Decadal Changes of Organic Carbon, Nitrogen, and Acidity of Austrian Forest Soils
Abstract
:1. Introduction
2. Materials and Methods
2.1. Sites
2.2. Soil Analysis
2.3. Data Evaluation
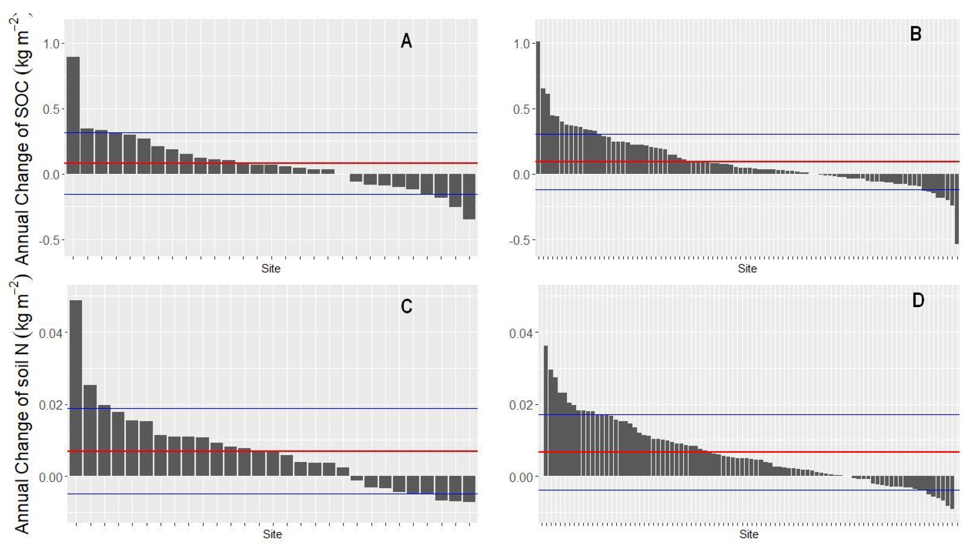
3. Results
4. Discussion
Author Contributions
Funding
Institutional Review Board Statement
Informed Consent Statement
Data Availability Statement
Acknowledgments
Conflicts of Interest
References
- Goidts, E.; Van Wesemael, B.; Crucifix, M. Magnitude and sources of uncertainties in soil organic carbon (SOC) stock assessments at various scales. Eur. J. Soil Sci. 2009, 60, 723–739. [Google Scholar] [CrossRef]
- Kravchenko, A.N.; Robertson, G.P. Whole-Profile Soil Carbon Stocks: The Danger of Assuming Too Much from Analyses of Too Little. Soil Sci. Soc. Am. J. 2011, 75, 235–240. [Google Scholar] [CrossRef]
- Mellert, K.; Weis, W.; Rücker, G. Ermittlung der (Potenziell) zu Erwartenden Signalstärke von Bodenveränderungen—Grundlagen für die Bewertung und Interpretation von Ergebnissen der BZE—Ergebnisse einer Literaturstudie im Auftrag der Bundesforschungsanstalt für Forst und Holzwirtschaft; Technical Report. Available online: https://www.yumpu.com/de/document/read/19086710/ermittlung-der-potenziell-zu-erwartenden-signalstarke-von- (accessed on 15 March 2022).
- Johnson, D.; Cole, D. Nutrient cycling in conifer forests. In Ecosystems of the World; Coniferous, Forests; Andersson, F., Ed.; Elsevier: Amsterdam, The Netherlands, 2005; Volume 6, Chapter 427–450; pp. 221–292. [Google Scholar]
- Reuss, J.O.; Johnson, D.W. Acid Deposition and the Acidification of Soils and Waters; Ecological Studies; Springer: New York, NY, USA, 1986; Volume 59. [Google Scholar]
- Ulrich, B. Stability, elasticity, and resilience of terrestrial ecosystems with respect to matter balance. Ecol. Stud. 1987, 61, 11–49. [Google Scholar]
- Schulze, E.D. Carbon and Nitrogen Cycling in European Forest Ecosystems; Ecological Studies; Springer: Berlin/Heidelberg, Germany, 2000; Volume 142. [Google Scholar]
- Dirnböck, T.; Grandin, U.; Bernhardt-Römermann, M.; Beudert, B.; Canullo, R.; Forsius, M.; Grabner, M.T.; Holmberg, M.; Kleemola, S.; Lundin, L.; et al. Forest floor vegetation response to nitrogen deposition in Europe. Glob. Chang. Biol. 2014, 20, 429–440. [Google Scholar] [CrossRef]
- Sutton, M.A.; Nemitz, E.; Skiba, U.M.; Beier, C.; Butterbach-Bahl, K.; Cellier, P.; de Vries, W.; Erisman, J.W.; Reis, S.; Bleeker, A.; et al. The Nitrogen Cycle and Its Influence on the European Greenhouse Gas Balance; Centre for Ecology & Hydrology: Bailrigg, UK, 2011. [Google Scholar]
- Binkley, D.; Högberg, P. Tamm Review: Revisiting the influence of nitrogen deposition on Swedish forests. For. Ecol. Manag. 2016, 368, 222–239. [Google Scholar] [CrossRef]
- Rothe, A.; Huber, C.; Kreutzer, K.; Weis, W. Deposition and soil leaching in stands of Norway spruce and European beech: Results from the Höglwald research in comparison with other European case studies. Plant Soil 2002, 240, 33–45. [Google Scholar] [CrossRef]
- Scherer-Lorenzen, M.; Schulze, E.D.; Don, A.; Schumacher, J.; Weller, E. Exploring the functional significance of forest diversity: A new long-term experiment with temperate tree species (BIOTREE). Perspect. Plant Ecol. Evol. Syst. 2007, 9, 53–70. [Google Scholar] [CrossRef]
- Pan, Y.; Birdsey, R.A.; Fang, J.; Houghton, R.; Kauppi, P.E.; Kurz, W.A.; Phillips, O.L.; Shvidenko, A.; Lewis, S.L.; Canadell, J.G.; et al. A Large and Persistent Carbon Sink in the World’s Forests. Science 2011, 333, 988–993. [Google Scholar] [CrossRef] [PubMed] [Green Version]
- Smith, P.; Davis, S.J.; Creutzig, F.; Fuss, S.; Minx, J.; Gabrielle, B.; Kato, E.; Jackson, R.B.; Cowie, A.; Kriegler, E.; et al. Biophysical and economic limits to negative CO2 emissions. Nat. Clim. Chang. 2016, 6, 42–50. [Google Scholar] [CrossRef] [Green Version]
- Millar, C.I.; Stephenson, N.L. Temperate forest health in an era of emerging megadisturbance. Science 2015, 349, 823–826. [Google Scholar] [CrossRef]
- Minasny, B.; Malone, B.P.; McBratney, A.B.; Angers, D.A.; Arrouays, D.; Chambers, A.; Chaplot, V.; Chen, Z.S.; Cheng, K.; Das, B.S.; et al. Soil carbon 4 per mille. Geoderma 2017, 292, 59–86. [Google Scholar] [CrossRef]
- Rumpel, C.; Amiraslani, F.; Koutika, L.S.; Smith, P.; Whitehead, D.; Wollenberg, E. Put more carbon in soils to meet Paris climate pledges. Nature 2018, 564, 32–34. [Google Scholar] [CrossRef] [PubMed] [Green Version]
- Amundson, R.; Biardeau, L. Opinion: Soil carbon sequestration is an elusive climate mitigation tool. Proc. Natl. Acad. Sci. USA 2018, 115, 11652–11656. [Google Scholar] [CrossRef] [Green Version]
- Amundson, R. Introduction to the Biogeochemistry of Soils; Cambridge University Press: Cambridge, UK, 2021. [Google Scholar]
- Crow, S.E.; Swanston, C.W.; Lajtha, K.; Brooks, J.R.; Keirstead, H. Density fractionation of forest soils: Methodological questions and interpretation of incubation results and turnover time in an ecosystem context. Biogeochemistry 2007, 85, 69–90. [Google Scholar] [CrossRef]
- Sollins, P.; Swanston, C.; Kramer, M. Stabilization and destabilization of soil organic matter—A new focus. Biogeochemistry 2007, 85, 1–7. [Google Scholar] [CrossRef]
- Six, J.; Conant, R.T.; Paul, E.A.; Paustian, K. Stabilization mechanisms of soil organic matter: Implications for C-saturation of soils. Plant Soil 2002, 241, 155–176. [Google Scholar] [CrossRef]
- Baritz, R.; Seufert, G.; Montanarella, L.; Van Ranst, E. Carbon concentrations and stocks in forest soils of Europe. For. Ecol. Manag. 2010, 260, 262–277. [Google Scholar] [CrossRef]
- De Vos, B.; Cools, N.; Ilvesniemi, H.; Vesterdal, L.; Vanguelova, E.; Carnicelli, S. Benchmark values for forest soil carbon stocks in Europe: Results from a large scale forest soil survey. Geoderma 2015, 251, 33–46. [Google Scholar] [CrossRef]
- Wenzel, W.W.; Duboc, O.; Golestanifard, A.; Holzinger, C.; Mayr, K.; Reiter, J.; Schiefer, A. Soil and land use factors control organic carbon status and accumulation in agricultural soils of Lower Austria. Geoderma 2022, 409, 115595. [Google Scholar] [CrossRef]
- Wiesmeier, M.; Urbanski, L.; Hobley, E.; Lang, B.; von Lützow, M.; Marin-Spiotta, E.; van Wesemael, B.; Rabot, E.; Liess, M.; Garcia-Franco, N.; et al. Soil organic carbon storage as a key function of soils—A review of drivers and indicators at various scales. Geoderma 2019, 333, 149–162. [Google Scholar] [CrossRef]
- FAO and ITPS. Global Soil Organic Map V1.5; FAO: Rome, Italy, 2020. [Google Scholar] [CrossRef]
- Baumgarten, A.; Haslmayr, H.P.; Schwarz, M.; Huber, S.; Weiss, P.; Obersteiner, E.; Aust, G.; Englisch, M.; Horvath, D.; Leitgeb, E.; et al. Organic soil carbon in Austria–Status quo and foreseeable trends. Geoderma 2021, 402, 115214. [Google Scholar] [CrossRef]
- Mutsch, F.; Leitgeb, E.; Hacker, R.; Amann, C.; Aust, G.; Herzberger, E.; Pock, H.; Reiter, R. Projekt BioSoil–Europäisches Waldboden-Monitoring (2006/07) Datenband Österreich. Band I: Methodik, Standort- und Bodenbeschreibung, Bodendaten aus Burgenland, Kärnten, Niederösterreich und Oberösterreich; Band II: Bodendaten aus Salzburg, Steiermark, Tirol und Vorarlberg, Deskriptive Statistik. BFW Berichte 2013, 145, 300. [Google Scholar]
- Englisch, M.; Karrer, G.; Mutsch, F. Methodische Grundlagen. Mitteilungen Der Forstl. Bundesversuchsanstalt 1992, 168, 5–22. [Google Scholar]
- Jandl, R.; Herman, F.; Smidt, S.; Butterbach-Bahl, K.; Englisch, M.; Katzensteiner, K.; Lexer, M.; Strebl, F.; Zechmeister-Boltenstern, S. Nitrogen dynamics of a mountain forest on dolomitic limestone–A scenario-based risk assessment. Environ. Pollut. 2008, 155, 512–516. [Google Scholar] [CrossRef] [PubMed]
- Moldanová, J.; Grennfelt, P.; Jonsson, Å. Nitrogen as a threat to European air quality. In The European Nitrogen Assessment; Cambridge University Press: Cambridge, UK, 2011; Chapter 18. [Google Scholar]
- Smidt, S.; Spangl, W.; Nagl, C. Trends von Luftschadstoffeinträgen in österreichischen Waldgebieten. Cent. Gesamte Forstwes 2009, 127, 1–24. [Google Scholar]
- Grüneberg, E.; Ziche, D.; Wellbrock, N. Organic carbon stocks and sequestration rates of forest soils in Germany. Glob. Chang. Biol. 2014, 20, 2644–2662. [Google Scholar] [CrossRef]
- Hounkpatin, K.O.L.; Stendahl, J.; Lundblad, M.; Karltun, E. Predicting the spatial distribution of soil organic carbon stock in Swedish forests using a group of covariates and site-specific data. Soil 2021, 7, 377–398. [Google Scholar] [CrossRef]
- Ortiz, C.A.; Liski, J.; Gärdenäs, A.I.; Lehtonen, A.; Lundblad, M.; Stendahl, J.; Ågren, G.I.; Karltun, E. Soil organic carbon stock changes in Swedish forest soils—A comparison of uncertainties and their sources through a national inventory and two simulation models. Ecol. Model. 2013, 251, 221–231. [Google Scholar] [CrossRef]
- Hauk, E.; Schadauer, K. Instruktionen für die Feldarbeit der Österreichischen Waldinventur 2016+, Fassung 2016 ed.; Bundesforschungs- und Ausbildungszentrum für Wald: Wien, Austria, 2016; p. 203S. [Google Scholar]
- Auer, I.; Böhm, R.; Jurkovic, A.; Lipa, W.; Orlik, A.; Potzmann, R.; Schöner, W.; Ungersböck, M.; Matulla, C.; Briffa, K.; et al. Histalp—historical instrumental climatological surface time series of the Greater Alpine Region. Int. J. Climatol. 2007, 27, 17–46. [Google Scholar] [CrossRef]
- Cools, N.; de Vos, B. Manual on Methods and Criteria for Harmonized Sampling, Assessment, Monitoring and Analysis of the Effects of Air Pollution on Forests; Chapter Part X: Sampling and Analysis of Soil; Thünen Institute of Forest Ecosystems: Eberswalde, Germany, 2020; p. 29 + Annex. [Google Scholar]
- Jakovjevic, T. Soil Interlaboratory Test Programme 10th Test 2021; Croatian Forest Research Institute: Jastrebarsko, Croatia, 2021. [Google Scholar]
- Foldal, C.; Bohner, A.; Jandl, R.; Berger, A. Deriving regional pedotransfer functions to estimate soil bulk density in Austria. J. Land Manag. Food Environ. 2021, 71, 241–252. [Google Scholar] [CrossRef]
- R Core Team. R: A Language and Environment for Statistical Computing; R Foundation for Statistical Computing: Vienna, Austria, 2020. [Google Scholar]
- Beaudette, D.; Roudier, P.; O’Geen, A. Algorithms for quantitative pedology: A toolkit for soil scientists. Comput. Geosci. 2013, 52, 258–268. [Google Scholar] [CrossRef]
- De Mendiburu, F.; Yaseen, M. Agricolae: Statistical Procedures for Agricultural Research; R Package Version 1.4.0. 2020. Available online: https://github.com/myaseen208/agricolae (accessed on 15 March 2022).
- Venables, W.N.; Ripley, B.D. Modern Applied Statistics with S, 4th ed.; Springer: New York, NY, USA, 2002; ISBN 0-387-95457-0. [Google Scholar]
- Sarkar, D. Lattice: Multivariate Data Visualization with R; Springer: New York, NY, USA, 2008; ISBN 978-0-387-75968-5. [Google Scholar]
- Wickham, H. ggplot2: Elegant Graphics for Data Analysis; Springer: New York, NY, USA, 2016. [Google Scholar]
- Schlesinger, W.E.; Bernhardt, E.S. Biogeochemistry—An Analysis of Global Change, 3rd ed.; Academic Press: Amsterdam, The Netherlands, 2013. [Google Scholar]
- Binkley, D. Forest soils in the Anthropocene. In Global Change and Forest Soils; Developments in Soil Science; Busse, M., Giardina, C.P., Morris, D.M., Page-Dumroese, D.S., Eds.; Elsevier: Amsterdam, The Netherlands, 2019; Volume 36, Chapter 2; pp. 9–26. [Google Scholar] [CrossRef]
- Bellamy, P.H.; Loveland, P.J.; Bradley, R.I.; Lark, R.M.; Kirk, G.J.D. Carbon losses from all soils across England and Wales 1978–2003. Nature 2005, 437, 245–248. [Google Scholar] [CrossRef] [PubMed] [Green Version]
- Pluess, A.; Brang, P.; Augustin, S. (Eds.) Wald im Klimawandel; Haupt Verlag: Bern, Switzerland, 2016. [Google Scholar]
- Wellbrock, N.; Bolte, A. (Eds.) Status and Dynamics of Forests in Germany–Results of the National Forest Monitoring; Ecological Studies; Springer Open: Berlin/Heidelberg, Germany, 2019; Volume 237. [Google Scholar]
- Olsson, M.T.; Erlandsson, M.; Lundin, L.; Nilsson, T.; Nilsson, A.; Stendahl, J. Organic Carbon Stocks in Swedish Podzol Soils in Relation to Soil Hydrology and Other Site Characteristics. Scand. J. For. Res. 2009, 43, 209–222. [Google Scholar] [CrossRef] [Green Version]
- Glatzel, G. Leben mit dem Wald: Österreichs Wälder im Wechsel der Zeiten; Österreichische Akademie der Wissenschaften: Wien, Austria, 1994; pp. 289–303. [Google Scholar]
- Glatzel, G. Historic land use and its possible implications to recently accelerated tree growth in central Europe. In Causes and Consequences of Accelerating Tree Growth in Europe; EFI Proceedings; Karjalainen, T., Spiecker, H., Laroussinie, O., Eds.; EFI: Joensuu, Finland, 1999; Volume 29, pp. 65–74. [Google Scholar]
- Perlin, J. A Forest Journey—The Role of Wood in the Development of Civilization; Harvard University Press: London, UK, 1991. [Google Scholar]
- Morel, F.M.; Hering, J.G. Principles and Applications of Aquatic Chemistry; John Wiley & Sons Ltd.: Hoboken, NJ, USA, 1993. [Google Scholar]
- Jansone, L.; von Wilpert, K.; Hartmann, P. Natural Recovery and Liming Effects in Acidified Forest Soils in SW-Germany. Soil Syst. 2020, 4, 38. [Google Scholar] [CrossRef]
- Jacob, F.; Andreae, H.; Eickenscheidt, N.; Augustin, N. (Eds.) Sächsischer Waldbodenbericht—Aktueller Waldbodenzustand und Dessen Veränderung; Schriftenreihe des Staatsbetriebs Sachsenforst; Eigenverlag: Pirna, Germany, 2018; Volume 30. [Google Scholar]
- Binkley, D.; Fisher, R.F. Ecology and Management of Forest Soils, 4th ed.; John Wiley & Sons: Hoboken, NJ, USA, 2020. [Google Scholar]
- Kononova, M.; Alexandrova, I. Formation of humic acids during plant residue humification and their nature. Geoderma 1973, 9, 157–164. [Google Scholar] [CrossRef]
- Schmidt, M.W.I.; Torn, M.S.; Abiven, S.; Dittmar, T.; Guggenberger, G.; Janssens, I.A.; Kleber, M.; Kögel-Knabner, I.; Lehmann, J.; Manning, D.A.C.; et al. Persistence of soil organic matter as an ecosystem property. Nature 2011, 478, 49–56. [Google Scholar] [CrossRef] [PubMed] [Green Version]
- FAO; ITPS (Eds.) Recarbonizing Global Soils: A Technical Manual of Recommended Management Practices; Forestry, Wetlands and Urban Soils—Practices Overview; FAO: Rome, Italy, 2021; Volume 5. [Google Scholar] [CrossRef]
- Mayer, M.; Prescott, C.E.; Abaker, W.E.; Augusto, L.; Cécillon, L.; Ferreira, G.W.; James, J.; Jandl, R.; Katzensteiner, K.; Laclau, J.P.; et al. Influence of forest management activities on soil organic carbon stocks: A knowledge synthesis. For. Ecol. Manag. 2020, 466, 118127. [Google Scholar] [CrossRef]
- Anderl, M.; Friedrich, A.; Gangl, M.; Haider, S.; Kampel, E.; Köther, T.; Kriech, M.; Lampert, C.; Matthews, B.; Pazdernik, K.; et al. Austrias National Inventory Report 2019. Submission under the United Nations Framework Convention on Climate Change and the Kyoto Protocol; Technical Report REP-0677; Umweltbundesamt: Vienna, Austria, 2019. [Google Scholar]
- Janssens, I.A.; Freibauer, A.; Ciais, P.; Smith, P.; Nabuurs, G.J.; Folberth, G.; Schlamadinger, B.; Hutjes, R.W.A.; Ceulemans, R.; Schulze, E.D.; et al. Europe’s terrestrial biosphere absorbs 7 to 12% of European anthropogenic CO2 emissions. Science 2003, 300, 1538–1542. [Google Scholar] [CrossRef] [Green Version]
- Houghton, R.A.; Nassikas, A.A. Global and regional fluxes of carbon from land use and land cover change 1850–2015. Glob. Biogeochem. Cycles 2017, 31, 456–472. [Google Scholar] [CrossRef]
- Schindlbacher, A.; Zechmeister-Boltenstern, S.; Jandl, R. Carbon losses due to soil warming: Do autotrophic and heterotrophic soil respiration respond equally? Glob. Chang. Biol. 2009, 15, 901–913. [Google Scholar] [CrossRef]
- Montanarella, L.; Panagos, P. The relevance of sustainable soil management within the European Green Deal. Land Use Policy 2021, 100, 104950. [Google Scholar] [CrossRef]
- Smith, P.; Davies, C.A.; Ogle, S.; Zanchi, G.; Bellarby, J.; Bird, N.; Boddey, R.M.; McNamara, N.P.; Powlson, D.; Cowie, A.; et al. Towards an integrated global framework to assess the impacts of land use and management change on soil carbon: Current capability and future vision. Glob. Chang. Biol. 2012, 18, 2089–2101. [Google Scholar] [CrossRef]
- Hungate, B.A.; Jackson, R.B.; Field, C.B.; Chapin, F.S., III. Detecting changes in soil carbon in CO2 enrichment experiments. Plant Soil 1996, 187, 135–145. [Google Scholar] [CrossRef]
- Coleman, K.; Jenkinson, D. RothC-26.3—A Model for the turnover of carbon in soil. In Evaluation of Soil Organic Matter Models; NATO ASI Series (Series I: Global Environmental Change); Powlson, D.S., Smith, P., Smith, J.U., Eds.; Springer: Berlin/Heidelberg, Germany, 1996; Volume 38. [Google Scholar] [CrossRef]
- Jandl, R.; Smidt, S.; Mutsch, F.; Fürst, A.; Zechmeister, H.; Bauer, H.; Dirnböck, T. Acidification and Nitrogen Eutrophication of Austrian Forest Soils. Appl. Environ. Soil Sci. 2012, 2012, 632602. [Google Scholar] [CrossRef]
- Dirnböck, T.; Kobler, J.; Kraus, D.; Grote, R.; Kiese, R. Impacts of management and climate change on nitrate leaching in a forested karst area. J. Environ. Manag. 2016, 165, 243–252. [Google Scholar] [CrossRef] [PubMed]
- Hall, E.K.; Maixner, F.; Franklin, O.; Daims, H.; Richter, A.; Battin, T. Linking Microbial and Ecosystem Ecology Using Ecological Stoichiometry: A Synthesis of Conceptual and Empirical Approaches. Ecosystems 2011, 14, 261–273. [Google Scholar] [CrossRef] [Green Version]
- Xu, X.; Li, D.; Cheng, X.; Ruan, H.; Luo, Y. Carbon: Nitrogen stoichiometry following afforestation: A global synthesis. Sci. Rep. 2016, 6, 19117. [Google Scholar] [CrossRef] [PubMed] [Green Version]
- Zechmeister-Boltenstern, S.; Keiblinger, K.M.; Mooshammer, M.; Peñuelas, J.; Richter, A.; Sardans, J.; Wanek, W. The application of ecological stoichiometry to plant-microbial-soil organic matter transformations. Ecol. Monogr. 2015, 85, 133–155. [Google Scholar] [CrossRef] [Green Version]




| Survey 1989 | Survey 2009 | Survey 1989 | Survey 2009 | Survey 1989 | Survey 2009 | |
|---|---|---|---|---|---|---|
| All Data | Silicatic Bedrock | Calcareous Bedrock | ||||
| Carbon | ||||||
| Forest floor | 330.1 ± 70.4 | 450.9 ± 80.9 | 320.1 ± 70.4 | 442.7 ± 88.2 | 353.4 ± 65.4 | 469.9 ± 58.8 | 
| <0.001 | bc | a | b | a | ||
| 0–10 | 79.1 ± 65.5 | 103.8 ± 72.5 | 56.8 ± 33.3 | 82.3 ± 50.5 | 130.4 ± 89.3 | 155.4 ± 89.9 | 
| <0.001 | c | b | a | a | ||
| 10–20 | 42.8 ± 41.2 | 47.2 ± 50.8 | 29.1 ± 21.3 | 31.4 ± 23.0 | 76.8 ± 56.8 | 86.6 ± 75.1 | 
| n.s. | b | b | a | a | ||
| 20–30 | 28.9 ± 29.1 | 30.6 ± 33.1 | 20.8 ± 17.0 | 20.1 ± 17.5 | 41.9 ± 35.6 | 58.6 ± 46.7 | 
| n.s. | b | b | a | a | ||
| Nitrogen | ||||||
| Forest floor | 12.1 ± 2.2 | 14.3 ± 2.8 | 11.8 ± 2.1 | 13.9 ± 2.7 | 12.9 ± 2.1 | 15.1 ± 2.9 | 
| <0.001 | c | b | b | a | ||
| 0–10 | 4.0 ± 3.0 | 5.6 ± 3.6 | 2.8 ± 1.5 | 4.4 ± 2.7 | 6.7 ± 1.5 | 8.5 ± 4.1 | 
| <0.001 | d | c | b | a | ||
| 10–20 | 2.3 ± 2.1 | 2.7 ± 2.7 | 1.5 ± 0.9 | 1.7 ± 1.2 | 4.5 ± 0.9 | 5.1 ± 3.6 | 
| n.s. | b | b | a | a | ||
| 20–30 | 1.6 ± 1.4 | 1.8 ± 2.0 | 1.1 ± 0.7 | 1.1 ± 0.8 | 2.9 ± 1.9 | 3.6 ± 2.8 | 
| n.s. | b | b | a | a | ||
| pH | ||||||
| Forest floor | 4.2 ± 0.9 | 4.3 ± 1.0 | 3.9 ± 0.7 | 3.9 ± 0.7 | 5.1 ± 0.8 | 5.3 ± 0.8 | 
| n.s. | b | b | a | a | ||
| 0–10 | 4.6 ± 1.4 | 4.5 ± 1.3 | 3.8 ± 0.5 | 3.7 ± 0.5 | 6.4 ± 1.0 | 6.2 ± 1.1 | 
| n.s. | b | b | a | a | ||
| 10–20 | 4.9 ± 1.3 | 4.9 ± 1.3 | 4.2 ± 0.5 | 4.1 ± 0.4 | 7.2 ± 0.6 | 6.6 ± 1.0 | 
| n.s. | b | b | a | a | ||
| 20–30 | 5.0 ± 1.3 | 5.1 ± 1.3 | 4.4 ± 0.5 | 4.3 ± 0.5 | 7.0 ± 0.8 | 6.9 ± 0.9 | 
| n.s. | b | b | a | a | ||
| Survey 1989 | Survey 2009 | Survey 1989 | Survey 2009 | Survey 1989 | Survey 2009 | |
|---|---|---|---|---|---|---|
| All Data | Silicatic Bedrock | Calcareous Bedrock | ||||
| Carbon | ||||||
| Forest floor | 1.8 ± 1.4 | 2.7 ± 2.0 | 1.9 ± 1.5 | 2.7 ± 1.9 | 1.5 ± 1.1 | 2.5 ± 2.3 | 
| <0.001 | b | a | b | ab | ||
| Mineral soil | 10.0 ± 7.4 | 11.1 ± 7.8 | 8.5 ± 5.4 | 9.7 ± 6.5 | 14.7 ± 10.3 | 15.6 ± 9.6 | 
| n.s. | b | b | a | a | ||
| Nitrogen | ||||||
| Forest floor | 0.06 ± 0.05 | 0.11 ± 0.09 | 0.07 ± 0.05 | 0.11 ± 0.08 | 0.05 ± 0.04 | 0.10 ± 0.10 | 
| <0.001 | bc | a | bc | ab | ||
| Mineral soil | 0.53 ± 0.41 | 0.63 ± 0.47 | 0.43 ± 0.26 | 0.53 ± 0.35 | 0.85 ± 0.59 | 0.95 ± 0.64 | 
| n.s. | b | b | a | a | ||
| Concentration of Organic Carbon | Stock of Organic Carbon | |||
|---|---|---|---|---|
| Correlation Coefficient | p-Value | Correlation Coefficient | p-Value | |
| clay | −0.03 | 0.47 | −0.06 | 0.22 | 
| ∑(silt + clay) | 0.08 | 0.10 | 0.05 | 0.26 | 
| −0.30 | <0.001 | −0.28 | <0.001 | |
| Sites | Intercept | Temperature | Silt + Clay (%) | DF | R | RSE | 
|---|---|---|---|---|---|---|
| Soil organic carbon concentration | ||||||
| all sites | 100.7 ± 15.6 | −7.1 ± 1.0 | −0.09 ± 0.2 | 475 | 0.09 | 37.7 | 
| n.s. | ||||||
| silicatic sites | 115.6 ± 16.8 | −8.5 ± 0.9 | −0.3 ± 0.2 | 340 | 0.22 | 27.5 | 
| n.s. | ||||||
| calcareous sites | 48.0 ± 29.4 | −4.9 ± 2.7 | 0.7 ± 0.3 | 132 | 0.07 | 49.3 | 
| n.s. | n.s. | ⋆ | ||||
| Soil organic carbon stock | ||||||
| all sites | 12.4 ± 1.9 | −0.7 ± 0.1 | 473 | 0.07 | 4.6 | |
| silicatic sites | 14.9 ± 2.4 | −0.9 ± 0.1 | 339 | 0.13 | 3.9 | |
| calcareous sites | 7.0 ± 3.3 | −0.5 ± 0.3 | 0.1 ± 0.0 | 131 | 0.06 | 5.5 | 
| ⋆ | n.s. | ⋆ | ||||
| Publisher’s Note: MDPI stays neutral with regard to jurisdictional claims in published maps and institutional affiliations. | 
© 2022 by the authors. Licensee MDPI, Basel, Switzerland. This article is an open access article distributed under the terms and conditions of the Creative Commons Attribution (CC BY) license (https://creativecommons.org/licenses/by/4.0/).
Share and Cite
Jandl, R.; Leitgeb, E.; Englisch, M. Decadal Changes of Organic Carbon, Nitrogen, and Acidity of Austrian Forest Soils. Soil Syst. 2022, 6, 28. https://doi.org/10.3390/soilsystems6010028
Jandl R, Leitgeb E, Englisch M. Decadal Changes of Organic Carbon, Nitrogen, and Acidity of Austrian Forest Soils. Soil Systems. 2022; 6(1):28. https://doi.org/10.3390/soilsystems6010028
Chicago/Turabian StyleJandl, Robert, Ernst Leitgeb, and Michael Englisch. 2022. "Decadal Changes of Organic Carbon, Nitrogen, and Acidity of Austrian Forest Soils" Soil Systems 6, no. 1: 28. https://doi.org/10.3390/soilsystems6010028
APA StyleJandl, R., Leitgeb, E., & Englisch, M. (2022). Decadal Changes of Organic Carbon, Nitrogen, and Acidity of Austrian Forest Soils. Soil Systems, 6(1), 28. https://doi.org/10.3390/soilsystems6010028
 
         
                                                


 
       