely those of the individual author(s) and contributor(s) and not of MDPI and/or the editor(s). MDPI and/or the editor(s) disclaim responsibility for any injury to people or property resulting from any ideas, methods, instructions or products referred to in the content. |
© 2025 by the authors. Licensee MDPI, Basel, Switzerland. This article is an open access article distributed under the terms and conditions of the Creative Commons Attribution (CC BY) license (https://creativecommons.org/licenses/by/4.0/).
Share and Cite
Glueck, J.; Pluim McDowell, C.; Quiroz, Y.T.; Cronin-Golomb, A.; Duffy, J.F. Self-Reported Insomnia and Poor Sleep Quality Are Associated with Self-Reported Cognitive Changes in Older Adults. Clocks & Sleep 2025, 7, 56. https://doi.org/10.3390/clockssleep7040056
Glueck J, Pluim McDowell C, Quiroz YT, Cronin-Golomb A, Duffy JF. Self-Reported Insomnia and Poor Sleep Quality Are Associated with Self-Reported Cognitive Changes in Older Adults. Clocks & Sleep. 2025; 7(4):56. https://doi.org/10.3390/clockssleep7040056
Chicago/Turabian StyleGlueck, Julia, Celina Pluim McDowell, Yakeel T. Quiroz, Alice Cronin-Golomb, and Jeanne F. Duffy. 2025. "Self-Reported Insomnia and Poor Sleep Quality Are Associated with Self-Reported Cognitive Changes in Older Adults" Clocks & Sleep 7, no. 4: 56. https://doi.org/10.3390/clockssleep7040056
APA StyleGlueck, J., Pluim McDowell, C., Quiroz, Y. T., Cronin-Golomb, A., & Duffy, J. F. (2025). Self-Reported Insomnia and Poor Sleep Quality Are Associated with Self-Reported Cognitive Changes in Older Adults. Clocks & Sleep, 7(4), 56. https://doi.org/10.3390/clockssleep7040056

