The Effect of Sodic Water Type on the Chemical Properties of Calcareous Soil in Semi-Arid Irrigated Land
Abstract
1. Introduction
2. Material and Methods
2.1. Location
2.2. Experimental Design
2.3. Soil and Water Analysis
2.4. Statistical Analysis
3. Results
3.1. Soil Properties before the Experiment
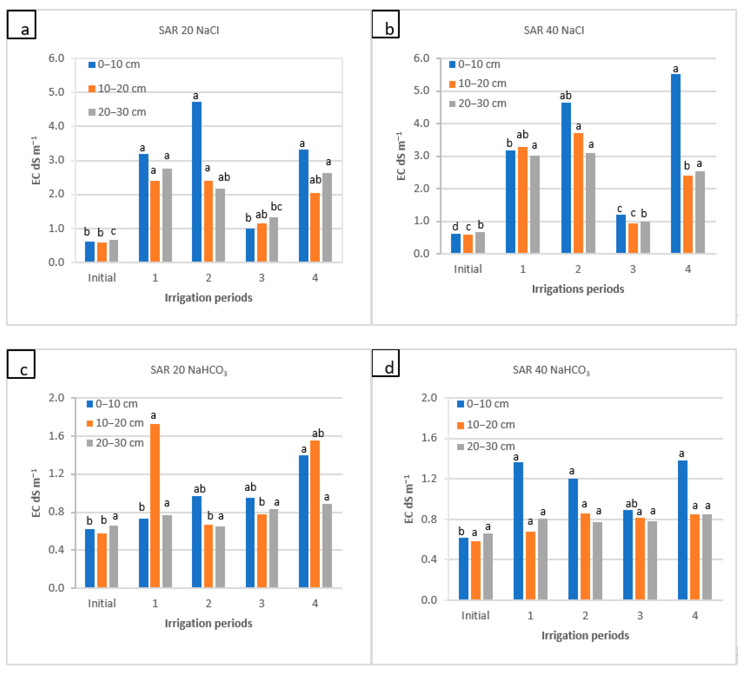
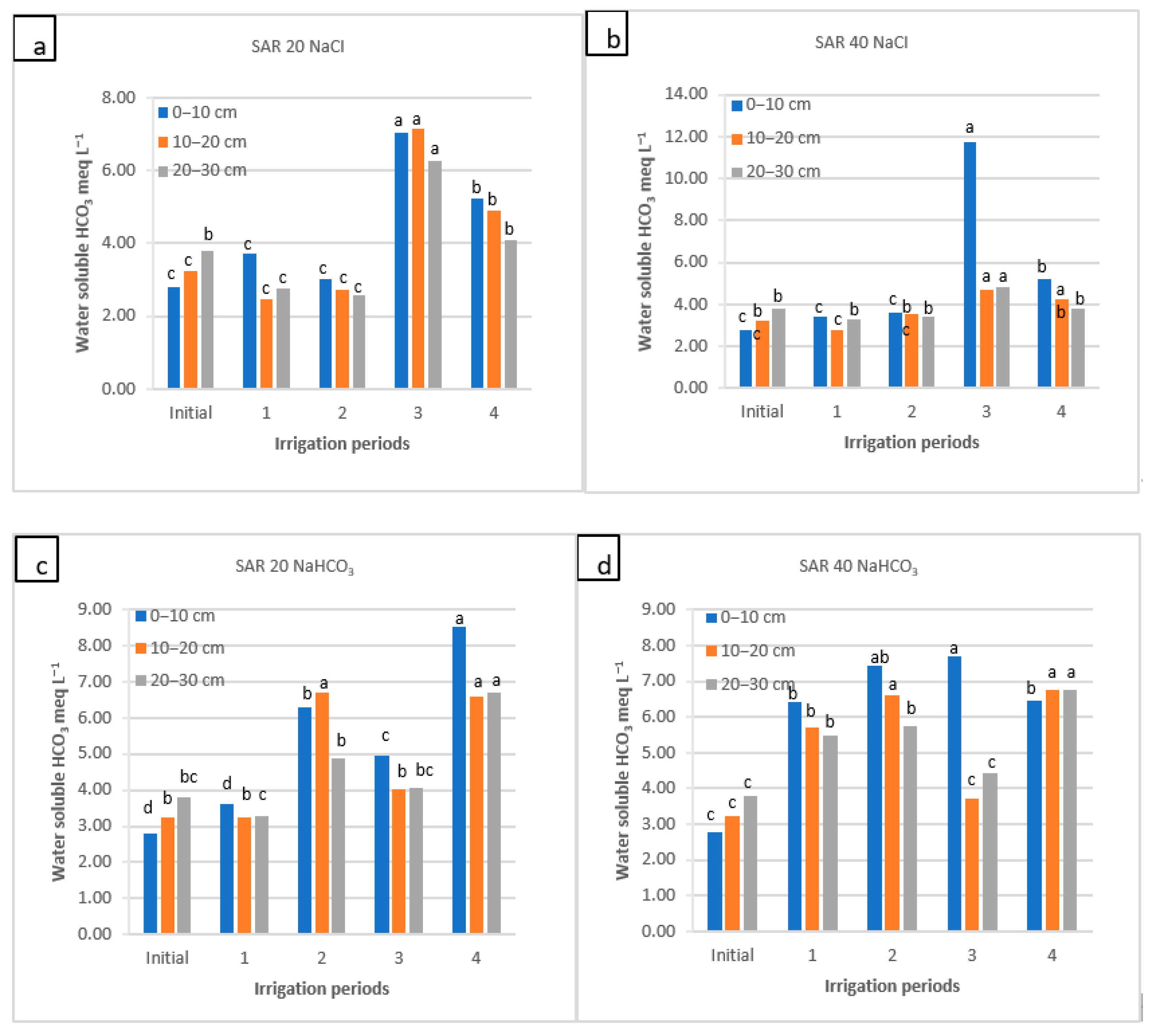
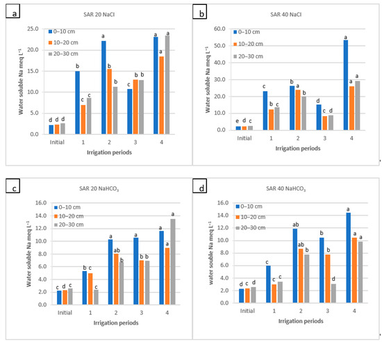
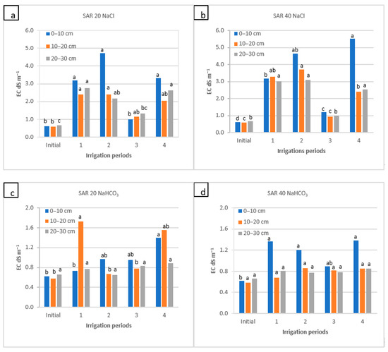
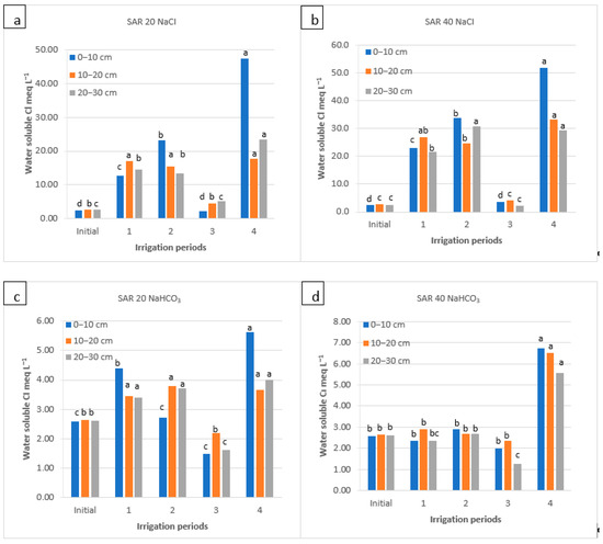
3.2. Effect of Irrigation on Water-Soluble Ion Concentration
3.3. Multivariate Analysis of Variance
4. Discussion
5. Conclusions
Supplementary Materials
Author Contributions
Funding
Institutional Review Board Statement
Informed Consent Statement
Data Availability Statement
Conflicts of Interest
References
- Fernández-Cirreli, A.; Arumí, J.L.; Rivera, D.; Boochs, P.W. Environmental effects of irrigation in arid and semi-arid regions. Chil. J. Agric. Res. 2009, 69, 27–40. [Google Scholar] [CrossRef]
- Bertran, J.M. Irrigation with saline water: Benefits and environmental impact. Agric. Water Manag. 1999, 40, 183–194. [Google Scholar] [CrossRef]
- Machado, R.M.A.; Serralheiro, R.P. Soil salinity: Effect on vegetable crop growth. Management practices to prevent and mitigate soil salinization. Horticulturae 2017, 3, 30. [Google Scholar] [CrossRef]
- Chen, W.; Jin, M.; Ferré, T.P.; Liu, Y.; Xian, Y.; Shan, T.; Ping, X. Spatial distribution of soil moisture, soil salinity, and root density beneath a cotton field under mulched drip irrigation with brackish and fresh water. Field Crops Res. 2018, 215, 207–221. [Google Scholar] [CrossRef]
- Pourgholam-Amijia, M.; Khoshraveshb, M.; Waqasc, M.M.; Mirzaeid, S.M.J. Study of combined magnetized water and salinity on soil permeability in North of Iran. Big Data Agric. 2020, 2, 69–73. [Google Scholar]
- Papazotos, P.; Koumantakis, I.; Vasileiou, E. Hydrogeochemical assessment and suitability of groundwater in a typical Mediterranean coastal area: A case study of the Marathon basin, NE Attica, Greece. HydroResearch 2019, 2, 49–59. [Google Scholar] [CrossRef]
- Tedeschi, A.; Dell’Aquila, R. Effects of irrigation with saline waters, at different concentrations, on soil physical and chemical characteristics. Agric. Water Manag. 2005, 77, 308–322. [Google Scholar] [CrossRef]
- Huang, C.H.; Xue, X.; Wang, T.; De Mascellis, R.; Mele, G.; You, Q.G.; Peng, F.; Tedeschi, A. Effects of saline water irrigation on soil properties in northwest China. Environ. Earth Sci. 2010, 63, 701–708. [Google Scholar] [CrossRef]
- Levy, G.J.; Goldstein, D.; Mamedov, A.I. Saturated hydraulic conductivity of semi—Arid soils: Combined effects of salinity, sodicity and rate of wetting. Soil Sci. Soc. Am. J. 2005, 69, 653–662. [Google Scholar] [CrossRef]
- Geerts, S.; Raes, D.; Garcia, M.; Condori, O.; Mamani, J.; Miranda, R.; Vacher, J. Could deficit irrigation be a sustainable practice for quinoa (Chenopodium quinoa Willd.) in the Southern Bolivian Altiplano? Agric. Water Manag. 2008, 95, 909–917. [Google Scholar] [CrossRef]
- Sheferia, B.; Seid, A. Effects of Saline Water and Irrigation Interval on Soil Physicochemical Properties. Adv. App. Sci. Res. 2021, 12, 10. [Google Scholar]
- Mantell, A.; Frenkle, H.; Meiri, A. Drip irrigation of cotton with saline sodic water. Irrig. Sci. 1985, 6, 95–106. [Google Scholar] [CrossRef]
- Cucci, G.; Lacolla, G.; Rubino, P. Irrigation with saline-sodic water: Effects on soil chemical-physical properties. Afr. J. Agric. Res. 2013, 8, 358–365. [Google Scholar]
- Sharma, S.K.; Manchanda, H.R. Influence of leaching with different amounts of water on desalinization and permeability behaviour of chloride and sulphate-dominated saline soils Agric. Water Manag. 1996, 31, 225–235. [Google Scholar] [CrossRef]
- Srivastava, P.K.; Gupta, M.; Pandey, A.; Pandey, V.; Singh, N.; Tewari, S.K. Effects of sodicity induced changes in soil physical properties on paddy root growth. Plant Soil Environ. 2014, 60, 165–169. [Google Scholar] [CrossRef]
- Ashenafi, W.; Bedadi, B. Studies on soil physical properties of salt affected soil in Amibara Area, Central Rift Valley of Ethiopia. Int. J. Agric. Sci. Nat. Resour. 2016, 3, 8–17. [Google Scholar]
- Wen, T.; Chen, X.; Shao, L. Effect of multiple wetting and drying cycles on the macropore structure of granite residual soil. J. Hydrol. 2022, 614, 128583. [Google Scholar] [CrossRef]
- Wen, T.; Chen, X.; Luo, Y.; Shao, L.; Niu, G. Three-dimensional pore structure characteristics of granite residual soil and their relationship with hydraulic properties under different particle gradation by X-ray computed tomography. J. Hydrol. 2023, 618, 129230. [Google Scholar] [CrossRef]
- Grattan, S.R.; Oster, J.D. Use and reuse of saline-sodic waters for irrigation of crops. In Crop production in Saline Environments: Global and Integrative Perspectives; Goyal, S.S., Sharma, S.K., Rains, D.W., Eds.; Haworth Press: New York, NY, USA, 2003; pp. 131–162. [Google Scholar]
- Levy, G.J.; Mamedov, A.I.; Goldstein, D. Sodicity and water quality effects on slaking of aggregates from semi-arid soils. Soil Sci. 2003, 168, 552–562. [Google Scholar] [CrossRef]
- Choudhary, O.P.; Josan, A.S.; Bajwa, M.S.; Kapur, M. Effect of sustained sodic and saline-sodic irrigations and application of gypsum and farmyard manure on yield and quality of sugarcane under semi-arid conditions. Field Crops Res. 2004, 87, 103–116. [Google Scholar] [CrossRef]
- Minhas, P.S.; Dubey, S.K.; Sharma, D.R. Effects of soil and paddy-wheat crops irrigated with residual alkalinity. Soil Use Manag. 2007, 23, 254–261. [Google Scholar] [CrossRef]
- Sharma, B.R.; Minhas, P.S. Strategies for managing saline/alkali waters for sustainable agriculture production in South Asia. Agric. Water Manag. 2015, 78, 136–151. [Google Scholar] [CrossRef]
- Lado, M.; Ben-Hur, M.; Assouline, S. Effects of effluent irrigation on seal formation, infiltration, and soil loss during rainfall. Soil Sci. Soc. Am. J. 2015, 69, 1432–1439. [Google Scholar] [CrossRef]
- Öztürk, H.S.; Saygin, S.D.; Copty, N.K.; İzci, E.; Erpul, G.; Demirel, B.; Saysel, A.K.; Babaei, M. Hydro-physical deterioration of a calcareous clay-rich soil by sodic water in Central Anatolia, Türkiye. Geoderma Reg. 2023, 33, e00649. [Google Scholar] [CrossRef]
- Agassi, M.; Tarchitzky, J.; Keren, R.; Chen, Y.; Goldstein, D.; Fizik, E. Effects of prolonged irrigation with treated municipal effluent on runoff rate. J. Environ. Qual. 2023, 32, 1053–1057. [Google Scholar] [CrossRef]
- Leuther, F.; Schlüter, S.; Wallach, R.; Vogel, H.J. Structure and hydraulic properties in soils under long-term irrigation with treated wastewater. Geoderma 2019, 333, 90–98. [Google Scholar] [CrossRef]
- Ajala, O.N.; Olaniyan, J.O.; Affinnih, K.; Ahamefule, H.E. Effect of Irrigation Water Quality on Soil Structure Along Asa River Bank. Ilorin Kwara State. Bulg. J. Soil. Sci. 2018, 3, 34–47. [Google Scholar]
- Javadi, A.; Mostafazadeh-Fard, B.; Shayannejad, M.; Mosaddeghi, M.R.; Ebrahimian, H. Soil physical and chemical properties and drain water quality as affected by irrigation and leaching managements. Soil Sci. Plant Nutr. 2019, 65, 321–331. [Google Scholar] [CrossRef]
- Ranjbar, F.; Jalali, M. Long-term simulation of some soil chemical properties under continuous wheat cultivation irrigated with waters of different qualities. Int. J. Environ. Sci. Technol. 2019, 16, 3249–3264. [Google Scholar] [CrossRef]
- Peker, A.E.; Öztürk, H.S. Sodyumlu sulama sularının toprak tuzluluk değişimine etkisi. Toprak Su Dergisi. 2020, 9, 102–115. [Google Scholar]
- Saygin, S.D.; Ozturk, H.S.; Izci, E.; Menon, M.; Nick, S.M.; Erpul, G.; Mawodza, T.; Copty, N. Solute movement through undisturbed calcareous and dry region soils under differing water flow velocities. In Proceedings of the Copernicus Meetings, Online, 19–30 April 2021; p. EGU21-15203. [Google Scholar] [CrossRef]
- Karahasan, B.C.; Pınar, M. Climate Change and Spatial Agricultural Development in Turkey. ERF Work. Pap. 2021, 27, 1699–1720. [Google Scholar] [CrossRef]
- Yerli, C.; Sahin, U. An assessment of the urban water footprint and blue water scarcity: A case study for Van (Turkey). Braz. J. Biol. 2021, 82, e249745. [Google Scholar] [CrossRef]
- Climate Change Post. Fresh Water Resources-Turkey. Retrieved from Climate Change Post website. Available online: https://www.climatechangepost.com/turkey/fresh-water-resources/ (accessed on 12 March 2023).
- Suarez, D.L.; Taber, P.E. Extract Chem Numerical Software Package for Estimating Changes in Solution Composition due to Changes in Soil Water Content; Version 2.0; US Salinity Lab.: Riverside, CA, USA, 2007. [Google Scholar]
- Bouyoucus, G.L. A recalibration of the hydrometer for making mechanical analysis of soils. Agron. J. 1951, 43, 434–438. [Google Scholar] [CrossRef]
- Richards, L.A. (Ed.) Diagnosis and Improvement of Saline and Alkali Soils (No 60); US Government Printing Office: Washington, DC, USA, 1954. [Google Scholar]
- Nelson, D.W.; Sommers, L.E. Total Carbon, Organic Carbon and Organic Matter. In Methods of Soil Analysis, Part II, Chemical and Microbiological Properties; ASA and SSSA. Agronomy Monograph No: 9; Soil Science Society of America, Inc.: Madison, WI, USA, 1982; pp. 539–579. [Google Scholar]
- Bower, C.A. Cation-exchange equilibria in soils affected by sodium salts. Soil Sci. 1959, 88, 32–35. [Google Scholar] [CrossRef]
- Jackson, M.L. Soil Chemical Analysis; Prentice Hall of India: New Delhi, India, 1967; pp. 38–82. [Google Scholar]
- Rana, L.; Dhankhar, R.; Chhikara, S. Soil characteristics affected by long term application of sewage wastewater. Int. J. Environ. Res. 2010, 4, 513–518. [Google Scholar]
- Alsadon, A.; Sadder, M.; Wahb-Allah, M. Responsive gene screening and exploration of genotypes responses to salinity tolerance in tomato. Aust. J. Crop Sci. 2013, 7, 1383–1395. [Google Scholar]
- Karakoç, B.; Kale, S. The Effects of Salt Levels in Irrigation Water with Various Salt Dissolubility on the Yield of Lettuce (Lactuca sativa). SDÜ J. Fac. Agric. 2016, 1, 1–7. [Google Scholar]
- Abu-Alrub, I.; Marcum, K.B.; Kabir, N.; Aran, A.; Hammadi, M.A. Productivity and nutritional value of four forage grass cultivars compared to Rhodes grass irrigated with saline water. Aust. J. Crop Sci. 2018, 12, 203–209. [Google Scholar] [CrossRef]
- Bauder, T.A.; Waskom, R.M.; Sutherland, P.; Davis, J.G. Irrigation Water Quality Criteria. Ph.D. Thesis, Colorado State University, Libraries, Ford Collins, CO, USA, 2011. [Google Scholar]
- Wang, H.; Tang, X.; Wang, H.; Shao, H.B. Proline accumulation and metabolism-related genes expression profiles in Kosteletzkya virginica seedlings under salt stress. Front. Plant Sci. 2015, 6, 792. [Google Scholar] [CrossRef]
- Pessoa, L.G.M.; dos Santos Freire, M.B.G.; dos Santos, R.L.; Freire, F.J.; Miranda, M.F.A.; dos Santos, P.R. Saline water irrigation in semiarid region: I-effects on soil chemical properties. Aust. J. Crop Sci. 2019, 13, 1169. [Google Scholar] [CrossRef]
- Öztürk, H.S.; Özkan, İ. Effects of Evaporation and different flow regimes on solute distribution in soil. Transp. Porous Media 2004, 56, 245–255. [Google Scholar] [CrossRef]
- Sreenivas, C.; Konda Reddy, C. Salinity-sodicity relationships of the Kalipatnam drainage pilot area, Godavari Western Delta, India. Irrig. Drain. 2008, 57, 533–544. [Google Scholar] [CrossRef]
- Duan, R.; Sheppard, C.D.; Fedler, C.B. Short-term effects of wastewater land application on soil chemical properties. Water Air Soil Pollut. 2010, 211, 165–176. [Google Scholar] [CrossRef]
- Rahil, M.; Hajjeh, H.; Qanadillo, A. Effect of saline water application through different irrigation intervals on tomato yield and soil properties. Open J. Soil. Sci. 2013, 3, 143–147. [Google Scholar] [CrossRef]
- Saygin, S.D.; Özturk, H.S.; Akca, M.O.; Copty, N.K.; Erpul, G.; Demirel, B.; Saysel, A.K.; Babaei, M. Solute transport through undisturbed carbonatic clay soils in dry regions under differing water quality and irrigation patterns. Geoderma 2023, 434, 116489. [Google Scholar] [CrossRef]
- Abedinpour, M. Assessments of saline water application and different irrigation intervals on soil and soybean yield. Azarian J. Agric. 2016, 3, 50–57. [Google Scholar]
- Costa, J.L.; Aparicio, V.C. Quality assessment of irrigation water under a combination of rain and irrigation. Agric. Water Manag. 2015, 159, 299–306. [Google Scholar] [CrossRef]
- Pondkule, R.G.; Jadhao, S.M. Impact of irrigation on soil properties in Purna valley of Vidarbha region of Maharashtra. IJCS 2020, 8, 2110–2114. [Google Scholar] [CrossRef]
- Bilgili, A. Spatial assessment of soil salinity in the harran Plain using multiple kriging techniques. Environ. Monit. Assess. 2013, 185, 777–795. [Google Scholar] [CrossRef]
- Rodrigues, M.S.; Alves, D.C.; Cunha, J.C.; Lima, A.M.N.; Cavalcante, I.H.L.; da Silva, K.A.; de Melo Junior, J.C.F. Spatial analysis of soil salinity in a mango irrigated area in semi-arid climate region. Aust. J. Crop Sci. 2018, 12, 1288. [Google Scholar] [CrossRef]
- Ragab, A.M.; Hellal, F.A.; Abd El-Hady, M. Water salinity impacts on some soil properties and nutrients uptake by wheat plants in sandy and calcareous soil. Aust. J. Basic. Appl. Sci. 2008, 2, 225–233. [Google Scholar]
- Mojiri, A. Effects of municipal wastewater on physical and chemical properties of saline soil. J. Biol. Envıron. Sci. 2011, 5, 71–76. [Google Scholar]
- Asadbegi, M.; Bahmani, O.; AtlassiPak, V. Impact of saline water on some ions uptake and yield of wheat genotypes and soil salt accumulation. Commun. Soil Sci. Plant Anal. 2019, 50, 2787–2796. [Google Scholar] [CrossRef]
- Van Hoorn, J.W.; Van Alpen, J.G. Salinity Control, Salt Balance and Leaching Requirement of Irrigated Soils. In 29th International Course Land Drainage; Lecture Notes; Landbouwuniversiteit: Wageningen, The Netherlands, 1990. [Google Scholar]
- Mahmoodabadi, M.; Yazdanpanah, N.; Sinobas, L.R. Reclamation of calcareous saline sodic soil with different amendments (I): Redistribution of soluble cations within the soil profile. Agric. Water Manag. 2013, 120, 30–38. [Google Scholar] [CrossRef]
- Zhang, T.; Zhan, X.; He, J.; Feng, H.; Kang, Y. Salt characteristics and soluble cations redistribution in an impermeable calcareous saline-sodic soil reclaimed with an improved drip irrigation. Agric. Water Manag. 2018, 197, 91–99. [Google Scholar] [CrossRef]
- Tavakkoli, E.; Rengasamy, P.; McDonald, G.K. High concentrations of Na+ and Cl– ions in soil solution have simultaneous detrimental effects on growth of faba bean under salinity stress. J. Exp. Bot. 2010, 61, 4449–4459. [Google Scholar] [CrossRef] [PubMed]
- Grattan, S.; Grieve, C.M. Mineral nutrient acquisition and response by plants grown in saline environments. In Handbook of Plant and Crop Stress; Pessarakli, M., Ed.; Marcel Dekker: New York, NY, USA, 1999; pp. 203–229. [Google Scholar]
- Jiao, Y.; Kang, Y.; Wan, S. Effect of soil matric potential on the distribution of soil salt under drip irrigation on saline and alkaline land in arid regions. Trans. CSAE 2008, 24, 53–58. [Google Scholar]
- Öztürk, H.S.; Özkan, İ. Solute movement in large soil columns during different ponded infiltration. Aust. J. Agri. Res. 2002, 53, 183–189. [Google Scholar]
- Günal, H. Clay Illuviation and Calcium Carbonate Accumulation along Precipitation Gradient in Kansas. Ph.D. Thesis, Kansas State University, Manhattan, KS, USA, 2001. [Google Scholar]
- Hanifa Lu, A. The Effect of Wastewater Effluent in Ahvaz on the Physical, Hydraulic and Chemical Properties of Soil in a Short Period of Time. Master’s Thesis, Shahid Chamran University of Ahvaz, Ahvaz, Iran, 2005; pp. 190–195. [Google Scholar]
- Korkmaz, N.; Gündüz, M.; Aşık, Ş. Temporal variation of ground water level and quality of agricultural lands south of Gediz River. Derim 2016, 33, 263–278. [Google Scholar]







| Irrigation Number | Date | Soil Moisture % | Applied Water, L | Added Salts by Irrigation Water, g | |||
|---|---|---|---|---|---|---|---|
| NaHCO3 | NaCI | ||||||
| SAR 20 | SAR 40 | SAR 20 | SAR 40 | ||||
| 1 May 2017—initial sampling | |||||||
| 1 | 17 May 2017 | 25 | 600 | 1.058 | 2.066 | 982.8 | 1.965 | 
| 2 | 2 June 2017 | 24 | 630 | 1.11 | 2.167 | 1.032 | 2.065 | 
| 3 | 16 June 2017 | 24 | 630 | 1.11 | 2.167 | 1.032 | 2.065 | 
| 4 | 18 June 2017 | 34 | 380 | 617 | 1.2 | 573 | 1.15 | 
| 5 | 5 July 2017 | 12 | 1040 | 1.835 | 3.58 | 1.7 | 3.408 | 
| 26 July 2017–28 July 2017—soil sampling (1st period) | |||||||
| 6 | 29 July 2017 | 20 | 820 | 1.446 | 2.82 | 1.343 | 2.686 | 
| 7 | 19 August 2017 | 20 | 820 | 1.446 | 2.82 | 1.343 | 2.686 | 
| 8 | 25 August 2017 | 20 | 820 | 1.446 | 2.82 | 1.343 | 2.686 | 
| 9 | 28 September 2017 | 23 | 648 | 1.143 | 2.229 | 1.061 | 2.122 | 
| 10 | 3 October 2017 | 26 | 576 | 1.016 | 1.981 | 943.4 | 1.886 | 
| 19 October 2017–22 October 2017—soil sampling (2nd period) | |||||||
| 15 May 2018–17 May 2018—soil sampling (3rd period) | |||||||
| 11 | 18 May 2018 | 25 | 600 | 1.058 | 2.066 | 982.8 | 1965.6 | 
| 12 | 14 July 2018 | 18 | 768 | 1.354 | 2.641 | 1.257 | 2.515 | 
| 13 | 20 July 2018 | 17 | 792 | 1.397 | 2.724 | 1.297 | 2.594 | 
| 14 | 19 August 2018 | 15.5 | 828 | 1.46 | 2.848 | 1.356 | 2.712 | 
| 15 | 26 August 2018 | 16 | 816 | 1.439 | 2.807 | 1.336 | 2.673 | 
| 18 June 2018–20 June 2018—soil sampling (4th period) | |||||||
| Soil Properties | Soil Depth (cm) | Water Quality SAR = 0.98 | ||
|---|---|---|---|---|
| 0–10 | 10–20 | 20–30 | ||
| Soil texture | Clay | Clay | Clay | |
| Sand, % | 27.72 | 28.85 | 30.54 | |
| Clay, % | 57.88 | 58.34 | 59.26 | |
| Silty, % | 14.4 | 12.81 | 10.2 | |
| CaCO3, % | 28.7 | 28.7 | 29.6 | |
| Organic matter, % | 1.35 | 1.32 | 1.08 | |
| CEC, cmolc/kg | 50.7 | 52.5 | 56.1 | |
| pH | 7.55 | 7.56 | 7.61 | 8.4 | 
| ECe, dS m−1 | 0.6 | 0.5 | 0.7 | 0.54 | 
| Soluble Na+, meq L−1 | 2.25 | 2.37 | 2.59 | 1.43 | 
| Soluble Ca2+, meq L−1 | 1.99 | 1.99 | 2.03 | 2.2 | 
| Soluble Mg2+, meq L−1 | 0.12 | 0.08 | 0.13 | 2.35 | 
| Soluble K+, meq L−1 | 0.11 | 0.09 | 0.09 | 0.12 | 
| Soluble Cl−, meq L−1 | 2.59 | 2.66 | 2.62 | 1.92 | 
| Soluble HCO3−, meq L−1 | 2.79 | 3.26 | 3.80 | 0.7 | 
| Soluble SO42−,meq L−1 | 1.75 | |||
| Variable | SAR | Water | Depth | SAR× Water | SAR× Depth | Water× Depth | SAR × Water × Depth | 
|---|---|---|---|---|---|---|---|
| Mg2+ | 0.00 * | 0.05 * | 0.45 | 0.09 | 0.00 * | 0.52 | 0.62 | 
| Na+ | 0.00 * | 0.00 * | 0.00 * | 0.00 * | 0.00 * | 0.00 * | 0.00 * | 
| K+ | 0.21 | 0.00 * | 0.00 * | 0.01 * | 0.25 | 0.00 * | 0.01 * | 
| Ca2+ | 0.00 * | 0.00 * | 0.00 * | 0.00 * | 0.00 * | 0.00 * | 0.00 * | 
| HCO3− | 0.00 * | 0.00 * | 0.00 * | 0.25 | 0.01 * | 0.06 | 0.00 * | 
| Cl− | 0.00 * | 0.00 * | 0.00 * | 0.00 * | 0.00 * | 0.00 * | 0.00 * | 
| pH | 0.05 * | 0.00 * | 0.27 | 0.43 | 0.67 | 0.00 * | 0.34 | 
| ECe | 0.06 | 0.00 * | 0.00 * | 0.47 | 0.25 | 0.00 * | 0.91 | 
| Parameter | Control | Significance | SAR 20 | Significance | SAR 40 | Significance | |
|---|---|---|---|---|---|---|---|
| Soluble | Mg2+ | 0.08ab | 0.22 | 0.12b | 0.18 | 0.05a | 0.22 | 
| cations | Na+ | 5.04a | 1.00 | 16.50b | 1.00 | 23.86c | 1.00 | 
| K+ | 0.09a | 0.31 | 0.10a | 0.31 | 0.11a | 0.31 | |
| Ca2+ | 1.70a | 1.00 | 4.76b | 1.00 | 3.94c | 1.00 | |
| Soluble | HCO3− | 4.23a | 1.00 | 6.00b | 1.00 | 5.54c | 1.00 | 
| anions | Cl− | 3.44a | 1.00 | 16.98b | 1.00 | 22.19c | 1.00 | 
| pH | 7.87a | 0.15 | 7.89ab | 0.15 | 7.96b | 0.19 | |
| ECe | 0.75b | 1.00 | 2.01a | 0.99 | 2.04a | 0.99 | |
| Parameter | Control | Significance | NaCl | Significance | NaHCO3 | Significance | |
|---|---|---|---|---|---|---|---|
| Soluble cations | Mg2+ | 0.08a | 0.20 | 0.10a | 0.20 | 0.07a | 0.20 | 
| Na+ | 5.44a | 1.00 | 28.96c | 1.00 | 11.40b | 1.00 | |
| K+ | 0.03a | 0.27 | 0.14b | 1.00 | 0.07a | 0.27 | |
| Ca2+ | 1.70a | 1.00 | 5.33c | 1.00 | 1.37b | 1.00 | |
| Soluble anions | HCO3− | 4.23a | 1.00 | 4.38b | 1.00 | 6.96c | 1.00 | 
| Cl− | 3.44a | 1.00 | 33.77c | 1.00 | 5.40b | 1.00 | |
| pH | 7.87a | 0.08 | 7.75a | 0.08 | 8.09b | 1.00 | |
| ECe | 0.75b | 0.53 | 3.08a | 1.00 | 1.11b | 0.53 | |
| Parameter | 0–10 cm | Significance | 10–20 cm | Significance | 20–30 cm | Significance | |
|---|---|---|---|---|---|---|---|
| Soluble cations | Mg2+ | 0.09a | 0.83 | 0.08a | 0.83 | 0.09a | 0.83 | 
| Na+ | 21.60c | 1.00 | 13.71a | 1.00 | 16.15b | 1.00 | |
| K+ | 0.16a | 1.00 | 0.07b | 0.87 | 0.07b | 0.87 | |
| Ca2+ | 4.83a | 1.00 | 2.11b | 1.00 | 2.11b | 1.00 | |
| Soluble anions | HCO3− | 5.93a | 1.00 | 5.35b | 0.12 | 5.11b | 0.12 | 
| Cl− | 23.13a | 1.00 | 12.74b | 0.68 | 13.19c | 0.68 | |
| pH | 7.94a | 0.19 | 7.92a | 0.19 | 7.88a | 0.19 | |
| ECe | 2.69a | 1.00 | 1.26b | 0.91 | 1.38b | 0.91 | |
| Disclaimer/Publisher’s Note: The statements, opinions and data contained in all publications are solely those of the individual author(s) and contributor(s) and not of MDPI and/or the editor(s). MDPI and/or the editor(s) disclaim responsibility for any injury to people or property resulting from any ideas, methods, instructions or products referred to in the content. | 
© 2024 by the authors. Licensee MDPI, Basel, Switzerland. This article is an open access article distributed under the terms and conditions of the Creative Commons Attribution (CC BY) license (https://creativecommons.org/licenses/by/4.0/).
Share and Cite
Peker, A.E.; Öztürk, H.S.; Mamedov, A.I. The Effect of Sodic Water Type on the Chemical Properties of Calcareous Soil in Semi-Arid Irrigated Land. Soil Syst. 2024, 8, 10. https://doi.org/10.3390/soilsystems8010010
Peker AE, Öztürk HS, Mamedov AI. The Effect of Sodic Water Type on the Chemical Properties of Calcareous Soil in Semi-Arid Irrigated Land. Soil Systems. 2024; 8(1):10. https://doi.org/10.3390/soilsystems8010010
Chicago/Turabian StylePeker, Ayşe E., Hasan S. Öztürk, and Amrakh I. Mamedov. 2024. "The Effect of Sodic Water Type on the Chemical Properties of Calcareous Soil in Semi-Arid Irrigated Land" Soil Systems 8, no. 1: 10. https://doi.org/10.3390/soilsystems8010010
APA StylePeker, A. E., Öztürk, H. S., & Mamedov, A. I. (2024). The Effect of Sodic Water Type on the Chemical Properties of Calcareous Soil in Semi-Arid Irrigated Land. Soil Systems, 8(1), 10. https://doi.org/10.3390/soilsystems8010010
 
        



 
       