SleepSync: Early Testing of a Personalised Sleep–Wake Management Smartphone Application for Improving Sleep and Cognitive Fitness in Defence Shift Workers
Abstract
1. Introduction
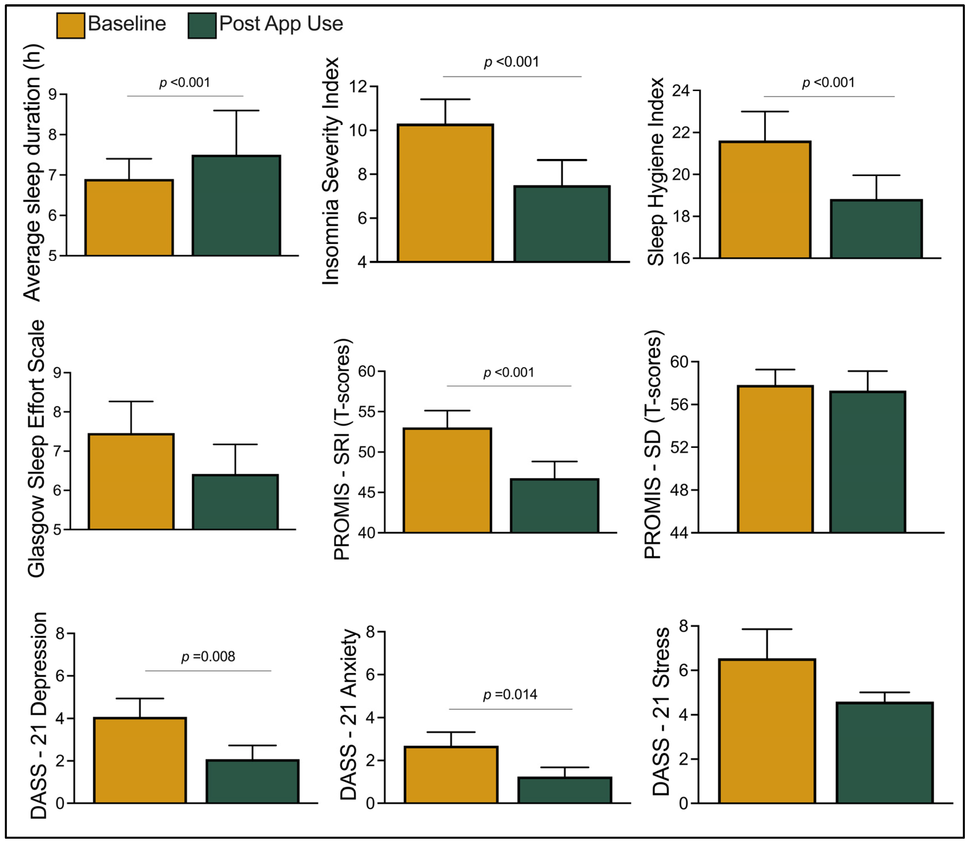
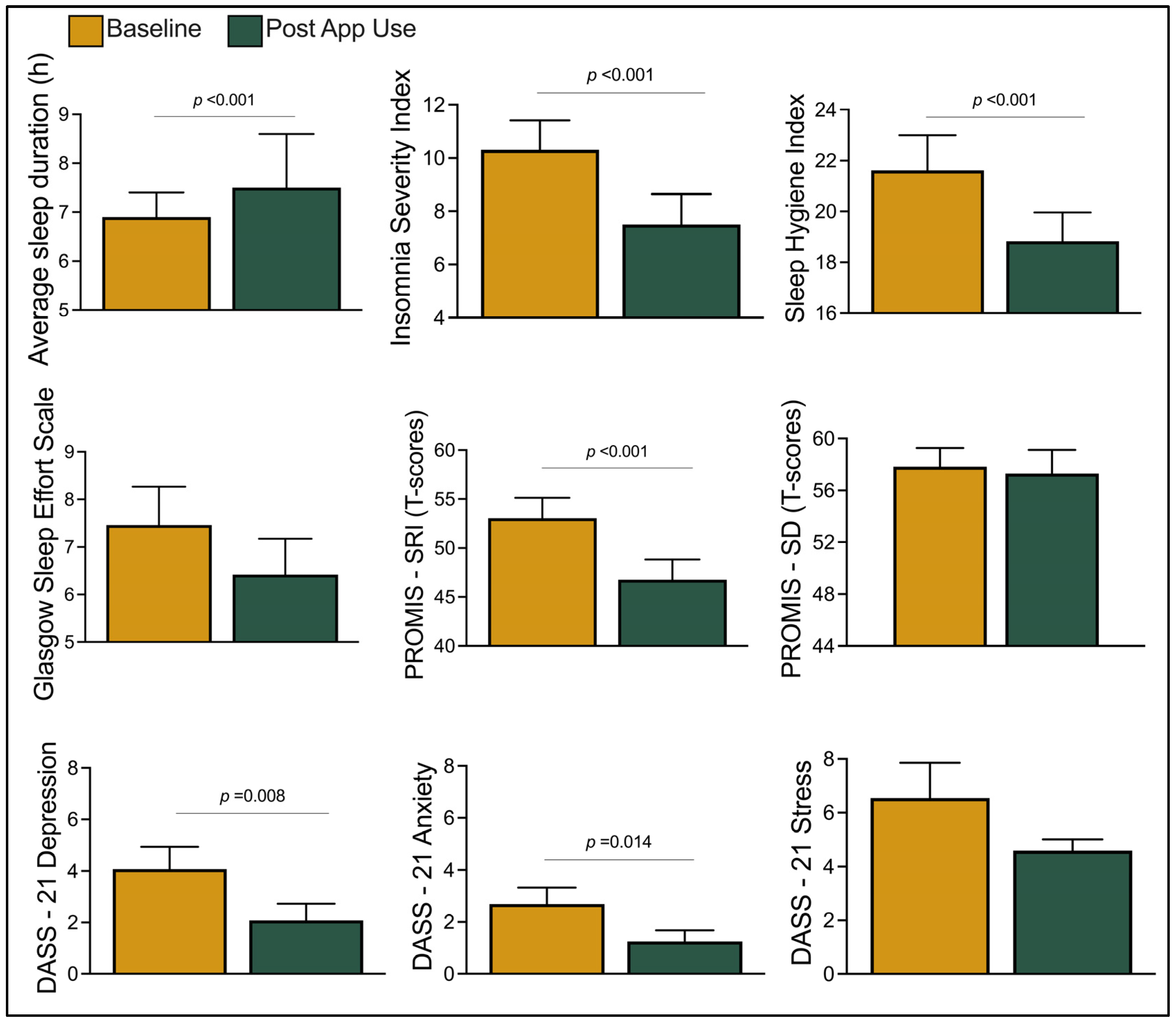
2. Results
3. Discussion
4. Materials and Methods
4.1. Participants
- Having an untreated sleep disorder other than insomnia or shift work disorder (such as restless leg syndrome, central or obstructive sleep apnoea, or narcolepsy).
- Having an untreated medical condition that may impact sleep, such as diabetes, thyroid disease, hypertension, or neurological conditions.
- Having an untreated mental health (psychiatric) condition that may impact sleep other than depression or anxiety.
- Current caffeine consumption > 500 mg per day.
- Alcohol consumption > 20 standard drinks in a week.
- Transmeridian travel in the past month.
- History of substance abuse in the past 12 months.
4.2. Intervention
4.3. Procedure
4.4. Measures
4.5. Data Analyses
5. Conclusions
Supplementary Materials
Author Contributions
Funding
Institutional Review Board Statement
Informed Consent Statement
Data Availability Statement
Acknowledgments
Conflicts of Interest
References
- Cooper, A.D.; Kolaja, C.A.; Markwald, R.R.; Jacobson, I.G.; Chinoy, E.D. Longitudinal associations of military-related factors on self-reported sleep among U.S. service members. Sleep 2021, 44, zsab168. [Google Scholar] [CrossRef]
- Good, C.H.; Brager, A.J.; Capaldi, V.F.; Mysliwiec, V. Sleep in the United States Military. Neuropsychopharmacology 2020, 45, 176–191. [Google Scholar] [CrossRef] [PubMed]
- Schmied, E.A.; Harrison, E.M.; Easterling, A.P.; Hurtado, S.L.; Glickman, G.L. Circadian, light, and sleep skills program: Efficacy of a brief educational intervention for improving sleep and psychological health at sea. Sleep Health 2022, 8, 542–550. [Google Scholar] [CrossRef] [PubMed]
- Sletten, T.L.; Cappuccio, F.P.; Davidson, A.J.; Van Cauter, E.; Rajaratnam, S.M.W.; Scheer, F.A.J.L. Health consequences of circadian disruption. Sleep 2020, 43, zsz194. [Google Scholar] [CrossRef] [PubMed]
- Rajaratnam, S.M.W.; E Howard, M.; Grunstein, R.R. Sleep loss and circadian disruption in shift work: Health burden and management. Med. J. Aust. 2013, 199, S11–S15. [Google Scholar] [CrossRef]
- Bramoweth, A.D.; Germain, A. Deployment-Related Insomnia in Military Personnel and Veterans. Curr. Psychiatry Rep. 2013, 15, 401. [Google Scholar] [CrossRef] [PubMed]
- Markwald, R.R.; Carey, F.R.; Kolaja, C.A.; Jacobson, I.G.; Cooper, A.D.; Chinoy, E.D. Prevalence and predictors of insomnia and sleep medication use in a large tri-service US military sample. Sleep Health 2021, 7, 675–682. [Google Scholar] [CrossRef] [PubMed]
- Devine, J.K.; Collen, J.; Choynowski, J.J.; Capaldi, V. Sleep disturbances and predictors of nondeployability among active-duty Army soldiers: An odds ratio analysis of medical healthcare data from fiscal year 2018. Mil. Med. Res. 2020, 7, 10. [Google Scholar] [CrossRef] [PubMed]
- Grier, T.; Dinkeloo, E.; Reynolds, M.; Jones, B.H. Sleep duration and musculoskeletal injury incidence in physically active men and women: A study of U.S. Army Special Operation Forces soldiers. Sleep Health 2020, 6, 344–349. [Google Scholar] [CrossRef]
- Main, L.C.; McLoughlin, L.T.; Flanagan, S.D.; Canino, M.C.; Banks, S. Monitoring cognitive function in the fatigued warfighter: A rapid review of cognitive biomarkers. J. Sci. Med. Sport 2023, 26, S54–S63. [Google Scholar] [CrossRef]
- Aidman, E. Cognitive Fitness Framework: Towards Assessing, Training and Augmenting Individual-Difference Factors Underpinning High-Performance Cognition. Front. Hum. Neurosci. 2020, 13, 466. [Google Scholar] [CrossRef] [PubMed]
- Crowther, M.E.; Ferguson, S.A.; Vincent, G.E.; Reynolds, A.C. Non-Pharmacological Interventions to Improve Chronic Disease Risk Factors and Sleep in Shift Workers: A Systematic Review and Meta-Analysis. Clocks Sleep 2021, 3, 132–178. [Google Scholar] [CrossRef] [PubMed]
- Murray, J.M.; Magee, M.; Giliberto, E.S.; Booker, L.A.; Tucker, A.J.; Galaska, B.; Sibenaller, S.M.; Baer, S.A.; Postnova, S.; Sondag, T.A.; et al. Mobile app for personalized sleep–wake management for shift workers: A user testing trial. Digit. Health 2023, 9, 20552076231165972. [Google Scholar] [CrossRef] [PubMed]
- Vetter, C.; Fischer, D.; Matera, J.L.; Roenneberg, T. Aligning Work and Circadian Time in Shift Workers Improves Sleep and Reduces Circadian Disruption. Curr. Biol. 2015, 25, 907–911. [Google Scholar] [CrossRef] [PubMed]
- Booker, L.A.; Sletten, T.L.; Barnes, M.; Alvaro, P.; Collins, A.; Chai-Coetzer, C.L.; McMahon, M.; Lockley, S.W.; Rajaratnam, S.M.; Howard, M.E. The effectiveness of an individualized sleep and shift work education and coaching program to manage shift work disorder in nurses: A randomized controlled trial. J. Clin. Sleep Med. 2021, 18, 1035–1045. [Google Scholar] [CrossRef] [PubMed]
- Chinoy, E.D.; Harris, M.P.; Kim, M.J.; Wang, W.; Duffy, J.F. Scheduled evening sleep and enhanced lighting improve adaptation to night shift work in older adults. Occup. Environ. Med. 2016, 73, 869–876. [Google Scholar] [CrossRef] [PubMed]
- Shriane, A.E.; Rigney, G.; A Ferguson, S.; Bin, Y.S.; E Vincent, G. Healthy Sleep Practices for Shift Workers: Consensus Sleep Hygiene Guidelines Using a Delphi Methodology. Sleep 2023, 46, zsad182. [Google Scholar] [CrossRef] [PubMed]
- Postnova, S. Sleep Modelling across Physiological Levels. Clocks Sleep 2019, 1, 166–184. [Google Scholar] [CrossRef] [PubMed]
- Abeysuriya, R.G.; Lockley, S.W.; Robinson, P.A.; Postnova, S. A unified model of melatonin, 6-sulfatoxymelatonin, and sleep dynamics. J. Pineal Res. 2018, 64, e12474. [Google Scholar] [CrossRef]
- Phillips, A.J.K.; Robinson, P.A. A Quantitative Model of Sleep-Wake Dynamics Based on the Physiology of the Brainstem Ascending Arousal System. J. Biol. Rhythms 2007, 22, 167–179. [Google Scholar] [CrossRef]
- Phillips, A.J.K.; Klerman, E.B.; Butler, J.P. Modeling the adenosine system as a modulator of cognitive performance and sleep patterns during sleep restriction and recovery. PLoS Comput. Biol. 2017, 13, e1005759. [Google Scholar] [CrossRef] [PubMed]
- Song, Y.M.; Choi, S.J.; Park, S.H.; Lee, S.J.; Joo, E.Y.; Kim, J.K. A real-time, personalized sleep intervention using mathematical modeling and wearable devices. Sleep 2023, 46, zsad179. [Google Scholar] [CrossRef] [PubMed]
- Varma, P.; Postnova, S.; Phillips, A.J.; Knock, S.; Howard, M.E.; Rajaratnam, S.M.; Sletten, T.L. Pilot feasibility testing of biomathematical model recommendations for personalising sleep timing in shift workers. J. Sleep Res. 2023, e14026. [Google Scholar] [CrossRef] [PubMed]
- Aidman, E. The cognitive fitness framework: A roadmap for systematic, evidence-based mental skills training and performance enhancement. J. Sci. Med. Sport 2017, 20, S50. [Google Scholar] [CrossRef]
- Booker, L.A.; Barnes, M.; Alvaro, P.; Collins, A.; Chai-Coetzer, C.L.; McMahon, M.; Lockley, S.W.; Rajaratnam, S.M.W.; Howard, M.E.; Sletten, T.L. The role of sleep hygiene in the risk of Shift Work Disorder in nurses. Sleep 2019, 43, zsz228. [Google Scholar] [CrossRef] [PubMed]
- Hattatoglu, D.G.; Aydin, S.; Aydin, C.; Yildiz, B.P. The Effect of Sleep Hygiene and Sleep Deterioration on Quality of Life in Shiftworking Healthcare Professionals. Noro Psikiyatr. Arsivi 2020, 58, 11–15. [Google Scholar] [CrossRef] [PubMed]
- Willis, S.L.; Tennstedt, S.L.; Marsiske, M.; Ball, K.; Elias, J.; Koepke, K.M.; Morris, J.N.; Rebok, G.W.; Unverzagt, F.W.; Stoddard, A.M.; et al. Long-term Effects of Cognitive Training on Everyday Functional Outcomes in Older Adults. JAMA 2006, 296, 2805–2814. [Google Scholar] [CrossRef] [PubMed]
- Gardner, B.; Lally, P.; Wardle, J. Making health habitual: The psychology of ‘habit-formation’ and general practice. Br. J. Gen. Pract. 2012, 62, 664–666. [Google Scholar] [CrossRef] [PubMed]
- Mastin, D.F.; Bryson, J.; Corwyn, R. Assessment of sleep hygiene using the Sleep Hygiene Index. J. Behav. Med. 2006, 29, 223–227. [Google Scholar] [CrossRef]
- Ritland, B.M.; Simonelli, G.; Gentili, R.J.; Smith, J.C.; He, X.; Mantua, J.; Balkin, T.J.; Hatfield, B.D. Effects of sleep extension on cognitive/motor performance and motivation in military tactical athletes. Sleep Med. 2019, 58, 48–55. [Google Scholar] [CrossRef]
- Ingre, M.; Van Leeuwen, W.; Klemets, T.; Ullvetter, C.; Hough, S.; Kecklund, G.; Karlsson, D.; Åkerstedt, T. Validating and Extending the Three Process Model of Alertness in Airline Operations. PLoS ONE 2014, 9, e108679. [Google Scholar] [CrossRef] [PubMed]
- Riedy, S.M.; Fekedulegn, D.; Andrew, M.; Vila, B.; Dawson, D.; Violanti, J. Generalizability of a biomathematical model of fatigue’s sleep predictions. Chronobiol. Int. 2020, 37, 564–572. [Google Scholar] [CrossRef] [PubMed]
- Darwent, D.; Dawson, D.; Roach, G.D. A model of shiftworker sleep/wake behaviour. Accid. Anal. Prev. 2012, 45, 6–10. [Google Scholar] [CrossRef] [PubMed]
- Wright, K.P.; Gronfier, C.; Duffy, J.F.; Czeisler, C.A. Intrinsic Period and Light Intensity Determine the Phase Relationship between Melatonin and Sleep in Humans. J. Biol. Rhythm. 2005, 20, 168–177. [Google Scholar] [CrossRef] [PubMed]
- Stone, J.E.; Aubert, X.L.; Maass, H.; Phillips, A.J.K.; Magee, M.; Howard, M.E.; Lockley, S.W.; Rajaratnam, S.M.W.; Sletten, T.L. Application of a Limit-Cycle Oscillator Model for Prediction of Circadian Phase in Rotating Night Shift Workers. Sci. Rep. 2019, 9, 11032. [Google Scholar] [CrossRef] [PubMed]
- Stone, J.E.; McGlashan, E.M.; Quin, N.; Skinner, K.; Stephenson, J.J.; Cain, S.W.; Phillips, A.J.K. The Role of Light Sensitivity and Intrinsic Circadian Period in Predicting Individual Circadian Timing. J. Biol. Rhythm. 2020, 35, 628–640. [Google Scholar] [CrossRef] [PubMed]
- Friedman, M.J. Posttraumatic Stress Disorder Among Military Returnees From Afghanistan and Iraq. Am. J. Psychiatry 2006, 163, 586–593. [Google Scholar] [CrossRef] [PubMed]
- Reynolds, A.C.; Sweetman, A.; Crowther, M.E.; Paterson, J.L.; Scott, H.; Lechat, B.; Wanstall, S.E.; Brown, B.W.; Lovato, N.; Adams, R.J.; et al. Is cognitive behavioral therapy for insomnia (CBTi) efficacious for treating insomnia symptoms in shift workers? A systematic review and meta-analysis. Sleep Med. Rev. 2023, 67, 101716. [Google Scholar] [CrossRef] [PubMed]
- Sletten, T.L.; Ftouni, S.; Nicholas, C.L.; Magee, M.; Grunstein, R.R.; Ferguson, S.; Kennaway, D.J.; O’brien, D.; Lockley, S.W.; Rajaratnam, S.M.W. Randomised controlled trial of the efficacy of a blue-enriched light intervention to improve alertness and performance in night shift workers. Occup. Environ. Med. 2017, 74, 792–801. [Google Scholar] [CrossRef]
- Slanger, T.E.; Gross, J.V.; Pinger, A.; Morfeld, P.; Bellinger, M.; Duhme, A.-L.; Ortega, R.A.R.; Costa, G.; Driscoll, T.R.; Foster, R.G.; et al. Person-directed, non-pharmacological interventions for sleepiness at work and sleep disturbances caused by shift work. Cochrane Database Syst. Rev. 2016, 2016, CD010641. [Google Scholar] [CrossRef]
- Knock, S.A.; Magee, M.; Stone, J.E.; Ganesan, S.; Mulhall, M.D.; Lockley, S.W.; Howard, M.E.; Rajaratnam, S.M.W.; Sletten, T.L.; Postnova, S. Prediction of shiftworker alertness, sleep, and circadian phase using a model of arousal dynamics constrained by shift schedules and light exposure. Sleep 2021, 44, zsab146. [Google Scholar] [CrossRef] [PubMed]
- Albertella, L.; Kirkham, R.; Adler, A.B.; Crampton, J.; Drummond, S.P.; Fogarty, G.J.; Gross, J.J.; Zaichkowsky, L.; Andersen, J.P.; Bartone, P.T.; et al. Building a transdisciplinary expert consensus on the cognitive drivers of performance under pressure: An international multi-panel Delphi study. Front. Psychol. 2023, 13, 1017675. [Google Scholar] [CrossRef] [PubMed]
- Morin, C.M.; Belleville, G.; Bélanger, L.; Ivers, H. The Insomnia Severity Index: Psychometric Indicators to Detect Insomnia Cases and Evaluate Treatment Response. Sleep 2011, 34, 601–608. [Google Scholar] [CrossRef] [PubMed]
- Cella, D.; Yount, S.; Rothrock, N.; Gershon, R.; Cook, K.; Reeve, B.; Ader, D.; Fries, J.F.; Bruce, B.; Rose, M.; et al. The Patient-Reported Outcomes Measurement Information System (PROMIS): Progress of an NIH Roadmap cooperative group during its first two years. Med. Care 2007, 45, S3–S11. [Google Scholar] [CrossRef] [PubMed]
- Broomfield, N.M.; Espie, C.A. Towards a valid, reliable measure of sleep effort. J. Sleep Res. 2005, 14, 401–407. [Google Scholar] [CrossRef]
- Grant, D.A.; Honn, K.A.; Layton, M.E.; Riedy, S.M.; Van Dongen, H.P. 3-minute smartphone-based and tablet-based psychomotor vigilance tests for the assessment of reduced alertness due to sleep deprivation. Behav. Res. Methods 2017, 49, 1020–1029. [Google Scholar] [CrossRef] [PubMed]
- Basner, M.; Mollicone, D.; Dinges, D.F. Validity and Sensitivity of a Brief Psychomotor Vigilance Test (PVT-B) to Total and Partial Sleep Deprivation. Acta Astronaut. 2011, 69, 949–959. [Google Scholar] [CrossRef] [PubMed]
- Basner, M.; Dinges, D.F. Maximizing Sensitivity of the Psychomotor Vigilance Test (PVT) to Sleep Loss. Sleep 2011, 34, 581–591. [Google Scholar] [CrossRef] [PubMed]
- Kane, M.J.; Conway, A.R.A.; Miura, T.K.; Colflesh, G.J.H. Working memory, attention control, and the N-back task: A question of construct validity. J. Exp. Psychol. Learn. Mem. Cogn. 2007, 33, 615–622. [Google Scholar] [CrossRef]
- Armstrong, N.C.; Smith, S.J.R.; Risius, D.; Doyle, D.; Wardle, S.L.; Greeves, J.P.; House, J.R.; Tipton, M.; Lomax, M. Cognitive performance of military men and women during prolonged load carriage. BMJ Mil Health 2023, 169, 37–45. [Google Scholar] [CrossRef]
- Meule, A. Reporting and Interpreting Working Memory Performance in n-back Tasks. Front. Psychol. 2017, 8, 352. [Google Scholar] [CrossRef] [PubMed]

| Participant Characteristics | Mean ± SD or n (%) |
|---|---|
| Age (in years), mean ± SD range | 29.28 ± 6.13 22–46 |
| Sex, n (%) Female | 6 (46.15) |
| Years of Experience (in years), mean ± SD range | 5.61 ± 3.2 2–12 |
| Education, n (%) Vocational or Diploma Bachelors Masters | 7 (53.85) 4 (30.77) 2 (15.38) |
| Overnight Shifts, n (%) Yes | 9 (69.23) |
| Dependents, mean ± SD range | 0.74 (0.61) 0–2 |
| Mean RT | Mean Reciprocal RT | Fastest 10% RT | ||||||||||
| Variable | Estimates | 95% CI | t-value | p | Estimates | 95% CI | t-value | p | Estimates | 95% CI | t-value | p |
| Intercept | 274.86 | 237.04–312.67 | <0.001 | 3.74 | 3.51–3.98 | <0.001 | 211.72 | 201.24–222.20 | <0.001 | |||
| Testing period | ||||||||||||
| Two weeks of app intervention | 41.52 | 17.16–65.87 | 3.336 | 0.001 | −0.03 | −0.19–0.14 | −0.29 | 0.768 | 2.63 | −4.04–9.30 | 0.77 | 0.437 |
| Four weeks of app intervention | 35.89 | 10.30–61.48 | 2.77 | 0.006 | 0.01 | −0.17–0.18 | 0.07 | 0.94 | −7.45 | −14.46–−0.44 | −2.09 | 0.037 |
| Shift type | ||||||||||||
| Evening shift | 20.88 | −2.42–44.18 | 1.77 | 0.079 | −0.02 | −0.19–0.14 | −0.29 | 0.769 | −0.47 | −6.85–5.91 | −0.14 | 0.885 |
| Night shift | 27.69 | −8.88–64.25 | 1.5 | 0.137 | −0.08 | −0.33–0.17 | −0.64 | 0.52 | 0.34 | −9.68–10.36 | 0.06 | 0.947 |
| Start or end of shift | ||||||||||||
| End of shift | 15.89 | −4.29–36.07 | 1.55 | 0.122 | −0.12 | −0.26–0.02 | −1.71 | 0.088 | 5.85 | 0.33–11.38 | 2.09 | 0.038 |
| Smooth terms | ||||||||||||
| Participant ID | EDF | RefDF | F-value | EDF | RefDF | F-value | EDF | RefDF | F-value | |||
| 10.68 | 12 | 10.28 | <0.001 | 10.23 | 12 | 6.59 | <0.001 | 10.72 | 12 | 10.14 | <0.001 | |
| Adjusted R2 | 0.47 | 0.31 | 0.42 | |||||||||
| Slowest 10% Reciprocal RT | Lapses | False starts | ||||||||||
| Variable | Estimates | 95% CI | t-value | p | Estimates | 95% CI | t-value | p | Estimates | 95% CI | t-value | p |
| Intercept | 2.47 | 2.13–2.82 | <0.001 | 4.98 | 3.58–6.38 | <0.001 | 1.17 | 0.28–3.22 | 2.35 | 0.020 | ||
| Testing period | ||||||||||||
| Two weeks of app intervention | −0.28 | −0.46–−0.09 | −2.97 | 0.003 | −0.65 | −1.81–0.51 | −1.1 | 0.27 | 1.12 | 0.16–2.07 | 2.30 | 0.024 |
| Four weeks of app intervention | −0.33 | −0.53–−0.14 | −3.41 | 0.001 | −1.06 | −2.27–0.16 | −1.71 | 0.089 | 0.05 | −0.96–1.06 | 0.09 | 0.920 |
| Shift type | ||||||||||||
| Evening shift | −0.14 | −0.32–0.04 | −1.55 | 0.121 | 1 | −0.10–2.10 | 1.79 | 0.075 | 0.60 | −0.32–1.51 | 1.28 | 0.200 |
| Night shift | −0.28 | −0.56–−0.00 | −1.99 | 0.047 | 1.1 | −0.60–2.81 | 1.27 | 0.204 | 0.29 | −1.15–1.72 | 0.39 | 0.693 |
| Start or end of shift | ||||||||||||
| End of shift | −0.02 | −0.17–0.13 | −0.24 | 0.806 | −0.03 | −0.99–0.94 | −0.05 | 0.956 | 0.37 | −0.42–1.17 | 0.92 | 0.354 |
| Smooth terms | ||||||||||||
| Participant ID | EDF | RefDF | F-value | EDF | RefDF | F-value | EDF | RefDF | F-value | |||
| 11.18 | 12 | 17.07 | <0.001 | 9.22 | 12 | 3.41 | <0.001 | 10.64 | 12 | 11.77 | <0.001 | |
| Adjusted R2 | 0.58 | 0.23 | 0.46 | |||||||||
| NBack Mean RT | NBack Correct Responses | NBack Incorrect Responses | ||||||||||
| Variable | Estimates | 95% CI | t-value | p | Estimates | 95% CI | t-value | p | Estimates | 95% CI | t-value | p |
| Intercept | 627.7 | 585.13–670.27 | <0.001 | 52.57 | 50.24–54.90 | <0.001 | 9.36 | 7.48–11.24 | <0.001 | |||
| Testing period | ||||||||||||
| Two weeks of app intervention | −0.74 | −30.16–28.68 | −0.04 | 0.96 | −0.34 | −2.04–1.35 | −0.39 | 0.691 | 0.23 | −1.32–1.78 | 0.29 | 0.771 |
| Four weeks of app intervention | −13.2 | −43.93–17.52 | −0.84 | 0.397 | 0.41 | −1.36–2.18 | 0.45 | 0.649 | −3.87 | −5.49–−2.24 | −4.7 | <0.001 |
| Shift type | ||||||||||||
| Evening shift | −7 | −34.69–20.68 | −0.49 | 0.618 | 0.47 | −1.13–2.06 | 0.57 | 0.563 | −0.14 | −1.60–1.31 | −0.19 | 0.848 |
| Night shift | −28.67 | −74.39–17.04 | −1.23 | 0.217 | 1.01 | −1.61–3.64 | 0.76 | 0.448 | −0.85 | −3.23–1.53 | −0.7 | 0.481 |
| Start or end of shift | ||||||||||||
| End of shift | 11.28 | −12.98–35.55 | 0.91 | 0.36 | −0.07 | −1.46–1.33 | −0.09 | 0.926 | −0.26 | −1.54–1.03 | −0.39 | 0.692 |
| Smooth terms | EDF | RefDF | F-value | EDF | RefDF | F-value | EDF | RefDF | F-value | |||
| Participant ID | 10.43 | 12 | 7.93 | <0.001 | 10.19 | 12 | 7.53 | <0.001 | 9.38 | 12 | 4.33 | <0.001 |
| Adjusted R2 | 0.34 | 0.36 | 0.30 | |||||||||
| NBack Accuracy Score | ||||||||||||
| Variable | Estimates | 95% CI | t-value | p | ||||||||
| Intercept | 509.82 | 416.57–603.07 | <0.001 | |||||||||
| Testing period | ||||||||||||
| Two weeks of app intervention | 19.64 | −46.07–85.35 | 0.59 | 0.556 | ||||||||
| Four weeks of app intervention | 10.06 | −58.00–78.13 | 0.29 | 0.771 | ||||||||
| Shift type | ||||||||||||
| Evening shift | 58.15 | −3.29–119.59 | 1.86 | 0.063 | ||||||||
| Night shift | 64.16 | −37.07–165.39 | 1.25 | 0.213 | ||||||||
| Start or end of shift | ||||||||||||
| End of shift | 30.33 | −23.70–84.37 | 1.11 | 0.269 | ||||||||
| Smooth terms | EDF | RefDF | F-value | |||||||||
| Participant ID | 10.38 | 12 | 7.53 | <0.001 | ||||||||
| Adjusted R2 | 0.33 | |||||||||||
Disclaimer/Publisher’s Note: The statements, opinions and data contained in all publications are solely those of the individual author(s) and contributor(s) and not of MDPI and/or the editor(s). MDPI and/or the editor(s) disclaim responsibility for any injury to people or property resulting from any ideas, methods, instructions or products referred to in the content. |
© 2024 by the authors. Licensee MDPI, Basel, Switzerland. This article is an open access article distributed under the terms and conditions of the Creative Commons Attribution (CC BY) license (https://creativecommons.org/licenses/by/4.0/).
Share and Cite
Varma, P.; Postnova, S.; Knock, S.; Howard, M.E.; Aidman, E.; Rajaratnam, S.W.M.; Sletten, T.L. SleepSync: Early Testing of a Personalised Sleep–Wake Management Smartphone Application for Improving Sleep and Cognitive Fitness in Defence Shift Workers. Clocks & Sleep 2024, 6, 267-280. https://doi.org/10.3390/clockssleep6020019
Varma P, Postnova S, Knock S, Howard ME, Aidman E, Rajaratnam SWM, Sletten TL. SleepSync: Early Testing of a Personalised Sleep–Wake Management Smartphone Application for Improving Sleep and Cognitive Fitness in Defence Shift Workers. Clocks & Sleep. 2024; 6(2):267-280. https://doi.org/10.3390/clockssleep6020019
Chicago/Turabian StyleVarma, Prerna, Svetlana Postnova, Stuart Knock, Mark E. Howard, Eugene Aidman, Shantha W. M. Rajaratnam, and Tracey L. Sletten. 2024. "SleepSync: Early Testing of a Personalised Sleep–Wake Management Smartphone Application for Improving Sleep and Cognitive Fitness in Defence Shift Workers" Clocks & Sleep 6, no. 2: 267-280. https://doi.org/10.3390/clockssleep6020019
APA StyleVarma, P., Postnova, S., Knock, S., Howard, M. E., Aidman, E., Rajaratnam, S. W. M., & Sletten, T. L. (2024). SleepSync: Early Testing of a Personalised Sleep–Wake Management Smartphone Application for Improving Sleep and Cognitive Fitness in Defence Shift Workers. Clocks & Sleep, 6(2), 267-280. https://doi.org/10.3390/clockssleep6020019

