Critical Aspects in the Modeling of Sub-GeV Calorimetric Particle Detectors: The Case Study of the High-Energy Particle Detector (HEPD-02) on Board the CSES-02 Satellite
Abstract
1. Introduction
2. Monte Carlo Simulation Setup and Geometry Modeling
2.1. Precise CAD-Level Geometry of the Experiment
2.2. Impact of Physics Models on the Detector Response
2.3. Event Generation
2.4. Output Data Structure and MC Truth Information
3. Digitization and Subdetectors Response Modeling
3.1. Modeling the Optical Response of the Scintillating Counters
3.2. Modeling of the Direction Detector Response
- Charge deposition: energy deposited by incident particles in the active silicon material is converted into primary charge carriers;
- Charge propagation: the movement and diffusion of the generated charges are modeled using a parametric approach;
- Digitization: active pixels are determined after applying noise contributions and threshold comparisons.
4. Experimental Data and Monte Carlo Comparison
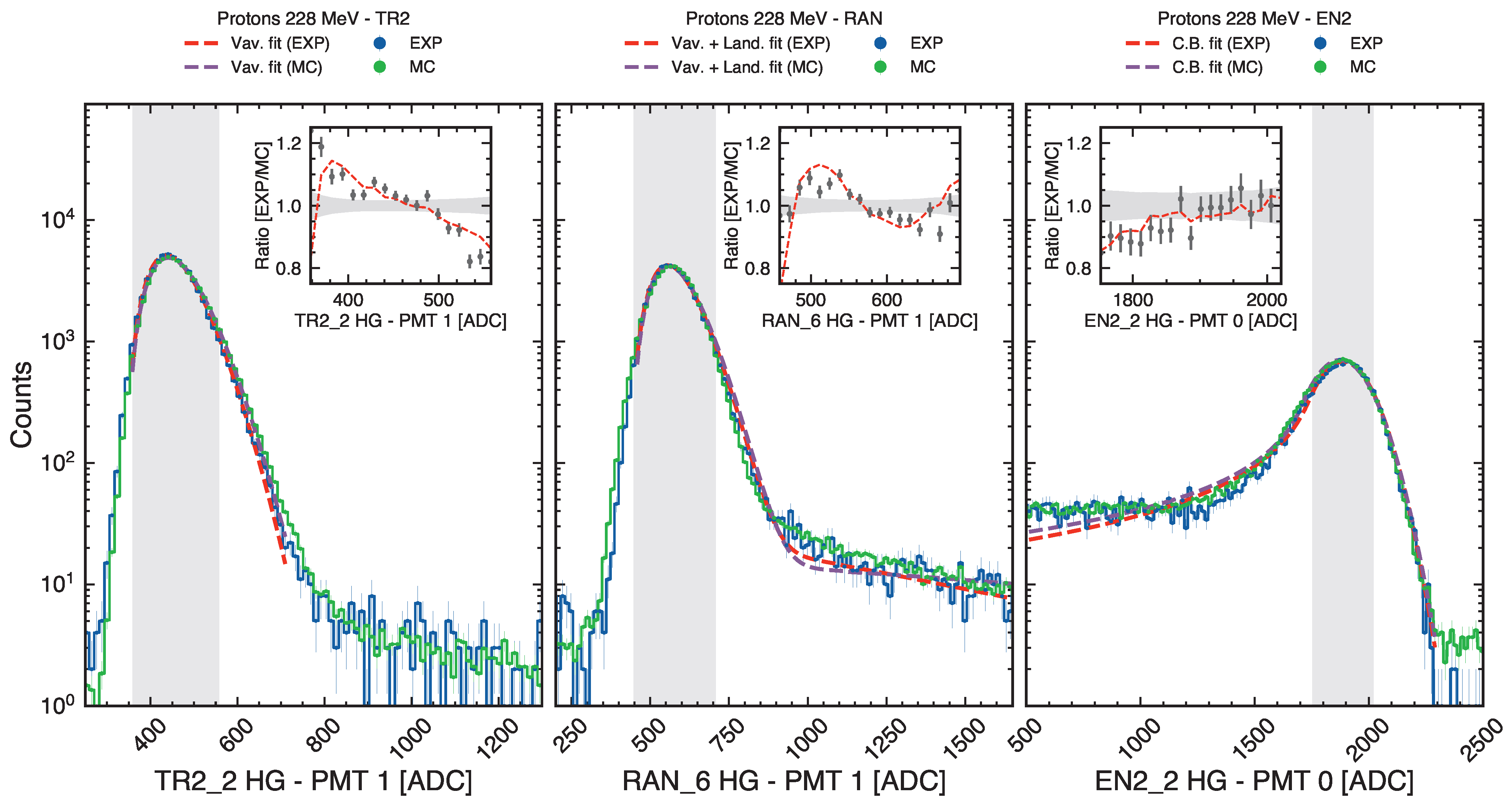
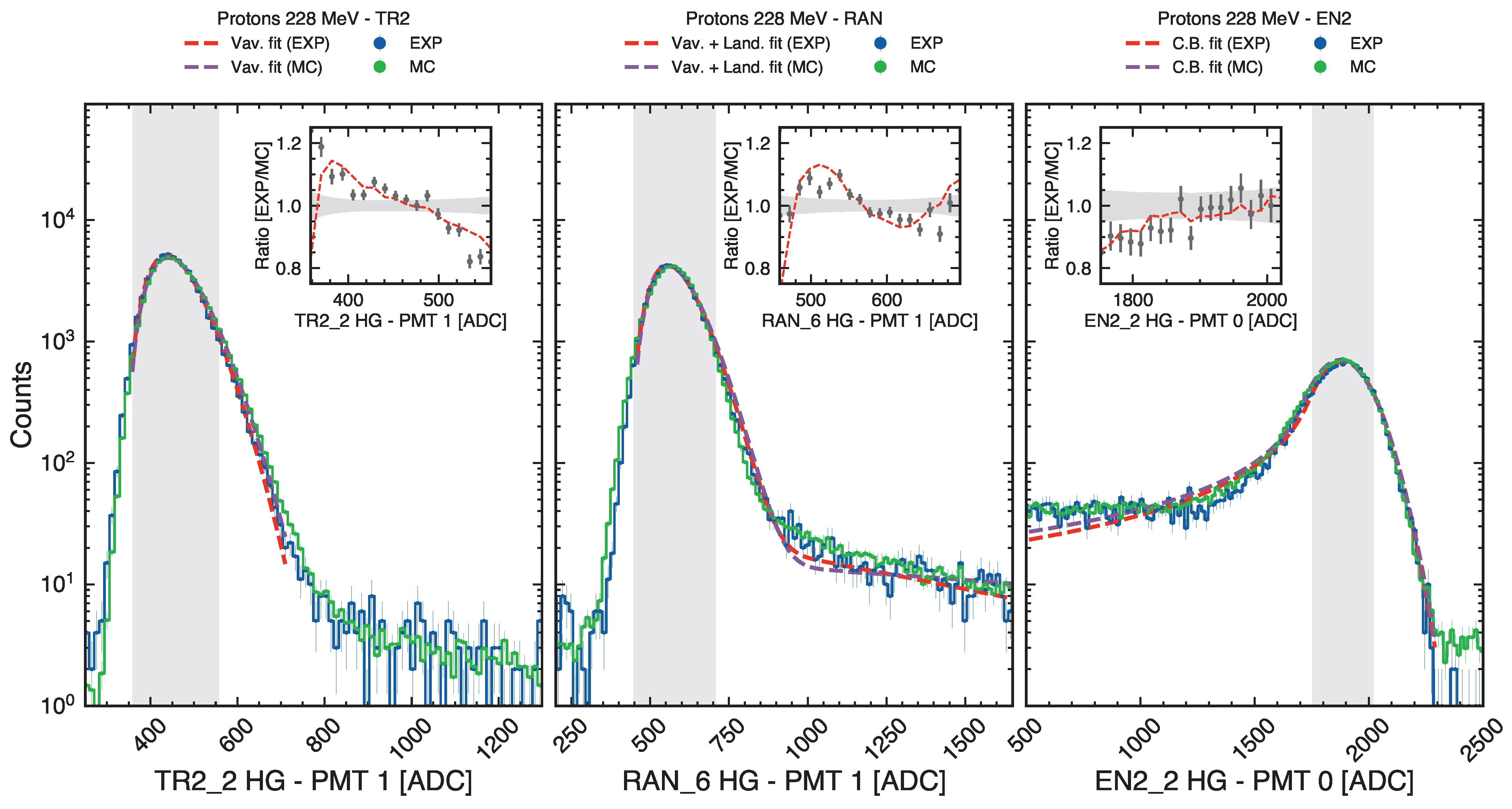
4.1. Calorimeter Response Validation
4.2. DIR Response Validation
5. Conclusions
Author Contributions
Funding
Data Availability Statement
Conflicts of Interest
Abbreviations
| ADC | Analog-to-Digital Converter |
| ASI | Agenzia Spaziale Italiana (Italian Space Agency) |
| BOT | Bottom anticoincidence detector |
| CaLiX | Calorimeter Light eXtraction |
| CSES | China Seismo-Electromagnetic Satellite |
| DIR | Direction Detector (silicon pixel tracker) |
| EN1/EN2 | Energy calorimeter units made of LYSO crystals |
| GEANT4 | Geometry and Tracking 4 simulation toolkit |
| GDML | Geometry Description Markup Language |
| HEPD-01 | High-Energy Particle Detector on board CSES-01 |
| HEPD-02 | High-Energy Particle Detector on board CSES-02 |
| INFN | Istituto Nazionale di Fisica Nucleare |
| LAT | Lateral anticoincidence detectors |
| LYSO | Lutetium–Yttrium Orthosilicate (inorganic scintillator) |
| MC | Monte Carlo |
| NIST | National Institute of Standards and Technology |
| PDG | Particle Data Group |
| PMT | Photomultiplier Tube |
| RAN | Range Detector (plastic scintillator calorimeter) |
| STEP | Standard for the Exchange of Product model data |
| TR1/TR2 | Trigger planes 1 and 2 |
| TROPix | Tool Reproducing the Output of the HEPD-02 Pixel detector |
Appendix A. Material Properties in the HEPD-02 Detector Geometry
| Material Name | Density (g/cm3) | Radiation Length (cm) | Nuclear Interaction Length (cm) | Electron Density (1017 cm−3) | Composition | Average Refractive Index |
|---|---|---|---|---|---|---|
| Aluminum G4_Al (NIST) | 2.70 | 8.90 | 38.89 | 7.83 | Al | - |
| Aluminized Mylar | 1.40 | 28.11 | 56.98 | 4.33 | H3.0 C63.0 O32.0 Al2.0 | 1.64 |
| Kapton | 1.42 | 28.61 | 55.55 | 4.40 | H3.0 C69.0 N7.0 O21.0 | - |
| Copper G4_Cu (NIST) | 8.96 | 1.44 | 15.59 | 24.62 | Cu | - |
| Plastic Scintillator EJ-200 | 1.02 | 42.92 | 70.59 | 3.34 | H8.5 C91.5 | 1.58 |
| Acrylic Light guide | 1.19 | 34.07 | 62.71 | 3.86 | H8.0 C60.0 O32.0 | 1.56 |
| Silicon G4_Si (NIST) | 2.33 | 9.37 | 45.66 | 6.99 | Si | - |
| LYSO | 7.10 | 1.22 | 21.46 | 18.39 | Lu71.4 Y4.0 Si6.4 O18.1 Ce0.1 | 1.81 |
| Araldite | 1.05 | 40.01 | 69.15 | 3.45 | H9.5 C63.1 O10.5 N17.0 | - |
| Optical pads EJ-560 | 1.03 | 29.78 | 78.65 | 3.34 | C32.0 H8.0 O22.0 Si38.0 | 1.43 |
| BSGlass | 2.23 | 13.38 | 41.38 | 6.67 | Si27.0 B5.0 Na3.0 Al1.0 O64.0 | 1.47 |
| Poron-0.23 (compressed) | 0.23 | 175.29 | 287.64 | 0.83 | C20.0 O40.0 H20.0 N20.0 | - |
| Poron-0.16 | 0.16 | 251.97 | 413.48 | 0.58 | C20.0 O40.0 H20.0 N20.0 | - |
| Poron-0.2 (compressed) | 0.20 | 201.58 | 330.79 | 0.72 | C20.0 O40.0 H20.0 N20.0 | - |
| Poron-0.4 (compressed) | 0.40 | 100.79 | 165.39 | 1.44 | C20.0 O40.0 H20.0 N20.0 | - |
| Poron-0.46 (compressed) | 0.46 | 88.61 | 145.40 | 1.64 | C20.0 O40.0 H20.0 N20.0 | - |
| Carbon Fibre | 1.55 | 27.14 | 50.23 | 4.80 | C85.0 H3.0 N4.0 O8.0 | - |
| GT-2 Tape | 1.33 | 23.13 | 60.79 | 4.32 | Si37.8 O21.6 H8.2 C32.4 | - |
| 3m Duct Tape | 0.95 | 47.13 | 71.18 | 3.26 | H14.4 C85.6 | - |
| GT-1 Tape | 1.33 | 23.13 | 60.79 | 4.32 | Si37.9 O21.6 H8.2 C32.4 | - |
| PEEK | 1.32 | 31.48 | 58.45 | 4.14 | H4.2 C79.2 O16.6 | - |
Appendix B. Fitting Models for Calorimeter Signal Distributions
| Parameter | TR2 (EXP) | TR2 (MC) | RAN (EXP) | RAN (MC) | EN2 (EXP) | EN2 (MC) |
|---|---|---|---|---|---|---|
| Model | Vavilov | Vavilov | Vavilov (Bulk) | Vavilov (Bulk) | Crystal Ball | Crystal Ball |
| A | ||||||
| Scale/ | ||||||
| – | – | |||||
| (fixed) | (fixed) | (fixed) | (fixed) | – | – | |
| – | – | – | – | |||
| n | – | – | – | – | ||
Appendix C. Breakdown of the Sources of Systematic Uncertainties
| Source of Systematic Effect | Stage of the Simulation Chain | Main Impacted Observables | Mitigation Strategy | Quantification from Benchmark Studies |
|---|---|---|---|---|
| Geometry: volume placements, material definitions, CAD-to-GDML conversion | Particle transport | Energy deposits, spurious/unphysical energy deposits due to overlaps | Geometry validation (overlap checks) | Not quantified in this work |
| Secondary production range cuts | Particle transport | Energy deposits. Unphysical spatial distribution of energy deposits/secondary production | Scan at different cuts. Adopt cuts smaller than characteristic solid dimensions | Results reported in Figure 4d–f. |
| Physics lists (hadronic models) | Physics modeling at MC-truth level (hadronic interactions) | Energy deposits. Possible differences in the hadronic cross sections adopted | Compare alternative hadronic physics lists on the same benchmark configuration | 228 MeV proton benchmark: MeV, i.e., ∼2–3% of total deposited energy. Results reported in Figure 4a–c and Figure 5. |
| Non-linearity in scintillating counters (light yield quenching) | Digitization (light yield modeling) | Reconstructed energies and variables related to PID | Comparison of different quenching parameterizations (e.g., Birks-Onsager) | Differences up to ∼10% for Z = 4 MIPs (∼1% for MIP protons); up to ∼40% if quenching is neglected for Z ≳ 6 (∼5% for MIP protons). Results are reported in Figure 8. |
| Position-dependent optical response | Digitization (evaluation of the collected photoelectrons) | Reconstructed energy | Use experimental optical maps/parameterizations | Treated in Ref. [53] |
| Parameterization of the photoelectron-to-ADC conversion | Electronics response in digitization | Reconstructed energy. Mismodeling of the electronics nonlinearities | Per-channel response-function fit. Propagate fit-parameter uncertainties in data analyses | Worst case channel systematic uncertainty <10% (conservative estimate, see text) |
References
- De Santis, C.; Ricciarini, S. The High Energy Particle Detector (HEPD-02) for the second China Seismo-Electromagnetic Satellite (CSES-02). PoS 2021, 395, 58. [Google Scholar] [CrossRef]
- Scotti, V.; Osteria, G. The High Energy Particle Detector onboard CSES-02 satellite. PoS 2019, 358, 135. [Google Scholar] [CrossRef]
- Martucci, M.; Laurenza, M.; Benella, S.; Berrilli, F.; Del Moro, D.; Giovannelli, L.; Parmentier, A.; Piersanti, M.; Albrecht, G.; Bartocci, S.; et al. The First Ground-Level Enhancement of Solar Cycle 25 as Seen by the High-Energy Particle Detector (HEPD-01) on Board the CSES-01 Satellite. Space Weather 2023, 21, e2022SW003191. [Google Scholar] [CrossRef]
- Palma, F.; Martucci, M.; Parmentier, A.; Piersanti, M.; Sotgiu, A. The High-Energy Particle Detector (HEPD-01) as a space weather monitoring instrument on board the CSES-01 satellite. PoS 2021, 395, 1275. [Google Scholar] [CrossRef]
- Palma, F.; Sotgiu, A.; Parmentier, A.; Martucci, M.; Piersanti, M.; Bartocci, S.; Battiston, R.; Burger, W.J.; Campana, D.; Carfora, L.; et al. The august 2018 geomagnetic storm observed by the high-energy particle detector on board the CSES-01 satellite. Appl. Sci. 2021, 11, 5680. [Google Scholar] [CrossRef]
- Bartocci, S.; Battiston, R.; Benella, S.; Beolè, S.; Burger, W.; Cipollone, P.; Contin, A.; Cristoforetti, M.; De Donato, C.; De Santis, C.; et al. Multispacecraft Observations of Protons and Helium Nuclei in Some Solar Energetic Particle Events toward the Maximum of Cycle 25. Astrophys. J. 2024, 974, 176. [Google Scholar] [CrossRef]
- Shen, X.; Zhang, X.; Yuan, S.; Wang, L.; Cao, J.; Huang, J.; Zhu, X.; Piergiorgio, P.; Dai, J. The state-of-the-art of the China Seismo-Electromagnetic Satellite mission. Sci. China Technol. Sci. 2018, 61, 634–642. [Google Scholar] [CrossRef]
- Ambrosi, G.; Bartocci, S.; Basara, L.; Battiston, R.; Burger, W.J.; Carfora, L.; Castellini, G.; Cipollone, P.; Conti, L.; Contin, A.; et al. The HEPD particle detector of the CSES satellite mission for investigating seismo-associated perturbations of the Van Allen belts. Sci. China Technol. Sci. 2018, 61, 643–652. [Google Scholar] [CrossRef]
- Aleksandrin, S.Y.; Galper, A.; Grishantzeva, L.; Koldashov, S.; Maslennikov, L.; Murashov, A.; Picozza, P.; Sgrigna, V.; Voronov, S. High-energy charged particle bursts in the near-Earth space as earthquake precursors. In Annales Geophysicae; Copernicus Publications: Göttingen, Germany, 2003; Volume 21, pp. 597–602. [Google Scholar] [CrossRef]
- Sgrigna, V.; Carota, L.; Conti, L.; Corsi, M.; Galper, A.; Koldashov, S.; Murashov, A.; Picozza, P.; Scrimaglio, R.; Stagni, L. Correlations between earthquakes and anomalous particle bursts from SAMPEX/PET satellite observations. J. Atmos.-Sol.-Terr. Phys. 2005, 67, 1448–1462. [Google Scholar] [CrossRef]
- Palma, F.; Martucci, M.; Neubüser, C.; Sotgiu, A.; Follega, F.; Ubertini, P.; Bazzano, A.; Rodi, J.; Ammendola, R.; Badoni, D.; et al. Gamma-Ray Burst Observations by the High-Energy Particle Detector on board the China Seismo-Electromagnetic Satellite between 2019 and 2021. Astrophys. J. 2023, 960, 21. [Google Scholar] [CrossRef]
- Bartocci, S.; Battiston, R.; Beolè, S.; Burger, W.; Campana, D.; Cipollone, P.; Contin, A.; Cristoforetti, M.; De Donato, C.; De Santis, C.; et al. The Catalogue of Gamma-Ray Burst Observations by HEPD-01 in the 0.3–50 MeV Energy Range. Astrophys. J. 2024, 976, 239. [Google Scholar] [CrossRef]
- Picozza, P.; Battiston, R.; Ambrosi, G.; Bartocci, S.; Basara, L.; Burger, W.J.; Campana, D.; Carfora, L.; Casolino, M.; Castellini, G.; et al. Scientific goals and in-orbit performance of the high-energy particle detector on board the CSES. Astrophys. J. Suppl. Ser. 2019, 243, 16. [Google Scholar] [CrossRef]
- Ricciarini, S.; Beolé, S.; de Cilladi, L.; Gebbia, G.; Iuppa, R.; Ricci, E.; Zuccon, P. Enabling low-power MAPS-based space trackers: A sparsified readout based on smart clock gating for the High Energy Particle Detector HEPD-02. In Proceedings of the 37th International Cosmic Ray Conference—PoS (ICRC2021), Berlin, Germany, 12–23 July 2021; pp. 12–23. [Google Scholar] [CrossRef]
- Nicolaidis, R.; Gebbia, G.; Iuppa, R.; Zuccon, P.; Ricci, E.; Nozzoli, F. The TDAQ system of the HEPD-02 on the CSES-02 mission. PoS 2023, 444, 1321. [Google Scholar] [CrossRef]
- Barioglio, L.; Bartocci, S.; Battiston, R.; Beolè, S.; Benotto, F.; Bufalino, S.; Cipollone, P.; Coli, S.; Contin, A.; Cristoforetti, M.; et al. The Monolithic Active Pixel Sensors Tracker System of the High Energy Particle Detector aboard the Second Chinese Seismo-Electromagnetic Satellite. IEEE Aerosp. Electron. Syst. Mag. 2025, 40, 28–46. [Google Scholar] [CrossRef]
- Dunn, W.L.; Shultis, J.K. Monte Carlo methods for design and analysis of radiation detectors. Radiat. Phys. Chem. 2009, 78, 852–858. [Google Scholar] [CrossRef]
- Agostinelli, S.; Allison, J.; Amako, K.a.; Apostolakis, J.; Araujo, H.; Arce, P.; Asai, M.; Axen, D.; Banerjee, S.; Barrand, G.; et al. GEANT4—A simulation toolkit. Nucl. Instruments Methods Phys. Res. Sect. A Accel. Spectrometers Detect. Assoc. Equip. 2003, 506, 250–303. [Google Scholar] [CrossRef]
- Ferrari, A.; Sala, P.R.; Fasso, A.; Ranft, J. FLUKA: A Multi-Particle Transport Code (Program Version 2005); CERN: Genève, Switzerland, 2005. [Google Scholar] [CrossRef]
- Lefmann, K.; Nielsen, K. McStas, a general software package for neutron ray-tracing simulations. Neutron News 1999, 10, 20–23. [Google Scholar] [CrossRef]
- D’Agostini, G. A multidimensional unfolding method based on Bayes’ theorem. Nucl. Instruments Methods Phys. Res. Sect. A Accel. Spectrometers Detect. Assoc. Equip. 1995, 362, 487–498. [Google Scholar] [CrossRef]
- D’Agostini, G. Improved iterative Bayesian unfolding. arXiv 2010, arXiv:1010.0632. [Google Scholar] [CrossRef]
- Pratt, M.J. Introduction to ISO 10303—the STEP standard for product data exchange. J. Comput. Inf. Sci. Eng. 2001, 1, 102–103. [Google Scholar] [CrossRef]
- Chytracek, R.; McCormick, J.; Pokorski, W.; Santin, G. Geometry description markup language for physics simulation and analysis applications. IEEE Trans. Nucl. Sci. 2006, 53, 2892–2896. [Google Scholar] [CrossRef]
- Pinto, M.; Gonçalves, P. GUIMesh: A tool to import STEP geometries into Geant4 via GDML. Comput. Phys. Commun. 2019, 239, 150–156. [Google Scholar] [CrossRef]
- Poole, C.M.; Cornelius, I.; Trapp, J.V.; Langton, C.M. Fast Tessellated Solid Navigation in GEANT4. IEEE Trans. Nucl. Sci. 2012, 59, 1695–1701. [Google Scholar] [CrossRef]
- Autodesk Inc. Fusion 360 [Computer Software]. 2025. Available online: https://www.autodesk.com/products/fusion-360/overview (accessed on 9 April 2025).
- Sloan, K.; Hindi, M.; Lei, Z. KeithSloan/GDML: GDML Workbench-June 2024, Version 1.9_Beta; FreeCAD GDML Workbench-AddonManager Installable; Zenodo: Geneva, Switzerland, 2024. [Google Scholar] [CrossRef]
- Allison, J.; Amako, K.; Apostolakis, J.; Arce, P.; Asai, M.; Aso, T.; Bagli, E.; Bagulya, A.; Banerjee, S.; Barrand, G.; et al. Recent developments in Geant4. Nucl. Instruments Methods Phys. Res. Sect. A Accel. Spectrometers Detect. Assoc. Equip. 2016, 835, 186–225. [Google Scholar] [CrossRef]
- Wright, D.; Kelsey, M. The geant4 bertini cascade. Nucl. Instruments Methods Phys. Res. Sect. A Accel. Spectrometers Detect. Assoc. Equip. 2015, 804, 175–188. [Google Scholar] [CrossRef]
- Andersson, B.; Gustafson, G.; Nilsson-Almqvist, B. A model for low-pT hadronic reactions with generalizations to hadron-nucleus and nucleus-nucleus collisions. Nucl. Phys. B 1987, 281, 289–309. [Google Scholar] [CrossRef]
- Nilsson-Almqvist, B.; Stenlund, E. Interactions between hadrons and nuclei: The Lund Monte Carlo-FRITIOF version 1.6. Comput. Phys. Commun. 1987, 43, 387–397. [Google Scholar] [CrossRef]
- Kaidalov, A. The quark-gluon structure of the pomeron and the rise of inclusive spectra at high energies. Phys. Lett. B 1982, 116, 459–463. [Google Scholar] [CrossRef]
- Yarba, J. Recent developments and validation of Geant4 hadronic physics. J. Phys. Conf. Ser. 2012, 396, 022060. [Google Scholar] [CrossRef]
- Improvements in the Geant4 hadronic physics. J. Phys. Conf. Ser. 2011, 331, 032002. [CrossRef]
- Incerti, S.; Ivanchenko, V.; Novak, M. Recent progress of Geant4 electromagnetic physics for calorimeter simulation. J. Instrum. 2018, 13, C02054. [Google Scholar] [CrossRef]
- Hauf, S.; Kuster, M.; Batič, M.; Bell, Z.W.; Hoffmann, D.H.; Lang, P.M.; Neff, S.; Pia, M.G.; Weidenspointner, G.; Zoglauer, A. Radioactive decays in Geant4. IEEE Trans. Nucl. Sci. 2013, 60, 2966–2983. [Google Scholar] [CrossRef]
- Hauf, S.; Kuster, M.; Batič, M.; Bell, Z.W.; Hoffmann, D.H.; Lang, P.M.; Neff, S.; Pia, M.G.; Weidenspointner, G.; Zoglauer, A. Validation of Geant4-based radioactive decay simulation. IEEE Trans. Nucl. Sci. 2013, 60, 2984–2997. [Google Scholar] [CrossRef]
- Lai, P.T.C.; Hai, V.H.; Phuc, N.T.T. Impacts of Geant4 hadronic physics models on secondary particle productions in proton therapy simulations. Radiat. Phys. Chem. 2025, 229, 112451. [Google Scholar] [CrossRef]
- Bolst, D.; Cirrone, G.A.; Cuttone, G.; Folger, G.; Incerti, S.; Ivanchenko, V.; Koi, T.; Mancusi, D.; Pandola, L.; Romano, F.; et al. Validation of Geant4 fragmentation for heavy ion therapy. Nucl. Instruments Methods Phys. Res. Sect. A Accel. Spectrometers Detect. Assoc. Equip. 2017, 869, 68–75. [Google Scholar] [CrossRef]
- Banerjee, S.; Folger, G.; Ivanchenko, A.; Ivanchenko, V.; Kossov, M.; Quesada, J.; Schälicke, A.; Uzhinsky, V.; Wenzel, H.; Wright, D.; et al. Validation of Geant4 hadronic generators versus thin target data. J. Phys. Conf. Ser. 2011, 331, 032034. [Google Scholar] [CrossRef]
- Thulliez, L.; Jouanne, C.; Dumonteil, E. Improvement of Geant4 Neutron-HP package: From methodology to evaluated nuclear data library. Nucl. Instruments Methods Phys. Res. Sect. A Accel. Spectrometers Detect. Assoc. Equip. 2022, 1027, 166187. [Google Scholar] [CrossRef]
- Antcheva, I.; Ballintijn, M.; Bellenot, B.; Biskup, M.; Brun, R.; Buncic, N.; Canal, P.; Casadei, D.; Couet, O.; Fine, V.; et al. ROOT—A C++ framework for petabyte data storage, statistical analysis and visualization. Comput. Phys. Commun. 2011, 182, 1384–1385. [Google Scholar] [CrossRef]
- Navas, S.; Particle Data Group. Review of particle physics. Phys. Rev. D 2024, 110, 030001. [Google Scholar] [CrossRef]
- Bartocci, S.; Battiston, R.; Beolè, S.; Benotto, F.; Cipollone, P.; Coli, S.; Contin, A.; Cristoforetti, M.; De Donato, C.; De Santis, C.; et al. TROPix: A parametric tool reproducing the output of the HEPD-02 pixel detector. Nucl. Instruments Methods Phys. Res. Sect. A Accel. Spectrometers Detect. Assoc. Equip. 2025, 1080, 170756. [Google Scholar] [CrossRef]
- Birks, J.B. The Theory and Practice of Scintillation Counting: International Series of Monographs in Electronics and Instrumentation; Elsevier: Amsterdam, The Netherlands, 2013; Volume 27. [Google Scholar] [CrossRef]
- Adriani, O.; Berti, E.; Betti, P.; Bigongiari, G.; Bonechi, L.; Bongi, M.; Bottai, S.; Brogi, P.; Castellini, G.; Checchia, C.; et al. Light yield non-proportionality of inorganic crystals and its effect on cosmic-ray measurements. J. Instrum. 2022, 17, P08014. [Google Scholar] [CrossRef]
- Payne, S.A.; Moses, W.W.; Sheets, S.; Ahle, L.; Cherepy, N.J.; Sturm, B.; Dazeley, S.; Bizarri, G.; Choong, W.S. Nonproportionality of scintillator detectors: Theory and experiment. II. IEEE Trans. Nucl. Sci. 2011, 58, 3392–3402. [Google Scholar] [CrossRef]
- Payne, S.; Hunter, S.; Sturm, B.; Cherepy, N.; Ahle, L.; Sheets, S.; Dazeley, S.; Moses, W.; Bizarri, G. Physics of scintillator nonproportionality. In Hard X-Ray, Gamma-Ray, and Neutron Detector Physics XIII; SPIE: Bellingham, WA, USA, 2011; Volume 8142, pp. 251–257. [Google Scholar] [CrossRef]
- Lega, A.; Nicolaidis, R.; Nozzoli, F.; Dimiccoli, F.; Follega, F.; Ghezzer, L.; Iuppa, R.; Ricci, E.; Verroi, E.; Zuccon, P. New measurements of light yield quenching in EJ-200 and LYSO scintillators. Nucl. Instruments Methods Phys. Res. Sect. A Accel. Spectrometers Detect. Assoc. Equip. 2025, 1079, 170612. [Google Scholar] [CrossRef]
- Dimiccoli, F.; Follega, F.M.; Ghezzer, L.E.; Iuppa, R.; Lega, A.; Nicolaidis, R.; Nozzoli, F.; Ricci, E.; Verroi, E.; Zuccon, P. A New Measurement of Light Yield Quenching in EJ-200 and LYSO Scintillators. Particles 2025, 8, 82. [Google Scholar] [CrossRef]
- Scotti, V.; CSES-Limadou Collaboration. Trigger and data acquisition system of the High Energy Particle Detector on board the CSES-02 satellite. Nucl. Instruments Methods Phys. Res. Sect. A Accel. Spectrometers Detect. Assoc. Equip. 2023, 1046, 167741. [Google Scholar] [CrossRef]
- Bartocci, S.; Battiston, R.; Beolè, S.; Benotto, F.; Cipollone, P.; Coli, S.; Contin, A.; Cristoforetti, M.; De Donato, C.; De Santis, C.; et al. The Scintillation Counters of the High-Energy Particle Detector of the China Seismo-Electromagnetic (CSES-02) Satellite. Remote Sens. 2024, 16, 3982. [Google Scholar] [CrossRef]
- Smithrick, J.J.; Myers, I.T. Average Triton Energy Deposited in Silicon per Electron-Hole Pair Produced. Phys. Rev. B 1970, 1, 2945–2948. [Google Scholar] [CrossRef]
- Tommasino, F.; Rovituso, M.; Fabiano, S.; Piffer, S.; Manea, C.; Lorentini, S.; Lanzone, S.; Wang, Z.; Pasini, M.; Burger, W.J.; et al. Proton beam characterization in the experimental room of the Trento Proton Therapy facility. Nucl. Instruments Methods Phys. Res. Sect. A Accel. Spectrometers Detect. Assoc. Equip. 2017, 869, 15–20. [Google Scholar] [CrossRef]
- Vavilov, P. Ionization losses of high-energy heavy particles. Sov. Phys. JETP 1957, 5, 749–751. [Google Scholar]










Disclaimer/Publisher’s Note: The statements, opinions and data contained in all publications are solely those of the individual author(s) and contributor(s) and not of MDPI and/or the editor(s). MDPI and/or the editor(s) disclaim responsibility for any injury to people or property resulting from any ideas, methods, instructions or products referred to in the content. |
© 2026 by the authors. Licensee MDPI, Basel, Switzerland. This article is an open access article distributed under the terms and conditions of the Creative Commons Attribution (CC BY) license.
Share and Cite
Bartocci, S.; Battiston, R.; Beolè, S.; Benotto, F.; Cipollone, P.; Coli, S.; Contin, A.; Cristoforetti, M.; De Donato, C.; De Santis, C.; et al. Critical Aspects in the Modeling of Sub-GeV Calorimetric Particle Detectors: The Case Study of the High-Energy Particle Detector (HEPD-02) on Board the CSES-02 Satellite. Particles 2026, 9, 6. https://doi.org/10.3390/particles9010006
Bartocci S, Battiston R, Beolè S, Benotto F, Cipollone P, Coli S, Contin A, Cristoforetti M, De Donato C, De Santis C, et al. Critical Aspects in the Modeling of Sub-GeV Calorimetric Particle Detectors: The Case Study of the High-Energy Particle Detector (HEPD-02) on Board the CSES-02 Satellite. Particles. 2026; 9(1):6. https://doi.org/10.3390/particles9010006
Chicago/Turabian StyleBartocci, Simona, Roberto Battiston, Stefania Beolè, Franco Benotto, Piero Cipollone, Silvia Coli, Andrea Contin, Marco Cristoforetti, Cinzia De Donato, Cristian De Santis, and et al. 2026. "Critical Aspects in the Modeling of Sub-GeV Calorimetric Particle Detectors: The Case Study of the High-Energy Particle Detector (HEPD-02) on Board the CSES-02 Satellite" Particles 9, no. 1: 6. https://doi.org/10.3390/particles9010006
APA StyleBartocci, S., Battiston, R., Beolè, S., Benotto, F., Cipollone, P., Coli, S., Contin, A., Cristoforetti, M., De Donato, C., De Santis, C., Di Luca, A., Dumitrache, F., Follega, F. M., Garrafa Botta, S., Gebbia, G., Iuppa, R., Lega, A., Lolli, M., Masciantonio, G., ... Zuccon, P. (2026). Critical Aspects in the Modeling of Sub-GeV Calorimetric Particle Detectors: The Case Study of the High-Energy Particle Detector (HEPD-02) on Board the CSES-02 Satellite. Particles, 9(1), 6. https://doi.org/10.3390/particles9010006

