Application of Carboxymethyl Cellulose (CMC)-Coated Nanoscale Zero-Valent Iron in Chromium-Containing Soil Remediation
Abstract
1. Introduction
2. Materials and Methods
2.1. Materials
2.2. Analysis and Sampling of Soil
2.3. CMC−nZVI Synthesis
2.4. Materials Characterization
2.4.1. Characterization of nZVI Before and After Coating
2.4.2. Cr(VI) Characteristics Both Before and After CMC−nZVI Treatment
2.4.3. Recovery of CMC−nZVI
2.5. Batch Experiments
2.5.1. Coating Ratio Investigation Experiment
2.5.2. Experiments for Cr(VI) Removal in Soils
2.6. Data Analysis and Processing
3. Results and Discussion
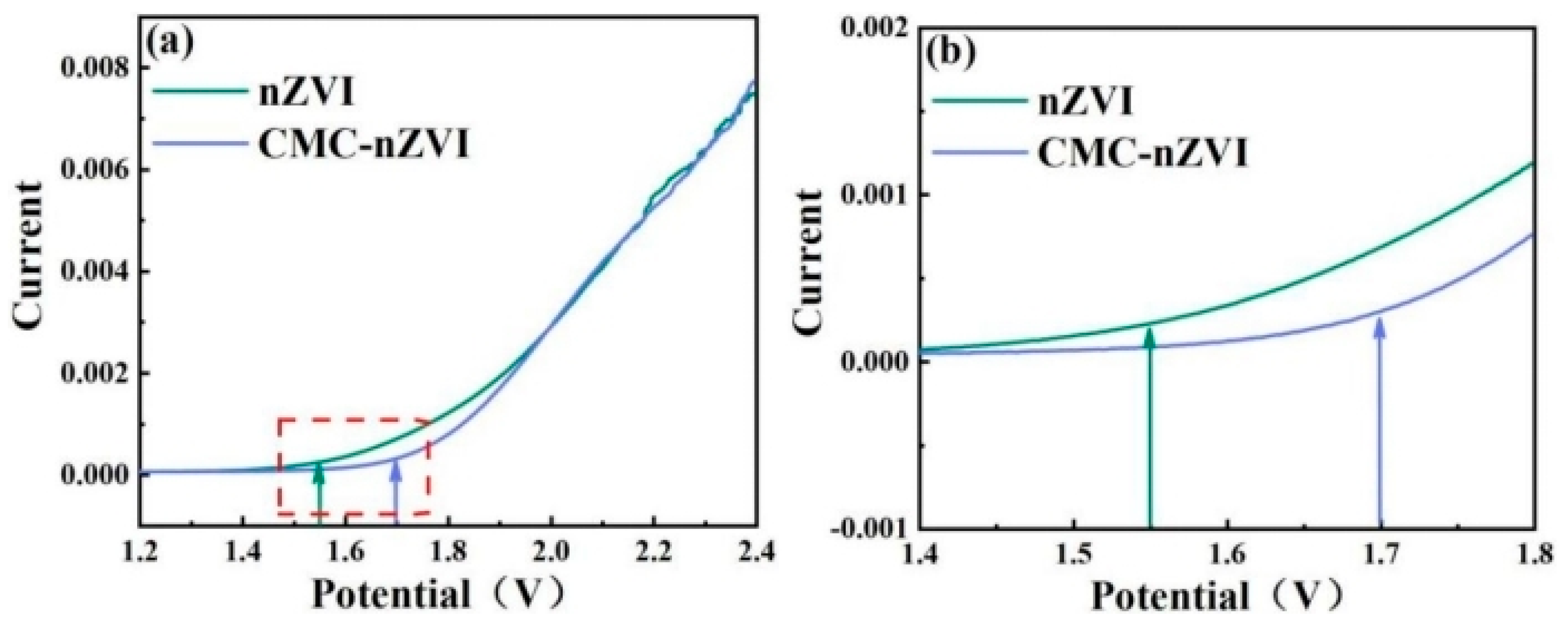
3.1. Investigation of the Properties of CMC−nZVI
3.2. Coating Ratio Investigation Results
3.3. Experiments for Cr(VI) Removal in Soils Investigation Results
3.4. Adsorption Kinetics Analysis
4. Mechanism Analysis
5. Conclusions
Supplementary Materials
Author Contributions
Funding
Data Availability Statement
Conflicts of Interest
References
- Lyu, H.; Zhao, H.; Tang, J.; Gong, Y.; Huang, Y.; Wu, Q.; Gao, B. Immobilization of hexavalent chromium in contaminated soils using biochar supported nanoscale iron sulfide composite. Chemosphere 2018, 194, 360–369. [Google Scholar] [CrossRef] [PubMed]
- Hepburn, E.; Northway, A.; Bekele, D.; Liu, G.-J.; Currell, M.J. A method for separation of heavy metal sources in urban groundwater using multiple lines of evidence. Environ. Pollut. 2018, 241, 787–799. [Google Scholar] [CrossRef] [PubMed]
- Ahmadi, S.; Jahanshahi, R.; Moeini, V.; Mali, S. Assessment of hydrochemistry and heavy metals pollution in the groundwater of Ardestan mineral exploration area, Iran. Environ. Earth Sci. 2018, 77, 1–13. [Google Scholar] [CrossRef]
- Wang, F.; Yang, W.; Zheng, F.; Sun, Y. Removal of Cr (VI) from Simulated and Leachate Wastewaters by Bentonite-Supported Zero-Valent Iron Nanoparticles. Int. J. Environ. Res. Public Health 2018, 15, 2162. [Google Scholar] [CrossRef]
- Kumar, A.; Gahoi, P.; Verma, N. Simultaneous scavenging of Cr(VI) from soil and facilitation of nutrient uptake in plant using a mixture of carbon microfibers and nanofibers. Chemosphere 2019, 239, 124760. [Google Scholar] [CrossRef]
- Wang, S.; Zhao, M.; Zhou, M.; Li, Y.C.; Wang, J.; Gao, B.; Sato, S.; Feng, K.; Yin, W.; Igalavithana, A.D.; et al. Biochar-supported nZVI (nZVI/BC) for contaminant removal from soil and water: A critical review. J. Hazard. Mater. 2019, 373, 820–834. [Google Scholar] [CrossRef]
- Zhang, S.; Lyu, H.; Tang, J.; Song, B.; Zhen, M.; Liu, X. A novel biochar supported CMC stabilized nano zero-valent iron composite for hexavalent chromium removal from water. Chemosphere 2019, 217, 686–694. [Google Scholar] [CrossRef]
- Han, Y.; Zhou, X.; Lei, L.; Sun, H.; Niu, Z.; Zhou, Z.; Xu, Z.; Hou, H. Efficient activation of persulfate by calcium sulfate whisker supported nanoscale zero-valent iron for methyl orange removal. RSC Adv. 2020, 11, 452–461. [Google Scholar] [CrossRef]
- Tunç, M.S.; Tepe, O. Removal of phenol from aqueous solution using persulfate activated with nanoscale zero-valent iron. Desalination Water Treat. 2017, 74, 269–279. [Google Scholar] [CrossRef]
- Tarekegn, M.M.; Hiruy, A.M.; Dekebo, A.H. Nano zero valent iron (nZVI) particles for the removal of heavy metals (Cd2+, Cu2+ and Pb2+) from aqueous solutions. RSC Adv. 2021, 11, 18539–18551. [Google Scholar] [CrossRef]
- Liang, L.; Li, X.; Guo, Y.; Lin, Z.; Su, X.; Liu, B. The removal of heavy metal cations by sulfidated nanoscale zero-valent iron (S-nZVI): The reaction mechanisms and the role of sulfur. J. Hazard. Mater. 2020, 404 Pt A, 124057. [Google Scholar] [CrossRef]
- Zhao, X.; Liu, W.; Cai, Z.; Han, B.; Qian, T.; Zhao, D. An overview of preparation and applications of stabilized zero-valent iron nanoparticles for soil and groundwater remediation. Water Res. 2016, 100, 245–266. [Google Scholar] [CrossRef] [PubMed]
- Shang, J.; Zong, M.; Yu, Y.; Kong, X.; Du, Q.; Liao, Q. Removal of chromium (VI) from water using nanoscale zerovalent iron particles supported on herb-residue biochar. J. Environ. Manag. 2017, 197, 331–337. [Google Scholar] [CrossRef] [PubMed]
- Liu, F.; Yang, J.-H.; Zuo, J.; Ma, D.; Gan, L.-L.; Xie, B.; Wang, P.; Yang, B. Graphene-supported nanoscale zero-valent iron: Removal of phosphorus from aqueous solution and mechanistic study. J. Environ. Sci. 2014, 26, 1751–1762. [Google Scholar] [CrossRef] [PubMed]
- Bao, T.; Damtie, M.M.; Hosseinzadeh, A.; Wei, W.; Jin, J.; Vo, H.N.P.; Ye, J.S.; Liu, Y.; Wang, X.F.; Yu, Z.; et al. Bentonite-supported nano zero-valent iron composite as a green catalyst for bisphenol A degradation: Preparation, performance, and mechanism of action. J. Environ. Manag. 2020, 260, 110105. [Google Scholar] [CrossRef]
- Zhang, M.; Yi, K.; Zhang, X.; Han, P.; Liu, W.; Tong, M. Modification of Zero Valent Iron Nanoparticles by Sodium Alginate and Bentonite: Enhanced Transport, Effective Hexavalent Chromium Removal and Reduced Bacterial Toxicity. J. Hazard. Mater. 2020, 388, 121822. [Google Scholar] [CrossRef]
- Bian, H.; Wan, J.; Muhammad, T.; Wang, G.; Sang, L.K.; Jiang, L.; Wang, H.-Y.; Zhang, Y.; Peng, C.; Zhang, W.; et al. Computational study and optimization experiment of nZVI modified by anionic and cationic polymer for Cr(VI) stabilization in soil: Kinetics and response surface methodology (RSM). Environ. Pollut. 2021, 276, 116745. [Google Scholar] [CrossRef]
- Zeng, S.; Zhong, D.; Xu, Y.L.; Zhong, N. Application of porous styrene resin loaded carboxymethyl cellulose-stabilized nano-zero-valent iron for highly efficient hexavalent chromium removal. New J. Chem. 2022, 1319–1328. [Google Scholar] [CrossRef]
- Gong, L.; Shi, S.; Lv, N.; Xu, W.; Ye, Z.; Gao, B.; O’Carroll, D.M.; He, F. Sulfidation enhances stability and mobility of carboxymethyl cellulose stabilized nanoscale zero-valent iron in saturated porous media. Sci. Total Environ. 2020, 718, 137427. [Google Scholar] [CrossRef]
- Di Palma, L.; Gueye, M.T.; Petrucci, E. Hexavalent chromium reduction in contaminated soil: A comparison between ferrous sulphate and nanoscale zero-valent iron. J. Hazard. Mater. 2015, 281, 70–76. [Google Scholar] [CrossRef]
- Sparks, D.L. Methods of Soil Analysis, Part 3: Chemical Methods; John Wiley & Sons: Hoboken, NJ, USA, 2020. [Google Scholar]
- Weaver, R.W. Methods of Soil Analysis, Part 4: Physical Methods; John Wiley & Sons: Hoboken, NJ, USA, 2020. [Google Scholar]
- GB/T 23739-2009; Soil Quality-Analysis of Available Lead and Cadmium Contents in Soils-Atomic Absorption Spectrometry. Standards Press of China: Beijing, China, 2009.
- GB 7467-87; Water Quality-Determination of Chromium(VI)-1,5 Diphenylcarbohydrazide Spectrophotometric Method. Standards Press of China: Beijing, China, 1987.
- Xu, H.; Gao, M.; Hu, X.; Chen, Y.; Li, Y.; Xu, X.; Zhang, R.; Yang, X.; Tang, C.; Hu, X. A novel preparation of S-nZVI and its high efficient removal of Cr(VI) in aqueous solution. J. Hazard. Mater. 2021, 416, 125924. [Google Scholar] [CrossRef] [PubMed]
- Fan, J.; Zhang, B.; Zhu, B.; Shen, W.; Chen, Y.; Zeng, F. New Insight into the Mechanism for the Removal of Methylene Blue by Hydrotalcite-Supported Nanoscale Zero-Valent Iron. Water 2023, 15, 183. [Google Scholar] [CrossRef]
- Chen, W.; Wang, X.; Yuan, Z. Preparation of nanoscale zero-valent iron particles with different coatings for removal of Cr(VI) from water. Int. J. Nanotechnol. 2016, 13, 923. [Google Scholar] [CrossRef]
- Jiao, C.; Tan, X.; Lin, A.; Yang, W. Preparation of Activated Carbon Supported Bead String Structure Nano Zero Valent Iron in a Polyethylene Glycol-Aqueous Solution and Its Efficient Treatment of Cr(VI) Wastewater. Molecules 2019, 25, 47. [Google Scholar] [CrossRef]
- Wu, W.; Han, L.; Nie, X.; Gu, M.; Li, J.; Chen, M. Effects of multiple injections on the transport of CMC-nZVI in saturated sand columns. Sci. Total Environ. 2021, 784, 147160. [Google Scholar] [CrossRef]
- Yi, Y.; Wang, X.; Ma, J.; Ning, P. An efficient Egeria najas-derived biochar supported nZVI composite for Cr(VI) removal: Characterization and mechanism investigation based on visual MINTEQ model. Environ. Res. 2020, 189, 109912. [Google Scholar] [CrossRef]
- Dong, H.; Deng, J.; Xie, Y.; Zhang, C.; Jiang, Z.; Cheng, Y.; Hou, K.; Zeng, G. Stabilization of nanoscale zero-valent iron (nZVI) with modified biochar for Cr(VI) removal from aqueous solution. J. Hazard. Mater. 2017, 332, 79–86. [Google Scholar] [CrossRef]
- Zhang, Y.; Jiao, X.; Liu, N.; Lv, J.; Yang, Y. Enhanced removal of aqueous Cr(VI) by a green synthesized nanoscale zero-valent iron supported on oak wood biochar. Chemosphere 2019, 245, 125542. [Google Scholar] [CrossRef]
- Wang, J.; Zheng, S.; Shao, Y.; Liu, J.; Xu, Z.; Zhu, D. Amino-functionalized Fe3O4@SiO2 core-shell magnetic nanomaterial as a novel adsorbent for aqueous heavy metals removal. J. Colloid Interface Sci. 2010, 349, 293–299. [Google Scholar] [CrossRef]
- Vilardi, G.; Di Palma, L.; Verdone, N. A physical-based interpretation of mechanism and kinetics of Cr(VI) reduction in aqueous solution by zero-valent iron nanoparticles. Chemosphere 2019, 220, 590–599. [Google Scholar] [CrossRef]











Disclaimer/Publisher’s Note: The statements, opinions and data contained in all publications are solely those of the individual author(s) and contributor(s) and not of MDPI and/or the editor(s). MDPI and/or the editor(s) disclaim responsibility for any injury to people or property resulting from any ideas, methods, instructions or products referred to in the content. |
© 2024 by the authors. Licensee MDPI, Basel, Switzerland. This article is an open access article distributed under the terms and conditions of the Creative Commons Attribution (CC BY) license (https://creativecommons.org/licenses/by/4.0/).
Share and Cite
Zhang, B.; Zhan, J.; Fan, J.; Zhu, B.; Shen, W.; Zhang, S.; Li, W.; Li, Z.; Zeng, F. Application of Carboxymethyl Cellulose (CMC)-Coated Nanoscale Zero-Valent Iron in Chromium-Containing Soil Remediation. Clean Technol. 2024, 6, 1610-1624. https://doi.org/10.3390/cleantechnol6040078
Zhang B, Zhan J, Fan J, Zhu B, Shen W, Zhang S, Li W, Li Z, Zeng F. Application of Carboxymethyl Cellulose (CMC)-Coated Nanoscale Zero-Valent Iron in Chromium-Containing Soil Remediation. Clean Technologies. 2024; 6(4):1610-1624. https://doi.org/10.3390/cleantechnol6040078
Chicago/Turabian StyleZhang, Bo, Jiani Zhan, Jiaqi Fan, Bohong Zhu, Weili Shen, Shiwei Zhang, Weiting Li, Zhaohui Li, and Fanjun Zeng. 2024. "Application of Carboxymethyl Cellulose (CMC)-Coated Nanoscale Zero-Valent Iron in Chromium-Containing Soil Remediation" Clean Technologies 6, no. 4: 1610-1624. https://doi.org/10.3390/cleantechnol6040078
APA StyleZhang, B., Zhan, J., Fan, J., Zhu, B., Shen, W., Zhang, S., Li, W., Li, Z., & Zeng, F. (2024). Application of Carboxymethyl Cellulose (CMC)-Coated Nanoscale Zero-Valent Iron in Chromium-Containing Soil Remediation. Clean Technologies, 6(4), 1610-1624. https://doi.org/10.3390/cleantechnol6040078
