Equilibrium Moisture and Drying Kinetics Modelling of Macroalgae Species Ulva ohnoi and Oedogonium intermedium
Abstract
1. Introduction
2. Experiments
2.1. Equilibrium Moisture Content
2.2. Drying Kinetics
2.3. Analysis Methods
2.3.1. Equilibrium Moisture
2.3.2. Drying Kinetics
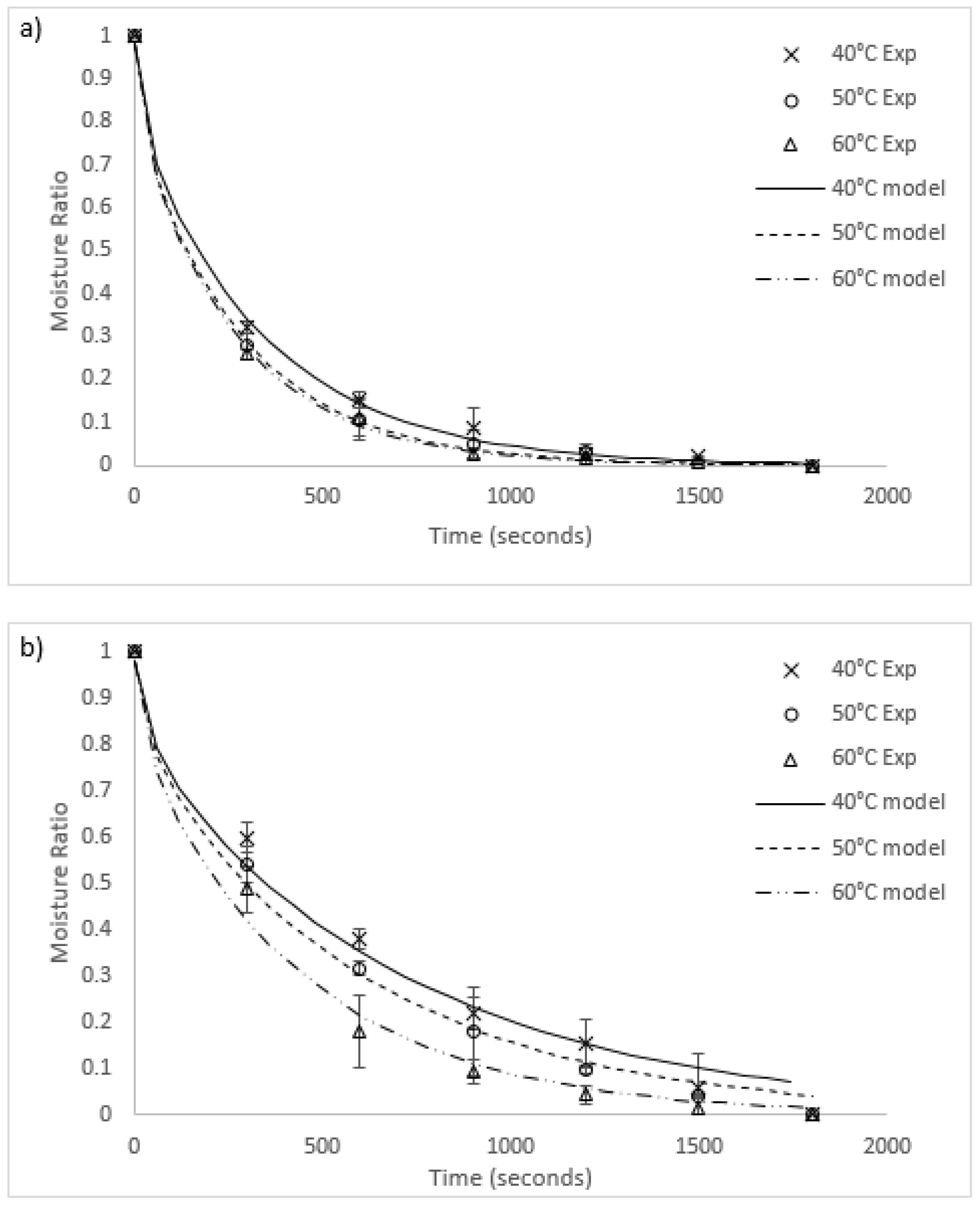
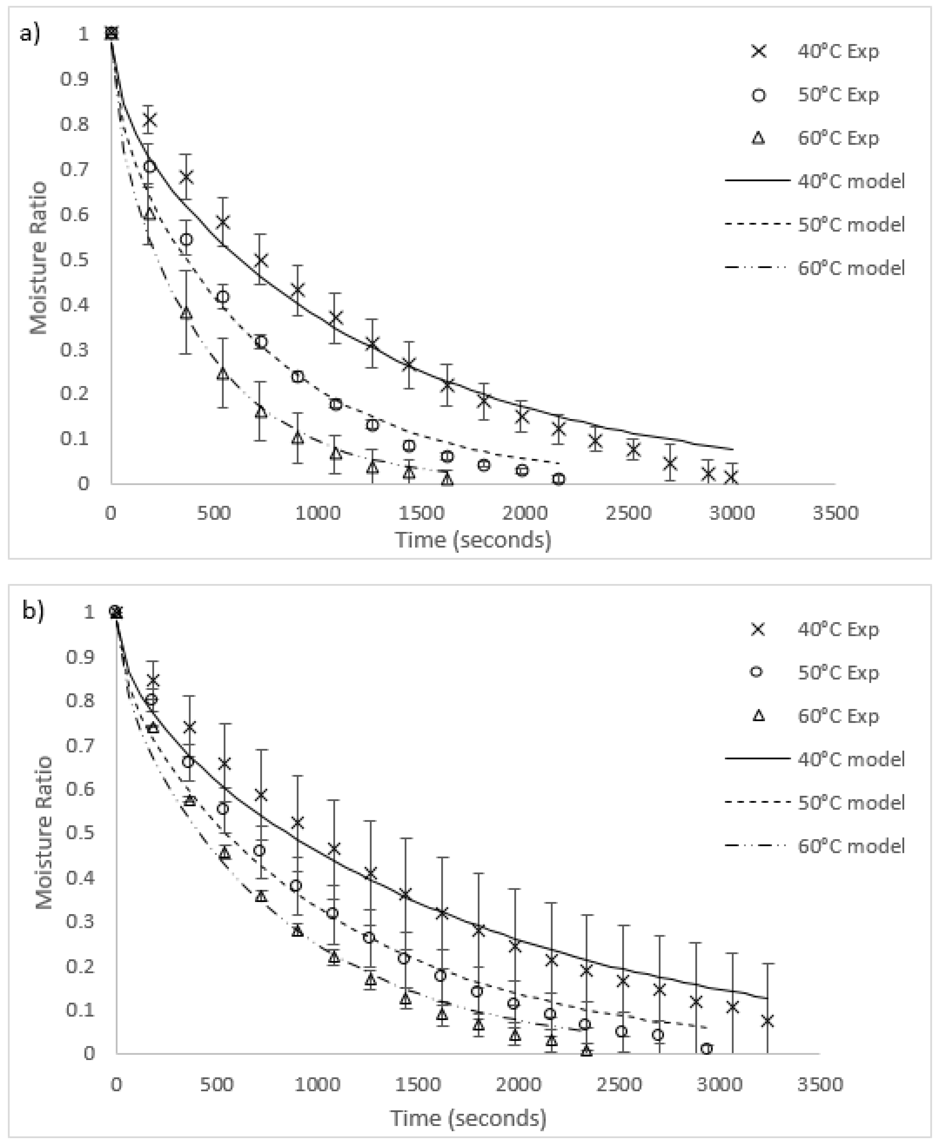
3. Results
3.1. Equilibrium Moisture Modelling
3.2. Drying Kinetics Modelling
4. Conclusions
Author Contributions
Funding
Acknowledgments
Conflicts of Interest
References
- Angell, A.; Angell, S.; de Nys, R.; Paul, N. Seaweed as a protein source for mono-gastric livestock. Trends Food Sci. Technol. 2016, 54, 74–84. [Google Scholar] [CrossRef]
- Mabeau, S.; Fleurence, J. Seaweed in food products: Biochemical and nutritional aspects. Trends Food Sci. Technol. 1993, 4, 103–107. [Google Scholar] [CrossRef]
- Garcia-Vaquero, M.; Hayes, M. Red and green macroalgae for fish and animal feed and human functional food development. Food Rev. Int. 2016, 32, 15–45. [Google Scholar] [CrossRef]
- Rawat, I.; Ranjith Kumar, R.; Mutanda, T.; Bux, F. Biodiesel from microalgae: A critical evaluation from laboratory to large scale production. Appl. Energy 2013, 103, 444–467. [Google Scholar] [CrossRef]
- Cole, A.J.; Neveux, N.; Whelan, A.; Morton, J.; Vis, M.; de Nys, R.; Paul, N.A. Adding value to the treatment of municipal wastewater through the intensive production of freshwater macroalgae. Algal Res. 2016, 20, 100–109. [Google Scholar] [CrossRef]
- Lawton, R.J.; Cole, A.J.; Roberts, D.A.; Paul, N.A.; de Nys, R. The industrial ecology of freshwater macroalgae for biomass applications. Algal Res. 2017, 24, 486–491. [Google Scholar] [CrossRef]
- Neveux, N.; Magnusson, M.; Maschmeyer, T.; de Nys, R.; Paul, N.A. Comparing the potential production and value of high-energy liquid fuels and protein from marine and freshwater macroalgae. GCB Bioenergy 2014, 7, 673–689. [Google Scholar] [CrossRef]
- Zeraatkar, A.K.; Ahmadzadeh, H.; Talebi, A.F.; Moheimani, N.R.; McHenry, M.P. Potential use of algae for heavy metal bioremediation, a critical review. J. Env. Manag. 2016, 181, 817–831. [Google Scholar] [CrossRef]
- Castine, S.A.; Paul, N.A.; Magnusson, M.; Bird, I.; de Nys, R. Algal bioproducts derived from suspended solids in intensive land-based aquaculture. Bioresour. Technol. 2013, 131, 113–120. [Google Scholar] [CrossRef]
- Lawton, R.J.; Mata, L.; de Nys, R.; Paul, N.A. Algal bioremediation of waste waters from land-based aquaculture using Ulva; selecting target species and strains. PLoS ONE 2013, 8, e77344. [Google Scholar] [CrossRef]
- Machado, L.; Kinley, R.; Magnusson, M.; de Nys, R.; Tomkins, N. The potential of macroalgae for beef production systems in Northern Australia. J. Appl. Phycol. 2015, 27, 2001–2005. [Google Scholar] [CrossRef]
- Machado, L.; Magnusson, M.; Paul, N.; Kinley, R.; de Nys, R.; Tomkins, N. Dose-response effects of asparagopsis taxiformis and oedogonium sp. on in vitro fermentation and methane production. J. Appl. Phycol. 2016, 28, 1443–1452. [Google Scholar] [CrossRef]
- Show, K.; Lee, D.; Chang, J. Algal biomass dehydration. Bioresour. Technol. 2013, 135, 720–729. [Google Scholar] [CrossRef] [PubMed]
- Henderson, S.M.; Pabis, S. Grain drying theory I: Temperature effects on drying coefficients. J. Agric. Eng. Res. 1961, 6, 169–174. [Google Scholar]
- Moreira, R.; Chenlo, F.; Sineiro, J.; Arufe, S.; Sexto, S. Water sorption isotherms and air drying kinetics of fucus vesiculosus brown seaweed. J. Food Process. Preserv. 2017, 41, e12997. [Google Scholar] [CrossRef]
- Vega-Gálvez, A.; Ayala-Aponte, A.; Notte, E.; Fuente, L.; Lemus-Mondaca, R. Mathematical Modeling of Mass Transfer during Convective Dehydration of Brown Algae Macrocystis Pyrifera. Dry. Technol. 2008, 26, 1610–1616. [Google Scholar] [CrossRef]
- Djaeni, M.; Sari, D.A. Low temperature seaweed drying using dehumidified air. Procedia Env. Sci. 2015, 23, 2–10. [Google Scholar] [CrossRef]
- Uribe, E.; Vega-Gálvez, A.; Vásquez, V.; Lemus-Mondaca, R.; Callejas, L.; Pastén, A. Hot-air drying characteristics and energetic requirement of the edible brown seaweed Durvillaea antarctica. J. Food Process. Preserv. 2017, 41, e13313. [Google Scholar] [CrossRef]
- Gupta, S.; Cox, S.; Abu-Ghannam, N. Effect of different drying temperatures on the moisture and phytochemical constituents of edible Irish brown seaweed. Food Sci. Technol. 2011, 44, 1266–1272. [Google Scholar] [CrossRef]
- Oliveira, E.; Rosa, G.; Moraes, M.; Pinto, L. Characterization of thin layer drying of spirulina platensis utilizing perpendicular air flow. Bioresour. Technol. 2009, 100, 1297–1303. [Google Scholar] [CrossRef]
- Dissa, O.; Compaore, A.; Tiendrebeogo, E.; Koulidiati, J. An effective moisture diffusivity model deduced from experiment and numerical solution of mass transfer equations for a shrinkable drying slab of microalgae spirulina. Dry. Technol. 2014, 32, 1231–1244. [Google Scholar] [CrossRef]
- Fick, A.V. On liquid diffusion. Philos. Mag. 1855, 10, 30–39. [Google Scholar] [CrossRef]
- Sherwood, T.K. The drying of solids–I. Ind. Eng. Chem. 1932, 24, 307–310. [Google Scholar] [CrossRef]
- Lemus, R.A.; Pérez, M.; Andrés, A.; Roco, T.; Tello, C.M.; Vega, A. Kinetic study of dehydration and desorption isotherms of red alga Gracilaria. Food Sci. Technol. 2008, 41, 1592–1599. [Google Scholar] [CrossRef]
- Anderson, R.B. Modifications of the Brunauer, Emmett and Teller equation. J. Am. Chem. Soc. 1946, 68, 686–691. [Google Scholar] [CrossRef]
- Guillard, V.; Bourlieu, C.; Gontard, N. Food Structure and Moisture Transfer: A Modelling Approach; Springer: New York, NY, USA, 2013. [Google Scholar] [CrossRef]
- Neveux, N.; Yuen, A.K.L.; Jazrawi, C.; Magnusson, M.; Haynes, B.S.; Masters, A.F.; Montoya, A.; Paul, N.A.; Maschmeyer, T.; de Nys, R. Biocrude yield and productivity from the hydrothermal liquefaction of marine and freshwater green macroalgae. Bioresour. Technol. 2014, 155, 334–341. [Google Scholar] [CrossRef]
- Lawton, R.J.; de Nys, R.; Paul, N.A. Selecting reliable and robust freshwater macroalgae for biomass applications. PLoS ONE 2013, 8, e64168. [Google Scholar] [CrossRef]
- Vucko, M.; Cole, A.; Moorhead, J.; Pit, J.; de Nys, R. The freshwater macroalga Oedogonium intermedium can meet the nutritional requirements of the herbivorous fish Ancistrus cirrhosus. Algal Res. 2017, 27, 21–31. [Google Scholar] [CrossRef]
- Greenspan, L. Humidity set points of binary aqueous solutions. J. Res. Natl. Inst. Stand. Technol. 1976, 81, 89–96. [Google Scholar] [CrossRef]
- Walker, C.; Cole, A.; Sheehan, M. Modelling of thin layer drying of macroalgae. Presetend at the Asia Pacific Confederation of Chemical Engineering Congress 2015, Melbourne, Australia, 27 September–1 October 2015. [Google Scholar]
- Mohamed, L.A.; Kouhila, M.; Lahsasni, S.; Jamali, A.; Idlimam, A.; Rhazi, M.; Aghfir, M.; Mahrouz, M. Equilibrium moisture content and heat of sorption of Gelidium sesquipedale. J. Stored Prod. Res. 2005, 41, 199–209. [Google Scholar] [CrossRef]
- Al–Muhtaseb, A.H.; McMinn, W.A.M.; Magee, T.R.A. Moisture sorption isotherm characteristics of food products: A review. Food Bioprod. Process. 2002, 80, 118–128. [Google Scholar] [CrossRef]
- Kiranoudis, C.; Tsami, E.; Maroulis, Z.; Marinos-Kouris, D. Drying kinetics of some fruits. Dry. Technol. 1997, 15, 1399–1418. [Google Scholar] [CrossRef]
- Moussaoui, H.; Bahammou, Y.; Idlimam, A.; Lamharrar, A.; Abdenouri, N. Investigation of hygroscopic equilibrium and modeling sorption isotherms of the argan products: A comparative study of leaves, pulps, and fruits. Food Bioprod. Process. 2019, 114, 12–22. [Google Scholar] [CrossRef]
- Zomorodian, A.; Kavoosi, Z.; Momenzadeh, L. Determination of EMC isotherms and appropriate mathematical models for canola. Food Bioprod. Process. 2011, 89, 407–413. [Google Scholar] [CrossRef]
- Xanthopoulos, G.; Yanniotis, S.; Lambrinos, G.R. Water diffusivity and drying kinetics of air drying of figs. Dry. Technol. 2009, 27, 502–512. [Google Scholar] [CrossRef]
- Cárcel, J.; García-Pérez, J.; Riera, E.; Mulet, A. Influence of high intensity ultrasound on drying kinetics of persimmon. Dry. Technol. 2007, 25, 185–193. [Google Scholar] [CrossRef]
- Santacatalina, J.; Soriano, J.; Cárcel, J.; Garcia-Perez, J. Influence of air velocity and temperature on ultrasonically assisted low temperature drying of eggplant. Food Bioprod. Process. 2016, 100, 282–291. [Google Scholar] [CrossRef]
- Hassini, L.; Azzouz, S.; Peczalski, R.; Belghith, A. Estimation of potato moisture diffusivity from convective drying kinetics with correction for shrinkage. J. Food Eng. 2007, 79, 47–56. [Google Scholar] [CrossRef]
- Krokida, M.; Karathanos, V.; Maroulis, Z.; Marinos-Kouris, D. Drying kinetics of some vegetables. J. Food Eng. 2003, 59, 391–403. [Google Scholar] [CrossRef]
- Scala, K.; Crapiste, G. Drying kinetics and quality changes during drying of red pepper. Food Sci. Technol. 2008, 41, 789–795. [Google Scholar] [CrossRef]
- Rosa, D.; Cantú-Lozano, D.; Luna-Solano, G.; Polachini, T.; Telis-Romero, J. Mathematical modeling of orange seed drying kinetics. Ciênc. Agrotecnol. 2015, 39, 291–300. [Google Scholar] [CrossRef]






| Algae | Temperature (°C) | ||
|---|---|---|---|
| 35 | 45 | 55 | |
| U. ohnoi | |||
| A | 0.109 | 0.075 | 0.040 |
| B | 1.496 | 1.689 | 1.889 |
| C | 2.68 × 105 | 2.847 × 105 | 2.38 × 104 |
| R2 | 0.844 | 0.977 | 0.989 |
| O. intermedium | |||
| A | 0.069 | 0.077 | 0.106 |
| B | 0.824 | 0.845 | 0.894 |
| C | 13.39 | 21.04 | 5.29 |
| R2 | 0.881 | 0.967 | 0.999 |
| Material | Temperature(°C) | Relative Humidity (%) | Me (%db) |
|---|---|---|---|
| Apple [34] | 45 | 20–90 | 4–81 |
| Pear [34] | 45 | 19–93 | 2–73 |
| Argan (leaves) [35] | 40 | 7–90 | 3–30 |
| Canola [36] | 40 | 10–90 | 4–10 |
| O. intermedium [this study] | 45 | 10–50 | 6–12 |
| U. ohnoi [this study] | 45 | 10–50 | 10–60 |
| Arthrospira platensis [20] | 30 | 5–90 | 4–40 |
| Fucus vesiculosus [15] | 45 | 10–70 | 2–70 |
| Macrocystis pyrifera [16] | 50 | 10–70 | 5–200 |
| Agarophyton chilense [24] | 40 | 10–80 | 0.5–100 |
| Gelidium corneum [32] | 40 | 10–90 | 5–40 |
| Temperature (°C) | Radiative Heating: De (m2/s) | Convective Heating (0.7 m/s): De (m2/s) | ||
|---|---|---|---|---|
| U. ohnoi | O. intermedium | U. ohnoi | O. intermedium | |
| 40 | 3.18 × 10−8 | 2.32 × 10−8 | 1.17 × 10−7 | 5.66 × 10−8 |
| 50 | 5.47 × 10−8 | 3.63 × 10−8 | 1.40 × 10−7 | 6.66 × 10−8 |
| 60 | 8.75 × 10−8 | 4.82 × 10−8 | 1.48 × 10−7 | 8.94 × 10−8 |
| Biomaterial | Temperature (°C) | Air Velocity (m/s) | Diffusivity (m2/s) |
|---|---|---|---|
| Fig [37] | 45–65 | 1–5 | 3–16 × 10−10 |
| Persimmon [38] | 50 | 0–12 | 2.4–6 × 10−10 |
| O. intermedium [this study] | 40–60 | 0.7 | 5.7–8.9 × 10−8 |
| U. ohnoi [this study] | 40–60 | 0.7 | 1.2–1.5 × 10−7 |
| Arthrospira platensis [21] | 40–60 | 0–1.2 | 3.1–6.7 × 10−10 |
| Durvillaea antarctica [18] | 40–80 | 1.5 | 0.7–2.4 × 10−9 |
| Fucus vesiculosus [15] | 35–75 | 2 | 1–3 × 10−10 |
| Himanthalia elongata [19] | 25–40 | 2 | 5.6–12.2 × 10−7 |
| Macrocystis pyrifera [16] | 50–80 | 2.1 | 5.6–10.2 × 10−9 |
| Algae | Ea (kJ/mol) | D0 (m2/s) | R2 |
|---|---|---|---|
| U. ohnoi | 41.3 | 0.24 | 0.968 |
| O. intermedium | 34.1 | 0.011 | 0.948 |
© 2020 by the authors. Licensee MDPI, Basel, Switzerland. This article is an open access article distributed under the terms and conditions of the Creative Commons Attribution (CC BY) license (http://creativecommons.org/licenses/by/4.0/).
Share and Cite
Walker, C.; Cole, A.; Antunes, E.; Sheehan, M. Equilibrium Moisture and Drying Kinetics Modelling of Macroalgae Species Ulva ohnoi and Oedogonium intermedium. Clean Technol. 2020, 2, 225-239. https://doi.org/10.3390/cleantechnol2020015
Walker C, Cole A, Antunes E, Sheehan M. Equilibrium Moisture and Drying Kinetics Modelling of Macroalgae Species Ulva ohnoi and Oedogonium intermedium. Clean Technologies. 2020; 2(2):225-239. https://doi.org/10.3390/cleantechnol2020015
Chicago/Turabian StyleWalker, Craig, Andrew Cole, Elsa Antunes, and Madoc Sheehan. 2020. "Equilibrium Moisture and Drying Kinetics Modelling of Macroalgae Species Ulva ohnoi and Oedogonium intermedium" Clean Technologies 2, no. 2: 225-239. https://doi.org/10.3390/cleantechnol2020015
APA StyleWalker, C., Cole, A., Antunes, E., & Sheehan, M. (2020). Equilibrium Moisture and Drying Kinetics Modelling of Macroalgae Species Ulva ohnoi and Oedogonium intermedium. Clean Technologies, 2(2), 225-239. https://doi.org/10.3390/cleantechnol2020015
