Change Characteristics and Driving Factors of Molybdenum Content in Purple Soil from Southwestern China
Abstract
1. Introduction
2. Materials and Methods
2.1. Sample Collection and Preservation
2.2. Determination of Soil Chemical Properties
2.3. Determination of Mo Content in Soil
2.4. Statistical Analysis
3. Results
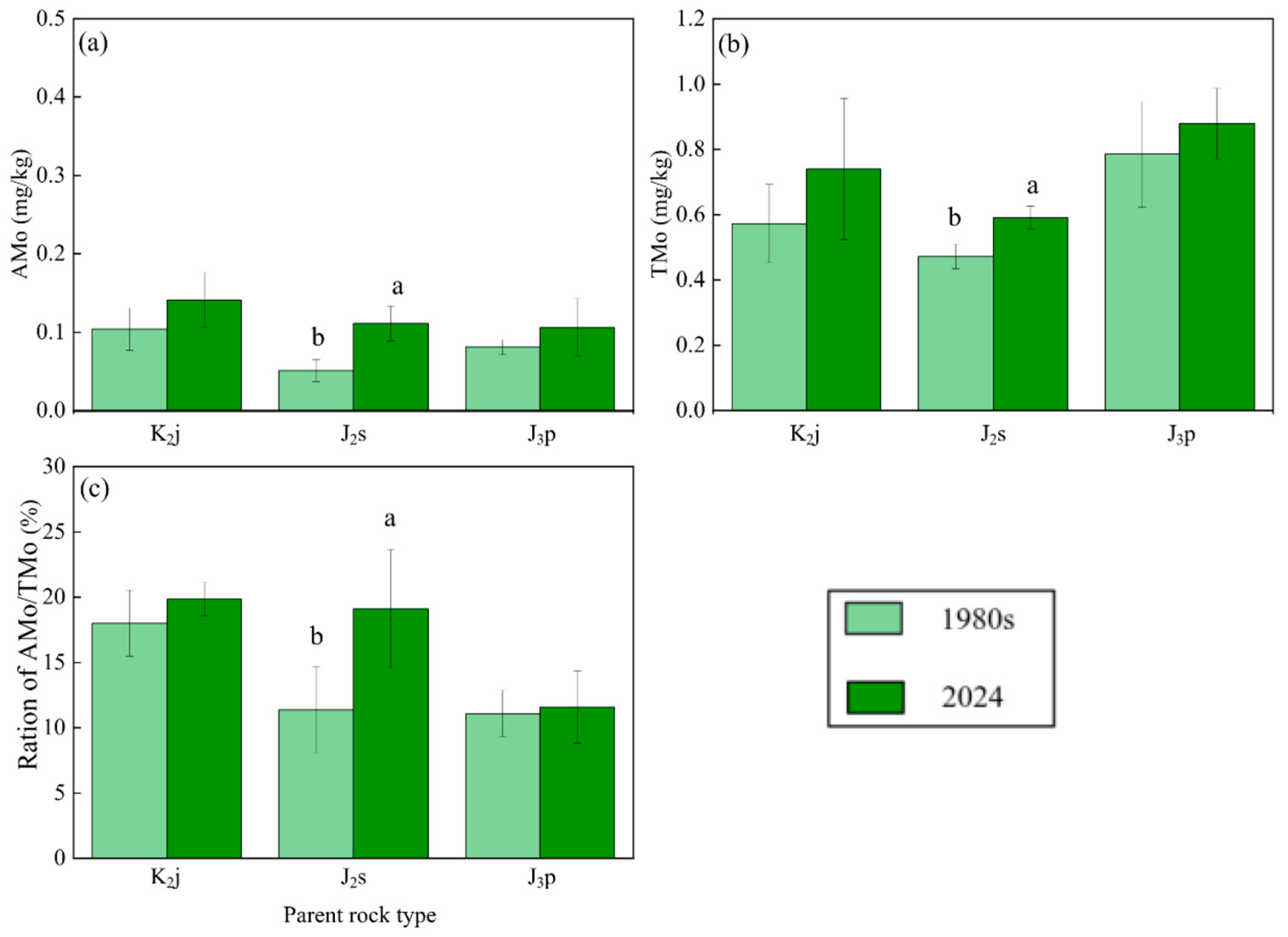
3.1. Characteristics of Soil Mo Content
3.1.1. Characteristics of Different Parent Rock Types in Soil Mo Content
3.1.2. Characteristics of Temporal Variation in Soil Mo Content
3.2. Driving Factors of Soil Mo Content Change
4. Discussion
4.1. Effects of Parent Rock Type on Soil Mo Contents
4.2. Effects of pH on Soil Mo Contents
4.3. Effects of Soil Organic Matter and Other Nutrients on Soil Mo
5. Conclusion
Supplementary Materials
Author Contributions
Funding
Data Availability Statement
Acknowledgments
Conflicts of Interest
References
- Mao, X.; Liu, L.; Cheng, X.; Hu, Q.; Xiao, F.; Ni, W. Geochemistry and spatial distribution of Se element in soils of typical Se-rich areas in Xinmi, Henan province. Geol. Bull. China 2021, 40, 1664–1670. [Google Scholar] [CrossRef]
 - Baud, A.; Francus, P.; Smol, J.P.; Antoniades, D.; Gregory-Eaves, I. Geochemical changes in Eastern Canadian lake sediment cores spanning the last ∼150 years highlight a relative shift towards increased metals and erosive materials. CATENA 2023, 225, 107012. [Google Scholar] [CrossRef]
 - Behera, S.K.; Shukla, A.K.; Pachauri, S.P.; Shukla, V.; Sikaniya, Y.; Srivastava, P.C. Spatio-temporal variability of available sulphur and micronutrients (Zn, Fe, Cu, Mn, B and Mo) in soils of a hilly region of northern India. CATENA 2023, 226, 107082. [Google Scholar] [CrossRef]
 - Barron, A.R.; Wurzburger, N.; Bellenger, J.P.; Wright, S.J.; Kraepiel, A.M.L.; Hedin, L.O. Molybdenum limitation of asymbiotic nitrogen fixation in tropical forest soils. Nat. Geosci. 2009, 2, 42–45. [Google Scholar] [CrossRef]
 - Wurzburger, N.; Bellenger, J.P.; Kraepiel, A.M.L.; Hedin, L.O. Molybdenum and Phosphorus Interact to Constrain Asymbiotic Nitrogen Fixation in Tropical Forests. PLoS ONE 2012, 7, e33710. [Google Scholar] [CrossRef]
 - Mendel, R.R. The Molybdenum Cofactor *. J. Biol. Chem. 2013, 288, 13165–13172. [Google Scholar] [CrossRef]
 - Stiefel, E.I. The biogeochemistry of molybdenum and tungsten. Met. Ions Biol. Syst. 2002, 39, 1–29. [Google Scholar] [CrossRef] [PubMed]
 - Mendel, R.R.; Hänsch, R. Molybdoenzymes and molybdenum cofactor in plants. J. Exp. Bot. 2002, 53, 1689–1698. [Google Scholar] [CrossRef] [PubMed]
 - Li, P.; Wu, H.; Guan, H.; Xu, J.; Wang, Y.; Shen, S.; Wang, Y.; Ge, H. Molybdenum distribution characteristics in soils of agricultural land in Huaibei plain of Anhui province and influencing factors. Rock Miner. Anal. 2023, 42, 361–370. [Google Scholar] [CrossRef]
 - Jean, M.-E.; Phalyvong, K.; Forest-Drolet, J.; Bellenger, J.-P. Molybdenum and phosphorus limitation of asymbiotic nitrogen fixation in forests of Eastern Canada: Influence of vegetative cover and seasonal variability. Soil Biol. Biochem. 2013, 67, 140–146. [Google Scholar] [CrossRef]
 - Liu, C. Study on Effect of Molybdenum and Zinc Combination on Winter Wheat and Its Mechanism. Ph.D. Thesis, Huazhong Agricultural University, Wuhan, China, 2021. [Google Scholar]
 - Smith, D.B.; Cannon, W.F.; Woodruff, L.G.; Solano, F.; Ellefsen, K.J. Geochemical and Mineralogical Maps for Soils of the Conterminous United States; Open-File Report 2014-1082; Geological Survey: Reston, VA, USA, 2014; p. 399.
 - Reimann, C.; Fabian, K.; Birke, M.; Filzmoser, P.; Demetriades, A.; Négrel, P.; Oorts, K.; Matschullat, J.; de Caritat, P.; Albanese, S.; et al. GEMAS: Establishing geochemical background and threshold for 53 chemical elements in European agricultural soil. Appl. Geochem. 2018, 88, 302–318. [Google Scholar] [CrossRef]
 - Wu, Z.; Hou, Q.; Yang, Z.; Yu, T.; Li, D.; Lin, K.; Ma, X. Identification of factors driving the spatial distribution of molybdenum (Mo) in topsoil in the Longitudinal Range-Gorge Region of Southwestern China using the Geodetector model. Ecotoxicol. Environ. Saf. 2024, 271, 115846. [Google Scholar] [CrossRef]
 - Hu, R.; Liu, Y.; Tang, C.; Xiao, Y.; Xiang, P.; Rang, Z.; Zhou, Q.; Li, J.; Li, Q. Vertical Distribution of Boron and Molybdenum in Soil and Their Relationship with Organic Matter in Paddy-Tobacco Growing Areas. Chin. Tob. Sci. 2020, 41, 9–15. [Google Scholar] [CrossRef]
 - Peng, Y.; Yu, X.; Li, Q.; Feng, L.; Zhang, X.; Wang, Y.; Wang, C. Spatial distribution and influencing factors of soil available microelements in high altitude tobacco planting area in Southwest Sichuan. Chin. Tob. Sci. 2018, 39, 39–47. [Google Scholar] [CrossRef]
 - Han, Z.; Wan, D.; Tian, H.; He, w.; Wang, Z.; Liu, Q. Pollution Assessment of Heavy Metals in Soils and Plants around a Molybdenum Mine in Central China. Pol. J. Environ. Stud. 2018, 28, 123–133. [Google Scholar] [CrossRef]
 - Imran, M.; Hussain, S.; He, L.; Ashraf, M.F.; Ihtisham, M.; Warraich, E.A.; Tang, X. Molybdenum-Induced Regulation of Antioxidant Defense-Mitigated Cadmium Stress in Aromatic Rice and Improved Crop Growth, Yield, and Quality Traits. Antioxidants 2021, 10, 838. [Google Scholar] [CrossRef]
 - Frascoli, F.; Hudson-Edwards, K.A. Geochemistry, Mineralogy and Microbiology of Molybdenum in Mining-Affected Environments. Minerals 2018, 8, 42. [Google Scholar] [CrossRef]
 - Brandely, M.; Coussy, S.; Blanc, D.; Gourdon, R. Assessment of Molybdenum and Antimony speciation in excavated rocks and soils from the Parisian basin using mineralogical and chemical analyses coupled to geochemical modelling. Appl. Geochem. 2022, 136, 105129. [Google Scholar] [CrossRef]
 - Parnell, J.; Spinks, S.; Andrews, S.; Thayalan, W.; Bowden, S. High Molybdenum availability for evolution in a Mesoproterozoic lacustrine environment. Nat. Commun. 2015, 6, 6996. [Google Scholar] [CrossRef] [PubMed]
 - Jiang, W.; Yang, Z.; Yu, T.; Hou, Q.; Zhong, C.; Zheng, G.; Yang, Z.; Li, J. Evaluation of the potential effects of soil properties on molybdenum availability in soil and its risk estimation in paddy rice. J. Soils Sediments 2015, 15, 1520–1530. [Google Scholar] [CrossRef]
 - Liu, B.; Wu, Q. Molybdenum content of soils in Guangxi and the factors affecting it. J. South Agric. 1996, 3, 132–134. [Google Scholar]
 - Yuan, Y.; Liu, S.; Luo, K.; Liu, Y.; Tang, Y. Study on the Spatial Variation and Driving Factors of Copper, Cobalt, Molybdenum and Zinc in Top Soil of Typical Agricultural Region in Sichuan Basin. Geol. J. China Univ. 2022, 28, 506–515. [Google Scholar] [CrossRef]
 - Liu, J.; Zhou, L.; Algeo, T.J.; Wang, X.; Wang, Q.; Wang, Y.; Chen, M. Molybdenum isotopic behavior during intense weathering of basalt on Hainan Island, South China. Geochim. Cosmochim. Acta 2020, 287, 180–204. [Google Scholar] [CrossRef]
 - Yang, P.T.; Wang, S.L. Sorption and speciation of molybdate in soils: Implications for molybdenum mobility and availability. J. Hazard Mater. 2021, 408, 124934. [Google Scholar] [CrossRef]
 - Wen, X.; Li, L.; Gao, Y.; Lu, X.; Jie, Y.; Xu, Z. Distribution of Soil Available Molybdenum and its Relationship with Soil Factors in the Tobacco Planting Areas of Qujing. Acta Pedol. Sin. 2019, 50, 7. [Google Scholar]
 - Xia, Y.; Song, Y.; Hou, J.; Zhao, R.; Wang, X. Distribution Law and Influencing Factors of Molybdenum in Soils and Crops in Luoyang, Henan Province. Rock Miner. Anal. 2021, 40, 13. [Google Scholar] [CrossRef]
 - Liu, G. Erosion Regularity of Purple Soil and Its Control Technology; Sichuan University Press: Chengdu, China, 2008. [Google Scholar]
 - GB7852-87; Determination of Total Phosphorus in Forest Soil. Standardization Administration of China: Beijing, China, 1988.
 - GB7854-87; Determination of Total Potassium in Forest Soils. Standardization Administration of China: Beijing, China, 1987.
 - LY/T1228-2015; Nitrogen Determination Methods of Forest Soil. State Forestry Administration: Beijing, China, 2015.
 - GB12297-1990; Method for the Determination of Available Phosphorus in Calcareous Soil. Standardization Administration of China: Beijing, China, 1990.
 - NY/T889-2004; Determination of Exchangeable Potassium and NON-exchangeable Potassium Content in Soil. Agriculture Industry Standard: Beijing, China, 2005.
 - HJ1315-2023; Soil And Sediment—Determination of 19 Total Metal Elements—Inductively Coupled Plasma Mass Spectrometry. China Ministry of Ecology and Environment: Beijing, China, 2023.
 - NY/T 1121.9-2023; Soil Testing-Part 9: Method for Determination of Soil Available Molybdenum. Ministry of Agriculture and Rural Affairs of the People’s Republic of China: Beijing, China, 2023.
 - Liu, B.; Sha, M.; Xie, C.; Zhou, Q.; Wei, X.; Zhou, F. Geochemical characteristics of soils elenium and influencing factors of selenium bioavailability in riceroot soils in Qingxi area, GanxianCounty, Jiangxi Province. Rock Miner. Anal. 2021, 40, 740–750. [Google Scholar] [CrossRef]
 - Liu, Z.; Zhu, Q.; Tang, L.; Xu, J.; Yin, C. Geographical distribution of trace elements deficient soils in China. Acta Petrol. Sin. 1982, 19, 209–223. [Google Scholar]
 - Liu, Z.; Zhu, Q. Contents and distribution of Mo in soils of China. Acta Sci. Circumstantiae 1990, 10, 132–137. [Google Scholar] [CrossRef]
 - Lingang, X.U.; Lehmann, B. Mo and Mo stable isotope geochemistry:Isotope system, analytical technique and applications to geology. Miner. Depos. 2011, 30, 103–124. [Google Scholar]
 - Gaopin, H. Some problems on using petrochemistry methods in restoring the metamorphic rocks to their original natures. Acta Petrol. Mineral. Anal. 1984, 3, 224–230. [Google Scholar]
 - Ye, X.; Guo, Y.; Wang, G.; Ge, H. Investigation and analysis of soil plantations of molybdenum in the Tieguanyin tea Fujian Province. J. Plant Nutr. Fertil. 2011, 17, 1372–1378. [Google Scholar] [CrossRef]
 - Ma, S.; Kuang, F.; Tang, J.; Wang, Y.; Wu, P.; Zhu, B. Effects of Planting Patterns on Soil Structure and Fertility of Calcareous Purple Soil in Hilly Areas of Central Sichuan Basin. Acta Petrol. Sin. 2021, 58, 935–947. [Google Scholar] [CrossRef]
 - Ding, X.; Yan, N.; Wang, Z.; Li, Z.; Huang, R.; Wang, Y.; Dai, W.; Gao, M. Effects of Four Amendments on Fertility and Labile Organic Carbon Fractions of Acid Purple Soil. Environ. Sci. 2024, 45, 1655–1664. [Google Scholar]
 - Zhang, L.; Cai, Z.; Wang, H.; Yu, Z.; Han, T.; Liu, K.; Liu, L.; Huang, J.; Wen, S.; Zhang, H. Distribution characteristics of effective medium and micronutrient element contents in paddy soils of China. Trans. Chin. Soc. Agric. Eng. 2020, 36, 62–70. [Google Scholar] [CrossRef]
 - Li, S.; Li, Q.; Zhang, H.; Wang, C.; Xie, Y.; Li, B.; Jiang, X. Areas with higher pH generally reduce the solubility of soil trace elements, resulting in a decrease in the content of available molybdenum. Soils 2016, 48, 1215–1222. [Google Scholar] [CrossRef]
 - Yu, J.; Liu, J.; Wang, J.; Qi, X.; Wang, Y. Effects of soil pH value on the effective content of nutrient elements in typical black soil. Rock Miner. Anal. 2003, 34, 404–408. [Google Scholar] [CrossRef]
 - Blake, L. Acid Rain Adn Soil Acidification. In Encyclopedia of Soils in the Environmrnt; Academic Press: Cambridge, MA, USA, 2005; pp. 1–11. [Google Scholar]
 - Guo, J.H.; Liu, X.J.; Zhang, Y.; Shen, J.L.; Han, W.X.; Zhang, W.F.; Christie, P.; Goulding, K.W.T.; Vitousek, P.M.; Zhang, F.S. Significant Acidification in Major Chinese Croplands. Science 2010, 327, 1008–1010. [Google Scholar] [CrossRef]
 - Zhang, X.; Guo, J.; Vogt, R.D.; Mulder, J.; Wang, Y.; Qian, C.; Wang, J.; Zhang, X. Soil acidification as an additional driver to organic carbon accumulation in major Chinese croplands. Geoderma 2020, 366, 114234. [Google Scholar] [CrossRef]
 - Shinji, M.; Hideki, S.; Takashi, S.; Ikuo, M.; Ginting, J.K.; Rudy, S.G. Effects of Acid Soils on Plant Growth and Successful Revegetation in the Case of Mine Site. In Soil pH for Nutrient Availability and Crop Performance; Suarau, O., Ed.; IntechOpen: Rijeka, Croatia, 2017; p. Chapter 2. [Google Scholar]
 - Mccauley, A.; Jones, C.; Jacobsen, J.S. Soil pH and Organic Matter. Nutr. Manag. Modul. 2009, 8, 1–12. [Google Scholar]
 - Dinesh, R.; Srinivasan, V.; Srambikkal, H.; Muthuswamy, A. Massive phosphorus accumulation in soils: Kerala’s continuing conundrum. Curr. Sci. 2014, 106, 343–344. [Google Scholar]
 - Mu, G.; Luo, J.; Cai, L.; Jiang, H.; He, M.; Wang, Q.; Wang, S.; Wang, H. Relationship between soil trace elements with organic matter and pH in Jiexi County, Guangdong Province. Chin. J. Agric. Resour. Reg. Plan. 2019, 40, 208–215. [Google Scholar]
 - Deng, X.; Xie, Z. Distribution and application effect of soil molybdenum in Hubei Province. Soils Fertil. Sci. China 1994, 18–22. [Google Scholar]
 - Hou, M.; Zhang, L.; Wang, Z.; Yang, D.; Wang, L.; Xiu, W.; Zhao, J. Estimation of Fertilizer Usage from M ain Crops in China. J. Agric. Resour. Environ. 2017, 34, 360–367. [Google Scholar] [CrossRef]
 - Song, H.; Li, T.; Liu, Y.; Huang, L.; Yang, L. Temporal Variation of Main Grain Crops Yield, Import and Exportand Fertilizer Consumption of China in the Past 20 Years. J. Soil Water Conserv. 2023, 37, 332–339. [Google Scholar] [CrossRef]
 - Rebafka, F.P.; Ndunguru, B.J.; Marschner, H. Single superphosphate depresses molybdenum uptake and limits yield response to phosphorus in groundnut (Arachis hypogaea L.) grown on an acid sandy soil in Niger, West Africa. Fertil. Res. 1993, 34, 233–242. [Google Scholar] [CrossRef]
 - Wang, Y.; Liang, H.; Xu, Y.; Dong, J.; Wang, C.; Zhang, J.; Peng, D.; Li, Z.; Bao, Z.; Wang, H. Contents of Available M icroelements in Typical Tobacco--planting Soils of Shandong Province. Soils 2014, 46, 172–177. [Google Scholar] [CrossRef]
 - Xu, X.; Zhang, S.; Yu, N.; Pu, Y.; Li, Y.; Jia, Y.; Li, T. Soil Available Iron Spatial Distribution and Influencing Factors Analysis Based on GIS in Middle Reaches of Tuojian. S. China J. Agric. Sci. 2012, 25, 5. [Google Scholar] [CrossRef]
 - Zhang, H.; Zhang, X.; Li, Q.; Wang, C.; Zhou, Z.; Xiang, J.; Yi, M.; Yang, Y. Spatial variability of soil available microelement and its influencing factors in Yibin. Acta Pedol. Sin. 2017, 48, 575–582. [Google Scholar] [CrossRef]
 - Sun, W.; Selim, H.M. Molybdenum-phosphate retention and transport in soils. Geoderma 2017, 308, 60–68. [Google Scholar] [CrossRef]
 - Cheng, S.; Zhang, J. Effect of different phosphorus (P) levels on molybdenum (Mo) availability in soil. J. Anhui Agric. Sci. 1989, 17, 37–43. [Google Scholar]
 - Liu, P.; Yang, Y. Research progress of molybdenum in soil and its plant effects. J. Agro-Environ. Sci. 2001, 20, 280–282. [Google Scholar] [CrossRef]
 - Wu, S.; Wu, J.; Zhao, K.; Zhang, J.; Li, S.; Huang, M.; Li, Y. Effects of irrigation, tillage, and nitrogen application on soil ecological stoichiometry characteristics in dryland. Acta Ecol. Sin. 2024, 44, 10377–10390. [Google Scholar] [CrossRef]
 - Cheng, X.; Sun, J.; Jia, X.; Liu, X.; Zhao, Y. Pollution characteristics and health risk assessment of heavy metals in farmland soil around the molybdenum mining area in Luanchuan, Henan Province. Geol. China 2023, 50, 1871–1886. [Google Scholar] [CrossRef]
 - Li, L.; Hu, C.; Tan, Q.; Sun, X. Responses and tolerance mechanisms of plants to molybdenum pollution in soil:A review. J. Argo-Environ. Sci. 2022, 41, 700–706. [Google Scholar]
 - Edwin, G.A.; Muthu, N. Soil Fertility, Integrated Management, and Sustainability. In Life on Land; Leal Filho, W., Azul, A.M., Brandli, L., Lange Salvia, A., Wall, T., Eds.; Springer International Publishing: Cham, Switzerland, 2021; pp. 939–951. [Google Scholar]
 - Shi, T.-S.; Collins, S.L.; Yu, K.; Peñuelas, J.; Sardans, J.; Li, H.; Ye, J.-S. A global meta-analysis on the effects of organic and inorganic fertilization on grasslands and croplands. Nat. Commun. 2024, 15, 3411. [Google Scholar] [CrossRef]
 - Zheng, X.; Wei, L.; Lv, W.; Zhang, H.; Zhang, Y.; Zhang, H.; Zhang, H.; Zhu, Z.; Ge, T.; Zhang, W. Long-term bioorganic and organic fertilization improved soil quality and multifunctionality under continuous cropping in watermelon. Agric. Ecosyst. Environ. 2024, 359, 108721. [Google Scholar] [CrossRef]
 - Zhang, Y.; Jing, Q.; Cui, J.; Chen, G.; Zhao, X.; Hou, L. Effects of molybdenum-rich super absorbent polymers on soil water retention and soybean seedling growth in typical soils of Northeast China. Sci. Soil Water Conserv. 2024, 22, 63–69. [Google Scholar] [CrossRef]
 - Rana, M.S.; Alshehri, D.; Wang, R.L.; Imran, M.; Abdellah, Y.A.Y.; Rahman, F.U.; Alatawy, M.; Ghabban, H.; Abeed, A.H.A.; Hu, C.X. Effect of molybdenum supply on crop performance through rhizosphere soil microbial diversity and metabolite variation. Front. Plant Sci. 2024, 15, 1519540. [Google Scholar] [CrossRef]
 - Padhi, P.P.; Mishra, A.P. The role of molybdenum in crop production. J. Pharmacogn. Phytochem. 2019, 8, 1400–1403. [Google Scholar]
 - Graf, D.L. Chemical Equilibria in Soils. Clays Clay Miner. 1979, 28, 319. [Google Scholar] [CrossRef]
 - Smith, K.S.; Balistrieri, L.S.; Smith, S.M.; Severson, R.C.; Gupta, U.C. Distribution and Mobility of Molybdenum in the Terrestrial Environment; Cambridge University Press: Cambridge, UK, 1997; pp. 23–46. [Google Scholar]
 







| Parent Rock Type | TMo (mg/kg) | Amo (mg/kg) | 
|---|---|---|
| Parafoliate (K2j) | 0.74 ± 0.20 | 0.14 ± 0.03 | 
| Mudstone (J2s) | 0.59 ± 0.03 | 0.11 ± 0.02 | 
| Shale (J3p) | 0.88 ± 0.10 | 0.07 ± 0.01 | 
| Rhyolite | 2.66 ± 2.46 | 0.15 ± 0.13 | 
| Diorite | 5.10 ± 6.05 | 0.29 ± 0.35 | 
| Sandstone | 0.84 ± 0.69 | 0.05 ± 0.03 | 
| Metamorphic rock | 1.79 ± 0.65 | 0.09 ± 0.06 | 
| Tuff | 2.38 ± 1.76 | 0.19 ± 0.12 | 
| Granite | 2.34 ± 3.40 | 0.18 ± 0.25 | 
| Group | 1980s | 2024 | Changes | 
|---|---|---|---|
| K2j | 4.82 ± 0.22 c | 4.85 ± 0.15 c | +0.03 | 
| J2s | 7.08 ± 0.09 b | 6.30 ± 0.24 b | −0.78 | 
| J3p | 8.15 ± 0.1 a | 7.68 ± 0.26 a | −0.47 | 
Disclaimer/Publisher’s Note: The statements, opinions and data contained in all publications are solely those of the individual author(s) and contributor(s) and not of MDPI and/or the editor(s). MDPI and/or the editor(s) disclaim responsibility for any injury to people or property resulting from any ideas, methods, instructions or products referred to in the content.  | 
© 2025 by the authors. Licensee MDPI, Basel, Switzerland. This article is an open access article distributed under the terms and conditions of the Creative Commons Attribution (CC BY) license (https://creativecommons.org/licenses/by/4.0/).
Share and Cite
Li, X.; Zhou, T.; Li, C.; Wang, X.; Deng, L.; Cui, R.; Sun, X.; Liu, G. Change Characteristics and Driving Factors of Molybdenum Content in Purple Soil from Southwestern China. Soil Syst. 2025, 9, 91. https://doi.org/10.3390/soilsystems9030091
Li X, Zhou T, Li C, Wang X, Deng L, Cui R, Sun X, Liu G. Change Characteristics and Driving Factors of Molybdenum Content in Purple Soil from Southwestern China. Soil Systems. 2025; 9(3):91. https://doi.org/10.3390/soilsystems9030091
Chicago/Turabian StyleLi, Xueqin, Tao Zhou, Chunpei Li, Xuan Wang, Limei Deng, Rongyang Cui, Xiaolin Sun, and Gangcai Liu. 2025. "Change Characteristics and Driving Factors of Molybdenum Content in Purple Soil from Southwestern China" Soil Systems 9, no. 3: 91. https://doi.org/10.3390/soilsystems9030091
APA StyleLi, X., Zhou, T., Li, C., Wang, X., Deng, L., Cui, R., Sun, X., & Liu, G. (2025). Change Characteristics and Driving Factors of Molybdenum Content in Purple Soil from Southwestern China. Soil Systems, 9(3), 91. https://doi.org/10.3390/soilsystems9030091
        
