Next Article in Journal
CO2 Emissions in Layered Cranberry Soils under Simulated Warming
Next Article in Special Issue
Effect of Natural Phytohormones on Growth, Nutritional Status, and Yield of Mung Bean (Vigna radiata L.) and N Availability in Sandy-Loam Soil of Sub-Tropics
Previous Article in Journal
Integrated Biological and Chemical Control against the Maize Late Wilt Agent Magnaporthiopsis maydis
Previous Article in Special Issue
Impacts of Landfill Leachate on the Surrounding Environment: A Case Study on Amin Bazar Landfill, Dhaka (Bangladesh)
 
 
Font Type:
Arial Georgia Verdana
Font Size:
Aa Aa Aa
Line Spacing:
Column Width:
Background:
Article

Large Chestnut Trees Did Not Respond to Annual Fertiliser Applications, Requiring a Long-Term Approach to Establishing Effective Fertilisation Plans

by
Margarida Arrobas
1,2,
João Silva
3,
Mariah Ruaro Busato
4,
Ana Carolina Ferreira
4,
Soraia Raimundo
1,2,
Abel Pereira
5,
Taciane Finatto
4,
Nilvania Aparecida de Mello
4,
Carlos Manuel Correia
6 and
Manuel Ângelo Rodrigues
1,2,*
1
Centro de Investigação de Montanha (CIMO), Instituto Politécnico de Bragança, Campus de Santa Apolónia, 5300-253 Bragança, Portugal
2
Laboratório para a Sustentabilidade e Tecnologia em Regiões de Montanha, Instituto Politécnico de Bragança, Campus de Santa Apolónia, 5300-253 Bragança, Portugal
3
Cadubal-Companhia de Adubos, S.A. Zona Industrial Fase 1, S/N, 4935-231 São Romão Do Neiva, Viana Do Castelo, Portugal
4
Campus Pato Branco, Universidade Tecnológica Federal do Paraná, Pato Branco 85503-390, Brazil
5
ARBOREA—Associação Agro-Florestal e Ambiental da Terra Fria Transmontana, Rua Álvaro Leite, No. 3, 5320-332 Vinhais, Portugal
6
Centre for the Research and Technology of Agro-Environmental and Biological Sciences (CITAB), University of Trás-os-Montes e Alto Douro, 5000-801 Vila Real, Portugal
*
Author to whom correspondence should be addressed.
Soil Syst. 2023, 7(1), 2; https://doi.org/10.3390/soilsystems7010002
Submission received: 15 December 2022 / Revised: 30 December 2022 / Accepted: 1 January 2023 / Published: 5 January 2023

Abstract

Due to the high value of the fruit, the European chestnut (Castanea sativa Mill.), usually grown in agroforestry systems, has been planted as a single species in orchards managed with increasingly intensive cropping practices, such as the regular use of fertilisers. This justifies research into establishing fertilisation programmes oriented towards ecological intensification. In this study, the results of fruit production, plant nutritional status and soil properties are reported from a field trial in which three NPK fertilisers (20:7:10, 13:11:21 and 7:14:14) and a control treatment were used. Chestnut yields did not vary significantly between treatments, although the mean values of the control showed a clear downward trend. N supplied by the fertilisers seems to have been the most important factor in the difference between the fertilised and control treatments, since leaf N concentrations were lower in the control and often below the lower limit of the sufficiency range. Soil inorganic N levels in the autumn, and tissue N concentrations of the herbaceous vegetation developing beneath the trees, indicated risks of N loss to the environment and highlighted the importance of this vegetation remaining during the winter. The chestnuts’ poor response to fertiliser applications was attributed to the buffering effect of the large perennial structure of the trees on the distribution of nutrients to the growing plant parts. In large trees, it seems appropriate to base the annual fertilisation plan on leaf nutrient concentration. Thus, farmers probably should avoid spending money on fertilizer applications as long as leaf nutrient concentrations do not approach the lower limits of sufficiency ranges.

1. Introduction

Chestnuts are the main source of income for farmers in the upland areas of the north of Portugal. However, farmers are facing a quite complex situation due to a set of pests and diseases that weaken the trees, thereby reducing their productivity and, in some cases, causing their death. Currently, ink disease (Phytophthora sp.pl.), chestnut blight (Cryphonectria parasitica (Murrill) Barr.) and the Asian gall wasp (Dryocosmus kuriphilus Yasumatsu) are the main health problems affecting chestnut trees [1,2,3]. Notwithstanding this, chestnuts have maintained very good market prices [4], which has led farmers to devote great attention and care to their crops, either replacing dead trees or establishing new orchards [5].
Chestnut is grown all over the world as part of agroforestry systems with little phytotechnical intensification [6]. In the mountainous areas of the north of Portugal, the lack of other crop options has raised chestnut to the status of the main crop, having been grown in monoculture and integrated into increasingly intensive farming systems, in a similar way to orchards of other important fruit trees [7,8,9]. One of the practices that has received greater attention from producers is fertilisation, with trees currently being fertilised regularly [5,10,11].
Crop fertilisation, being essential for obtaining high productivity in any species [12,13,14], can also be associated with high risks of environmental contamination, especially the use of N fertilisers that can lead to the eutrophication of ground water [15,16] and the emission of greenhouse gases into the atmosphere, in particular, N oxides [17,18]. Thus, crop fertilisation must be managed judiciously, in order to apply the appropriate nutrient rates, thereby reducing the risk of environmental damage [19,20,21,22].
The prospects of a growing global population and the need to feed it, associated with the risks of environmental contamination, have led to the need to develop farming practices based on the concept of ecological intensification [23,24], which, in practice, means maintaining high productivity, but by using production factors in a more rational way. Thus, as with the main world crops, but also with chestnut, it is necessary to manage resources properly, using them in the smallest amounts necessary to maintain productivity.
Previous work carried out in NE Portugal has shown that in chestnut groves, nutrients are often below the lower limit of the sufficiency range [25] and that trees generally tend to respond to fertiliser applications [11,26], although in some studies, they did not [5]. However, there are still only a few studies on chestnut fertilisation, and the use of fertilisers is far from being optimized, with more data being required to establish adequate fertilisation programmes. It is therefore necessary to establish better guidelines for the fertilisation of these trees, to try to keep them healthy and productive, so that these magnificent ecosystems may persist, allowing man to continue to occupy these mountain territories which are showing concerning signs of depopulation [27]. This study reports the results from a field experiment of chestnut fertiliser application using NPK fertilisers with different combinations of macronutrients, trying as best as possible to replicate the diversity of fertilisers found on the market, which farmers have access to. The objectives of the study are to understand better how these huge trees respond to fertiliser application so as to help farmers make better decisions when they need to acquire them.

2. Materials and Methods

2.1. Experimental Conditions

The field experiment took place in Vinhais (41°50′15.8″ N; 7°03′40.4″ W, 800 m above sea level), northeastern Portugal, in a 50-year-old chestnut orchard of the cultivar Judia with trees spaced at 10 m × 10 m. The region benefits from a warm-summer Mediterranean climate (Csb), according to the Köppen–Geiger classification [28]. The annual mean temperature and the accumulated annual precipitation are 11.9 °C and 880 mm, respectively. Average monthly temperatures and precipitation of the climatological normal (1981–2010), together with those recorded during the experimental period (2018–2021), are presented in Figure 1.
The soil where the chestnut orchard is planted is a Leptosol, sandy-loam textured. It is a very shallow soil (~0.20 m deep), which separates, determined from composite soil samples (n = 3) taken from the 0.0–0.2 m soil layer at the beginning of the study, were 11.8% clay, 17.3% silt and 70.9% sand. Soil organic C was low, pH acidic and extractable P and K were medium and very high, respectively. Some other soil properties determined at the beginning of the field trial are presented in Table 1.

2.2. Experimental Design and Management of the Field Trial

Sixteen large-sized trees with similar, spherical canopies (~270 m3) were selected for the study. They were randomly distributed into four groups, corresponding to four fertilisation treatments, with four trees (replicates) in each treatment, in a completely randomized design. The treatments consisted of three compound NPK fertilisers with different levels of N, P and K, and an unfertilised control.
One of the treatments, named 7:14:14, consisted of the application of a 7:14:14 NPK compound fertiliser that doses 7% N (5% ammoniacal-N and 2% ureic-N), 14% P2O5 (11% water soluble) and 14% K2O. This fertiliser also contains 4% CaO, 2% MgO, 15% SO3, and 0.02% B. Another treatment named YA20:7:10, corresponds to the application of the commercial fertiliser Yara MilaTM Actyva 20:7:10, with 20% N (9.4% nitric-N, 10.6% ammoniacal-N), 7% P2O5 (25 to 30% as polyphosphates) and 10% K2O. The fertiliser also contains other important nutrients, namely S (10% SO3) and Mg (3% MgO). The third treatment, named YS13:11:21, consisted of the application of the NPK compound fertiliser Yara MilaTM Solán 13:11:21, which doses 13% N (5.5% nitric-N, 7.7% ammoniacal-N), 11% P2O5 (20 to 30% as polyphosphates) and 21% K2O. This fertiliser also contains relevant amounts of Mg (2% MgO) and B (0.2%).
All fertilisers were applied at a rate of 4 kg per tree (~400 kg ha−1). Thus, the YA20:7:10 treatment corresponded to an application of 80, 28 and 40 kg ha−1 of N, P2O5 and K2O, respectively; the 7:14:14 treatment to an application of 28, 56 and 56 kg ha−1 of N, P2O5 and K2O, respectively, and the YS13:11:21 to an application of 52, 44, 84 kg ha−1 of N, P2O5 and K2O, respectively. Similar fertilisations are commonly used by local farmers, and these particular fertilisers were chosen for the trial because they present a good variation in the levels of macronutrients.
The fertilisers were evenly applied beneath the canopy of the trees in the first week of April over the four years of the study and incorporated with a cultivator. The orchard was tilled a second time every year at the end of May to control the weeds. No further cropping practices were carried out in the orchard during the four years of the study.

2.3. Measurements in the Field

The effect of the treatments was assessed in the field by measuring the greenness of the leaves and by chlorophyll a fluorescence analysis.
The SPAD (Soil and Plant Analysis Development)-502 Plus chlorophyll meter (Spectrum Technologies, Inc., Aurora, IL, USA) was used to measure leaf greenness. SPAD-502 provides dimensionless readings, proportional to the chlorophyll content of the leaves, by measuring the transmittance of light through the leaves at 650 nm (red light, absorbed by chlorophyll) and 940 nm (infrared light, non-absorbed by chlorophyll). Each mean value was obtained after 30 individual readings taken around the crown on fully expanded young leaves.
Chlorophyll a fluorescence was assessed using the dark adaptation protocols with the OS-30p+ fluorometer (Opti-sciences, Inc., Hudson, NH, USA). FM, F0 and FV are, respectively, maximum, minimum and variable fluorescence from dark-adapted leaves. FV/FM is estimated as (FM − F0)/FM.
To harvest the chestnuts, it is necessary to wait for them to fall to the ground and then pick them up manually or mechanically. In this experiment, the fruits were harvested manually, in three passes during the autumn, to allow individual weighing per tree. In 2021, the COVID-19 pandemic restrictions did not allow the completion of harvest records, and therefore, only the values for 2018–2020 are available.

2.4. Soil and Plant Tissue Sampling and Analytical Determinations

Three composite samples were taken at the beginning of the experiment to characterize the experimental plot. The soil was sampled again in October 2021 to evaluate the effect of the treatments on soil properties. All soil samples taken to the laboratory were composite samples, taken at six different sampling points. Sampling was carried out in the 0.0–0.20 m soil layer, beneath the canopy of the trees, where the fertilisers had been applied.
Soil samples were oven-dried at 40 °C and sieved (2 mm mesh). Thereafter, the samples were analysed for pH (H2O and KCl) (soil: solution, 1:2.5), cation-exchange capacity (ammonium acetate, pH 7.0), organic C (wet digestion, Walkley-Black method) and extractable P and K (Egner–Riehm method, ammonium lactate extract). Soil B was extracted by hot water and determined by the method of azomethine-H. For more details on these analytical procedures, the reader is referred to van Reeuwijk [29]. The availability of other micronutrients (Cu, Fe, Zn, and Mn) in the soil was determined by atomic absorption spectrometry after extraction with ammonium acetate and EDTA, according to the method described by Lakanen and Erviö [30]. Soil inorganic-N was determined in soil extracts prepared from 20 g of soil and 40 mL 2 M KCl. The suspension was shaken for 1 h and filtered through Watmann No. 42 filter paper. Nitrate and ammonium concentrations in the extracts were analysed in an UV–Vis spectrophotometer [31].
By the end of July, in each of the four years, samples of young, fully developed leaves were taken for elemental analysis. Following each harvest, samples of 50 nuts per tree were randomly taken to evaluate their size and also for elemental analysis. After counting and weighing, the kernel was separated from shell and pellicle, and the two parts analysed separately. In April 2022, the spontaneous vegetation which had developed beneath the canopy of the trees was mowed to serve as a biological index of soil-available nutrients. The samples were collected by randomly placing a grid of 0.5 m × 0.5 m on the vegetation.
The samples of leaves, fruit kernels, shells and pellicles and spontaneous vegetation, were oven-dried at 70 °C until they reached a constant weight and ground (1 mm mesh). Elemental analyses of tissue samples were performed by Kjeldahl (N), colorimetry (B and P) and atomic absorption spectrophotometry (K, Ca, Mg, Fe, Mn, Cu, Zn) methods [32] after tissue samples had been previously digested with nitric acid in a microwave.

2.5. Data Analysis

The data was analysed for normality and homogeneity of variance using the Shapiro–Wilk and Bartlett’s test, respectively. The analysis of variance was performed as a one-way ANOVA, using the Statistical Package for the Social Sciences (SPSS) version 25 (IBM Corporation, New York, NY, USA). When significant differences were found, the means were separated by the Tukey HSD post hoc test (α = 0.05).

3. Results

3.1. Chestnut Yield

Chestnut yield did not vary significantly in the three years in which it was possible to collect the fruits (Figure 2). However, the accumulated yield of the three years showed a clear tendency towards reduction in the control in comparison to the fertilised treatments. In addition, the probability values decreased over time, nearing significant differences between treatments in the last year (2020) for which it was possible to obtain records. In the YS13:11:21 treatment, an accumulated average nut yield of 94.9 kg tree−1 was recorded, while in the control treatment, the value was 80 kg tree−1.

3.2. Nutrients in Plant Tissues and Chlorophyll a Fluorescence

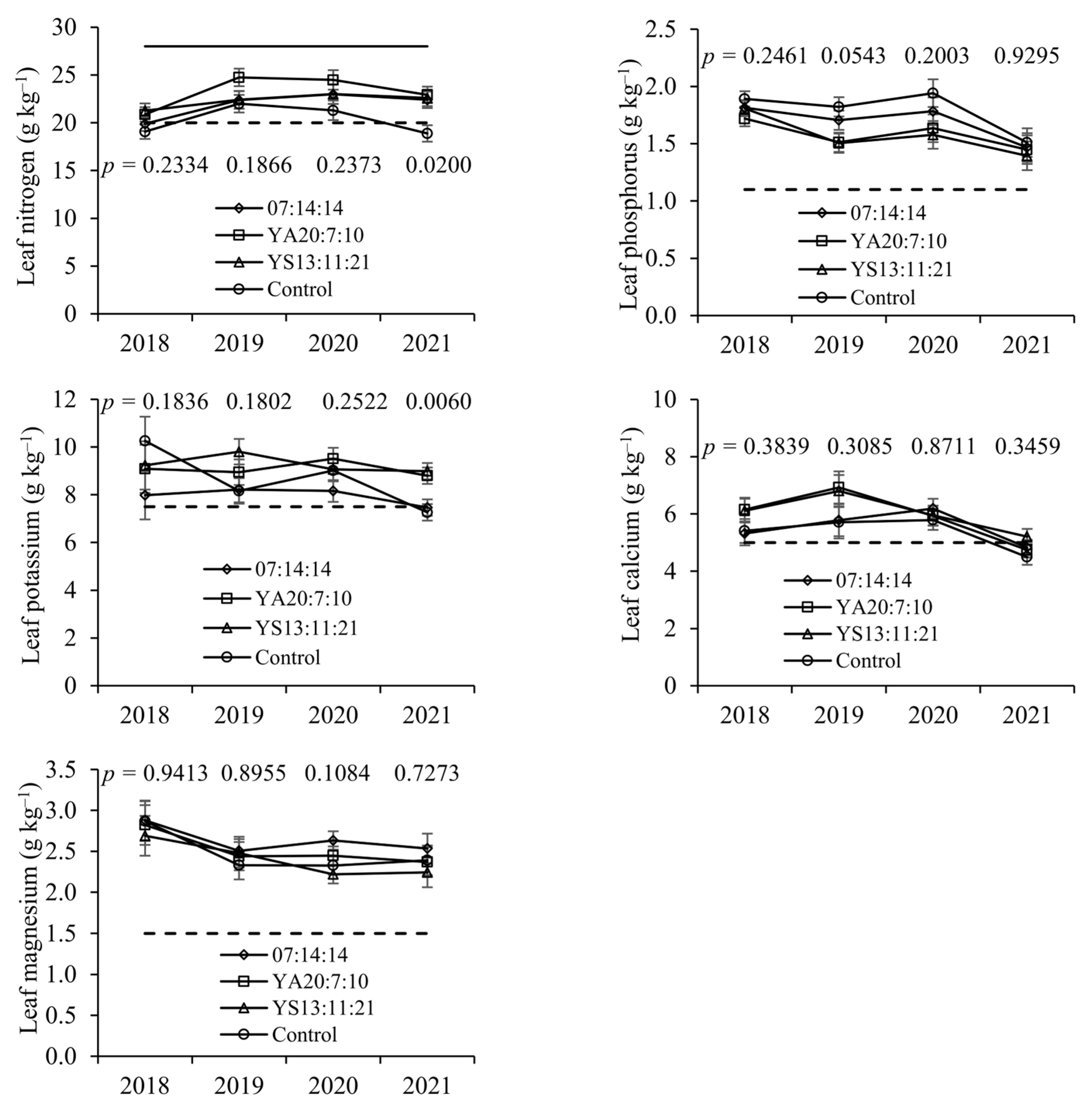
Leaf nitrogen concentrations varied significantly between treatments only in the 2021 sampling (Figure 3). In the last year, the control treatment displayed an average concentration of N in the leaves (18.9 g kg−1) much lower than the values recorded in the fertilised treatments (22.4 to 22.9 g kg−1) and below the lower limit of the sufficiency range. Fertiliser YA20:7:10, being more concentrated in N, showed average concentrations of leaf N tending to be higher than the other treatments. Leaf P concentrations did not vary significantly between treatments and remained above the lower limit of the sufficiency range. No sign of any coherence was observed between the application of P and the concentration of the nutrient in the leaves. The concentrations of K in leaves fluctuated inconsistently with treatments over the years, although there were found to be significant differences between treatments in the last sampling. As observed for P, there seem to have been more important variables other than the application of these nutrients determining their concentration in the leaves. The values of K tended to remain above the lower limit of the sufficiency range. Leaf concentrations of Ca and Mg did not vary significantly between treatments. In the case of Ca, the values were close to the lower limit of the sufficiency range and those of Mg were clearly within the interval of adequate concentrations.
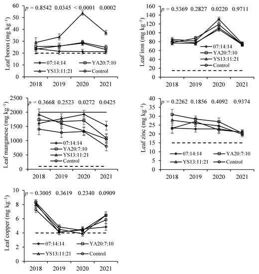
Leaf B concentrations remained low in three treatments (07:14:14, YA20:7:10 and control) for all sampling dates, but without going down to the deficiency zone (Figure 4). The fertiliser YS13:11:21 which, in addition to the macronutrients N, P and K, also contains B (0.2%), maintained a nutrient concentration in the leaves higher than the other treatments, especially in the last two samplings. Fe concentrations in the leaves fluctuated within the sufficiency range, but without a clear coherence between treatments. The average levels of Mn in the leaves appeared in the upper part of the sufficiency range, although they never reached the toxicity zone. Control treatment values remained consistently lower than those for the fertilised treatments. The concentrations of Zn and Cu in the leaves showed no relationship with the fertilisation treatments and were, in general, within their sufficiency ranges.
The concentration of the majority of nutrients in the kernel and shell did not vary significantly with fertilisation treatments (data not shown). Only the concentration of B in these tissues showed a pattern that is worth reporting. In the kernel, significant differences between treatments were found in the last sampling (2020), with the highest values recorded in treatment YS13:11:21 (Figure 5). In the shell, the same pattern of the kernel was maintained, but with more accentuated average differences between the YS13:11:21 and other treatments. In the shell, the average B concentrations were also higher than in the kernel for the same treatment and sampling date.
Mean SPAD values showed a tendency to be lower in the control treatment compared to the fertilised treatments (Table 2). In the 2021 reading, significant differences were found between the values of the YA20:710 fertiliser (47.5), the most concentrated in N, and the control (44.2). A somewhat similar trend showed FV/FM, although for this variable, the differences were only significant in the 2019 readings, with the mean value of the YA20:7:10 treatment (0.834) being higher than that of the control (0.807).

3.3. Chemical Soil Properties

Fertilisation treatments carried out during the four consecutive years did not influence soil organic C content (Table 3). However, fertilisation acidified the soil (pHH2O and pHKCl) compared to the control treatment. Extractable P also varied significantly with the fertilisation treatment, with the highest mean values appearing in the treatments corresponding to the fertilisers more concentrated in P. Soil K levels also varied significantly with treatments and, as for P, there was also a good consistency between the application of the nutrient and its resulting level in the soil.
Soil exchangeable Ca2+ and Mg2+ did not vary significantly with fertilisation treatments (Table 4). The exchangeable K+ (extracted by ammonium acetate) varied significantly with the treatments and the mean values were related to the amount of nutrient provided by the fertilisers, as had been verified with the K extracted by the Egner-Riehm method (ammonium lactate). Soil Na+ levels also varied with treatments, with mean values being significantly higher in the 07:14:14 and YS13:11:21 fertiliser plots compared to the values in the YA20:7:10 and control plots. Exchangeable acidity also varied significantly between treatments, with the lowest mean value being recorded in the control treatment. The cation-exchange capacity did not vary significantly with the treatments, maybe because no significant differences were found between two important bases, Ca2+ and Mg2+.
Soil B levels were significantly higher in the YS13:11:21 treatment than in the other fertilisation treatments and in the control (Table 5). In contrast, soil Fe, Zn and Cu levels did not vary significantly with treatments. In the case of Mn, significant differences between treatments were observed, with the lowest mean values being recorded in the control treatment.
Soil ammonium levels extracted by hot or cold KCl did not vary significantly with the fertilisation treatments, although the average values were higher in treatment YA20:7:10, the fertiliser being more concentrated in N (Table 6). The hydrolysable NH4+ showed significant differences between treatments, with the mean value of YA20:7:10 being higher than that of the other treatments. Soil nitrate levels also varied significantly between treatments, with YA20:7:10 and the control recording the highest and lowest mean values, respectively.
The development of spontaneous vegetation beneath the canopy of trees, where fertilisers were applied, showed significant differences between treatments (Table 7). Dry matter yield appeared in three response groups, in which the values were higher in the YA20:7:10 treatment, followed by the YS13:11:21 and 7:14:14 treatments and finally, the control treatment. N concentrations in the dry matter followed exactly the same trend, while the concentrations of the macronutrients P and K did not vary significantly between treatments. Tissue B concentration was significantly higher in YS13:11:21 than in the other treatments. Tissue Mn levels did not differ significantly between treatments, although the control treatment had the lowest mean value, following the trend observed in chestnut leaves and the soil. For the other nutrients analysed (Ca, Mg, Fe, Cu and Zn), there were no significant differences or any trend that deserve to be reported.

4. Discussion

The annual and accumulated (2018–2020) chestnut yields did not vary significantly with fertilisation treatments. However, the average accumulated yield showed a clear tendency of reduction in the control in relation to the fertilised treatments. Chestnut trees are particularly large, with a huge perennial structure and canopy. In previous studies, it has already been observed that chestnut tends to respond poorly to fertilisers applied to the soil, probably due to the buffering effect that the perennial structure exerts in regulating the supply of nutrients for the growth of the aerial plant parts [5].
Leaf N concentrations tended to be higher in the fertilised treatments, which were more concentrated in N compared to the control, although significant differences only occurred on the last sampling date. In the control treatment, the values were close to the lower limit of the sufficiency range, having even fallen into the deficiency range on some sampling dates. The relevant structural role of N in plant tissues is undeniable [33], and it is still recognized as the main nutrient that limits plant productivity in both natural ecosystems and cultivated fields [19]. This result points to N as the most likely cause for the apparent drop in productivity in the control treatment. The SPAD values, which have been used mainly as an index of the N nutritional status of crops [5,29,34], agreed with tissue N concentrations, and in 2021, significant differences were found between the YA20:7:10 treatment and the control. The FV/FM ratio, a widely used indicator of photoinhibition or other injuries at the PSII complexes [35], followed the same trend as the N nutritional status indices, with values in the control being lower than in the treatment YA20:7:10 in the 2019 reading. However, the values never dropped below 0.78, which is the threshold limit below which most plants are considered to be under clear environmental stress [26,36,37,38]. Thus, the values of the maximum quantum efficiency of PSII also highlight the poor response of the photochemical reactions of photosynthesis of these huge trees to nutrient supply.
Leaf P concentrations did not vary significantly with treatments and always remained within the sufficiency range established for this species (1.1 to 3.0%) [25,39]. Initial soil P levels were at a level classified as medium (Table 1), and in the region, it has been difficult to obtain a response of different crop species to P applications [5,40,41]. In chestnut, the lack of response may be due to those reasons but also to the buffering effect of the perennial parts, already mentioned for N, and to a possible role of mycorrhizal fungi. Chestnut is recognized as a plant that establishes symbiotic relationships with several mycorrhizal fungi [42]. One of the main benefits for mycorrhizal plants is the access to sparingly soluble P sources that non-mycorrhizal plants do not have [43,44,45,46,47]. Thus, whatever the reason, the results seem to indicate a reduced importance of P in chestnut tree fertilisation programmes.
Although soil K levels increased with the application of fertilisers, no significant differences were observed in the K concentrations of the chestnut leaves. Leaf K concentrations varied greatly over the years and between treatments, although they generally remained within the sufficiency range. This pattern of K is common in shrub and tree species [13,21,38,48] and may be due to source/sink relationships and/or environmental constraints. Growing fruits are a primary sink for available K, the nutrient being remobilized from leaves [33]. In chestnut, fruit growth coincides with the end of summer, a period in which there is often little soil moisture, which limits the movement of nutrients in the soil by mass flow and diffusion, making nutrient uptake difficult [19]. In addition, the original levels of K in the soil were relatively high, which would have reduced the impact of applying K as a fertiliser. Finally, the buffering effect of the perennial tree structure may have moderated the effects of the fertiliser applications, as mentioned for N and P.
Tissue B levels differed between treatments on three dates, with YS13:11:21 fertiliser (B-rich) values being significantly higher than in the other treatments. Additionally in the fruits, B concentrations were the highest in the YA13:11:21 treatment, in particular, in the shell. Boron is very important in dicots, where it plays an important role in cell wall and membrane integrity, with these plants requiring greater amounts of B than monocots [48,49,50]. In the region, dicots often respond to the application of B [12,41,51]. In this field trial, however, tissue B levels were never below the sufficiency range even though they were close to the limit. Perhaps for this reason, B was not determinant in crop productivity, in contrast to what has been shown in other studies with chestnut [11,52,53,54].
In the control treatment, mean leaf Mn levels were lower than in the fertilised treatments, and the differences were statistically significant on the last sampling date. A tendency for lower Mn levels in soils was also observed in the control treatment. Soil pH in the control was higher than in the fertilised treatments, particularly in those that had a greater amount of applied N. Nitrification can decrease soil pH [19], and the increase of available Mn levels in the fertilised treatments may have been a reflection of pH reduction [19,49]. Even so, leaf Mn levels never exceeded the upper limit of the sufficiency range, which is set at 2000 mg kg−1 [25,39], so its effect on crop productivity must not have been relevant.
In the autumn, the availability of inorganic N in the soil as measured by hydrolysable NH4+ and cold-extracted NO3- was higher in the treatments with more N-concentrated fertilisers. This may indicate a greater risk of N loss through leaching and/or denitrification, since the rainy season follows, a precondition for the occurrence of these phenomena [19]. However, in April, dry matter and tissue N concentrations in the spontaneous vegetation were also higher in the treatments that received more N as a fertiliser. These plants, which appear after the first autumn rains and develop during the winter, can play important roles by controlling soil erosion [55,56], increasing soil organic matter [57,58] and developing ecosystem biodiversity [59,60]. They also act as an N catch crop [21,61], justifying the promotion of their presence in orchard soils [62]. This result also shows that the effect of N applications is easier to obtain in herbaceous vegetation than in a tree, probably due to the latter’s large perennial structure. It seems clear that in large trees, it is more difficult to get a response to fertilisation and therefore, more difficult to optimize a fertilisation programme. In trees, a dynamic optimization method should always be used [63], by which, based on a given annual fertilisation plan, nutrient concentrations in leaves are monitored and fertiliser rates adjusted according to increasing (reduce fertilisation) or decreasing (increase fertilisation) concentrations of a particular nutrient being observed in leaves. This is a programme optimized for long-term monitoring and not just based on annual observations, which is the procedure currently used in fruit crops.
In Mediterranean climates, with rainfall concentrated in the winter, and the summer being particularly dry, in rainfed orchards, where there are no fertigation practices, there is only one window of opportunity to apply fertilizers, which is in early spring, just before the regrowth of vegetation. If applying earlier, there is a risk of loss of mobile nutrients, such as N, by leaching and denitrification, whereas if applying later, there is a risk of loss of effectiveness due to reduced soil moisture [21]. In addition, slow and controlled release fertilizers tend to be less effective, as they delay nutrient availability for the summer, when the opportunity for root uptake is low [64].

5. Conclusions

The results of this study indicate that these large trees had a poor response to the annual application of fertilisers. Even so, the nutrient that had the greatest effect on the plant was N, since on some dates, significant differences were observed between treatments in leaf N concentrations, and the nutrient in the control treatment was close to, or even below the lower limit of the sufficiency range. The poor response of trees to fertiliser applications was probably due to the buffering effect that the huge perennial structure has on the redistribution of nutrients by the growing plant parts. Thus, in large trees, the fertilisation plan must be based on monitoring leaf nutrient concentration over time and on evaluating the trend of the nutrient concentrations in the leaves. As long as there is no decrease of leaf nutrient concentration that approaches the lower limit of the sufficiency ranges, the farmer should probably avoid spending money on fertiliser applications. In contrast, the herbaceous vegetation developing beneath the canopy responded to the application of fertilisers, in particular to N, with increased dry matter yield and tissue nutrient concentrations. This vegetation, which begins to develop with the first autumn rains, seems to play an important role in protecting the soil and acts as a catch crop, reducing the risk of N loss during the winter.

Author Contributions

Conceptualization, M.Â.R. and C.M.C.; methodology, M.Â.R., M.A., T.F. and N.A.d.M.; investigation, M.R.B., A.C.F. and S.R.; data curation, M.Â.R.; writing—original draft preparation, M.A.; writing—review and editing, M.Â.R. and C.M.C.; project administration, J.S. and A.P.; funding acquisition, J.S. and M.Â.R. All authors have read and agreed to the published version of the manuscript.

Funding

This work was funded by the Operational Group “EGIS–Estratégias de Gestão Integrada do Solo e da Água em Espécies Produtoras de Frutos Secos”, funded by PT2020 and EAFRD (European Agricultural Fund for Rural Development). The authors are also grateful to the Foundation for Science and Technology (FCT, Portugal) for financial support through national funds FCT/MCTES (PIDDAC) to CIMO (UIDB/00690/2020 and UIDP/00690/2020), SusTEC (LA/P/0007/2021) and CITAB (UIDB/04033/2020).

Institutional Review Board Statement

Not applicable.

Informed Consent Statement

Not applicable.

Data Availability Statement

The data that support the findings of this study are available from the corresponding author upon reasonable request.

Conflicts of Interest

The authors declare no conflict of interest.

References

  1. Gouveia, E. Doenças [Crop diseases]. In Manual de boas Práticas do Castanheiro [Handbook of Good Management Practices on Chestnut Orchards]; Bento, A., Ribeiro, A.C., Eds.; Terras de Trás-os-Montes: Bragança, Portugal, 2020; pp. 191–203. (In Portuguese) [Google Scholar]
  2. Santos, A.; Marrão, R.; Bento, A. Pragas [Pests]. In Manual de Boas Práticas do Cas-Tanheiro [Handbook of Good Management Practices on Chestnut Orchards]; Bento, A., Ribeiro, A.C., Eds.; Terras de Trás-os-Montes: Bragança, Portugal, 2020; pp. 205–227. (In Portuguese) [Google Scholar]
  3. Rosário, J.N.; Coelho, V.; Rodrigues, M.; Raimundo, S.; Afonso, S.; Arrobas, M.; Gouveia, M.E. Metalaxyl-M, phosphorous acid and potassium silicate applied as soil drenches show different chestnut seedling performance and protection against Phytophthora root rot. Eur. J. Plant Pathol. 2021, 161, 147–159. [Google Scholar] [CrossRef]
  4. INE (Instituto Nacional de Estatística); [National Institute of Statistics]. Estatísticas Agrícolas–2020 [Agricultural Statistics–2020]; INE: Lisboa, Portugal, 2021. (In Portuguese) [Google Scholar]
  5. Rodrigues, M.; Raimundo, S.; Pereira, A.; Arrobas, M. Large Chestnut Trees (Castanea sativa) Respond Poorly to Liming and Fertilizer Application. J. Soil Sci. Plant Nutr. 2020, 20, 1261–1270. [Google Scholar] [CrossRef]
  6. Aguiar, C.F. Sistemática, morfologia, fenologia e biologia da reprodução [Systematics, morphology, phenology and biology of reproduction]. In Manual de boas Práticas do Castanheiro [Handbook of Good Management Practices on Chestnut Orchards]; Bento, A., Ribeiro, A.C., Eds.; Terras de Trás-os-Montes: Bragança, Portugal, 2020; pp. 31–72. (In Portuguese) [Google Scholar]
  7. Almeida, A.C.F. Instalação da cultura [Crop planting]. In Manual de boas Práticas do Castanheiro [Handbook of Good Management Practices on Chestnut Orchards]; Bento, A., Ribeiro, A.C., Eds.; Terras de Trás-os-Montes: Bragança, Portugal, 2020; pp. 85–92. (In Portuguese) [Google Scholar]
  8. Rodrigues, M.A.; Arrobas, M. Gestão do solo [Soil management]. In Manual de boas Práticas do Castanheiro [Handbook of Good Management Practices on Chestnut Orchards]; Bento, A., Ribeiro, A.C., Eds.; Terras de Trás-os-Montes: Bragança, Portugal, 2020; pp. 119–129. (In Portuguese) [Google Scholar]
  9. Patrício, M.A. Sistemas de condução e poda [Training and pruning systems]. In Manual de boas Práticas do Castanheiro [Handbook of Good Management Practices on Chestnut Orchards]; Bento, A., Ribeiro, A.C., Eds.; Terras de Trás-os-Montes: Bragança, Portugal, 2020; pp. 149–170. (In Portuguese) [Google Scholar]
  10. Arrobas, M.; Rodrigues, M.A. Fertilização [Crop fertilization]. In Manual de boas Práticas do Castanheiro [Handbook of Good Management Practices on Chestnut Orchards]; Bento, A., Ribeiro, A.C., Eds.; Terras de Trás-os-Montes: Bragança, Portugal, 2020; pp. 131–148. (In Portuguese) [Google Scholar]
  11. Rodrigues, M.; Grade, V.; Barroso, V.; Pereira, A.; Cassol, L.C.; Arrobas, M. Chestnut Response to Organo-mineral and Controlled-Release Fertilizers in Rainfed Growing Conditions. J. Soil Sci. Plant Nutr. 2019, 20, 380–391. [Google Scholar] [CrossRef]
  12. Arrobas, M.; Ribeiro, A.; Barreales, D.; Pereira, E.L.; Rodrigues, M. Soil and foliar nitrogen and boron fertilization of almond trees grown under rainfed conditions. Eur. J. Agron. 2019, 106, 39–48. [Google Scholar] [CrossRef]
  13. Lopes, J.I.; Gonçalves, A.; Brito, C.; Martins, S.; Pinto, L.; Moutinho-Pereira, J.; Raimundo, S.; Arrobas, M.; Rodrigues, M.; Correia, C.M. Inorganic Fertilization at High N Rate Increased Olive Yield of a Rainfed Orchard but Reduced Soil Organic Matter in Comparison to Three Organic Amendments. Agronomy 2021, 11, 2172. [Google Scholar] [CrossRef]
  14. Ferreira, I.Q.; Arrobas, M.; Moutinho-Pereira, J.M.; Correia, C.M.; Rodrigues, M. The effect of nitrogen applications on the growth of young olive trees and nitrogen use efficiency. Turk. J. Agric. For. 2020, 44, 278–289. [Google Scholar] [CrossRef]
  15. Yang, X.; Zhang, P.; Li, W.; Hu, C.; Zhang, X.; He, P. Evaluation of four seagrass species as early warning indicators for nitrogen overloading: Implications for eutrophic evaluation and ecosystem management. Sci. Total Environ. 2018, 635, 1132–1143. [Google Scholar] [CrossRef]
  16. Poikane, S.; Phillips, G.; Birk, S.; Free, G.; Kelly, M.G.; Willby, N.J. Deriving nutrient criteria to support ‘good’ ecological status in European lakes: An empirically based approach to linking ecology and management. Sci. Total Environ. 2019, 650, 2074–2084. [Google Scholar] [CrossRef]
  17. Coyne, M.S. Biological denitrification. In Nitrogen in Agricultural Systems, Agrono-My Monograph n.◦ 49; Schepers, J.S., Raun, W.R., Eds.; ASA, CSSA, SSSA: Madison, WI, USA, 2008; pp. 201–253. [Google Scholar]
  18. Pelster, D.E.; Larouche, F.; Rochette, P.; Chantigny, M.H.; Allaire, S.; Angers, D.A. Nitrogen fertilization but not soil tillage affects nitrous oxide emissions from a clay loam soil under a maize–soybean rotation. Soil Tillage Res. 2011, 115–116, 16–26. [Google Scholar] [CrossRef]
  19. Weil, R.R.; Brady, N.C. The Nature and Properties of Soils, 15th ed.; Global Edition: London, UK, 2017. [Google Scholar]
  20. Bryson, G.; Mills, H.A.; Sasseville, D.N.; Jones, J.B., Jr.; Barker, A.V. Plant Analysis Handobook III. A Guide to Sampling, Preparation, Analysis and Interpretation for Agronomic and Horticultural Crops; Micro-Macro Publishing, Inc.: Athens, GA, USA, 2014. [Google Scholar]
  21. Silva, E.; Arrobas, M.; Gonçalves, A.; Martins, S.; Raimundo, S.; Pinto, L.; Brito, C.; Moutinho-Pereira, J.; Correia, C.M.; Rodrigues, M. A controlled-release fertilizer improved soil fertility but not olive tree performance. Nutr. Cycl. Agroecosyst. 2021, 120, 1–15. [Google Scholar] [CrossRef]
  22. Rodrigues, M.; Torres, L.D.N.D.; Damo, L.; Raimundo, S.; Sartor, L.; Cassol, L.C.; Arrobas, M. Nitrogen Use Efficiency and Crop Yield in Four Successive Crops Following Application of Biochar and Zeolites. J. Soil Sci. Plant Nutr. 2021, 21, 1053–1065. [Google Scholar] [CrossRef]
  23. Tilman, D.; Balzer, C.; Hill, J.; Befort, B.L. Global food demand and the sustainable intensification of agriculture. Proc. Natl. Acad. Sci. USA 2011, 108, 20260–20264. [Google Scholar] [CrossRef] [PubMed]
  24. Tittonell, P. Ecological intensification of agriculture—Sustainable by nature. Curr. Opin. Environ. Sustain. 2014, 8, 53–61. [Google Scholar] [CrossRef]
  25. Arrobas, M.; Afonso, S.; Rodrigues, M. Diagnosing the nutritional condition of chestnut groves by soil and leaf analyses. Sci. Hortic. 2018, 228, 113–121. [Google Scholar] [CrossRef]
  26. Arrobas, M.; Afonso, S.; Ferreira, I.Q.; Moutinho-Pereira, J.; Correia, C.M.; Rodrigues, M. Liming and application of nitrogen, phosphorus, potassium, and boron on a young plantation of chestnut. Turk. J. Agric. For. 2017, 41, 441–451. [Google Scholar] [CrossRef]
  27. INE (Instituto Nacional de Estatística); [National Institute of Statistics]. Recenseamento Agrícola–2019 [Agricultur-al Census–2019]; INE: Lisboa, Portugal, 2019. [Google Scholar]
  28. IPMA (Instituto Português do Mar e da Atmosfera); [Portuguese Institute of the Sea and the Atmosphere]. Normais Climatológicas [Climate Normals]. 2022. Available online: https://www.ipma.pt/pt/oclima/normais.clima/ (accessed on 15 April 2022). (In Portuguese).
  29. Van Reeuwijk, L. Procedures for Soil Analysis; Technical Paper 9; Int Soil Ref Inform Center: Wageningen, MI, USA, 2002. [Google Scholar]
  30. Lakanen, E.; Erviö, R. A Comparison of eight extractants for the determination of plant available micronutrients in soils. Acta Agral. Fenn. 1971, 123, 223–232. [Google Scholar]
  31. Baird, R.B.; Eaton, A.D.; Rice, E.W. Nitrate by ultraviolet spectrophotometric method. In Standard Methods for the Examination of Water and Wastewater; American Public Health Association, American Water Works Association, Water Environment Federation: Washington, DC, USA, 2017. [Google Scholar]
  32. Temminghoff, E.E.J.M.; Houba, V.G. Plant Analysis Procedures, 2nd ed.; Kluwer Acad Publ.: Dordrecht, The Netherlands, 2004. [Google Scholar] [CrossRef]
  33. Hawkesford, M.; Horst, W.; Kichey, T.; Lambers, H.; Schjoerring, J.; Skrumsager Møller, I.; White, P. Functions of macronutrients. In Marschner’s Mineral Nutrition of Higher Plants, 3rd ed.; Marschner, P., Ed.; Elsevier Ltd.: Amsterdam, The Netherlands, 2012; pp. 135–189. [Google Scholar] [CrossRef]
  34. Afonso, S.; Arrobas, M.; Ferreira, I.Q.; Rodrigues, M. Assessing the potential use of two portable chlorophyll meters in diagnosing the nutritional status of plants. J. Plant Nutr. 2017, 41, 261–271. [Google Scholar] [CrossRef]
  35. Maxwell, K.; Johnson, G.N. Chlorophyll fluorescence—A practical guide. J. Exp. Bot. 2000, 51, 659–668. [Google Scholar] [CrossRef]
  36. Opti-Sciences. Desktop Plant Stress Guide; Edition 3.0; Opti-Sciences: Hudson, WI, USA, 2014; Available online: www.optisci.com (accessed on 15 April 2022).
  37. Rodrigues, M.; Afonso, S.; Ferreira, I.Q.; Arrobas, M. Response of stevia to nitrogen fertilization and harvesting regime in northeastern Portugal. Arch. Agron. Soil Sci. 2017, 63, 626–637. [Google Scholar] [CrossRef]
  38. Ferreira, I.Q.; Arrobas, M.; Moutinho-Pereira, J.; Correia, C.; Rodrigues, M. Olive response to potassium applications under different water regimes and cultivars. Nutr. Cycl. Agroecosyst. 2018, 112, 387–401. [Google Scholar] [CrossRef]
  39. Portela, E.; Martins, A.; Pires, A.L.; Raimundo, F.; Marques, G. Práticas culturais no souto: O manejo do solo [Cropping practices in chestnut orchards: Soil management]. In Castanheiros [Chestnut Groves]; Gomes-Laranjo, J., Ferreira-Cardoso, J., Portela, E., Abreu, C.G., Eds.; Universidade de Trás-os-Montes e Alto Douro: Vila Real, Portugal, 2007; pp. 207–264. (In Portuguese) [Google Scholar]
  40. Ferreira, I.Q.; Rodrigues, M.; Moutinho-Pereira, J.M.; Correia, C.M.; Arrobas, M. Olive tree response to applied phosphorus in field and pot experiments. Sci. Hortic. 2018, 234, 236–244. [Google Scholar] [CrossRef]
  41. Rodrigues, M.; Ferreira, I.Q.; Afonso, S.; Arrobas, M. Sufficiency ranges for lemon balm and nutrient removals in aboveground phytomass. J. Plant Nutr. 2018, 41, 996–1008. [Google Scholar] [CrossRef]
  42. Pereira, E.; Coelho, V.; Tavares, R.M.; Lino-Neto, T.; Baptista, P. Effect of competitive interactions between ectomycorrhizal and saprotrophic fungi on Castanea sativa performance. Mycorrhiza 2012, 22, 41–49. [Google Scholar] [CrossRef] [PubMed]
  43. Mechri, B.; Attia, F.; Tekaya, M.; Cheheb, H.; Hammami, M. Colonization of olive trees (Olea europaea L.) with the arbuscular mycorrhizal fungus Glomus sp. modified the glycolipids biosynthesis and resulted in accumulation of unsaturated fatty acids. J. Plant Physiol. 2014, 171, 1217–1220. [Google Scholar] [CrossRef] [PubMed]
  44. Lanfranco, L.; Bonfante, P.; Genre, A. The mutualistic interaction between plants and arbuscular mycorrhizal fungi. Microbiol. Spectr. 2016, 4, 1–20. [Google Scholar] [CrossRef] [PubMed]
  45. Tekaya, M.; Mechri, B.; Mbarki, N.; Cheheb, H.; Hammami, M.; Attia, F. Arbuscular mycorrhizal fungus Rhizophagus irregularis influences key physiological parameters of olive trees (Olea europaea L.) and mineral nutrient profile. Photosynthetica 2017, 55, 308–316. [Google Scholar] [CrossRef]
  46. Ortaş, I.; Bykova, A. The Effect of Mycorrhiza Inoculation and Phosphorus Application on Phosphorus Efficiency of Wheat Plants. Commun. Soil Sci. Plant Anal. 2018, 49, 1199–1207. [Google Scholar] [CrossRef]
  47. Lopes, J.; Arrobas, M.; Brito, C.; Gonçalves, A.; Silva, E.; Martins, S.; Raimundo, S.; Rodrigues, M.; Correia, C. Mycorrhizal Fungi were More Effective than Zeolites in Increasing the Growth of Non-Irrigated Young Olive Trees. Sustainability 2020, 12, 10630. [Google Scholar] [CrossRef]
  48. Afonso, S.; Arrobas, M.; Morais, J.S.; Rodrigues, M. Hop dry matter yield and cone quality responses to amino acid and potassium-rich foliar spray applications. J. Plant Nutr. 2021, 44, 2042–2056. [Google Scholar] [CrossRef]
  49. Broadley, M.; Brown, P.; Cakmak, I.; Rengel, Z.; Zhao, F. Function of nutrients: Micronutrients. In Marschner’s Mineral Nutrition of Higher Plants, 3rd ed.; Marschner, P., Ed.; Elsevier Ltd.: Amsterdam, The Netherlands, 2012; pp. 191–248. [Google Scholar] [CrossRef]
  50. Wimmer, M.A.; Eichert, T. Review: Mechanisms for boron deficiency-mediated changes in plant water relations. Plant Sci. 2013, 203–204, 25–32. [Google Scholar] [CrossRef]
  51. Ferreira, I.Q.; Rodrigues, M.; Arrobas, M. Soil and foliar applied boron in olive: Tree crop growth and yield, and boron remobilization within plant tissues. Span. J. Agric. Res. 2019, 17, e0901. [Google Scholar] [CrossRef]
  52. Portela, E.A.C.; Ferreira-Cardoso, J.V.; Louzada, J.L. Boron application on a chestnut orchard: Effect on yield and quality of nuts. J. Plant Nutr. 2011, 34, 1245–1253. [Google Scholar] [CrossRef]
  53. Portela, E.; Ferreira-Cardoso, J.; Louzada, J.; Gomes-Laranjo, J. Assessment of Boron Application in Chestnuts: Nut Yield and Quality. J. Plant Nutr. 2015, 38, 973–987. [Google Scholar] [CrossRef]
  54. Portela, E.M.A.C.; Louzada, J.L.P. Early diagnosis of boron deficiency in chestnut. J. Plant Nutr. 2012, 35, 304–310. [Google Scholar] [CrossRef]
  55. Keesstra, S.; Pereira, P.; Novara, A.; Brevik, E.C.; Azorin-Molina, C.; Parras-Alcántara, L.; Jordán, A.; Cerdà, A. Effects of soil management techniques on soil water erosion in apricot orchards. Sci. Total Environ. 2016, 551–552, 357–366. [Google Scholar] [CrossRef] [PubMed]
  56. Repullo-Ruibérriz De Torres, M.A.; Ordóñez-Fernández, R.; Giráldez, J.V.; Márquez-García, J.; Laguna, A.; Carbonell-Bojollo, R. Efficiency of four different seeded plants and native vegetation as cover crops in the control of soil and carbon losses by water erosion in olive orchards. Land Degrad. Dev. 2018, 29, 2278–2290. [Google Scholar] [CrossRef]
  57. Márquez-García, F.; Sánchez, E.J.G.; Castro-Garcia, S.; Ordóñez-Fernández, R. Improvement of soil carbon sink by cover crops in olive orchards under semiarid conditions. Influence of the type of soil and weed. Span. J. Agric. Res. 2013, 11, 335. [Google Scholar] [CrossRef]
  58. Rodrigues, M.; Dimande, P.; Pereira, E.L.; Ferreira, I.Q.; Freitas, S.; Correia, C.M.; Moutinho-Pereira, J.; Arrobas, M. Early-maturing annual legumes: An option for cover cropping in rainfed olive orchards. Nutr. Cycl. Agroecosyst. 2015, 103, 153–166. [Google Scholar] [CrossRef]
  59. Nicholls, C.I.; Parrella, M.P.; Altieri, M.A. Reducing the abundance of leafhoppers and thrips in a northern California organic vineyard through maintenance of full season floral diversity with summer cover crops. Agric. For. Éntomol. 2000, 2, 107–113. [Google Scholar] [CrossRef]
  60. Irvin, N.A.; Bistline-East, A.; Hoddle, M.S. The effect of an irrigated buckwheat cover crop on grape vine productivity, and beneficial insect and grape pest abundance in southern California. Biol. Control 2016, 93, 72–83. [Google Scholar] [CrossRef]
  61. De Notaris, C.; Rasmussen, J.; Sørensen, P.; Olesen, J.E. Nitrogen leaching: A crop rotation perspective on the effect of N surplus, field management and use of catch crops. Agric. Ecosyst. Environ. 2018, 255, 1–11. [Google Scholar] [CrossRef]
  62. Rodrigues, M.A.; Arrobas, M. Cover cropping for increasing fruit production and farming sustainability. In Fruit Crops: Diagnosis and Management of Nutrient Constraints; Srivastava, A.K., Hu, C., Eds.; Elsevier: Amsterdam, The Netherlands, 2020; pp. 279–295. [Google Scholar]
  63. Arrobas, M.; Rodrigues, M.A. Fertilização do Pomar Baseada no Método de Otimização Dinâmica. Revista Voz do Campo; Voz do Campo Editora, Lda.: Castelo Branco, Portugal, 2021; pp. 61–63. [Google Scholar]
  64. Arrobas, M.; Belotto, L.B.; Marchetti, J.A.; Barroso, V.; Raimundo, S.; Cassol, L.C.; Correia, C.M.; Rodrigues, M.Â. Excessive delay in nutrient release by controlled-release fertilizers can reduce chestnut yield. Horticulturae 2022, 8, 1067. [Google Scholar] [CrossRef]
Figure 1. Average monthly temperature and accumulated monthly precipitation during the experimental period, and climatological normal values for the region.
Figure 1. Average monthly temperature and accumulated monthly precipitation during the experimental period, and climatological normal values for the region.
Soilsystems 07 00002 g001
Figure 2. Average annual nut yield as a response to fertilisation treatments. Error bars are the standard errors.
Figure 2. Average annual nut yield as a response to fertilisation treatments. Error bars are the standard errors.
Soilsystems 07 00002 g002
Figure 3. Leaf concentrations of nitrogen, phosphorus, potassium, calcium and magnesium as a response to fertilisation treatments. Dashed and solid lines are, respectively, the lower and upper limits of the sufficiency ranges. Error bars are the standard errors.
Figure 3. Leaf concentrations of nitrogen, phosphorus, potassium, calcium and magnesium as a response to fertilisation treatments. Dashed and solid lines are, respectively, the lower and upper limits of the sufficiency ranges. Error bars are the standard errors.
Soilsystems 07 00002 g003
Figure 4. Leaf concentration of boron, iron, manganese, zinc and copper as a response to fertilisation treatments. Dashed and solid lines are, respectively, the lower and upper limits of the sufficiency ranges. Error bars are the standard errors.
Figure 4. Leaf concentration of boron, iron, manganese, zinc and copper as a response to fertilisation treatments. Dashed and solid lines are, respectively, the lower and upper limits of the sufficiency ranges. Error bars are the standard errors.
Soilsystems 07 00002 g004
Figure 5. Boron concentrations in kernel and shell as a response to fertilisation treatments. Error bars are the standard errors.
Figure 5. Boron concentrations in kernel and shell as a response to fertilisation treatments. Error bars are the standard errors.
Soilsystems 07 00002 g005
Table 1. Selected soil properties (average ± standard deviation, n = 3) from composite samples (10 cores per composite sample) taken at 0–0.20 m depth at the beginning of the study.
Table 1. Selected soil properties (average ± standard deviation, n = 3) from composite samples (10 cores per composite sample) taken at 0–0.20 m depth at the beginning of the study.
Soil Properties Soil Properties (Cont.)
1 Organic carbon (g kg−1)13.4 ± 0.504 Exchang. sodium (cmolc kg−1)0.1 ± 0.02
2 pH (H2O)5.3 ± 0.195 Exchang. acidity (cmolc kg−1)0.7 ± 0.08
2 pH (KCl)4.2 ± 0.156 CEC (cmolc kg−1)6.0 ± 0.26
3 Extract. phosphorus (mg kg−1, P2O5)93.1 ± 15.757 Extract. boron (mg kg−1)0.4 ± 0.06
3 Extract. potassium (mg kg−1, K2O)344.7 ± 20.638 Extract. iron (mg kg−1)62.2 ± 4.78
4 Exchang. calcium (cmolc kg−1)3.1 ± 0.208 Extract. zinc (mg kg−1)2.5 ± 0.31
4 Exchang. magnesium (cmolc kg−1)1.1 ± 0.118 Extract. copper (mg kg−1)1.2 ± 0.25
4 Exchang. potassium (cmolc kg−1)1.0 ± 0.138 Extract. manganese (mg kg−1)132.6 ± 18.59
1 Wet digestion (Walkley–Black); 2 Potentiometry; 3 Ammonium lactate; 4 Ammonium acetate; 5 Potassium chloride; 6 Cation Exchange Capacity; 7 Hot water, azomethine-H; 8 Ammonium acetate and EDTA (ethylenediaminetetraacetic acid).
Table 2. SPAD-readings and FV/FM (ratio of variable fluorescence/maximum fluorescence) as a function of fertilisation treatments.
Table 2. SPAD-readings and FV/FM (ratio of variable fluorescence/maximum fluorescence) as a function of fertilisation treatments.
Fertilisation SPAD FV/FM
Treatment201920202021201920202021
7:14:1444.4 a *43.6 a44.8 ab0.814 ab0.833 a0.821 a
YA20:7:1045.4 a45.6 a47.5 a0.834 a0.845 a0.828 a
YS13:11:2146.3 a45.2 a45.9 ab0.824 ab0.829 a0.829 a
Control43.9 a43.4 a44.2 b0.807 b0.827 a0.817 a
Prob > F0.07620.18370.04320.03310.17970.3712
St. error0.630.820.770.0060.0050.005
* In columns, means followed by the same letter are not significantly different by Tukey HSD test (α = 0.05).
Table 3. Soil organic carbon (C), pH and extractable phosphorus (P) and potassium (K) (Egner-Riehm) as a function of fertilisation treatments.
Table 3. Soil organic carbon (C), pH and extractable phosphorus (P) and potassium (K) (Egner-Riehm) as a function of fertilisation treatments.
FertilisationOrganic C Extractable PExtractable K
Treatmentg kg−1pH(H2O)pH(KCl)mg kg−1, P2O5mg kg−1, K2O
7:14:1413.8 a *5.08 bc4.11 b142.6 a414.0 ab
YA20:7:1013.4 a4.89 c4.02 b95.0 b327.8 b
YS13:11:2113.5 a5.11 bc4.13 b121.1 ab519.0 a
Control12.5 a5.41 a4.33 a81.3 b303.8 b
Prob > F0.6947<0.00010.00170.00640.0006
St. error0.790.0480.04310.528.1
* In columns, means followed by the same letter are not significantly different by Tukey HSD test (α = 0.05).
Table 4. Soil exchangeable bases, exchangeable acidity (EA) and cation-exchange capacity (CEC) as a function of fertilisation treatments.
Table 4. Soil exchangeable bases, exchangeable acidity (EA) and cation-exchange capacity (CEC) as a function of fertilisation treatments.
Exchangeable Complex
FertilisationCa2+Mg2+K+Na+EACEC
Treatment cmolc kg−1
7:14:143.43 a *1.00 a1.08 ab0.44 a0.85 ab6.73 a
YA20:7:102.88 a1.02 a0.81 b0.07 b1.15 a5.95 a
YS13:11:212.36 a0.78 a1.37 a0.44 a1.17 a6.00 a
Control3.25 a1.16 a0.80 b0.16 b0.70 b6.34 a
Prob > F0.32330.23710.00170.00020.00730.7907
St. error0.420.120.090.050.090.61
* In columns, means followed by the same letter are not significantly different by Tukey HSD test (α = 0.05).
Table 5. Soil boron, iron, zinc, copper and manganese as a function of fertilisation treatments.
Table 5. Soil boron, iron, zinc, copper and manganese as a function of fertilisation treatments.
FertilisationBoronIronZincCopperManganese
Treatment mg kg−1
7:14:140.35 b *65.2 a2.7 a2.0 a152.5 a
YA20:7:100.43 b72.6 a2.3 a1.9 a136.2 ab
YS13:11:211.28 a59.2 a2.8 a1.8 a149.1 ab
Control0.32 b60.5 a2.2 a2.6 a127.8 b
Prob > F<0.00010.22440.08520.06540.0240
St. error0.1024.670.170.175.40
* In columns, means followed by the same letter are not significantly different by Tukey HSD test (α = 0.05).
Table 6. Soil ammonium (NH4+) extracted by hot and cold potassium chloride, NH4+ hydrolysable (Hyd) (NH4+ hot − NH4+ cold) and nitrate extracted by cold KCl.
Table 6. Soil ammonium (NH4+) extracted by hot and cold potassium chloride, NH4+ hydrolysable (Hyd) (NH4+ hot − NH4+ cold) and nitrate extracted by cold KCl.
FertilisationNH4+ HotNH4+ ColdNH4+ HydNO3 Cold
Treatmentmg kg−1
7:14:1482.1 a *69.0 a13.1 b59.0 b
YA20:7:10108.1 a92.20 a15.9 a100.5 a
YS13:11:2172.3 a58.1 a14.2 b78.0 ab
Control65.4 a51.7 a13.6 b44.9 b
Prob > F0.48030.56490.92130.0038
St. error19.9921.122.998.65
* In columns, means followed by the same letter are not significantly different by Tukey HSD test (α = 0.05).
Table 7. Dry matter yield and nutrient concentrations in the herbaceous vegetation developing under the canopy of chestnut trees where the fertilisation treatments were applied.
Table 7. Dry matter yield and nutrient concentrations in the herbaceous vegetation developing under the canopy of chestnut trees where the fertilisation treatments were applied.
Tissue Nutrient Concentration
FertilisationDM YieldNPKBMn
TreatmentMg ha−1g kg−1mg kg−1
7:14:142.3 b *24.5 b2.6 a32.2 a20.5 b636.3 a
YA20:7:103.5 a29.6 a2.4 a33.8 a20.4 b722.9 a
YS13:11:212.6 b26.2 b2.5 a35.3 a43.0 a681.9 a
Control1.8 c19.5 c2.4 a27.0 a18.4 b534.8 a
Prob > F0.0001< 0.00010.08980.34580.00030.1152
St. error0.160.450.073.192.5149.14
* In columns, means followed by the same letter are not significantly different by Tukey HSD test (α = 0.05).
Disclaimer/Publisher’s Note: The statements, opinions and data contained in all publications are solely those of the individual author(s) and contributor(s) and not of MDPI and/or the editor(s). MDPI and/or the editor(s) disclaim responsibility for any injury to people or property resulting from any ideas, methods, instructions or products referred to in the content.

Share and Cite

MDPI and ACS Style

Arrobas, M.; Silva, J.; Busato, M.R.; Ferreira, A.C.; Raimundo, S.; Pereira, A.; Finatto, T.; de Mello, N.A.; Correia, C.M.; Rodrigues, M.Â. Large Chestnut Trees Did Not Respond to Annual Fertiliser Applications, Requiring a Long-Term Approach to Establishing Effective Fertilisation Plans. Soil Syst. 2023, 7, 2. https://doi.org/10.3390/soilsystems7010002

AMA Style

Arrobas M, Silva J, Busato MR, Ferreira AC, Raimundo S, Pereira A, Finatto T, de Mello NA, Correia CM, Rodrigues MÂ. Large Chestnut Trees Did Not Respond to Annual Fertiliser Applications, Requiring a Long-Term Approach to Establishing Effective Fertilisation Plans. Soil Systems. 2023; 7(1):2. https://doi.org/10.3390/soilsystems7010002

Chicago/Turabian Style

Arrobas, Margarida, João Silva, Mariah Ruaro Busato, Ana Carolina Ferreira, Soraia Raimundo, Abel Pereira, Taciane Finatto, Nilvania Aparecida de Mello, Carlos Manuel Correia, and Manuel Ângelo Rodrigues. 2023. "Large Chestnut Trees Did Not Respond to Annual Fertiliser Applications, Requiring a Long-Term Approach to Establishing Effective Fertilisation Plans" Soil Systems 7, no. 1: 2. https://doi.org/10.3390/soilsystems7010002

APA Style

Arrobas, M., Silva, J., Busato, M. R., Ferreira, A. C., Raimundo, S., Pereira, A., Finatto, T., de Mello, N. A., Correia, C. M., & Rodrigues, M. Â. (2023). Large Chestnut Trees Did Not Respond to Annual Fertiliser Applications, Requiring a Long-Term Approach to Establishing Effective Fertilisation Plans. Soil Systems, 7(1), 2. https://doi.org/10.3390/soilsystems7010002

Article Metrics

Back to TopTop