Three-Dimensional Unsteady Axisymmetric Viscous Beltrami Vortex Solutions to the Navier–Stokes Equations
Abstract
1. Introduction
2. Dynamical and Constraint Equations for the Axisymmetric Beltrami Vortex
3. Consistency of Dynamical and Constraint Equations
4. Vortex Solutions
4.1. Constant c
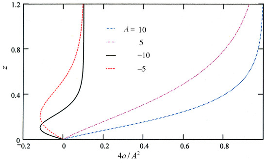
4.2. Nonconstant c
4.3. Time Dependence
5. Conclusions and Discussion
Funding
Data Availability Statement
Acknowledgments
Conflicts of Interest
Appendix A. Consistency of Constraints with the Navier–Stokes Equations (1) and (3)
Appendix B. Variable c Generally Implies Time-Dependent External Force
Appendix C. Extracting the Gaussian Factor and the Spectrum Function from the Solution (i) in Figure 1
References
- Burgers, J.M. A Mathematical Model Illustrating the Theory of Turbulence. In Advances in Applied Mechanics; Von Mises, R., Von Kármán, T., Eds.; Elsevier: Amsterdam, The Netherlands, 1948; Volume 1, pp. 171–199. [Google Scholar]
- Rott, N. On the Viscous Core of a Line Vortex. J. Appl. Math. Phys. (ZAMP) 1958, 9, 543–553. [Google Scholar] [CrossRef]
- Sullivan, R.D. A Two-Cell Vortex Solution of the Navier-Stokes Equations. J. Aerosp. Sci. 1959, 26, 767–768. [Google Scholar] [CrossRef]
- Bellamy-Knights, P.G. An Unsteady Two-Cell Vortex Solution of the Navier—Stokes Equations. J. Fluid Mech. 1970, 41, 673–687. [Google Scholar] [CrossRef]
- Bellamy-Knights, P.G. Unsteady Multicellular Viscous Vortices. J. Fluid Mech. 1971, 50, 1–16. [Google Scholar] [CrossRef]
- Craik, A.D.D. Exact Vortex Solutions of the Navier–Stokes Equations with Axisymmetric Strain and Suction or Injection. J. Fluid Mech. 2009, 626, 291–306. [Google Scholar] [CrossRef]
- Weinbaum, S.; O’Brien, V. Exact Navier-Stokes Solutions Including Swirl and Cross Flow. Phys. Fluids 1967, 10, 1438–1447. [Google Scholar] [CrossRef]
- Gibbon, J.D.; Fokas, A.S.; Doering, C.R. Dynamically Stretched Vortices as Solutions of the 3D Navier–Stokes Equations. Phys. D Nonlinear Phenom. 1999, 132, 497–510. [Google Scholar] [CrossRef][Green Version]
- Takahashi, K. Three-Dimensional Unsteady Axisymmetric Vortex Solutions to the Bellamy-Knights Equation and the Distribution of Boundary Conditions. AIP Adv. 2022, 12, 085324. [Google Scholar] [CrossRef]
- Drazin, P.G.; Riley, N. The Navier-Stokes Equations: A Classification of Flows and Exact Solutions; Cambridge University Press: Cambridge, UK, 2006. [Google Scholar]
- Trkal, V. A Note on the Hydrodynamics of Viscous Fluids. Czechoslov. J. Phys. 1994, 44, 97–106. [Google Scholar] [CrossRef]
- Gromeka, I.S. Some Cases of the Motion of an Incompressible Fluid; Collected Works; Academy of Sciences: Moscow, USSR, 1952. (In Russian) [Google Scholar]
- Wood, V.T.; Brown, R.A. Simulated Tornadic Vortex Signatures of Tornado-Like Vortices Having One- and Two-Celled Structures. J. Appl. Meteorol. Climatol. 2011, 50, 2338–2342. [Google Scholar] [CrossRef]
- Baker, C. Some Musings on Tornado Vortex Models. Available online: https://profchrisbaker.com/2020/06/30/some-musings-on-tornado-vortex-models/ (accessed on 30 July 2023).
- Barber, T.A.; Majdalani, J. On the Beltramian Motion of the Bidirectional Vortex in a Conical Cyclone. J. Fluid Mech. 2017, 828, 708–732. [Google Scholar] [CrossRef]
- Maicke, B.; Majdalani, J. On the Compressible Bidirectional Vortex. Part 1: A Bragg-Hawthorne Stream Function Formulation. In Proceedings of the 50th AIAA Aerospace Sciences Meeting including the New Horizons Forum and Aerospace Exposition, Nashville, TN, USA, 9–12 January 2012; Aerospace Sciences Meetings. American Institute of Aeronautics and Astronautics: Reston, VA, USA, 2012. [Google Scholar]
- Williams, L.L.; Majdalani, J. Exact Beltramian Solutions for Hemispherically Bounded Cyclonic Flowfields. Phys. Fluids 2021, 33, 093601. [Google Scholar] [CrossRef]
- Arnold, V.I.; Arnold, V.I. Sur La Topologie des Écoulements Stationnaires des Fluides Parfaits; Givental, A.B., Khesin, B.A., Varchenko, A.N., Vassiliev, V.A., Viro, O.Y., Eds.; Springer: Berlin/Heidelberg, Germany, 1965; pp. 15–18. [Google Scholar]
- Dombre, T.; Frisch, U.; Greene, J.M.; Hénon, M.; Mehr, A.; Soward, A.M. Chaotic Streamlines in the ABC Flows. J. Fluid Mech. 1986, 167, 353. [Google Scholar] [CrossRef]
- Bouya, I.; Dormy, E. Revisiting the ABC Flow Dynamo. Phys. Fluids 2013, 25, 037103. [Google Scholar] [CrossRef]
- Chakraborty, P.; Roy, A.; Chakraborty, S. Topology and Transport in Generalized Helical Flows. Phys. Fluids 2021, 33, 117106. [Google Scholar] [CrossRef]
- Bělík, P.; Su, X.; Dokken, D.P.; Scholz, K.; Shvartsman, M.M. On the Axisymmetric Steady Incompressible Beltrami Flows. OJFD 2020, 10, 208–238. [Google Scholar] [CrossRef]
- Yi, T. Some General Solutions for Linear Bragg–Hawthorne Equation. Phys. Fluids 2021, 33, 077113. [Google Scholar] [CrossRef]
- Viúdez, A. Multipolar Spherical and Cylindrical Vortices. J. Fluid Mech. 2022, 936, A13. [Google Scholar] [CrossRef]
- Chandrasekhar, S. On force-free magnetic fields. Proc. Natl. Acad. Sci. USA 1956, 42, 1–5. [Google Scholar] [CrossRef]
- Chandrasekhar, S.; Woltjer, L. On force-free magnetic fields. Proc. Natl. Acad. Sci. USA 1958, 44, 285–289. [Google Scholar] [CrossRef]
- Pelz, R.B.; Yakhot, V.; Orszag, S.A.; Shtilman, L.; Levich, E. Velocity-Vorticity Patterns in Turbulent Flow. Phys. Rev. Lett. 1985, 54, 2505–2508. [Google Scholar] [CrossRef] [PubMed]
- Golubkin, V.N.; Sizykh, G.B. Some General Properties of Plane-Parallel Viscous Flows. Fluid Dyn. 1987, 22, 479–481. [Google Scholar] [CrossRef]
- Freedman, M.H. A Note on Topology and Magnetic Energy in Incompressible Perfectly Conducting Fluids. J. Fluid Mech. 1988, 194, 549–551. [Google Scholar] [CrossRef]
- Moffatt, H.K. Helicity and Singular Structures in Fluid Dynamics. Proc. Natl. Acad. Sci. USA 2014, 111, 3663–3670. [Google Scholar] [CrossRef] [PubMed]
- Davies-Jones, R. Can a Descending Rain Curtain in a Supercell Instigate Tornadogenesis Barotropically? J. Atmos. Sci. 2008, 65, 2469–2497. [Google Scholar] [CrossRef][Green Version]
- Yoshida, Z.; Mahajan, S.M.; Ohsaki, S.; Iqbal, M.; Shatashvili, N. Beltrami Fields in Plasmas: High-Confinement Mode Boundary Layers and High Beta Equilibria. Phys. Plasmas 2001, 8, 2125–2131. [Google Scholar] [CrossRef]
- Bhattacharjee, C. Beltrami–Bernoulli Equilibria in Weakly Rotating Self-Gravitating Fluid. J. Plasma Phys. 2022, 88, 175880101. [Google Scholar] [CrossRef]
- Morgulis, A.; Yudovich, V.I.; Zaslavsky, G.M. Compressible Helical Flows. Comm. Pure Appl. Math. 1995, 48, 571–582. [Google Scholar] [CrossRef]
- Berker, R. Integration des Équations du Mouvement d’un Fluide Visqueux Incompressible; Handbuch der Physik, Bd VIII/2, Encyclopedia of Physics; Springer: Berlin, Germany, 1963. [Google Scholar]
- Ershkov, S.V. Non-Stationary Helical Flows for Incompressible 3D Navier–Stokes Equations. Appl. Math. Comput. 2016, 274, 611–614. [Google Scholar] [CrossRef]
- Dierkes, D.; Cheviakov, A.; Oberlack, M. New Similarity Reductions and Exact Solutions for Helically Symmetric Viscous Flows. Phys. Fluids 2020, 32, 053604. [Google Scholar] [CrossRef]
- Wang, C.Y. Exact Solutions of the Unsteady Navier-Stokes Equations. Appl. Mech. Rev. 1989, 42, S269–S282. [Google Scholar] [CrossRef]
- Joseph, S.P. Polynomial Solutions and Other Exact Solutions of Axisymmetric Generalized Beltrami Flows. Acta Mech. 2018, 229, 2737–2750. [Google Scholar] [CrossRef]
- Wang, C.Y. Exact Solutions of the Steady-State Navier-Stokes Equations. Annu. Rev. Fluid Mech. 1991, 23, 159–177. [Google Scholar] [CrossRef]
- Dyck, N.J.; Straatman, A.G. Exact Solutions to the Three-Dimensional Navier–Stokes Equations Using the Extended Beltrami Method. J. Appl. Mech. 2020, 87, 011004. [Google Scholar] [CrossRef]
- Holm, D.D.; Kerr, R. Transient Vortex Events in the Initial Value Problem for Turbulence. Phys. Rev. Lett. 2002, 88, 244501. [Google Scholar] [CrossRef]
- Choi, Y.; Kim, B.-G.; Lee, C. Alignment of Velocity and Vorticity and the Intermittent Distribution of Helicity in Isotropic Turbulence. Phys. Rev. E 2009, 80, 017301. [Google Scholar] [CrossRef]
- Jacobitz, F.G.; Schneider, K.; Bos, W.J.T.; Farge, M. On Helical Multiscale Characterization of Homogeneous Turbulence. J. Turbul. 2012, 13, N35. [Google Scholar] [CrossRef]
- Constantin, P.; Majda, A. The Beltrami Spectrum for Incompressible Fluid Flows. Commun. Math. Phys. 1988, 115, 435–456. [Google Scholar] [CrossRef]
- Ershkov, S.V.; Shamin, R.V.; Giniyatullin, A.R. On a New Type of Non-Stationary Helical Flows for Incompressible 3D Navier-Stokes Equations. J. King Saud Univ. Sci. 2020, 32, 459–467. [Google Scholar] [CrossRef]
- Hicks, W.M. Researches in Vortex Motion. Part III. On Spiral or Gyrostatic Vortex Aggregates. [Abstract]. Proc. R. Soc. Lond. 1897, 62, 332–338. [Google Scholar]
- Bragg, S.L.; Hawthorne, W.R. Some Exact Solutions of the Flow Through Annular Cascade Actuator Discs. J. Aeronaut. Sci. 1950, 17, 243–249. [Google Scholar] [CrossRef]
- Gledzer, E.B.; Makarov, A.L. A Class of Steady Axisymmetric Incompressible Flows. Fluid Dyn. 1991, 25, 832–838. [Google Scholar] [CrossRef]
- Taylor, G.I. LXXV. On the Decay of Vortices in a Viscous Fluid. Lond. Edinb. Dublin Philos. Mag. J. Sci. 1923, 46, 671–674. [Google Scholar] [CrossRef]




Disclaimer/Publisher’s Note: The statements, opinions and data contained in all publications are solely those of the individual author(s) and contributor(s) and not of MDPI and/or the editor(s). MDPI and/or the editor(s) disclaim responsibility for any injury to people or property resulting from any ideas, methods, instructions or products referred to in the content. |
© 2023 by the author. Licensee MDPI, Basel, Switzerland. This article is an open access article distributed under the terms and conditions of the Creative Commons Attribution (CC BY) license (https://creativecommons.org/licenses/by/4.0/).
Share and Cite
Takahashi, K. Three-Dimensional Unsteady Axisymmetric Viscous Beltrami Vortex Solutions to the Navier–Stokes Equations. J 2023, 6, 460-476. https://doi.org/10.3390/j6030030
Takahashi K. Three-Dimensional Unsteady Axisymmetric Viscous Beltrami Vortex Solutions to the Navier–Stokes Equations. J. 2023; 6(3):460-476. https://doi.org/10.3390/j6030030
Chicago/Turabian StyleTakahashi, Koichi. 2023. "Three-Dimensional Unsteady Axisymmetric Viscous Beltrami Vortex Solutions to the Navier–Stokes Equations" J 6, no. 3: 460-476. https://doi.org/10.3390/j6030030
APA StyleTakahashi, K. (2023). Three-Dimensional Unsteady Axisymmetric Viscous Beltrami Vortex Solutions to the Navier–Stokes Equations. J, 6(3), 460-476. https://doi.org/10.3390/j6030030

