Spatiotemporal Variability of Soil Water Repellency in Urban Parks of Berlin
Abstract
1. Introduction
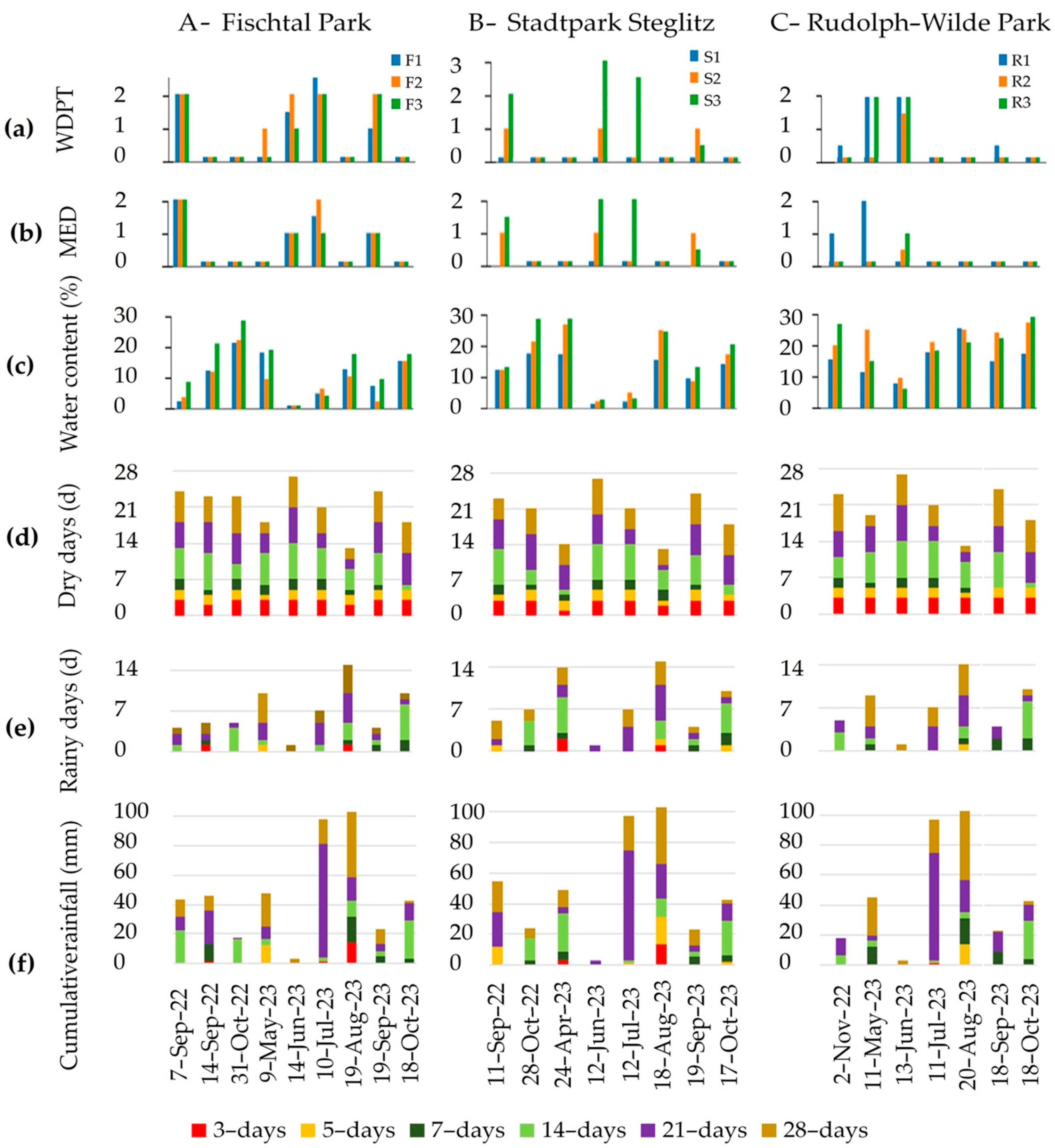
- An increase in soil water content reduces both the persistence and severity of soil water repellency, as hydrophobic compounds become more soluble or are displaced by water films.
- The persistence and severity of soil water repellency increase with increasing soil organic carbon content (TOC), particularly in topsoils of urban parks in Berlin, due to the accumulation of hydrophobic compounds.
- The amount and distribution of rainfall control the seasonal dynamics of soil water repellency with prolonged dry periods intensifying repellency and frequent wetting events mitigating it.
- In the topsoils of urban parks in Berlin, soil water repellency fluctuates with temperature variations, where higher maximum temperatures (e.g., during summer dry spells) enhance the volatilization and subsequent reformation of hydrophobic compounds. This process influences the short-term dynamics of repellency, particularly in response to preceding rainfall patterns and soil moisture conditions.
2. Material and Methods
2.1. Study Area
2.2. Soil Sampling
2.3. Soil Water Repellency Analysis
2.4. Total Organic Carbon and Particle Size Distribution
2.5. Antecedent Rainfall, Temperature, and Dry Days
2.6. Statistical Analysis
3. Results
3.1. Soils’ Water Repellency and Water Content

3.2. Soils’ Total Organic Carbon Content and Particle Size Distribution
3.3. Relation Between TOC Content and Soil Particle Size Distribution to Soil Water Repellency
3.4. Spatiotemporal Variations of Soil Water Repellency and Soil Water Content
3.5. Dynamics of Soil Water Repellency and Its Interaction with Water Content
3.6. The Correlation Between Soil Water Repellency, Water Content and Weather
3.7. Relation Between Samples’ Water Content to the Occurrence of Dry Days, Temperature, and Rainfall Antecedent to the Sampling
4. Discussion
4.1. Spatiotemporal Changes in Soil Water Repellency
4.2. Factors Controlling Soil Water Repellency
5. Conclusions
Author Contributions
Funding
Data Availability Statement
Acknowledgments
Conflicts of Interest
Appendix A
| Sampling Date | WDPTact | MEDact | Water Content |
|---|---|---|---|
| Significantly Different from the Sampling Date of: | |||
| Dry sampling date (d) | |||
| September 2022 (d1) | w1, w3, w4, w5 | w1, w3, w4, w5 | w1, w2, w3, w4, w5, d3 |
| May 2023 (d2) | w1, w3, w4, w5 | w1, w4, w5 | d3, d4 |
| June 2023 (d3) | w1, w2, w3, w4, w5 | w1, w2, w3, w4, w5 | w1, w2, w3, w4, w5, d1, d2, d5 |
| July 2023 (d4) | w1, w4, w5 | w1, w4, w5 | w1, w2, w3, w4, w5, d2 |
| September 2023 (d5) | w1, w4, w5 | w1, w4, w5 | w1, w2, w3, w4, w5 |
| Wet sampling date (w) | |||
| October 2022 (w1) | d1, d2, d3, d4, d5 | d1, d2, d3, d4, d5 | d1, d3, d4, d5 |
| November 2022 (w2) | d3 | d3 | d1, d3, d4, d5 |
| April 2023 (w3) | d1, d2, d3 | d1, d3 | d1, d3, d4, d5 |
| August 2023 (w4) | d1, d2, d3, d4, d5 | d1, d2, d3, d4, d5 | d1, d3, d4, d5 |
| October 2023 (w5) | d1, d2, d3, d4, d5 | d1, d2, d3, d4, d5 | d1, d3, d4, d5 |
Appendix B
| Soil Sampling Site | WDPTact | MEDact | Water Content |
|---|---|---|---|
| Significantly Different from the Sampling Site of: | |||
| S1 | F1, F2, F3 | F1, F2, F3 | R2, R3 |
| F2 | S1, R2, F5, R5, | R2 | R2, R3 |
| R2 | F2 | F2 | S1, S2, F1, F2, F3, F4, R4, F5, R5, |
| R3 | - | - | S1, F1, F2, F4, R4, F5, R5, |
| F4 and R4 | - | - | S2, S3, F3, R1, R2, R3 |
References
- Angelo, H. How Green Became Good: Urbanized Nature and the Making of Cities and Citizens; University of Chicago Press: Chicago, IL, USA, 2021. [Google Scholar]
- Pereira, P.; Inácio, M.; Karnauskaitė, D.; Bogdzevič, K.; Gomes, E.; Kalinauskas, M.; Barcelo, D. Nature-based solutions impact on urban environment chemistry: Air, soil, and water. In Nature-Based Solutions for Flood Mitigation: Environmental and Socio-Economic Aspects; Pereira, P., Ed.; Springer: Cham, Switzerland, 2021; pp. 79–137. [Google Scholar]
- Sadler, J.; Bates, A.D.; Hale, J.A.; James, P.H. Bringing cities alive: The importance of urban green spaces for people and biodiversity. In Urban Ecology; Sadler, J., Bates, A.D., Hale, J.A., James, P.H., Eds.; Springer: Dordrecht, The Netherlands, 2010; pp. 230–260. [Google Scholar]
- Elderbrock, E.M. No Walk in the Park: Urban Green Space Planning for Health Equity and Environmental Justice. Doctoral Dissertation, University of Oregon, Eugene, OR, USA, 2023. [Google Scholar]
- Khanna, R.; Gahletia, S.; Prusty, A. Improving urban health in India: Promising solutions for rapid urbanization. Int. J. Sustain. Infrastruct. Cities Soc. 2023, 8, 22–37. [Google Scholar]
- Koriesh, E.M.; Abo-Soud, I.H. Facing climate change: Urban gardening and sustainable agriculture. In Climate Change Impacts on Agriculture and Food Security in Egypt: Land and Water Resources—Smart Farming—Livestock, Fishery, and Aquaculture; Koriesh, E.M., Abo-Soud, I.H., Eds.; Springer: Cham, Switzerland, 2020; pp. 345–419. [Google Scholar]
- Al-Kodmany, K. Greenery-covered tall buildings: A review. Buildings 2023, 13, 2362. [Google Scholar] [CrossRef]
- Reyes-Riveros, R.; Altamirano, A.; De La Barrera, F.; Rozas-Vásquez, D.; Vieli, L.; Meli, P. Linking public urban green spaces and human well-being: A systematic review. Urban For. Urban Green. 2021, 61, 127105. [Google Scholar]
- Enssle, F.; Kabisch, N. Urban green spaces for the social interaction, health, and well-being of older people—An integrated view of urban ecosystem services and socio-environmental justice. Environ. Sci. Policy 2020, 109, 36–44. [Google Scholar]
- Palliwoda, J.; Priess, J.A. What do people value in urban green? Linking characteristics of urban green spaces to users’ perceptions of nature benefits, disturbances, and disservices. Ecol. Soc. 2021, 26, 28. [Google Scholar] [CrossRef]
- Colding, J.; Gren, Å.; Barthel, S. The incremental demise of urban green spaces. Land 2020, 9, 162. [Google Scholar] [CrossRef]
- Upadhyay, R.K. Markers for global climate change and its impact on social, biological, and ecological systems: A review. Am. J. Clim. Change 2020, 9, 159. [Google Scholar]
- Strzepek, K.; Yohe, G.; Neumann, J.; Boehlert, B. Characterizing changes in drought risk for the United States from climate change. Environ. Res. Lett. 2010, 5, 044012. [Google Scholar]
- Kim, C.J.; Park, M.J.; Lee, J.H. Analysis of climate change impacts on the spatial and frequency patterns of drought using a potential drought hazard mapping approach. Int. J. Climatol. 2014, 34, 61–80. [Google Scholar]
- Bouabdelli, S.; Zeroual, A.; Meddi, M.; Assani, A. Impact of temperature on agricultural drought occurrence under the effects of climate change. Theor. Appl. Climatol. 2022, 148, 191–209. [Google Scholar]
- Lal, R. Restoring soil quality to mitigate soil degradation. Sustainability 2015, 7, 5875–5895. [Google Scholar] [CrossRef]
- Menzies Pluer, E.G.; Schneider, R.L.; Morreale, S.J.; Liebig, M.A.; Li, J.; Li, C.X.; Walter, M.T. Returning degraded soils to productivity: An examination of the potential of coarse woody amendments for improved water retention and nutrient holding capacity. Water Air Soil Pollut. 2020, 231, 15. [Google Scholar] [CrossRef]
- Liu, S.; Lei, Y.; Zhao, J.; Yu, S.; Wang, L. Research on ecosystem services of water conservation and soil retention: A bibliometric analysis. Environ. Sci. Pollut. Res. 2021, 28, 2995–3007. [Google Scholar]
- Lowe, M.A.; McGrath, G.; Leopold, M. The impact of soil water repellency and slope upon runoff and erosion. Soil Tillage Res. 2021, 205, 104756. [Google Scholar] [CrossRef]
- Sandor, R.; Iovino, M.; Lichner, L.; Alagna, V.; Forster, D.; Fraser, M.; Fodor, N. Impact of climate, soil properties, and grassland cover on soil water repellency. Geoderma 2021, 383, 114780. [Google Scholar] [CrossRef]
- Müller, K.; Mason, K.; Strozzi, A.G.; Simpson, R.; Komatsu, T.; Kawamoto, K.; Clothier, B. Runoff and nutrient loss from a water-repellent soil. Geoderma 2018, 322, 28–37. [Google Scholar] [CrossRef]
- Ruthrof, K.X.; Hopkins, A.J.; Danks, M.; O’Hara, G.; Bell, R.; Standish, R.; Tibbett, M.; Howieson, J.; Burgess, T.; Harper, R. Rethinking soil water repellency and its management. Plant Ecol. 2019, 220, 977–984. [Google Scholar] [CrossRef]
- Zavala, L.M.; González, F.A.; Jordán, A. Intensity and persistence of water repellency in relation to vegetation types and soil parameters in Mediterranean SW Spain. Geoderma 2009, 152, 361–374. [Google Scholar] [CrossRef]
- Rhodes, C.J. Soil erosion, climate change and global food security: Challenges and strategies. Sci. Prog. 2014, 97, 97–153. [Google Scholar] [CrossRef]
- Ooi, Q.E.; Nguyen, C.T.T.; Laloo, A.; Bandla, A.; Swarup, S. Urban soil microbiome functions and their linkages with ecosystem services. In Soils in Urban Ecosystem; Springer Singapore: Singapore, 2022; pp. 47–63. [Google Scholar]
- Rate, A.W. Urban ecosystems: Soils and the rise and fall of cities. In Urban Soils: Principles and Practice; Springer: Singapore, 2022; pp. 1–15. [Google Scholar]
- Pedrinho, A.; Mendes, L.W.; de Araujo Pereira, A.P.; Araujo, A.S.F.; Vaishnav, A.; Karpouzas, D.G.; Singh, B.K. Soil microbial diversity plays an important role in resisting and restoring degraded ecosystems. Plant Soil 2024, 500, 325–349. [Google Scholar] [CrossRef]
- Davern, M.; Farrar, A.; Kendal, D.; Giles-Corti, B. Quality Green Space Supporting Health, Wellbeing, and Biodiversity: A Literature Review; The National Heart Foundation of Australia: Melbourne, Australia, 2017; pp. 1–61. [Google Scholar]
- Doerr, S.H.; Thomas, A.D. The role of soil moisture in controlling water repellency: New evidence from forest soils in Portugal. J. Hydrol. 2000, 231–232, 134–147. [Google Scholar] [CrossRef]
- Fu, Z.; Hu, W.; Beare, M.H.; Müller, K.; Wallace, D.; Chau, H.W. Contributions of soil organic carbon to soil water repellency persistence: Characterization and modelling. Geoderma 2021, 401, 115312. [Google Scholar] [CrossRef]
- Bisdom, E.B.A.; Dekker, L.W.; Schoute, J.T. Water repellency of sieve fractions from sandy soils and relationships with organic material and soil structure. In Soil Structure/Soil Biota Interrelationships; Elsevier: Amsterdam, The Netherlands, 1993; pp. 105–118. [Google Scholar]
- Kidron, G.J.; Yaalon, D.H.; Vonshak, A. Two causes for runoff initiation on microbiotic crusts: Hydrophobicity and pore clogging. Soil Sci. 1999, 164, 18–27. [Google Scholar] [CrossRef]
- Hallett, P.D.; Gaskin, R.E. An introduction to soil water repellency. In Proceedings of the 8th International Symposium on Adjuvants for Agrochemicals (ISAA 2007), Wageningen, The Netherlands, 6–9 August 2007; Volume 6, pp. 1–10. [Google Scholar]
- Benito Rueda, E.; Rodríguez-Alleres, M.; Varela Teijeiro, E. Environmental factors governing soil water repellency dynamics in a Pinus pinaster plantation in NW Spain. Land Degrad. Dev. 2016, 27, 719–728. [Google Scholar]
- Rodríguez-Alleres, M.; Benito, E. Spatial and temporal variability of surface water repellency in sandy loam soils of NW Spain under Pinus pinaster and Eucalyptus globulus plantations. Hydrol. Process. 2011, 25, 3649–3658. [Google Scholar]
- Diehl, D. Soil water repellency: Dynamics of heterogeneous surfaces. Colloids Surf. A Physicochem. Eng. Asp. 2013, 432, 8–18. [Google Scholar]
- Hermansen, C.; Moldrup, P.; Müller, K.; Jensen, P.W.; van den Dijssel, C.; Jeyakumar, P.; de Jonge, L.W. Organic carbon content controls the severity of water repellency and the critical moisture level across New Zealand pasture soils. Geoderma 2019, 338, 281–290. [Google Scholar] [CrossRef]
- Jiménez-Morillo, N.T.; González-Pérez, J.A.; Jordán, A.; Zavala, L.M.; de la Rosa, J.M.; Jiménez-González, M.A.; González-Vila, F.J. Organic matter fractions controlling soil water repellency in sandy soils from the Doñana National Park (Southwestern Spain). Land Degrad. Dev. 2016, 27, 1413–1423. [Google Scholar]
- De Gryze, S.; Jassogne, L.; Bossuyt, H.; Six, J.; Merckx, R. Water repellence and soil aggregate dynamics in a loamy grassland soil as affected by texture. Eur. J. Soil Sci. 2006, 57, 235–246. [Google Scholar]
- Lichner, L.; Felde, V.J.; Büdel, B.; Leue, M.; Gerke, H.H.; Ellerbrock, R.H.; Sándor, R. Effect of vegetation and its succession on water repellency in sandy soils. Ecohydrology 2018, 11, e1991. [Google Scholar]
- Vogelmann, E.S.; Reichert, J.M.; Prevedello, J.; Consensa, C.O.B.; Oliveira, A.É.; Awe, G.O.; Mataix-Solera, J. Threshold water content beyond which hydrophobic soils become hydrophilic: The role of soil texture and organic matter content. Geoderma 2013, 209, 177–187. [Google Scholar] [CrossRef]
- Diamantopoulos, E.; Durner, W.; Reszkowska, A.; Bachmann, J. Effect of soil water repellency on soil hydraulic properties estimated under dynamic conditions. J. Hydrol. 2013, 486, 175–186. [Google Scholar] [CrossRef]
- Wessolek, G.; Schwärzel, K.; Greiffenhagen, A.; Stoffregen, H. Percolation characteristics of a water-repellent sandy forest soil. Eur. J. Soil Sci. 2008, 59, 14–23. [Google Scholar] [CrossRef]
- Lemmnitz, C.; Kuhnert, M.; Bens, O.; Güntner, A.; Merz, B.; Hüttl, R.F. Spatial and temporal variations of actual soil water repellency and their influence on surface runoff. Hydrol. Process. 2008, 22, 1976–1984. [Google Scholar] [CrossRef]
- DeBano, L.F. Water repellency in soils: A historical overview. J. Hydrol. 2000, 231, 4–32. [Google Scholar] [CrossRef]
- Berlin.de. Environmental Atlas. Available online: https://www.berlin.de/umweltatlas/ (accessed on 8 December 2022).
- Realty-Germany. Berlin’s Parks and Green Spaces. Available online: https://www.realty-germany.com (accessed on 15 June 2023).
- Wang, H.; Lin, C.; Ou, S.; Feng, Q.; Guo, K.; Xie, J.; Wei, X. Evolutionary Characteristics and Driving Forces of Green Space in Guangzhou from a Zoning Perspective. Forests 2024, 15, 135. [Google Scholar] [CrossRef]
- Stackebrandt, W.; Franke, D. Geologie von Brandenburg; Springer Vieweg: Berlin, Germany, 2015; ISBN 978-3-510-65295-2. [Google Scholar]
- Berlin Senate Department for Urban Development and the Environment. Environmental Atlas of Berlin: Soil Associations and Characteristics. Berlin Senate. 2020. Available online: https://www.berlin.de/umweltatlas/en/soil/soil-associations/2020/map-description (accessed on 1 March 2025).
- Marx, C.; Tetzlaff, D.; Hinkelmann, R.; Soulsby, C. Isotope hydrology and water sources in a heavily urbanized stream. Hydrol. Process. 2021, 35, e14377. [Google Scholar] [CrossRef]
- Hewelke, E.; Oktaba, L.; Gozdowski, D.; Kondras, M.; Olejniczak, I.; Górska, E.B. Intensity and persistence of soil water repellency in pine forest soil in a temperate continental climate under drought conditions. Water 2018, 10, 1121. [Google Scholar] [CrossRef]
- Doerr, S.H.; Llewellyn, C.T.; Douglas, P.; Morley, C.P.; Mainwaring, K.A.; Haskins, C.; Diamantis, J. Extraction of compounds associated with water repellency in sandy soils of different origin. Soil Res. 2005, 43, 225–237. [Google Scholar] [CrossRef]
- Letey, J.; Carrillo, M.L.K.; Pang, X.P. Approaches to characterize the degree of water repellency. J. Hydrol. 2000, 231, 61–65. [Google Scholar] [CrossRef]
- Doerr, S.H. On standardizing the ‘water drop penetration time’ and the ‘molarity of an ethanol droplet’ techniques to classify soil hydrophobicity: A case study using medium textured soils. Earth Surf. Process. Landf. 1998, 23, 663–668. [Google Scholar]
- Nykamp, M.; Becker, F.; Hoelzmann, P. Total organic carbon quantification in soils and sediments: Performance test of a modified sample preparation method. MethodsX 2024, 13, 102934. [Google Scholar] [CrossRef] [PubMed]
- Vogel, S.; Märker, M.; Rellini, I.; Hoelzmann, P.; Wulf, S.; Robinson, M.; Seiler, F. From a stratigraphic sequence to a landscape evolution model: Late Pleistocene and Holocene volcanism, soil formation and land use in the shade of Mount Vesuvius (Italy). Quat. Int. 2016, 394, 155–179. [Google Scholar]
- Nykamp, M.; Hoelzmann, P.; Heeb, B.S.; Szentmiklosi, A.; Schütt, B. Holocene sediment dynamics in the environs of the fortification enclosure of Corneşti-Iarcuri in the Romanian Banat. Quat. Int. 2016, 415, 190–203. [Google Scholar] [CrossRef]
- USDA-Natural Resources Conservation Service. Soil Survey Staff; USDA-Natural Resources Conservation Service: Washington, DC, USA, 2010. [Google Scholar]
- Deutscher Wetterdienst (DWD). Climate-Data-Center (CDC). Available online: https://opendata.dwd.de/climate_environment/CDC/observations_germany/climate/daily/more_precip/recent/ (accessed on 22 November 2023).
- Kruskal, W.H.; Wallis, W.A. Use of ranks in one-criterion variance analysis. J. Am. Stat. Assoc. 1952, 47, 583–621. [Google Scholar] [CrossRef]
- R Core Team. R: A Language and Environment for Statistical Computing; R Foundation for Statistical Computing: Vienna, Austria, 2016; Available online: http://www.R-project.org (accessed on 12 December 2023).
- IBM Corp. IBM SPSS Statistics for Windows, Version 25.0; IBM Corp: Armonk, NY, USA, 2017. [Google Scholar]
- DATAtab Team. DATAtab: Online Statistics Calculator; DATAtab e.U.: Graz, Austria, 2023; Available online: https://datatab.net (accessed on 12 December 2023).
- Müller, K.; Deurer, M.; Jeyakumar, P.; Mason, K.; van den Dijssel, C.; Green, S.; Clothier, B. Temporal dynamics of soil water repellency and its impact on pasture productivity. Agric. Water Manag. 2014, 143, 82–92. [Google Scholar]
- Kawamoto, K.; Moldrup, P.; Komatsu, T.; de Jonge, L.W.; Oda, M. Water repellency of aggregate size fractions of a volcanic ash soil. Soil Sci. Soc. Am. J. 2007, 71, 1658–1666. [Google Scholar]
- Dekker, L.W.; Doerr, S.H.; Oostindie, K.; Ziogas, A.K.; Ritsema, C.J. Water repellency and critical soil water content in a dune sand. Soil Sci. Soc. Am. J. 2001, 65, 1667–1674. [Google Scholar]
- Täumer, K.; Stoffregen, H.; Wessolek, G. Determination of repellency distribution using soil organic matter and water content. Geoderma 2005, 125, 107–115. [Google Scholar] [CrossRef]
- Oostindie, K.; Dekker, L.W.; Wesseling, J.G.; Ritsema, C.J.; Geissen, V. Development of actual water repellency in a grass-covered dune sand during a dehydration experiment. Geoderma 2013, 204, 23–30. [Google Scholar] [CrossRef]
- Yi, L.; Xin, R.; Robert, H.; Ying, Z. Characteristics of water infiltration in layered water-repellent soils. Pedosphere 2018, 28, 775–792. [Google Scholar]
- Leighton-Boyce, G.; Doerr, S.H.; Shakesby, R.A.; Walsh, R.P.; Ferreira, A.J.; Boulet, A.K.; Coelho, C.O. Temporal dynamics of water repellency and soil moisture in eucalypt plantations, Portugal. Soil Res. 2005, 43, 269–280. [Google Scholar] [CrossRef]
- Mao, J.; Nierop, K.G.; Dekker, S.C.; Dekker, L.W.; Chen, B. Understanding the mechanisms of soil water repellency from nanoscale to ecosystem scale: A review. J. Soils Sediments 2019, 19, 171–185. [Google Scholar]
- Zheng, W.; Morris, E.K.; Lehmann, A.; Rillig, M.C. Interplay of soil water repellency, soil aggregation, and organic carbon. A meta-analysis. Geoderma 2016, 283, 39–47. [Google Scholar] [CrossRef]
- Atanassova, I.; Banov, M.; Shishkov, T.; Petkova, Z.; Hristov, B.; Ivanov, P.; Harizanova, M. Relationships between soil water repellency, physical and chemical properties in hydrophobic technogenic soils from the region of Maritsa-Iztok coal mine in Bulgaria. Bulg. J. Agric. Sci. 2018, 2, 10–17. [Google Scholar]
- Atanassova, I.; Ivanov, P.L.; Shishkov, T.; Dimitrov, E.; Banov, M.; Simeonova, T.S.; Kirilov, I. Further insights in the relationships between soil water repellency and soil characteristics in mine soils in Bulgaria. J. Environ. Prot. Ecol. 2021, 22, 1861–1869. [Google Scholar]
- Brutsaert, W. Hydrology: An Introduction; Cambridge University Press: Cambridge, UK, 2005. [Google Scholar]
- Gomez-Plaza, A.; Alvarez-Rogel, J.; Albaladejo, J.; Castillo, V.M. Spatial patterns and temporal stability of soil moisture across a range of scales in a semi-arid environment. Hydrol. Process. 2001, 15, 3069–3082. [Google Scholar]
- Hamza, M.A.; Anderson, W.K. Soil compaction in cropping systems: A review of the nature, causes, and possible solutions. Soil Tillage Res. 2005, 82, 121–145. [Google Scholar]
- Batey, T. Soil compaction and soil management—A review. Soil Use Manag. 2009, 25, 335–345. [Google Scholar] [CrossRef]
- Crockford, H.; Topalidis, S.; Richardson, D. Water repellency in a dry sclerophyll eucalypt forest—Measurements and processes. Hydrol. Process. 1991, 5, 405–420. [Google Scholar]
- Shakesby, R.A.; Doerr, S.H.; Walsh, R.P.D. The erosional impact of soil hydrophobicity: Current problems and future research directions. J. Hydrol. 2000, 231, 178–191. [Google Scholar] [CrossRef]
- Ritsema, C.J.; Dekker, L.W. Soil moisture and dry bulk density patterns in bare dune sands. J. Hydrol. 1994, 154, 107–131. [Google Scholar] [CrossRef]
- Ritsema, C.J.; Dekker, L.W. Preferential flow in water repellent sandy soils: Principles and modeling implications. J. Hydrol. 2000, 231, 308–319. [Google Scholar] [CrossRef]
- Nguyen, H.V.; Nieber, J.L.; Ritsema, C.J.; Dekker, L.W.; Steenhuis, T.S. Modeling gravity-driven unstable flow in a water repellent soil. J. Hydrol. 1999, 215, 202–214. [Google Scholar] [CrossRef]
- Nir, N.; Stahlschmidt, M.; Busch, R.; Lüthgens, C.; Schütt, B.; Hardt, J. Footpaths: Pedogenic and geomorphological long-term effects of human trampling. Catena 2022, 215, 106312. [Google Scholar] [CrossRef]
- Weil, R.R.; Magdoff, F. Significance of soil organic matter to soil quality and health. In Soil Organic Matter in Sustainable Agriculture; CRC Press: Boca Raton, FL, USA, 2004; pp. 1–43. [Google Scholar]
- Sarah, P.; Zhevelev, H.M. Effect of visitors’ pressure on soil and vegetation in several different micro-environments in urban parks in Tel Aviv. Landsc. Urban Plan. 2007, 83, 284–293. [Google Scholar] [CrossRef]
- Siteur, K.; Mao, J.; Nierop, K.G.; Rietkerk, M.; Dekker, S.C.; Eppinga, M.B. Soil water repellency: A potential driver of vegetation dynamics in coastal dunes. Ecosystems 2016, 19, 1210–1224. [Google Scholar] [CrossRef]
- Mao, J.; Nierop, K.G.; Damsté, J.S.S.; Dekker, S.C. Roots induce stronger soil water repellency than leaf waxes. Geoderma 2014, 232, 328–340. [Google Scholar] [CrossRef]
- Müller, K.; Deurer, M. Review of the remediation strategies for soil water repellency. Agric. Ecosyst. Environ. 2011, 144, 208–221. [Google Scholar] [CrossRef]





| Soil Sampling Sites and Distinct Characteristics | Number of Sites | Number of Soil Samples Extracted | Soil Cover | Usage | ESS Category(s) |
|---|---|---|---|---|---|
| F1: Soils under grass and trees | 4 | 36 | Grass and trees | Recreational, Urban Green Space | Cultural ESS (urban green space for recreation) Supporting ESS (biodiversity, habitat, and carbon sequestration) |
| F2: Well-draining soil, prevents waterlogging | 5 | 45 | Grass and lawn | Recreational, Landscaping | Regulating ESS (water regulation, preventing waterlogging) Supporting ESS (soil formation, plant support) |
| F3: Diverse soil, influenced by pathways and slope dynamics | 3 | 27 | Mixed soil with grass patches | Mixed-use, Pedestrian Influence | Supporting ESS (biodiversity support, soil nutrient cycling) Cultural ESS (recreational areas, aesthetic value) |
| F4: Pathway: compacted bare soil spots | 1 | 9 | Bare soil | High Foot Traffic | Cultural ESS (high foot traffic, recreation, and movement) Regulating ESS (soil compaction affects water infiltration and erosion) |
| F5: Upper slope location: eroded bare soil spots | 2 | 18 | Bare soil | Erosion-Prone, Minimal Use | Regulating ESS (soil erosion control, water regulation) Supporting ESS (soil formation, preventing further erosion) |
| R1: Compacted spots: soil compaction due to foot traffic | 4 | 28 | Bare soil with compacted areas | Pedestrian, Walking Path | Regulating ESS (soil compaction impacts water infiltration and air quality) Cultural ESS (pedestrian pathways, recreation) |
| R2: Under trees: compacted soil affecting grass growth | 4 | 28 | Sparse grass, compacted soil | Shaded, Low Vegetation Growth | Supporting ESS (soil fertility, vegetation support) Cultural ESS (shaded areas, aesthetic value) |
| R3: Diverse soil, influenced by pathways and slope dynamics | 5 | 35 | Mixed soil, some vegetation patches | Mixed-use, Pedestrian Influence | Supporting ESS (biodiversity, nutrient cycling) Cultural ESS (mixed-use, recreational influence) |
| R4: Pathway; compacted bare soil spots | 1 | 7 | Bare soil | High Foot Traffic | Cultural ESS (high foot traffic, pedestrian use) Regulating ESS (compaction impacts water infiltration) |
| R5: Upper slope location: eroded bare soil spots | 1 | 7 | Bare soil | Erosion-Prone, Minimal Use | Regulating ESS (soil erosion, water retention) Supporting ESS (nutrient cycling, soil structure) |
| S1: Under trees: high soil compaction, resulting in bare spots | 6 | 48 | Bare soil with tree cover | Shaded, Minimal Vegetation | Supporting ESS (biodiversity, habitat for trees)Regulating ESS (soil compaction affecting water flow) |
| S2: Under trees: moderate soil compaction | 5 | 40 | Sparse grass with tree cover | Shaded, Partial Vegetation | Supporting ESS (vegetation support, biodiversity) Cultural ESS (shaded areas for recreation) |
| S3: Bushes: varied soil, supporting diverse vegetation | 2 | 16 | Bushes, Shrubs | Biodiversity Support | Supporting ESS (biodiversity, habitat for species) Cultural ESS (nature experience, aesthetic value) |
| S4: Pathway: compacted bare soil spots | 1 | 8 | Bare soil | High Foot Traffic | Cultural ESS (high foot traffic, movement paths) Regulating ESS (soil compaction impacts water infiltration) |
| Total | 44 | 352 |
| Class | Water Drop Penetration Time (WDPT) | Molarity of Ethanol Droplet (MED) | ||
|---|---|---|---|---|
| [seconds] | [%] | |||
| 0 | WDPT < 5 | Wettable | 0% | Hydrophilic |
| 1 | 5 s < WDPT < 60 s | Slightly water repellent | 5% | Slightly hydrophobic |
| 2 | 60 s< WDPT < 600 s | Strongly water repellent | 13% | Strongly hydrophobic |
| 3 | 600 s < WDPT < 3600 s | Severely water repellent | 24% | Severely hydrophobic |
| 4 | WDPT > 3600 s | Extremely water repellent | 36% | Extremely hydrophobic |
| Sampling Site/ Sample | Texture | Sand [vol.-%] | Clay [vol.-%] | Silt [vol.-%] | TOC [mass-%] |
|---|---|---|---|---|---|
| F1/01 | loamy sand | 77.5 | 4.2 | 18.3 | 6.0 |
| F1/02 | loamy sand | 81.3 | 4.0 | 14.7 | 3.5 |
| F1/03 | loamy sand | 76.9 | 4.7 | 18.4 | 4.7 |
| F1/04 | loamy sand | 76.9 | 4.6 | 18.5 | 4.7 |
| F2/05 | loamy sand | 79.0 | 4.3 | 16.7 | 4.6 |
| F2/06 | loamy sand | 78.3 | 4.5 | 17.2 | 5.8 |
| F2/07 | loamy sand | 79.0 | 4.3 | 16.7 | 4.5 |
| F2/08 | loamy sand | 81.6 | 3.6 | 14.8 | 5.7 |
| F2/09 | loamy sand | 78.0 | 5.1 | 16.9 | 5.3 |
| F3/10 | loamy sand | 85.4 | 3.0 | 11.6 | 1.7 |
| F3/11 | sandy loam | 74.6 | 5.0 | 20.4 | 6.1 |
| F3/12 | Loam | 47.1 | 12.3 | 40.6 | 10.1 |
| F4/13 | Sand | 95.2 | 1.3 | 3.5 | 1.5 |
| F5/14 | loamy sand | 85.8 | 3.4 | 10.8 | 1.3 |
| F5/15 | loamy sand | 77.2 | 5.1 | 17.7 | 2.8 |
| R1/16 | loamy sand | 79.3 | 4.3 | 16.4 | 3.5 |
| R1/17 | loamy sand | 79.1 | 4.8 | 16.1 | 3.9 |
| R1/18 | loamy sand | 79.1 | 4.8 | 16.1 | 3.1 |
| R1/19 | loamy sand | 78.4 | 4.9 | 16.7 | 4.0 |
| R2/20 | loamy sand | 82.0 | 4.3 | 13.7 | 2.9 |
| R2/21 | loamy sand | 82.6 | 4.1 | 13.3 | 4.8 |
| R2/22 | loamy sand | 82.5 | 3.8 | 13.7 | 4.8 |
| R2/23 | loamy sand | 84.8 | 3.4 | 11.8 | 5.2 |
| R3/24 | sandy loam | 68.5 | 6.8 | 24.7 | 6.6 |
| R3/25 | sandy loam | 64.6 | 7.5 | 27.9 | 7.4 |
| R3/26 | sandy loam | 71.1 | 5.7 | 23.2 | 6.0 |
| R3/27 | sandy loam | 74.1 | 4.8 | 21.1 | 6.8 |
| R3/28 | loamy sand | 79.8 | 4.1 | 16.1 | 5.6 |
| R4/29 | loamy sand | 79.1 | 4.4 | 16.5 | 2.1 |
| R5/30 | loamy sand | 75.1 | 4.8 | 20.1 | 1.3 |
| S1/31 | loamy sand | 78.9 | 3.9 | 17.2 | 4.9 |
| S1/32 | loamy sand | 80.3 | 4.4 | 15.3 | 2.1 |
| S1/33 | loamy sand | 81.7 | 3.4 | 14.9 | 2.0 |
| S1/34 | loamy sand | 79.6 | 3.9 | 16.5 | 2.6 |
| S1/35 | sandy loam | 70.0 | 6.0 | 24.0 | 3.8 |
| S1/36 | loamy sand | 78.9 | 3.4 | 17.7 | 3.5 |
| S2/37 | sandy loam | 63.0 | 7.4 | 29.6 | 5.7 |
| S2/38 | sandy loam | 60.6 | 7.7 | 31.7 | 5.8 |
| S2/39 | sandy loam | 65.0 | 6.7 | 28.3 | 5.8 |
| S2/40 | sandy loam | 61.1 | 7.4 | 31.5 | 5.1 |
| S2/41 | sandy loam | 66.9 | 6.6 | 26.5 | 6.0 |
| S3/42 | sandy loam | 62.8 | 7.6 | 29.6 | 5.8 |
| S3/43 | sandy loam | 62.2 | 7.1 | 30.7 | 2.3 |
| S4/44 | sandy loam | 66.4 | 5.9 | 27.7 | 4.5 |
| Dependent Variable: WDPTpot | |||||
|---|---|---|---|---|---|
| d.f. | MS | F | R2 | p | |
| Model residuals | 4 | 2.306 | 3.44 | 0.261 | 0.017 |
| 39 | 0.67 | ||||
| 43 | |||||
| Variables | B | SE | Beta | t-value | p |
| (Constant) | 3.037 | 3.77 | 0.806 | 0.425 | |
| Sand | 2.821 | 5.81 | 0.17 | 0.486 | 0.63 |
| Clay | 3.114 | 3.19 | 0.52 | 0.977 | 0.335 |
| Silt | −2.855 | 2.46 | −0.55 | −1.161 | 0.253 |
| TOC | 2.431 | 0.73 | 0.56 | 3.342 | 0.002 |
| Dependent Variable: MEDpot | |||||
|---|---|---|---|---|---|
| d.f. | MS | F | R2 | p | |
| Model residuals | 4 | 0.60 | 5.52 | 0.361 | 0.001 |
| 39 | 0.11 | ||||
| 43 | |||||
| Variables | B | SE | Beta | t-value | p |
| (Constant) | 1.643 | 1.51 | 1.085 | 0.284 | |
| Sand | 1.943 | 2.33 | 0.27 | 0.833 | 0.41 |
| Clay | 2.19 | 1.28 | 0.85 | 1.711 | 0.095 |
| Silt | −2.154 | 0.99 | −0.96 | −2.18 | 0.035 |
| TOC | 1.215 | 0.29 | 0.65 | 4.16 | 0.000 |
| Actual WDPT Class at Sampling Site: | |||||||||
|---|---|---|---|---|---|---|---|---|---|
| F1 | F2 | F3 | R1 | R2 | R3 | S1 | S2 | S3 | |
| Potential WDPT class | 0.23 | 0.13 | 0.1 | 0.26 | 0 | 0.12 | 0.33 * | 0.41 ** | 0.6 * |
| Actual MED class | 0.88 ** | 0.82 ** | 0.87 ** | 0.58 ** | 0.82 ** | 0.84 ** | 1 ** | 0.82 ** | 0.86 ** |
| Soil water content | −0.76 ** | −0.71 ** | −0.73 ** | −0.81 ** | −0.53 ** | −0.74 ** | −0.28 | −0.52 ** | −0.85 ** |
| Actual MED Class at Sampling Site: | |||||||||
| F1 | F2 | F3 | R1 | R2 | R3 | S1 | S2 | S3 | |
| Soil water content | −0.76 ** | −0.67 ** | −0.61 ** | −0.6 ** | −0.44 * | −0.6 ** | −0.28 | −0.48 ** | −0.69 ** |
| Potential MED class | −0.24 | −0.36 * | −0.07 | 0.03 | −0.14 | 0.09 | 0.32 * | 0.16 | 0.29 |
| WDPTact Class at Sampling Site | ||||||||||
|---|---|---|---|---|---|---|---|---|---|---|
| F1 | F2 | F3 | R1 | R2 | R3 | S1 | S2 | S3 | ||
| Cumulative rainfall | 3 days | −0.06 | 0.03 | −0.1 | −0.23 | −0.34 | −0.32 | −0.2 | −0.27 | −0.32 |
| 5 days | −0.29 | −0.01 | −0.27 | −0.65 ** | −0.51 ** | −0.59 ** | −0.2 | −0.1 | −0.33 | |
| 7 days | −0.51 ** | −0.22 | −0.49 ** | −0.28 | −0.37 | −0.33 | −0.2 | −0.05 | −0.53 * | |
| 14 days | −0.54 ** | −0.44 ** | −0.5 ** | −0.41 * | −0.42 * | −0.46 ** | −0.3 | −0.47 ** | −0.83 ** | |
| 21 days | −0.09 | −0.12 | −0.13 | −0.68 ** | −0.52 ** | −0.49 ** | −0.3 | −0.42 ** | −0.2 | |
| 28 days | −0.06 | 0.07 | −0.07 | −0.53 ** | −0.42 * | −0.33 | −0.2 | −0.21 | −0.12 | |
| Temperature (max) | 3 days | 0.53 ** | 0.48 ** | 0.54 ** | −0.05 | 0.11 | 0.13 | 0.16 | 0.22 | 0.69 ** |
| 5 days | 0.42 * | 0.39 ** | 0.41 * | 0.1 | 0.27 | 0.33 | 0.09 | 0.12 | 0.45 | |
| 7 days | 0.4 * | 0.36 * | 0.38 * | −0.11 | 0.06 | 0.03 | 0.16 | 0.22 | 0.69 ** | |
| 14 days | 0.4 * | 0.39 ** | 0.42 * | 0.1 | 0.06 | −0.03 | 0.13 | 0.4 * | 0.39 | |
| 21 days | 0.69 ** | 0.57 ** | 0.69 ** | −0.01 | 0.01 | −0.07 | 0.13 | 0.54 ** | 0.64 ** | |
| 28 days | 0.72 ** | 0.56 ** | 0.71 ** | −0.06 | 0.01 | −0.07 | 0.02 | 0.54 ** | 0.47 | |
| Dry days | 3 days | 0.41 * | 0.31 * | 0.49 * | 0.15 | 0.4 * | 0.48 | |||
| 5 days | 0.46 ** | 0.21 | 0.48 * | 0.32 | 0.17 | 0.24 | 0.12 | 0.29 | 0.5 | |
| 7 days | 0.61 ** | 0.41 ** | 0.6 ** | 0.29 | 0.34 | 0.42 * | 0.25 | 0.39 * | 0.82 ** | |
| 14 days | 0.78 ** | 0.62 ** | 0.73 ** | 0.44 * | 0.42 * | 0.55 ** | 0.28 | 0.48 ** | 0.89 ** | |
| 21 days | 0.52 ** | 0.38 * | 0.48 * | 0.63 ** | 0.54 ** | 0.65 ** | 0.36 * | 0.66 ** | 0.8 ** | |
| 28 days | 0.53 ** | 0.33 * | 0.5 ** | 0.55 ** | 0.42 * | 0.39 * | 0.32 * | 0.62 ** | 0.68 ** | |
| MEDact Class at Sampling Site | ||||||||||
|---|---|---|---|---|---|---|---|---|---|---|
| F1 | F2 | F3 | R1 | R2 | R3 | S1 | S2 | S3 | ||
| Cumulative rainfall | 3 days | −0.1 | 0.06 | −0.16 | −0.12 | −0.29 | −0.21 | −0.2 | −0.23 | −0.22 |
| 5 days | −0.35 * | −0.08 | −0.35 | −0.48 * | −0.44 * | −0.44 ** | −0.2 | −0.18 | −0.33 | |
| 7 days | −0.49 ** | −0.25 | −0.55 ** | −0.03 | −0.24 | −0.32 | −0.2 | −0.11 | −0.5 * | |
| 14 days | −0.45 ** | −0.32 | −0.45 * | −0.1 | −0.3 | −0.43 ** | −0.3 | −0.47 ** | −0.75 ** | |
| 21 days | −0.22 | −0.08 | −0.17 | −0.43 * | −0.41 * | −0.37 * | −0.3 | −0.47 ** | −0.14 | |
| 28 days | −0.16 | 0.06 | −0.12 | −0.22 | −0.3 | −0.27 | −0.2 | −0.29 | −0.11 | |
| Temperature (max) | 3 days | 0.45 ** | 0.52 ** | 0.48 * | −0.24 | 0.06 | 0.15 | 0.16 | 0.22 | 0.64 ** |
| 5 days | 0.34 * | 0.44 ** | 0.38 | −0.2 | 0.18 | 0.33 | 0.09 | 0.13 | 0.42 | |
| 7 days | 0.35 * | 0.43 ** | 0.39 * | −0.28 | 0.01 | 0.09 | 0.16 | 0.22 | 0.64 ** | |
| 14 days | 0.43 ** | 0.46 ** | 0.38 | −0.19 | 0.01 | 0 | 0.13 | 0.44 ** | 0.38 | |
| 21 days | 0.67 ** | 0.59 ** | 0.64 ** | −0.31 | −0.05 | 0.02 | 0.13 | 0.55 ** | 0.61 * | |
| 28 days | 0.73 ** | 0.59 ** | 0.67 ** | −0.39 * | −0.05 | 0.02 | 0.02 | 0.51 ** | 0.46 | |
| Dry days | 3 days | 0.38 * | 0.23 | 0.46 * | 0.15 | 0.38 * | 0.43 | |||
| 5 days | 0.45 ** | 0.24 | 0.48 * | 0.23 | 0.14 | 0.2 | 0.12 | 0.33 * | 0.49 | |
| 7 days | 0.53 ** | 0.38 * | 0.61 ** | 0.21 | 0.25 | 0.39 * | 0.25 | 0.38 * | 0.74 ** | |
| 14 days | 0.71 ** | 0.56 ** | 0.74 ** | 0.11 | 0.33 | 0.49 ** | 0.28 | 0.45 ** | 0.79 ** | |
| 21 days | 0.59 ** | 0.35 * | 0.51 ** | 0.22 | 0.43 * | 0.55 ** | 0.36* | 0.63 ** | 0.67 ** | |
| 28 days | 0.61 ** | 0.34 * | 0.54 ** | 0.17 | 0.3 | 0.35 * | 0.32* | 0.62 ** | 0.59 * | |
| Soil Water Content at Sampling Site | ||||||||||
|---|---|---|---|---|---|---|---|---|---|---|
| F1 | F2 | F3 | R1 | R2 | R3 | S1 | S2 | S3 | ||
| Cumulative rainfall | 3 days | 0.08 | 0.04 | 0.11 | 0.08 | 0.02 | 0.02 | 0.3 * | 0.51 ** | 0.37 |
| 5 days | 0.31 | 0.05 | 0.21 | 0.53 ** | 0.2 | 0.06 | 0.3 * | 0.43 ** | 0.28 | |
| 7 days | 0.26 | 0.09 | 0.26 | 0.45 * | 0.36 | 0.04 | 0.42 ** | 0.55 ** | 0.42 | |
| 14 days | 0.36 * | 0.38 * | 0.39 * | 0.46 * | 0.56 ** | 0.34 * | 0.72 ** | 0.86 ** | 0.77 ** | |
| 21 days | 0 | 0.1 | −0.04 | 0.51 ** | 0.39 * | 0.26 | 0.03 | 0.23 | 0.04 | |
| 28 days | 0.01 | 0.02 | −0.02 | 0.53 ** | 0.37 | 0.13 | 0.06 | 0.25 | 0.06 | |
| Temperature (max) | 3 days | −0.45 ** | −0.44 ** | −0.38 * | 0.09 | −0.25 | −0.45 ** | −0.56 ** | −0.47 ** | −0.54 * |
| 5 days | −0.5 ** | −0.49 ** | −0.42 * | 0.03 | −0.37 | −0.47 ** | −0.55 ** | −0.43 ** | −0.53 * | |
| 7 days | −0.5 ** | −0.48 ** | −0.43 * | 0.09 | −0.37 | −0.42 * | −0.69 ** | −0.58 ** | −0.7 ** | |
| 14 days | −0.58 ** | −0.58 ** | −0.45 * | 0.12 | −0.23 | −0.28 | −0.58 ** | −0.62 ** | −0.63 ** | |
| 21 days | −0.71 ** | −0.64 ** | −0.57 ** | 0.03 | −0.27 | −0.28 | −0.65 ** | −0.73 ** | −0.74 ** | |
| 28 days | −0.71 ** | −0.56 ** | −0.53 ** | 0.11 | −0.19 | −0.14 | −0.59 ** | −0.69 ** | −0.7 ** | |
| Dry days | 3 days | −0.13 | −0.13 | −0.26 | −0.44 ** | −0.67 ** | −0.55 * | |||
| 5 days | −0.34 * | −0.13 | −0.34 | −0.51 ** | −0.19 | −0.05 | −0.56 ** | −0.73 ** | −0.57 * | |
| 7 days | −0.35 * | −0.23 | −0.34 | −0.33 | −0.57 ** | −0.34 * | −0.7 ** | −0.76 ** | −0.72 ** | |
| 14 days | −0.54 ** | −0.6 ** | −0.46 * | −0.29 | −0.52 ** | −0.56 ** | −0.73 ** | −0.81 ** | −0.81 ** | |
| 21 days | −0.47 ** | −0.47 ** | −0.37 | −0.55 ** | −0.64 ** | −0.58 ** | −0.61 ** | −0.81 ** | −0.71 ** | |
| 28 days | −0.43 ** | −0.32 * | −0.31 | −0.54 ** | −0.57 ** | −0.31 | −0.61 ** | −0.82 ** | −0.69 ** | |
Disclaimer/Publisher’s Note: The statements, opinions and data contained in all publications are solely those of the individual author(s) and contributor(s) and not of MDPI and/or the editor(s). MDPI and/or the editor(s) disclaim responsibility for any injury to people or property resulting from any ideas, methods, instructions or products referred to in the content. |
© 2025 by the authors. Licensee MDPI, Basel, Switzerland. This article is an open access article distributed under the terms and conditions of the Creative Commons Attribution (CC BY) license (https://creativecommons.org/licenses/by/4.0/).
Share and Cite
Razipoor, E.; Mukherjee, S.; Schütt, B. Spatiotemporal Variability of Soil Water Repellency in Urban Parks of Berlin. Soil Syst. 2025, 9, 31. https://doi.org/10.3390/soilsystems9020031
Razipoor E, Mukherjee S, Schütt B. Spatiotemporal Variability of Soil Water Repellency in Urban Parks of Berlin. Soil Systems. 2025; 9(2):31. https://doi.org/10.3390/soilsystems9020031
Chicago/Turabian StyleRazipoor, Ehsan, Subham Mukherjee, and Brigitta Schütt. 2025. "Spatiotemporal Variability of Soil Water Repellency in Urban Parks of Berlin" Soil Systems 9, no. 2: 31. https://doi.org/10.3390/soilsystems9020031
APA StyleRazipoor, E., Mukherjee, S., & Schütt, B. (2025). Spatiotemporal Variability of Soil Water Repellency in Urban Parks of Berlin. Soil Systems, 9(2), 31. https://doi.org/10.3390/soilsystems9020031

