Reconsidering Acoustical Design for Traditional Chinese Courtyard Theater in Taiwan
Abstract
1. Introduction
2. Methods
2.1. Introduction of Da-Hua Hall
2.2. Acoustical Parameters
- (1)
- Early reverberation time (EDT):
- (2)
- Sound strength (G):
- (3)
- Early support (STearly):
- (4)
- Inter-aural Cross Correlation Coefficients (IACC):
- (5)
- Lateral Energy Fraction (LF)
2.3. On-Site Measurement
2.4. Simulation with Jars Underneath Stage and Wall-Mounted Jars
3. Result
3.1. Acoustic Influence of Stage Floorboard Joint Configurations on Sub-Stage Ceramic Jar Resonance Response
3.2. Comparative Analysis of Three Stage Floorboard Joint Configurations—Seamless, 1 cm, and 8 cm—Combined with Embedded Wall-Mounted Resonating Jars
3.3. Finite Element Numerical Analysis (FEM) of Vessel–Stage Coupling
4. Conclusions
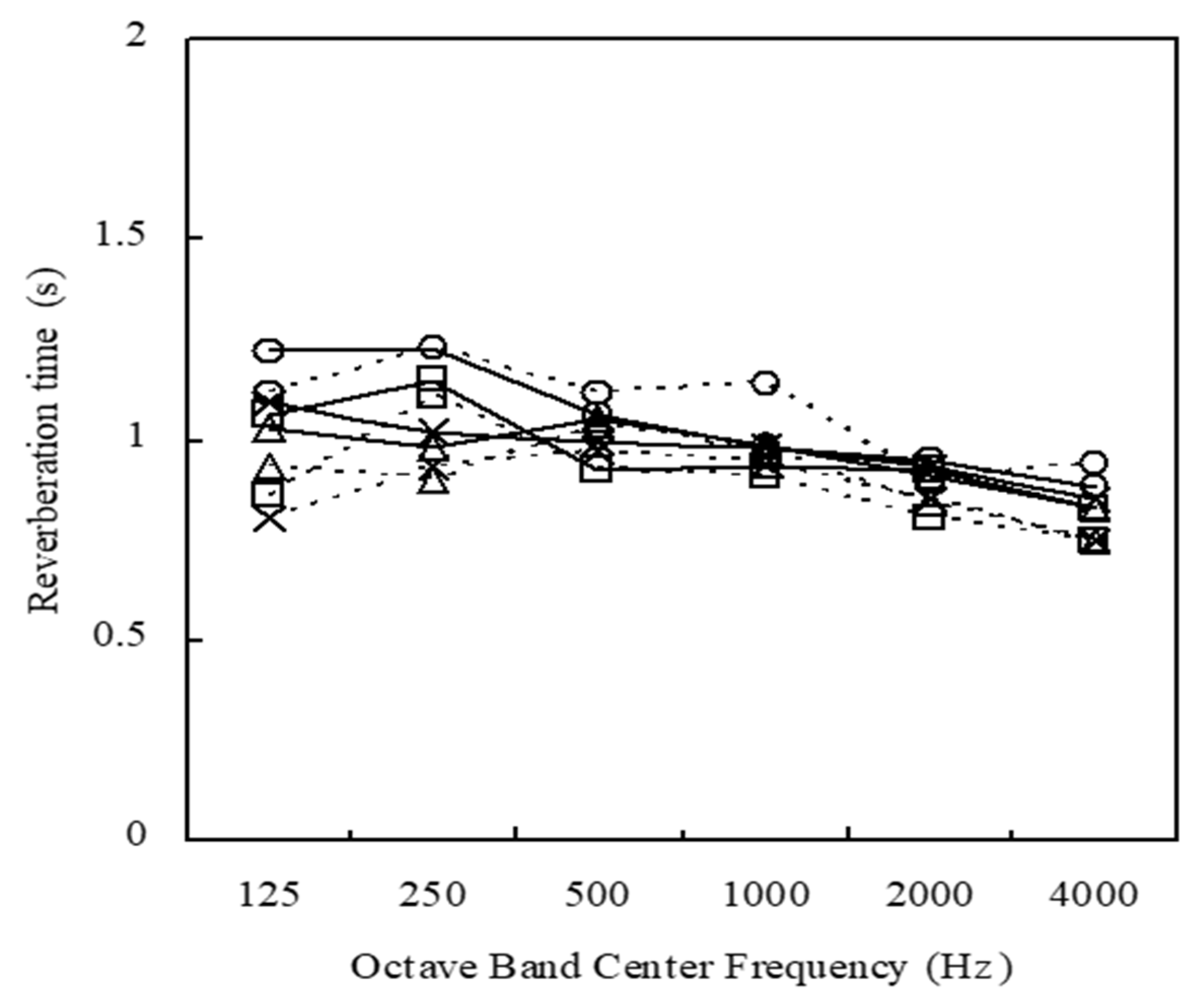
- On-site acoustic measurements at Da-Hua Hall, conducted in accordance with ISO 3382-1:2009, revealed an average Early Decay Time (EDT) of 0.96 s across listener zones, with higher values in the Main Hall (1.13 s), confirming its suitability for unamplified performance. Sound Strength (G) ranged from +2.5 to +4.1 dB, while STearly measured–3.7 dB at the stage, indicating sufficient acoustic support for performers. Spatial qualities were favorable, with Inter-aural Cross Correlation (IACC) values below 0.55 and a Lateral Energy Fraction (LF) of 0.23 in the main hall. These results demonstrate balanced reverberation, effective spatial impression, and validate the historically embedded architectural-acoustic strategies, providing a calibrated reference for simulation analysis.
- Utilizing Odeon, acoustic simulations demonstrated that introducing a 1 cm floorboard gap increased Early Decay Time (EDT) by 6.1%, suggesting improved reverberation through enhanced sub-stage acoustic coupling. Sound Strength (G) exhibited a 1.37% rise at the 8 cm gap, indicating a modest gain in sound energy distribution. The addition of wall-mounted ceramic jars further increased EDT by up to 10% in the 63–125 Hz range, while mid-frequency bands (500 Hz to 1 kHz) showed a moderate EDT increase of approximately 4%, reflecting enhanced reverberation and modal interactions across the spectrum. Nonetheless, owing to Odeon’s limitations in modeling wave-based phenomena below 125 Hz, further validation through Finite Element Method (FEM) simulation using COMSOL was deemed necessary.
- These limitations encompass challenges in precisely simulating complex resonance phenomena and wave interactions at low frequencies, primarily due to constraints in mesh resolution and the approximations inherent in boundary condition modeling. Consequently, although Odeon simulations strongly suggest advantageous modal contributions from the wall-mounted jars, the literature emphasizes the necessity of further empirical validation. Advanced numerical methods, such as Finite Element Method (FEM) simulations implemented via COMSOL are recommended to robustly substantiate these low-frequency acoustic effects within traditional stage configurations.
- This study employed COMSOL FEM simulations to overcome Odeon’s limitations in modeling low-frequency acoustics (<125 Hz) in traditional stage architecture. Results showed that narrow floorboard joints (1 cm) enhance internal resonance, while wider joints (8 cm) favor low-frequency energy radiation. Wall-mounted ceramic jars exhibited strong resonance near 127 Hz, confirming their role as passive acoustic resonators. Together, these findings validate historical design strategies that intentionally integrated architectural form and acoustic performance to enrich the sound field in traditional courtyard theaters.
- The traditional acoustical design of Chinese courtyard theaters, exemplified by Da-Hua Hall, enhances both performers’ vocal projection and audience listening experience through architectural integration of resonant elements like sub-stage and wall-mounted ceramic jars. These features enable performers to project clearly without amplification and facilitate effective onstage communication. The design of stage floorboard joints further influences sound transmission and resonance, balancing energy retention and radiation to enrich the performance environment. For audiences, this results in improved speech intelligibility, tonal richness, and sufficient loudness, creating a balanced and immersive auditory experience. Spatial design elements promote a sense of envelopment and spaciousness, reflecting a historically intentional integration of architectural form with performance acoustics to optimize both performer and listener engagement.
Author Contributions
Funding
Data Availability Statement
Acknowledgments
Conflicts of Interest
References
- Carr, S.; Francis, M.; Rivlin, L.G.; Stone, A.M. Public Space; Cambridge University Press: Cambridge, UK; New York, NY, USA, 1992. [Google Scholar]
- Saxon, R. Atrium Buildings: Development and Design; Van Nostrand Reinhold: New York, NY, USA, 1983. [Google Scholar]
- Robertson, D.S. Greek and Roman Architecture, 2nd ed.; Cambridge University Press: London, UK, 1969. [Google Scholar]
- Rindel, J.H. Roman theatres and revival of their acoustics in the ERATO Project. Acta Acust. United Acust. 2013, 99, 21–29. [Google Scholar] [CrossRef]
- Bo, E.; Shtrepi, L.; Garcia, D.P.; Barbato, G.; Aletta, F.; Astolfi, A. The accuracy of predicted acoustical parameters in ancient open-air theatres: A case study in Syracusae. Appl. Sci. 2018, 8, 1393. [Google Scholar] [CrossRef]
- Zhang, D.X.; Feng, Y.; Zhang, M.; Kang, J. Sound field of a traditional Chinese Palace courtyard theatre. Build. Environ. 2022, 230, 109741. [Google Scholar] [CrossRef]
- Wang, J. Research on Chinese Traditional Theater Architecture; Tongji University Press: Shanghai, China, 2014. (In Chinese) [Google Scholar]
- Zhu, J.; Kang, J.; Ma, H.; Wang, C. Grounded theory-based subjective evaluation of traditional Chinese performance buildings. Appl. Acoust. 2020, 168, 107417. [Google Scholar] [CrossRef]
- Wang, J. Acoustics of ancient theatrical buildings in China. J. Acoust. Soc. Am. 1999, 106, 2227. [Google Scholar] [CrossRef]
- He, J.; Kang, J. The acoustic research on architectural shape of the stage of traditional Chinese theatres. In Proceedings of the Institute of Acoustics, Gold Coast, QLD, Australia, 31 December 2011; Volume 34. [Google Scholar]
- He, J.; Kang, J. Architectural and acoustic features of the caisson ceiling in traditional Chinese theatres. In Proceedings of the International Symposium on Room Acoustics, Melbourne, VIC, Australia, 29–31 August 2010. [Google Scholar]
- Chaing, W.; Hsu, Y.; Tsai, J.; Wang, J.; Xue, L. Acoustical measurements of traditional theaters integrated with Chinese gardens. J. Audio Eng. Soc. 2003, 51, 1054–1062. [Google Scholar]
- Hsu, Y.; Chiang, W.; Tsai, J.; Wang, J. Acoustical Measurements of Courtyard-type Traditional Chinese Theater in East China. In Proceedings of the 21st International Conference: Architectural Acoustics and Sound Reinforcement, St. Petersburg, Russia, 1–3 June 2002. [Google Scholar]
- Yang, Y.; Gao, Z.; Ding, H. A study on the acoustics value of the resonance Jars on an Ancient Stage in the Longtian Temple of Shanxi. Stud. Hist. Nat. Sci. 2014, 1, 70–82. (In Chinese) [Google Scholar]
- ISO 3382-1; Acoustics—Measurement of Room Acoustic Parameters—Part 1: Performance Spaces. International Organization Standardization: Geneva, Switzerland, 2009.
- Xue, L.; Wang, J. Sound quality measurement and analysis of eight traditional courtyard theaters in the south of the Yangtze River. In Proceedings of the 9th National Conference on Architectural Physics (1), Nanjing, China, 7 October 2004. (In Chinese). [Google Scholar]
- Mao, W. Research on Traditional Theater Architecture and Its Sound Quality—The Traditional Theater in Zhejiang Province; Zhejiang University: Hangzhou, China, 2003. (In Chinese) [Google Scholar]
- Peng, R.; Su, C.; Xu, W. Research on acoustic environment simulation of typical ancestral theatre based on ODEON—Taking Wu’s ancestral hall in Hong’an County as an example. J. Wuhan Inst. Technol. 2020, 42, 91–96. (In Chinese) [Google Scholar]
- Beranek, L. Concert Halls and Opera Houses; Springer: New York, NY, USA, 2004. [Google Scholar]
- Wang, J. Acoustics of courtyard spaces. Acta Acust. 2007, 32, 289–294. (In Chinese) [Google Scholar]
- Gade, A.C. Investigations on musicians’ room acoustic conditions in concert halls. Part I: Methods and Laboratory experiments. Acta Acust. United Acust. 1989, 69, 193–203. [Google Scholar]
- Gade, A.C. Practical Aspects of Room Acoustic Measurements on Orchestra Platform. In Proceedings of the 14th ICA, Beijing, China, 3–10 September 1992. [Google Scholar]
- Ando, Y. Concert Hall Acoustics; Springer: Berlin/Heidelberg, Germany, 1985. [Google Scholar]
- Okano, T.; Beranek, L.L.; Hidaka, T. Relations among inter-aural cross-correlation coefficients (IACC), lateral fraction (LF), and apparent source width (ASW) in concert halls. J. Acoust. Soc. Am. 1998, 104, 255–265. [Google Scholar] [CrossRef] [PubMed]
- Chiang, W.; Lin, W.; Hsu, Y. Acoustics of Traditional Chinese Theaters, Proceedings of the Institute of Acoustics, Vol. 30. Pt.3, London, British. 2008. Available online: https://www.ioa.org.uk/system/files/proceedings/w_chiang_w_lin_y_hsu_acoustics_of_traditional_chinese_theaters.pdf (accessed on 30 June 2025).
- User Manul. In Odeon Room Acousitcs Software, version 12; Odeon: Copenhagen, Denmark, 2013.
















| Architectural Space | Dimensions (Width × Length × Height) (m) | Remarks |
|---|---|---|
| Central courtyard | 18.5 × 2 × 3.3–8.6 | Variable height due to architectural form |
| Main stage (Front hall) | 5.8 × 6.3 × 4.3 | Performance platform |
| Colonnades (1st and 2nd floors) | 3.8 × 16.6 | Flanking corridors on two levels |
| Main Hall | 12 × 5.6 | Reception and gathering space |
| Parameter | Measurement Instrument | Frequency Rage Band |
|---|---|---|
| EDT (s) | B&K, DIRAC Room Acoustics Software (version 6.0) | ISO 3382-1 is used as the relevant standard for the acoustical field measurement, 1/1 octave band of the 125 Hz to 4000 Hz |
| G (dB) | B&K model 4296, Omni Source Dodecahedral Loudspeaker | |
| STearly (dB) | B&K model 4190, 1/2-inch Free Field Microphone | |
| IACC (-) | B&K, DIRAC Room Acoustics Software (version 6.0) | |
| B&K model 4296, Omni Source Dodecahedral Loudspeaker | ||
| Neumann model KN100, Dummy head | ||
| LF (-) | B&K model 4296, Omni Source Dodecahedral Loudspeaker | |
| Sennheiser model MKH 80, 1/2-inch Free Field Microphone | ||
| Leq (A) | B&K Type 2250, Hand-held Analyzer, 1/2-inch Free Field Microphone | 1/3 octave band and for the 6.3 Hz to 20 kHz |
| Location/Receiver | EDT (s) | G (dB) | IACC (-) | LF (-) | STearly (dB) | |
|---|---|---|---|---|---|---|
| Courtyard | Average of Mid-Frequency Band | 0.96 | 4.1 | 0.54 | 0.13 | S1 (Frontal stage): −15.9 dB S2 (Below octagonal ceiling): −3.7 dB |
| Std. deviation | 0.20 | 0.90 | 0.10 | 0.05 | ||
| Main hall | Average of Mid-Frequency Band | 1.13 | 1.5 | 0.42 | 0.23 | |
| Std. deviation | 0.13 | 0.65 | 0.07 | 0.03 | ||
| 1F Corridor | Average of Mid-Frequency Band | 1.00 | 2.9 | 0.44 | 0.15 | |
| Std. deviation | 0.10 | 0.34 | 0.08 | 0.04 | ||
| 2F Balcony | Average of Mid-Frequency Band | 0.92 | 2.5 | 0.46 | 0.13 | |
| Std. deviation | 0.12 | 0.66 | 0.06 | 0.03 | ||
| Location/Receiver | 125 Hz | 250 Hz | 500 Hz | 1 k Hz | 2 k Hz | 4 k Hz | Average of Mid-Frequency Band (500 Hz and 1000 Hz) | |
|---|---|---|---|---|---|---|---|---|
| Courtyard | R1 | 0.51 | 0.85 | 1.07 | 0.75 | 0.75 | 0.91 | 0.91 |
| R2 | 0.58 | 1.03 | 0.87 | 0.98 | 0.86 | 0.93 | 0.93 | |
| R3 | 0.82 | 1.01 | 0.93 | 0.95 | 0.72 | 0.94 | 0.94 | |
| R5 | 0.35 | 0.91 | 0.54 | 1.01 | 0.82 | 0.78 | 0.78 | |
| R6 | 0.48 | 1.32 | 0.98 | 0.77 | 0.84 | 0.88 | 0.88 | |
| R7 | 0.91 | 0.44 | 1.12 | 0.93 | 0.82 | 1.03 | 1.03 | |
| R8 | 0.94 | 0.96 | 1.32 | 1.2 | 1.15 | 1.26 | 1.26 | |
| Average | 0.66 | 0.93 | 0.98 | 0.94 | 0.85 | 0.96 | 0.96 | |
| Std. deviation | 0.23 | 0.26 | 0.24 | 0.15 | 0.14 | 0.15 | - | |
| MAE | 0.23 | 0.18 | 0.10 | 0.07 | 0.06 | 0.09 | - | |
| RMSE | 0.27 | 0.21 | 0.13 | 0.08 | 0.08 | 0.11 | - | |
| Main hall | R4 | 1.4 | 1.16 | 0.99 | 0.97 | 0.86 | 1.18 | 0.98 |
| R9 | 1.26 | 1.23 | 1.18 | 1.31 | 0.95 | 1.08 | 1.25 | |
| R10 | 0.71 | 1.31 | 1.2 | 1.15 | 0.88 | 1.07 | 1.18 | |
| Average | 1.12 | 1.23 | 1.12 | 1.14 | 0.90 | 1.11 | 1.13 | |
| Std. deviation | 0.36 | 0.08 | 0.12 | 0.17 | 0.05 | 0.06 | - | |
| MAE | 0.36 | 0.25 | 0.11 | 0.18 | 0.07 | 0.14 | - | |
| RMSE | 0.41 | 0.28 | 0.13 | 0.20 | 0.09 | 0.17 | - | |
| 1F Corridor | R11 | 0.92 | 1.01 | 1.05 | 1.11 | 0.6 | 0.8 | 1.08 |
| R12 | 0.91 | 0.74 | 1.12 | 1.01 | 0.83 | 0.85 | 1.07 | |
| R13 | 0.97 | 0.64 | 1.03 | 0.88 | 0.98 | 0.92 | 0.96 | |
| R14 | 0.91 | 0.8 | 0.95 | 0.86 | 0.97 | 1.08 | 0.91 | |
| Average | 0.93 | 0.80 | 1.04 | 0.97 | 0.85 | 0.91 | 1.00 | |
| Std. deviation | 0.03 | 0.16 | 0.07 | 0.12 | 0.18 | 0.12 | - | |
| MAE | 0.10 | 0.19 | 0.09 | 0.12 | 0.13 | 0.09 | - | |
| RMSE | 0.12 | 0.21 | 0.10 | 0.13 | 0.14 | 0.10 | - | |
| 2F Balcony | R15 | 1 | 0.91 | 0.84 | 0.76 | 0.69 | 0.91 | 0.80 |
| R16 | 0.76 | 1.1 | 0.86 | 0.84 | 0.67 | 0.93 | 0.85 | |
| R17 | 1.05 | 0.91 | 0.94 | 0.91 | 0.9 | 0.94 | 0.93 | |
| R18 | 0.64 | 1.52 | 1.06 | 1.11 | 0.94 | 0.78 | 1.09 | |
| Average | 0.86 | 1.11 | 0.93 | 0.91 | 0.80 | 0.89 | 0.92 | |
| Std. deviation | 0.20 | 0.29 | 0.10 | 0.15 | 0.14 | 0.07 | - | |
| MAE | 0.16 | 0.23 | 0.13 | 0.12 | 0.12 | 0.09 | - | |
| RMSE | 0.20 | 0.27 | 0.15 | 0.14 | 0.14 | 0.10 | - | |
| Overall average | 0.84 | 0.99 | 1.00 | 0.97 | 0.85 | 0.96 | 0.92 | |
| Overall Std. deviation | 0.27 | 0.26 | 0.17 | 0.16 | 0.13 | 0.13 | - | |
| Model Type | Mouth Diameter (cm) | Base Diameter (cm) | Height (cm) | Shape | Volume (L) |
|---|---|---|---|---|---|
| Wall-mounted jars | 22 | 34 | 43 | Inverted frustum | 26.88 |
| Historical References * | 20–25 | 30–35 | 40–50 | Inverted frustum | Approx. 20–30 |
| Floorboard Joint Widths/Acoustical Parameters | EDT (s) | G (dB) | IACC (-) | LF (-) | STearly (dB) | |
|---|---|---|---|---|---|---|
| Schematic A (Seamless) | R1 | 1.96 | 3.4 | 0.41 | 0.34 | −11.53 |
| R2 | 1.62 | 10.1 | 0.56 | 0.23 | ||
| R3 | 1.89 | 7.2 | 0.48 | 0.37 | ||
| R4 | 1.74 | 8.7 | 0.58 | 0.34 | ||
| R5 | 1.95 | 8.3 | 0.55 | 0.36 | ||
| Ave. * | 1.80 | 8.6 | 0.54 | 0.33 | ||
| Schematic B (1 cm gap) | R1 | 1.68 | 13.1 | 0.43 | 0.2 | −10.78 |
| R2 | 1.77 | 10.2 | 0.501 | 0.5 | ||
| R3 | 1.95 | 7.8 | 0.61 | 0.35 | ||
| R4 | 1.94 | 8.8 | 0.59 | 0.37 | ||
| R5 | 1.98 | 8.6 | 0.56 | 0.16 | ||
| Ave. | 1.91 | 8.9 | 0.57 | 0.35 | ||
| Schematic B (8 cm gap) | R1 | 1.31 | 17 | 0.35 | 0.16 | −11.14 |
| R2 | 1.68 | 10.3 | 0.49 | 0.25 | ||
| R3 | 1.95 | 7.9 | 0.51 | 0.49 | ||
| R4 | 1.89 | 8.8 | 0.6 | 0.36 | ||
| R5 | 2.00 | 8.5 | 0.58 | 0.38 | ||
| Ave. | 1.88 | 8.9 | 0.55 | 0.37 | ||
| Schematic B (15 cm gap) | R1 | 1.16 | 14.3 | 0.34 | 0.27 | −10.88 |
| R2 | 1.67 | 10.3 | 0.59 | 0.27 | ||
| R3 | 1.97 | 8.0 | 0.53 | 0.45 | ||
| R4 | 1.88 | 8.7 | 0.54 | 0.36 | ||
| R5 | 2.02 | 8.4 | 0.6 | 0.38 | ||
| Ave. | 1.89 | 8.9 | 0.57 | 0.37 | ||
| 1/1 Octave Band/Configuration of Stage and Wall | Seamless | Seamless + Wall Mounted Jars | 1 cm Gap | 1 cm Gap + Wall Mounted Jars | 8 cm Gap | 8 cm Gap + Wall Mounted Jars |
|---|---|---|---|---|---|---|
| 63 Hz | 1.40 (-) | 1.45 (+3.57) | 1.53 (+9.29) | 1.54 (+10.00) | 1.50 (+7.14) | 1.53 (+9.29) |
| 125 Hz | 1.39 (-) | 1.45 (+4.32) | 1.52 (+9.35) | 1.52 (+9.35) | 1.49 (+7.19) | 1.51 (+8.63) |
| 250 Hz | 1.70 (-) | 1.75 (+2.94) | 1.80 (+5.88) | 1.81 (+6.47) | 1.77 (+4.12) | 1.80 (+5.88) |
| 500 Hz | 1.80 (-) | 1.80 (+0) | 1.91 (+6.11) | 1.91 (+6.11) | 1.88 (+4.44) | 1.91 (+6.11) |
| 1000 Hz | 1.74 (-) | 1.81 (+4.02) | 1.85 (+6.32) | 1.89 (+8.62) | 1.82 (+4.60) | 1.85 (+6.32) |
| 2000 Hz | 1.60 (-) | 1.66 (+3.75) | 1.70 (+6.25) | 1.73 (+8.12) | 1.68 (+5.00) | 1.70 (+6.25) |
| 4000 Hz | 1.26 (-) | 1.32 (+4.76) | 1.35 (+7.14) | 1.35 (+7.14) | 1.34 (+6.35) | 1.33 (+5.56) |
| 8000 Hz | 0.81 (-) | 0.82 (+1.23) | 0.85 (+4.94) | 0.85 (+4.94) | 0.84 (+3.70) | 0.83 (+2.47) |
Disclaimer/Publisher’s Note: The statements, opinions and data contained in all publications are solely those of the individual author(s) and contributor(s) and not of MDPI and/or the editor(s). MDPI and/or the editor(s) disclaim responsibility for any injury to people or property resulting from any ideas, methods, instructions or products referred to in the content. |
© 2025 by the authors. Licensee MDPI, Basel, Switzerland. This article is an open access article distributed under the terms and conditions of the Creative Commons Attribution (CC BY) license (https://creativecommons.org/licenses/by/4.0/).
Share and Cite
Lin, W.; Lai, Y.-M.; Chen, F.-Y. Reconsidering Acoustical Design for Traditional Chinese Courtyard Theater in Taiwan. Heritage 2025, 8, 325. https://doi.org/10.3390/heritage8080325
Lin W, Lai Y-M, Chen F-Y. Reconsidering Acoustical Design for Traditional Chinese Courtyard Theater in Taiwan. Heritage. 2025; 8(8):325. https://doi.org/10.3390/heritage8080325
Chicago/Turabian StyleLin, Wei, Yi-Ming Lai, and Fang-Yu Chen. 2025. "Reconsidering Acoustical Design for Traditional Chinese Courtyard Theater in Taiwan" Heritage 8, no. 8: 325. https://doi.org/10.3390/heritage8080325
APA StyleLin, W., Lai, Y.-M., & Chen, F.-Y. (2025). Reconsidering Acoustical Design for Traditional Chinese Courtyard Theater in Taiwan. Heritage, 8(8), 325. https://doi.org/10.3390/heritage8080325

