Biodegradable Zn−1wt.%Mg(−0.5wt.%Mn) Alloys: Influence of Solidification Microstructure on Their Corrosion Behavior
Abstract
1. Introduction
2. Materials and Methods
3. Results
3.1. Microsstructure
3.2. Electrochemical Corrosion Measurements
3.2.1. Electrochemical Impedance Spectroscopy (EIS)
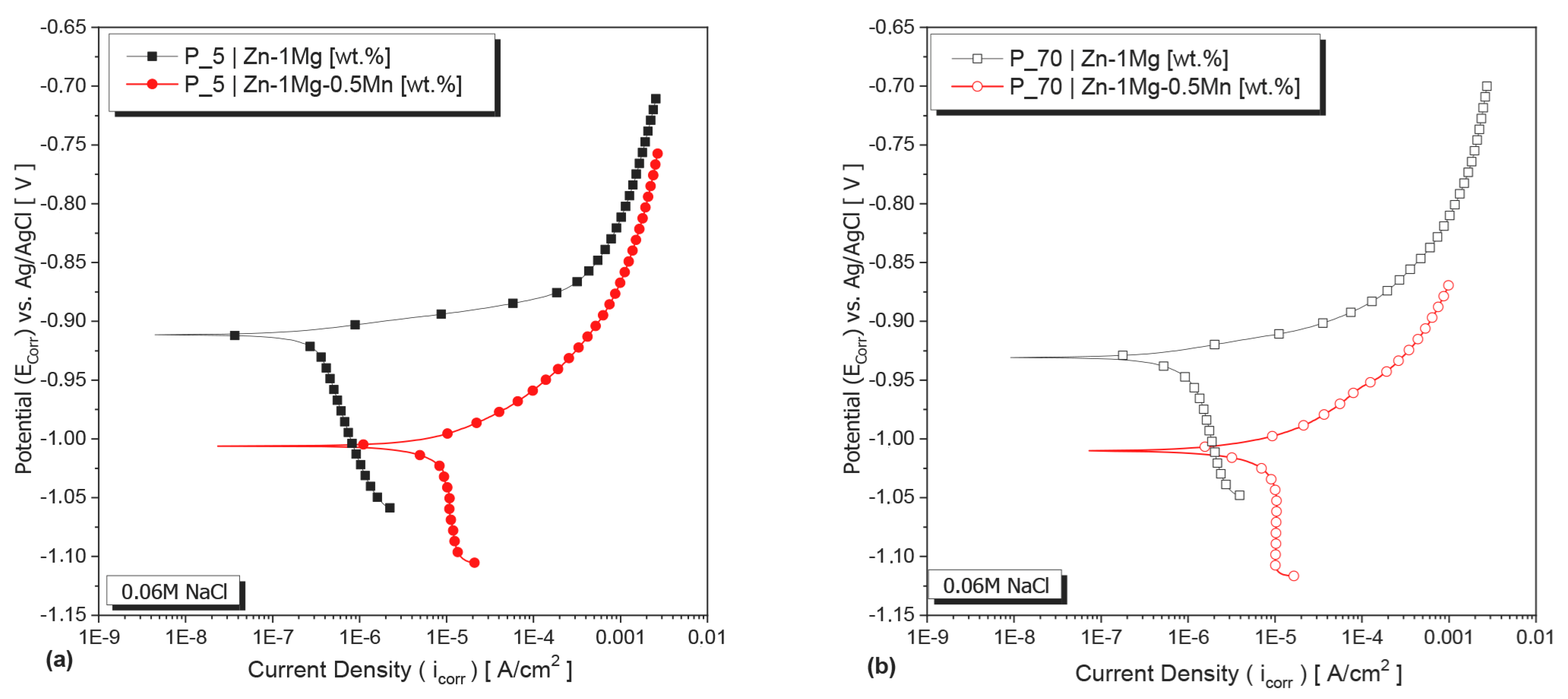
3.2.2. Potentiodynamic Polarization
4. Conclusions
- The biodegradable Zn−1Mg−0.5Mn alloy exhibits higher susceptibility to corrosion compared to that of the binary Zn−1Mg alloy, indicating that 0.5wt.%Mn addition induces significant electrochemical active behavior in the Zn−1Mg alloy, making it more susceptible to corrosion.
- Certain areas of the biodegradable Zn−1Mg(−0.5Mn) alloys—specifically the regions between dendrites—are more prone to corrosion than others. These localized corrosion sites may be areas of higher vulnerability due to the phases contained in it.
- Corrosion rates tends to increase with the coarsening of the microstructure for both biodegradable Zn−1Mg(−0.5Mn) alloys, with the corrosion rate showing an around nine-times increase with Mn addition for coarser eutectic spacings and by approximately 22 times for finer eutectic spacings.
- The addition of 0.5wt.%Mn to the Zn−1Mg alloy significantly increased its CRy value; this means that the alloy will degrade more rapidly in a physiological environment. This is a desirable property for bio-absorbable biomaterials since this allows for more precise control over the time period over which the material is resorbed by the body. For example, an implant made from this alloy could be designed to degrade over a period of months or years, depending on the specific needs of each patient.
Author Contributions
Funding
Institutional Review Board Statement
Informed Consent Statement
Data Availability Statement
Conflicts of Interest
References
- Ma, H.; Qiao, X.; Han, L. Advances of Mussel-inspired nanocomposite hydrogels in biomedical applications. Biomimetics 2023, 8, 128. [Google Scholar] [CrossRef] [PubMed]
- Li, H.; Zheng, Y.; Qin, L. Progress of biodegradable metals. Prog. Nat. Sci. Mater. Int. 2014, 24, 414–422. [Google Scholar] [CrossRef]
- Li, H.F.; Xie, X.H.; Zheng, Y.F.; Cong, Y.; Zhou, F.Y.; Qiu, K.J.; Wang, X.; Chen, S.H.; Huang, L.; Tian, L.; et al. Development of biodegradable Zn-1X binary alloys with nutrient alloying elements Mg, Ca and Sr. Sci. Rep. 2015, 5, srep10719. [Google Scholar] [CrossRef] [PubMed]
- Hernández-Escobar, D.; Champagne, S.; Yilmazer, H.; Dikici, B.; Boehlert, C.J.; Hermawan, H. Current status and perspectives of zinc-based absorbable alloys for biomedical applications. Acta Biomater. 2019, 97, 1–22. [Google Scholar] [CrossRef] [PubMed]
- Cirovic, A.; Cirovic, A. Aluminum bone toxicity in infants may be promoted by iron deficiency. J. Trace Elem. Med. Biol. 2022, 71, 126941. [Google Scholar] [CrossRef] [PubMed]
- Exley, C.; Clarkson, E. Aluminium in human brain tissue from donors without neurodegenerative disease: A comparison with Alzheimer’s disease, multiple sclerosis and autism. Sci. Rep. 2020, 10, 7770. [Google Scholar] [CrossRef] [PubMed]
- Dey, M.; Singh, R.K. Neurotoxic effects of aluminium exposure as a potential risk factor for Alzheimer’s disease. Pharmacol. Rep. 2022, 74, 439–450. [Google Scholar] [CrossRef]
- Venezuela, J.; Dargusch, M.S. The influence of alloying and fabrication techniques on the mechanical properties, biodegradability and biocompatibility of zinc: A comprehensive review. Acta Biomater. 2019, 87, 1–40. [Google Scholar] [CrossRef]
- Sikora-Jasinska, M.; Mostaed, E.; Mostaed, A.; Beanland, R.; Mantovani, D.; Vedani, M. Fabrication, mechanical properties and in vitro degradation behavior of newly developed ZnAg alloys for degradable implant applications. Mater. Sci. Eng. C 2017, 77, 1170–1181. [Google Scholar] [CrossRef]
- Wen, P.; Voshage, M.; Jauer, L.; Chen, Y.; Qin, Y.; Poprawe, R.; Schleifenbaum, J.H. Laser additive manufacturing of Zn metal parts for biodegradable applications: Processing, formation quality and mechanical properties. Mater. Des. 2018, 155, 36–45. [Google Scholar] [CrossRef]
- Zaeem, M. Advances in modeling of solidification microstructures. JOM 2015, 67, 1774–1775. [Google Scholar] [CrossRef]
- Hermawan, H. Updates on the research and development of absorbable metals for biomedical applications. Prog. Biomater. 2018, 7, 93–110. [Google Scholar] [CrossRef]
- Alves, M.M.; Prošek, T.; Santos, C.F.; Montemor, M.F. Evolution of the in vitro degradation of Zn–Mg alloys under simulated physiological conditions. RSC Adv. 2017, 7, 28224–28233. [Google Scholar] [CrossRef]
- Vojtěch, D.; Kubásek, J.; Šerák, J.; Novák, P. Mechanical and corrosion properties of newly developed biodegradable Zn-based alloys for bone fixation. Acta Biomater. 2011, 7, 3515–3522. [Google Scholar] [CrossRef] [PubMed]
- Vida, T.A.; Brito, C.; Lima, T.S.; Spinelli, J.E.; Cheung, N.; Garcia, A. Near-eutectic Zn-Mg alloys: Interrelations of solidification thermal parameters, microstructure length scale and tensile/corrosion properties. Curr. Appl. Phys. 2019, 19, 582–598. [Google Scholar] [CrossRef]
- Prosek, T.; Nazarov, A.; Bexell, U.; Thierry, D.; Serak, J. Corrosion mechanism of model zinc–magnesium alloys in atmospheric conditions. Corros. Sci. 2008, 50, 2216–2231. [Google Scholar] [CrossRef]
- Vida, T.A.; Freitas, E.S.; Cheung, N.; Garcia, A.; Osório, W.R. Electrochemical corrosion behavior of as-cast Zn-rich Zn-Mg alloys in a 0.06 M NaCl solution. Int. J. Electrochem. Sci. 2017, 12, 5264–5283. [Google Scholar] [CrossRef]
- Vida, T.A.; Soares, T.; Septimio, R.S.; Brito, C.C.; Cheung, N.; Garcia, A. Effects of macrosegregation and microstructure on the corrosion resistance and hardness of a directionally solidified Zn-5.0wt.%Mg alloy. Mater. Res. 2019, 22, e20190009. [Google Scholar] [CrossRef]
- Mostaed, E.; Sikora-Jasinska, M.; Drelich, J.W.; Vedani, M. Zinc-based alloys for degradable vascular stent applications. Acta Biomater. 2018, 71, 1–23. [Google Scholar] [CrossRef]
- Čapek, J.; Kubásek, J.; Pinc, J.; Drahokoupil, J.; Čavojský, M.; Vojtěch, D. Extrusion of the biodegradable ZnMg0.8Ca0.2 alloy—The influence of extrusion parameters on microstructure and mechanical characteristics. J. Mech. Behav. Biomed. Mater. 2020, 108, 103796. [Google Scholar] [CrossRef]
- Pinc, J.; Čapek, J.; Kubásek, J.; Veřtát, P.; Hosová, K. Microstructure and mechanical properties of the potentially biodegradable ternary system Zn-Mg0.8-Ca0.2. Procedia Struct. Integr. 2019, 23, 21–26. [Google Scholar] [CrossRef]
- Sun, S.; Ren, Y.; Wang, L.; Yang, B.; Li, H.; Qin, G. Abnormal effect of Mn addition on the mechanical properties of as-extruded Zn alloys. Mater. Sci. Eng. A 2017, 701, 129–133. [Google Scholar] [CrossRef]
- Liu, X.; Sun, J.; Zhou, F.; Yang, Y.; Chang, R.; Qiu, K.; Pu, Z.; Li, L.; Zheng, Y. Micro-alloying with Mn in Zn–Mg alloy for future biodegradable metals application. Mater. Des. 2016, 94, 95–104. [Google Scholar] [CrossRef]
- Huang, H.; Liu, H.; Wang, L.; Ren, K.; Yan, K.; Li, Y.; Jiang, J.; Ma, A.; Xue, F.; Bai, J. Multi-interactions of dislocations and refined microstructure in a high strength and toughness Zn-Mg-Mn alloy. J. Mater. Res. Technol. 2020, 9, 14116–14121. [Google Scholar] [CrossRef]
- Krieg, R.; Vimalanandan, A.; Rohwerder, M. Corrosion of Zinc and Zn-Mg alloys with varying microstructures and magnesium contents. J. Electrochem. Soc. 2014, 161, C156–C161. [Google Scholar] [CrossRef]
- Vida, T.A.; Silva, C.A.P.; Lima, T.S.; Cheung, N.; Brito, C.; Garcia, A. Tailoring microstructure and microhardness of Zn−1wt.%Mg−(0.5wt.%Mn, 0.5wt.%Ca) alloys by solidification cooling rate. Trans. Nonferrous Met. Soc. China 2021, 31, 1031–1048. [Google Scholar] [CrossRef]
- Vida, T.A.; Freitas, E.S.; Brito, C.; Cheung, N.; Arenas, M.A.; Conde, A.; De Damborenea, J.; Garcia, A. Thermal parameters and microstructural development in directionally solidified Zn-rich Zn-Mg alloys. Met. Mater. Trans. A Phys. Met. Mater. Sci. 2016, 47, 3052–3064. [Google Scholar] [CrossRef]
- Dias, M.; Verissimo, N.C.; Regone, N.N.; Freitas, E.S.; Cheung, N.; Garcia, A. Electrochemical corrosion behaviour of Sn–Sb solder alloys: The roles of alloy Sb content and type of intermetallic compound. Corros. Eng. Sci. Techn. 2020, 56, 11–21. [Google Scholar] [CrossRef]
- Orazem, M.E.; Tribolet, D.B. Electrochemical Impedance Spectroscopy, 2nd ed.; John Wiley and Sons: Hoboken, NJ, USA, 2008. [Google Scholar]
- Bard, A.J.; Faulkner, L.R.; White, H.S. Electrochemical Methods: Fundamentals and Applications, 3rd ed.; John Wiley & Sons: Hoboken, NJ, USA, 2022. [Google Scholar]
- Barsoukov, E.; Macdonald, J.R. Impedance Spectroscopy: Theory, Experiment, and Applications, 3rd ed.; John Wiley & Sons: Hoboken, NJ, USA, 2018. [Google Scholar]
- ASTM American Society for Testing and Materials. ASTM G102-89 Standard Practice for Calculation of Corrosion Rates and Related Information from Electrochemical Measurements; ASTM Internacional: West Conshohocken, PA, USA, 2015. [Google Scholar]









| Metals | Zn | Mg | Mn | Al | Fe | Pb | Others |
|---|---|---|---|---|---|---|---|
| Zn | Balance | - | - | - | <0.1 | <0.1 | <0.3 |
| Mg | <0.1 | Balance | 0.01 | 0.11 | 0.01 | - | <0.3 |
| Mn | - | - | Balance | - | 0.01 | - | <1 |
| Alloy [wt.%] | Sample | Cooling Rate [°C/s] | λ2 [μm] | λeut [μm] | Ecorr * [mV] | icorr * [μA/cm2] | CRy [µm/year] |
|---|---|---|---|---|---|---|---|
| Zn−1Mg | P_5 | 19.92 | 16.67 | 0.66 | −911 | 0.316 | 4.08 |
| Zn−1Mg | P_70 | 2.17 | 22.01 | 1.15 | −932 | 0.920 | 11.9 |
| Zn−1Mg−0.5Mn | P_5 | 17.34 | 10.82 | 0.54 | −1009 | 7.178 | 92 |
| Zn−1Mg−0.5Mn | P_70 | 1.41 | 16.49 | 1.01 | −1001 | 8.692 | 110 |
Disclaimer/Publisher’s Note: The statements, opinions and data contained in all publications are solely those of the individual author(s) and contributor(s) and not of MDPI and/or the editor(s). MDPI and/or the editor(s) disclaim responsibility for any injury to people or property resulting from any ideas, methods, instructions or products referred to in the content. |
© 2023 by the authors. Licensee MDPI, Basel, Switzerland. This article is an open access article distributed under the terms and conditions of the Creative Commons Attribution (CC BY) license (https://creativecommons.org/licenses/by/4.0/).
Share and Cite
Vida, T.; Cruz, C.; Barros, A.; Cheung, N.; Brito, C.; Garcia, A. Biodegradable Zn−1wt.%Mg(−0.5wt.%Mn) Alloys: Influence of Solidification Microstructure on Their Corrosion Behavior. Surfaces 2023, 6, 268-280. https://doi.org/10.3390/surfaces6030019
Vida T, Cruz C, Barros A, Cheung N, Brito C, Garcia A. Biodegradable Zn−1wt.%Mg(−0.5wt.%Mn) Alloys: Influence of Solidification Microstructure on Their Corrosion Behavior. Surfaces. 2023; 6(3):268-280. https://doi.org/10.3390/surfaces6030019
Chicago/Turabian StyleVida, Talita, Clarissa Cruz, André Barros, Noé Cheung, Crystopher Brito, and Amauri Garcia. 2023. "Biodegradable Zn−1wt.%Mg(−0.5wt.%Mn) Alloys: Influence of Solidification Microstructure on Their Corrosion Behavior" Surfaces 6, no. 3: 268-280. https://doi.org/10.3390/surfaces6030019
APA StyleVida, T., Cruz, C., Barros, A., Cheung, N., Brito, C., & Garcia, A. (2023). Biodegradable Zn−1wt.%Mg(−0.5wt.%Mn) Alloys: Influence of Solidification Microstructure on Their Corrosion Behavior. Surfaces, 6(3), 268-280. https://doi.org/10.3390/surfaces6030019

