Benford Networks
Abstract
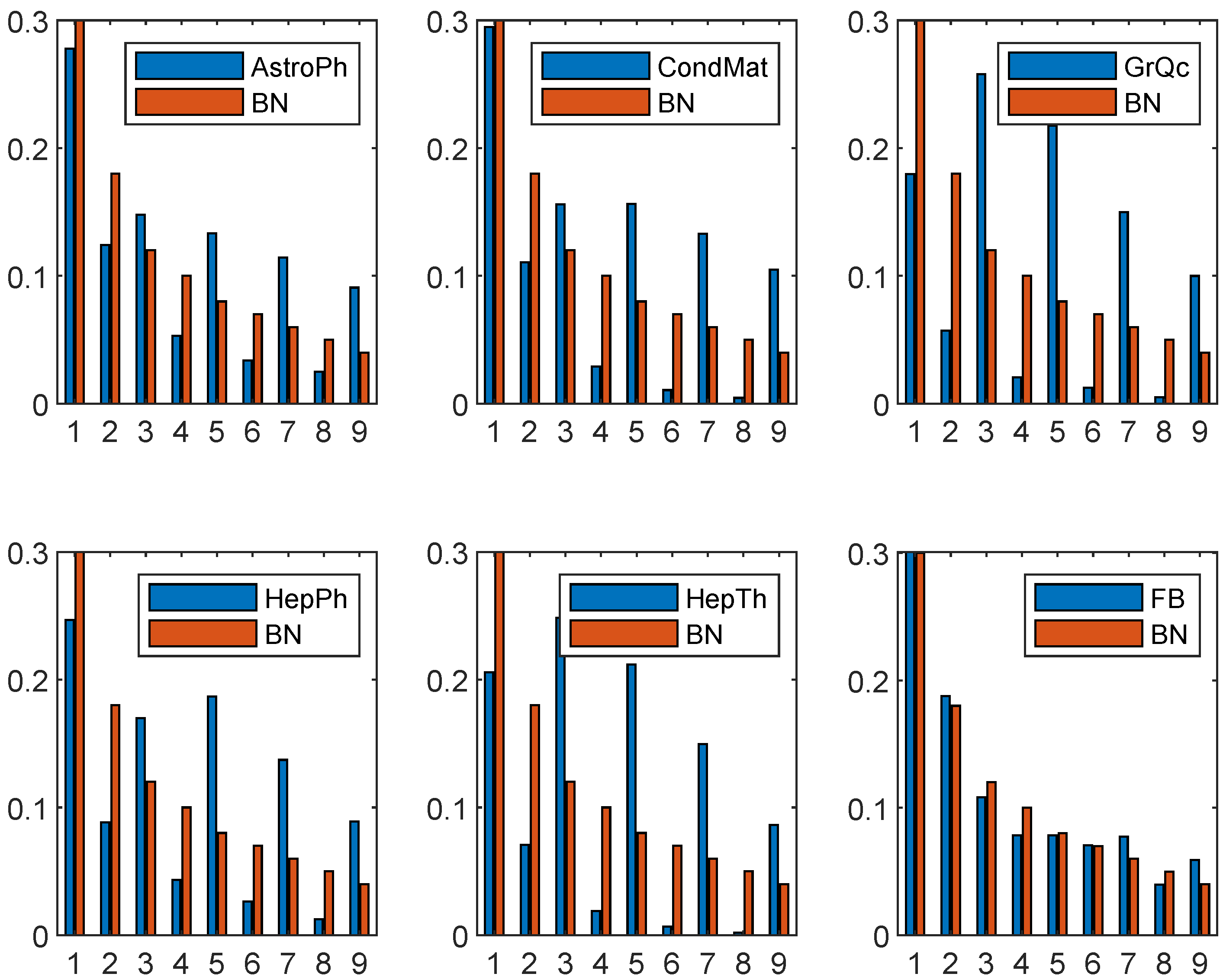
1. Introduction
2. Formal Definitions
3. Algorithms for Simulating BNs
3.1. A Fast Algorithm for a BN with Maximal/Minimal Assortativity
3.2. The BN as a Function of the Density of the Network
3.2.1. Analysis of the Range of Densities of BNs
3.2.2. Rewiring Algorithm
3.2.3. An Intermediate Algorithm for the Immediate Construction of a BN and Random Rewiring
4. A New Definition of the Distance to a BN
5. Discussion and Conclusions
Author Contributions
Funding
Acknowledgments
Conflicts of Interest
References
- Barabási, A.L. Network Science; Cambridge University Press: Cambridge, UK, 2016. [Google Scholar]
- Ausloos, M.; Herteliu, C.; Ileanu, B. Breakdown of Benford’s law for birth data. Phys. A Stat. Mech. Appl. 2015, 419, 736–745. [Google Scholar] [CrossRef][Green Version]
- Belluzzo, T. Benford’s Law. GitHub. 2022. Available online: https://github.com/TommasoBelluzzo/BenfordLaw (accessed on 31 May 2022).
- Hassler, U.; Hosseinkouchack, M. Testing the Newcomb-Benford Law: Experimental evidence. Appl. Econ. Lett. 2019, 26, 1762–1769. [Google Scholar] [CrossRef]
- Morzy, M.; Kajdanowicz, T.; Szymański, B.K. Benford’s Distribution in Complex Networks. Sci. Rep. 2016, 6, 34917. [Google Scholar] [CrossRef] [PubMed]
- Morzy, M.; Kazienko, P.; Kajdanowicz, T. Priority rank model for social network generation. In Proceedings of the 2016 IEEE/ACM International Conference on Advances in Social Networks Analysis and Mining (ASONAM), San Francisco, CA, USA, 18–21 August 2016; pp. 315–318. [Google Scholar]
- Cerqueti, R.; Lupi, C. Some New Tests of Conformity with Benford’s Law. Stats 2021, 4, 745–761. [Google Scholar] [CrossRef]
- Cerqueti, R.; Maggi, M. Data validity and statistical conformity with Benford’s Law. Chaos Solitons Fractals 2021, 144, 110740. [Google Scholar] [CrossRef]
- Nigrini, M.J. Benford’s Law: Assessing Conformity. In Forensic Analytics: Methods and Techniques for Forensic Accounting Investigations; 2012; Available online: https://onlinelibrary.wiley.com/doi/10.1002/9781118386798.ch6 (accessed on 1 June 2022).
- Angeles, M.; Espino-Gamez, A. Comparison of methods Hamming Distance, Jaro, and Monge-Elkan. In Proceedings of the International Conference on Advances in Databases, Knowledge, and Data Applications, DBKDA 2015, Rome, Italy, 24–29 May 2015. [Google Scholar]
- Chaabi, Y.; Allah, F. Amazigh spell checker using Damerau-Levenshtein algorithm and N-gram. J. King Saud Univ. Comput. Inf. Sci. 2021, 34, 6116–6124. [Google Scholar] [CrossRef]
- Jimenez, S.; Becerra, C.; Gelbukh, A.; Gonzalez, F. Generalized Mongue-Elkan Method for Approximate Text String Comparison. In Computational Linguistics and Intelligent Text Processing. CICLing 2009; Gelbukh, A., Ed.; Lecture Notes in Computer Science; Springer: Berlin/Heidelberg, Germany, 2009; Volume 5449. [Google Scholar]
- Kashefi, O.; Sharifi, M.; Minaie, B. A novel string distance metric for ranking Persian respelling suggestions. Nat. Lang. Eng. 2013, 19, 259–284. [Google Scholar] [CrossRef]
- Nishimura, K.; Nishimori, H.; Ochoa, A.J.; Katzgraber, H.G. Retrieving the ground state of spin glasses using thermal noise: Performance of quantum annealing at finite temperatures. Phys. Rev. E 2016, 94, 032105. [Google Scholar] [CrossRef]
- Emmert-Streib, F.; Matthias Dehmer, M.; Shi, Y. Fifty years of graph matching, network alignment and network comparison. Inf. Sci. 2016, 346–347, 180–197. [Google Scholar] [CrossRef]
- Gao, X.; Xiao, B.; Tao, D.; Li, X. A survey of graph edit distance. Pattern Anal. Appl. 2010, 13, 113–129. [Google Scholar] [CrossRef]
- Li, T.; Dong, H.; Shi, Y.; Dehmer, M. A comparative analysis of new graph distance measures and graph edit distance. Inf. Sci. 2017, 403–404, 15–21. [Google Scholar] [CrossRef]
- Bougleuxa, S.; Bruna, L.; Carletti, V.; Foggia, P.; Gaüzére, B.; Vento, M. Graph Edit Distance as a Quadratic Assignment Problem. Pattern Recognit. Lett. 2016, 87, 38–46. [Google Scholar] [CrossRef]
- Shimada, Y.; Hirata, Y.; Ikeguchi, T.; Aihara, K. Graph distance for complex networks. Sci. Rep. 2016, 6, 34944. [Google Scholar] [CrossRef] [PubMed]
- Wegner, A.; Ospina-Forero, L.; Gaunt, R.; Deane, C.; Reinert, G. Identifying networks with common organizational principles. J. Complex Netw. 2018, 6, 887–913. [Google Scholar] [CrossRef]
- Jaccard, P. The Distribution of the Flora in the Alpine Zone.1. New Phytol. 1912, 11, 37–50. [Google Scholar] [CrossRef]
- Kosub, S. A note on the triangle inequality for the Jaccard distance. Pattern Recognit. Lett. 2019, 120, 36–38. [Google Scholar] [CrossRef]
- Leskovec, J. Stanford Large Network Dataset Collection Repository. Available online: https://snap.stanford.edu/data/index.html#citnets (accessed on 1 June 2022).
- Leskovec, J.; Kleinberg, J.; Faloutsos, C. Graph Evolution: Densification and Shrinking Diameters. ACM Trans. Knowl. Discov. Data 2007, 1, 2-es. [Google Scholar] [CrossRef]
- McAuley, J.; Leskovec, J. Learning to Discover Social Circles in Ego Networks. In Proceedings of the Advances in Neural Information Processing Systems 25: 26th Annual Conference on Neural Information Processing Systems 2012, Lake Tahoe, NV, USA, 3–6 December 2012. [Google Scholar]
- Wilson, A.W. On Semi-Metric Spaces. Am. J. Math. 1931, 53, 361–373. [Google Scholar] [CrossRef]
- Holst, E.; Thyregod, P.; Wilrich, P. On Conformity Testing and the Use of Two Stage Procedures. Int. Stat. Rev. Int. Stat. 2001, 69, 419–432. [Google Scholar] [CrossRef]
- Arnold, B.C. Pareto Distributions. In Monographs on Statistics and Applied Probability, 2nd ed.; CRC Press: Boca Raton, FL, USA, 2015; Volume 140. [Google Scholar]
- Wilke, C.; Altmeyer, S.; Martinetz, T. Large-scale evolution and extinction in a hierarchically structured environment. arXiv 1998, arXiv:adap-org/9803001. [Google Scholar]





| Leading Digit | 1 | 2 | 3 | 4 | 5 | 6 | 7 | 8 | 9 |
|---|---|---|---|---|---|---|---|---|---|
| 30.1% | 17.6% | 12.5% | 9.7% | 7.9% | 6.7% | 5.8% | 5.1% | 4.6% |
| Description | Nodes | Edges | |
|---|---|---|---|
| Astro Physics | 18,772 | 198,110 | 0.3725 |
| Condensed Matter | 23,133 | 93,497 | 0.5009 |
| General Relativity | 5242 | 14,496 | 0.8502 |
| High Energy Physics | 12,008 | 118,521 | 0.5657 |
| High Energy Physics Theory | 9877 | 25,998 | 0.7923 |
| Facebook 2 | 1034 | 54015 | 0.0907 |
| Leading Digit | 1 | 2 | 3 | 4 | 5 | 6 | 7 | 8 | 9 |
|---|---|---|---|---|---|---|---|---|---|
| number of nodes | 30 | 18 | 12 | 10 | 8 | 7 | 6 | 5 | 4 |
| density | 0.01 | 0.02 | 0.03 | 0.034 | 0.04 | 0.05 | 0.06 | 0.07 | 0.08 | 0.09 |
| mean ass. | 0 | 0 | 0.013 | 0.03 | 0.05 | 0.045 | 0.004 | −0.011 | −0.016 | 0.151 |
| min ass. | −0.167 | 0.006 | 0.006 | 0.00 | −0.117 | −0.105 | −0.179 | −0.052 | 0.00 | 0.00 |
| max ass. | 0 | 0.027 | 0.191 | 0.070 | 0.36 | 0.385 | 0.215 | 0.484 | 0.314 | 0.289 |
| density | 0.1 | 0.2 | 0.3 | 0.4 | 0.436 | |||||
| mean ass. | −0.087 | 0.002 | −0.022 | 0.003 | 0.00 | |||||
| min ass. | −0.118 | −0.05 | −0.147 | −0.210 | −0.085 | |||||
| max ass. | 0.136 | 0.191 | 0.162 | 0.171 | 0.020 |
Publisher’s Note: MDPI stays neutral with regard to jurisdictional claims in published maps and institutional affiliations. |
© 2022 by the authors. Licensee MDPI, Basel, Switzerland. This article is an open access article distributed under the terms and conditions of the Creative Commons Attribution (CC BY) license (https://creativecommons.org/licenses/by/4.0/).
Share and Cite
de Kok, R.; Rotundo, G. Benford Networks. Stats 2022, 5, 934-947. https://doi.org/10.3390/stats5040054
de Kok R, Rotundo G. Benford Networks. Stats. 2022; 5(4):934-947. https://doi.org/10.3390/stats5040054
Chicago/Turabian Stylede Kok, Roeland, and Giulia Rotundo. 2022. "Benford Networks" Stats 5, no. 4: 934-947. https://doi.org/10.3390/stats5040054
APA Stylede Kok, R., & Rotundo, G. (2022). Benford Networks. Stats, 5(4), 934-947. https://doi.org/10.3390/stats5040054

