Imprints of High-Density Nuclear Symmetry Energy on Crustal Fraction of Neutron Star Moment of Inertia
Abstract
1. Introduction
2. Theoretical Framework
2.1. Explicitly Isospin-Dependent Meta-Model EOS for Super-Dense Neutron-Rich Nuclear Matter
2.2. Crustal Fraction of Neutron Star Moment of Inertia
3. Results and Discussions
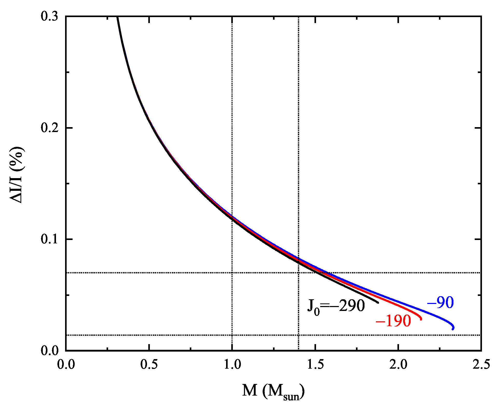
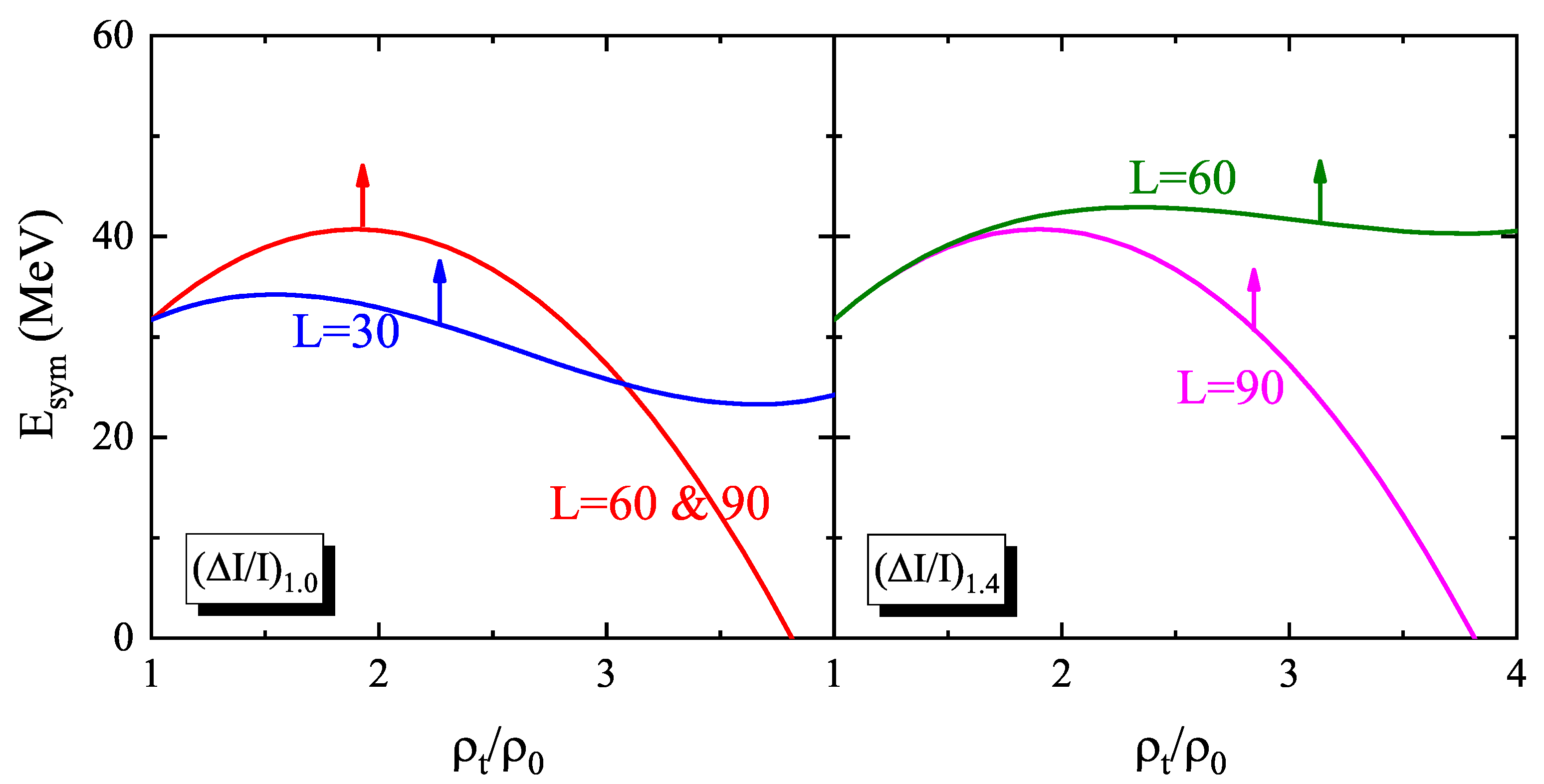
3.1. Effects of Nuclear EOS Parameters on the Crustal Fraction of the NS Moment of Inertia
3.2. Constraints on Symmetry Energy Parameters Imposed by Crustal Fraction of NS Moment of Inertia
4. Summary and Conclusions
Author Contributions
Funding
Data Availability Statement
Acknowledgments
Conflicts of Interest
References
- Xu, C.; Li, B.A. Understanding the major uncertainties in the nuclear symmetry energy at suprasaturation densities. Phys. Rev. C 2010, 81, 064612. [Google Scholar] [CrossRef]
- Krastev, P.G.; Li, B.A. Imprints of the nuclear symmetry energy on the tidal deformability of neutron stars. J. Phys. G 2019, 46, 074001. [Google Scholar] [CrossRef]
- Lattimer, J.M.; Prakash, M. Nuclear matter and its role in supernovae, neutron stars and compact object binary mergers. Phys. Rep. 2000, 333, 121–146. [Google Scholar] [CrossRef]
- Lattimer, J.M.; Prakash, M. Neutron star structure and the equation of state. Astrophys. J. 2001, 550, 426–442. [Google Scholar] [CrossRef]
- Danielewicz, P.; Lacey, R.; Lynch, W.G. Determination of the Equation of State of Dense Matter. Science 2002, 298, 1592–1596. [Google Scholar] [CrossRef]
- Li, B.A.; Ramos, A.; Verde, G.; Vidana, I. Topical issue on nuclear symmetry energy. Eur. Phys. J. A 2014, 50, 9. [Google Scholar] [CrossRef]
- Lattimer, J.M.; Prakash, M. The equation of state of hot, dense matter and neutron stars. Phys. Rep. 2016, 621, 127–164. [Google Scholar] [CrossRef]
- Watts, A.L.; Andersson, N.; Chakrabarty, D.; Feroci, M.; Hebeler, K.; Israel, G.; Lamb, F.K.; Miller, M.C.; Morsink, S.; Özel, F.; et al. Colloquium: Measuring the neutron star equation of state using x-ray timing. Rev. Mod. Phys. 2016, 88, 021001. [Google Scholar] [CrossRef]
- Oertel, M.; Hempel, M.; Klähn, T.; Typel, S. Equations of state for supernovae and compact stars. Rev. Mod. Phys. 2017, 89, 015007. [Google Scholar] [CrossRef]
- Özel, F.; Freire, P. Masses, radii, and the equation of state of neutron stars. Annu. Rev. Astron. Astrophys. 2016, 54, 401–440. [Google Scholar] [CrossRef]
- Blaschke, D.; Chamel, N. Phases of Dense Matter in Compact Stars. In The Physics and Astrophysics of Neutron Stars; Rezzolla, L., Pizzochero, P., Jones, D.I., Rea, N., Vidaña, I., Eds.; Astrophysics and Space Science Library; Springer: Cham, Switzerland, 2018; Volume 457, pp. 337–400. [Google Scholar]
- Cromartie, H.T.; Fonseca, E.; Ransom, S.M.; Demorest, P.B.; Arzoumanian, Z.; Blumer, H.; Brook, P.R.; DeCesar, M.E.; Dolch, T.; Ellis, J.A.; et al. Relativistic Shapiro delay measurements of an extremely massive millisecond pulsar. Nat. Astron. 2019, 4, 72–76. [Google Scholar] [CrossRef]
- Fonseca, E.; Cromartie, H.T.; Pennucci, T.T.; Ray, P.S.; Kirichenko, A.Y.; Ransom, S.M.; Demorest, P.B.; Stairs, I.H.; Arzoumanian, Z.; Guillemot, L.; et al. Refined mass and geometric measurements of the high-mass PSR J0740+6620. Astrophys. J. Lett. 2021, 915, L12. [Google Scholar] [CrossRef]
- Miller, M.C.; Lamb, F.K.; Dittmann, A.J.; Bogdanov, S.; Arzoumanian, Z.; Gendreau, K.C.; Guillot, S.; Ho, W.C.G.; Lattimer, J.M.; Loewenstein, M.; et al. The radius of PSR J0740+ 6620 from NICER and XMM-Newton data. Astrophys. J. Lett. 2021, 918, L28. [Google Scholar] [CrossRef]
- Riley, T.E.; Watts, A.L.; Ray, P.S.; Bogdanov, S.; Guillot, S.; Morsink, S.M.; Bilous, A.V.; Arzoumanian, Z.; Choudhury, D.; Deneva, J.S.; et al. A NICER view of the massive pulsar PSR J0740+6620 informed by radio timing and XMM-Newton spectroscopy. Astrophys. J. Lett. 2021, 918, L27. [Google Scholar] [CrossRef]
- Salmi, T.; Vinciguerra, S.; Choudhury, D.; Riley, T.E.; Watts, A.L.; Remillard, R.A.; Ray, P.S.; Bogdanov, S.; Guillot, S.; Arzoumanian, Z.; et al. The radius of PSR J0740+6620 from NICER with NICER background estimates. Astrophys. J. 2022, 941, 150. [Google Scholar] [CrossRef]
- Salmi, T.; Choudhury, D.; Kini, Y.; Riley, T.E.; Vinciguerra, S.; Watts, A.L.; Wolff, M.T.; Arzoumanian, Z.; Bogdanov, S. The Radius of the High-mass Pulsar PSR J0740+6620 with 3.6 yr of NICER Data. Astrophys. J. 2024, 974, 294. [Google Scholar] [CrossRef]
- Dittmann, A.J.; Miller, M.C.; Lamb, F.K.; Holt, I.; Chirenti, C.; Wolff, M.T.; Bogdanov, S.; Guillot, S.; Ho, W.C.G.; Morsink, S.M.; et al. A more precise mMeasurement of the radius of PSR J0740+6620 using updated NICER data. arXiv 2024, arXiv:2406.14467. [Google Scholar]
- Abbott, B.P.; Abbott, R.; Abbott, T.D.; Acernese, F.; Ackley, K.; Adams, C.; Adams, T.; Addesso, P.; Adhikari, R.X.; Adya, V.B.; et al. GW170817: Measurements of neutron star radii and equation of state. Phys. Rev. Lett. 2018, 121, 161101. [Google Scholar] [PubMed]
- Baiotti, L. Gravitational waves from neutron star mergers and their relation to the nuclear equation of state. Prog. Part. Nucl. Phys. 2019, 109, 103714. [Google Scholar]
- Burgio, G.F.; Schulze, H.J.; Vidaña, I.; Wei, J.B. Neutron stars and the nuclear equation of state. Prog. Part. Nucl. Phys. 2021, 120, 103879. [Google Scholar]
- Li, B.A.; Cai, B.J.; Xie, W.J.; Zhang, N.B. Progress in constraining nuclear symmetry energy using neutron star observables since GW170817. Universe 2021, 7, 182. [Google Scholar] [CrossRef]
- Hooker, J.; Newton, W.G.; Li, B.A. Efficacy of crustal superfluid neutrons in pulsar glitch models. Mon. Not. R. Astron. Soc. 2015, 449, 3559–3567. [Google Scholar] [CrossRef]
- Newton, W.G.; Berger, S.; Haskell, B. Observational constraints on neutron star crust–core coupling during glitches. Mon. Not. R. Astron. Soc. 2015, 454, 4400–4410. [Google Scholar] [CrossRef]
- Liu, Z.W.; Qian, Z.; Xing, R.Y.; Niu, J.R.; Sun, B.Y. Nuclear fourth-order symmetry energy and its effects on neutron star properties in the relativistic Hartree-Fock theory. Phys. Rev. C 2018, 97, 025801. [Google Scholar] [CrossRef]
- Dutra, M.; Lenzi, C.H.; de Paula, W.; Lourenço, O. Neutron star crustal properties from relativistic mean-field models and bulk parameters effects. Euro. Phys. J. A 2021, 57, 260. [Google Scholar] [CrossRef]
- Parmar, V.; Das, H.C.; Kumar, A.; Sharma, M.K.; Patra, S.K. Crustal properties of a neutron star within an effective relativistic mean-field model. Phys. Rev. D 2022, 105, 043017. [Google Scholar] [CrossRef]
- Radhakrishnan, V.; Manchester, R.N. Detection of a change of state in the pulsar PSR 0833-45. Nature 1969, 222, 228–229. [Google Scholar] [CrossRef]
- Reichley, P.E.; Downs, G.S. Observed decrease in the periods of pulsar PSR 0833–C45. Nature 1969, 222, 229–230. [Google Scholar] [CrossRef]
- Anderson, P.W.; Itoh, N. Pulsar glitches and restlessness as a hard superfluidity phenomenon. Nature 1969, 256, 25–27. [Google Scholar] [CrossRef]
- Ruderman, M. Crust-breaking by neutron superfluids and the VELA pulsar glitches. Astrophys. J. 1976, 203, 213. [Google Scholar] [CrossRef]
- Pines, D.; Alpar, M.A. Superfluidity in neutron stars. Nature 1985, 316, 27–32. [Google Scholar] [CrossRef]
- Link, B.; Epstein, R.I.; Lattimer, J.M. Pulsar constraints on neutron star structure and equation of state. Phys. Rev. Lett. 1999, 83, 3362. [Google Scholar] [CrossRef]
- Espinoza, C.M.; Lyne, A.G.; Stappers, B.W.; Kramer, M. A study of 315 glitches in the rotation of 102 pulsars. Mon. Not. R. Astron. Soc. 2011, 414, 1679–1704. [Google Scholar] [CrossRef]
- Andersson, N.; Glampedakis, K.; Ho, W.C.; Espinoza, C.M. Pulsar glitches: The crust is not enough. Phys. Rev. Lett. 2012, 109, 241103. [Google Scholar] [CrossRef] [PubMed]
- Chamel, N. Neutron conduction in the inner crust of a neutron star in the framework of the band theory of solids. Phys. Rev. C 2012, 85, 035801. [Google Scholar] [CrossRef]
- Fattoyev, F.J.; Piekarewicz, J. Sensitivity of the moment of inertia of neutron stars to the equation of state of neutron-rich matter. Phys. Rev. C 2010, 82, 025810. [Google Scholar] [CrossRef]
- Read, J.S.; Lackey, B.D.; Owen, B.J.; Friedman, J.L. Constraints on a phenomenologically parametrized neutron-star equation of state. Phys. Rev. D 2009, 79, 124032. [Google Scholar] [CrossRef]
- Margueron, J.; Hoffmann Casali, R.; Gulminelli, F. Equation of state for dense nucleonic matter from metamodeling. I. Foundational aspects. Phys. Rev. C 2018, 97, 025805. [Google Scholar] [CrossRef]
- Margueron, J.; Hoffmann Casali, R.; Gulminelli, F. Equation of state for dense nucleonic matter from metamodeling. II. Predictions for neutron star properties. Phys. Rev. C 2018, 97, 025806. [Google Scholar] [CrossRef]
- Annala, E.; Gorda, T.; Kurkela, A.; Vuorinen, A. Gravitational-wave constraints on the neutron-star-matter Equation of State. Phys. Rev. Lett. 2018, 120, 172703. [Google Scholar] [CrossRef]
- Zhang, N.B.; Li, B.A.; Xu, J. Combined constraints on the equation of state of dense neutron-rich Matter from terrestrial nuclear experiments and observations of Neutron Stars. Astrophys. J. 2018, 859, 90. [Google Scholar] [CrossRef]
- Xie, W.J.; Li, B.A. Bayesian inference of high-density nuclear symmetry energy from radii of canonical neutron stars. Astrophys. J. 2019, 883, 174. [Google Scholar] [CrossRef]
- Zhang, N.B.; Li, B.A. Extracting nuclear symmetry energies at high densities from observations of neutron stars and gravitational waves. Euro. Phys. J. A 2019, 55, 39. [Google Scholar] [CrossRef]
- Zhang, N.B.; Li, B.A. Impact of NICER’s radius measurement of PSR J0740+6620 on nuclear symmetry energy at suprasaturation densities. Astrophys. J. 2021, 921, 111. [Google Scholar] [CrossRef]
- Oppenheimer, J.R.; Volkoff, G.M. On massive neutron cores. Phys. Rev. 1939, 55, 374. [Google Scholar] [CrossRef]
- Bombaci, I.; Lombardo, U. Asymmetric nuclear matter equation of state. Phys. Rev. C 1991, 44, 1892. [Google Scholar] [CrossRef] [PubMed]
- Zhang, N.B.; Li, B.A. Delineating effects of nuclear symmetry energy on the radii and tidal polarizabilities of neutron stars. J. Phys. G Nucl. Part. Phys. 2019, 46, 014002. [Google Scholar] [CrossRef]
- Zhang, N.B.; Li, B.A. Implications of the mass M = M⊙ of PSR J0740+6620 on the equation of state of super-dense neutron-rich nuclear matter. Astrophys. J. 2019, 879, 99. [Google Scholar] [CrossRef]
- Zhang, N.B.; Li, B.A. Constraints on the Muon Fraction and Density Profile in Neutron Stars. Astrophys. J. 2020, 893, 61. [Google Scholar] [CrossRef]
- Zhang, N.B.; Qi, B.; Wang, S.Y. Key factor for determining relation between radius and tidal deformability of neutron stars: Slope of symmetry energy. Chin. Phys. C 2020, 44, 064103. [Google Scholar] [CrossRef]
- Zhang, N.B.; Li, B.A. Impact of symmetry energy on sound speed and spinodal decomposition in dense neutron-rich matter. Euro. Phys. J. A 2023, 59, 86. [Google Scholar] [CrossRef]
- Zhang, N.B.; Li, B.A. Impact of the nuclear equation of state on the formation of twin stars. arXiv 2024, arXiv:2406.07396. [Google Scholar]
- Xie, W.J.; Li, B.A.; Zhang, N.B. Impact of the newly revised gravitational redshift of x-ray burster GS 1826-24 on the equation of state of supradense neutron-rich matter. Phys. Rev. D 2024, 110, 043025. [Google Scholar] [CrossRef]
- Garg, U.; Colò, G. The compression-mode giant resonances and nuclear incompressibility. Prog. Part. Nucl. Phys. 2018, 101, 55–95. [Google Scholar] [CrossRef]
- Shlomo, S.; Kolomietz, V.M.; Colò, G. Deducing the nuclear-matter incompressibility coefficient from data on isoscalar compression modes. Euro. Phys. J. A 2006, 30, 23–30. [Google Scholar] [CrossRef]
- Li, B.A.; Han, X. Constraining the neutron–proton effective mass splitting using empirical constraints on the density dependence of nuclear symmetry energy around normal density. Phys. Lett. B 2013, 727, 276–281. [Google Scholar] [CrossRef]
- Grams, G.; Somasundaram, R.; Margueron, J.; Khan, E. Nuclear incompressibility and speed of sound in uniform matter and finite nuclei. Phys. Rev. C 2022, 106, 044305. [Google Scholar] [CrossRef]
- Mondal, C.; Agrawal, B.K.; De, J.N.; Samaddar, S.K.; Centelles, M.; Viñas, X. Interdependence of different symmetry energy elements. Phys. Rev. C 2017, 96, 021302. [Google Scholar] [CrossRef]
- Somasundaram, R.; Drischler, C.; Tews, I.; Margueron, J. Constraints on the nuclear symmetry energy from asymmetric-matter calculations with chiral NN and 3 N interactions. Phys. Rev. C 2021, 103, 045803. [Google Scholar] [CrossRef]
- Xie, W.J.; Li, B.A. Bayesian inference of the symmetry energy of superdense neutron-rich matter from future radius measurements of massive neutron stars. Astrophys. J. 2020, 899, 4. [Google Scholar] [CrossRef]
- Cai, B.J.; Chen, L.W. Constraints on the skewness coefficient of symmetric nuclear matter within the nonlinear relativistic mean field model. Nucl. Sci. Tech. 2017, 28, 185. [Google Scholar] [CrossRef]
- Zhang, N.B.; Cai, B.J.; Li, B.A.; Newton, W.G.; Xu, J. How tightly is the nuclear symmetry energy constrained by a unitary Fermi gas? Nucl. Sci. Tech. 2017, 28, 181. [Google Scholar] [CrossRef]
- Tews, I.; Lattimer, J.M.; Ohnishi, A.; Kolomeitsev, E.E. Symmetry parameter constraints from a lower bound on neutron-matter energy. Astrophys. J. 2017, 848, 105. [Google Scholar] [CrossRef]
- Negele, J.W.; Vautherin, D. Neutron star matter at sub-nuclear densities. Nucl. Phys. A 1973, 207, 298–320. [Google Scholar] [CrossRef]
- Baym, G.; Pethick, C.; Sutherland, P. The ground state of matter at high densities: Equation of state and stellar models. Astrophys. J. 1971, 170, 299. [Google Scholar] [CrossRef]
- Tolman, R.C. Effect of inhomogeneity on cosmological models. Proc. Natl. Acad. Sci. USA 1934, 20, 169–176. [Google Scholar] [CrossRef]
- Kubis, S. Diffusive instability of a kaon condensate in neutron star matter. Phys. Rev. C 2004, 70, 065804. [Google Scholar] [CrossRef]
- Kubis, S. Nuclear symmetry energy and stability of matter in neutron stars. Phys. Rev. C 2007, 76, 025801. [Google Scholar] [CrossRef]
- Lattimer, J.M.; Prakash, M. Neutron star observations: Prognosis for equation of state constraints. Phys. Rep. 2007, 442, 109–165. [Google Scholar] [CrossRef]
- Xu, J.; Chen, L.W.; Li, B.A.; Ma, H.R. Nuclear constraints on properties of neutron star crusts. Astrophys. J. 2009, 697, 1549. [Google Scholar] [CrossRef]
- Ducoin, C.; Margueron, J.; Providência, C.; Vidana, I. Core-crust transition in neutron stars: Predictivity of density developments. Phys. Rev. C 2011, 83, 045810. [Google Scholar] [CrossRef]
- Piekarewicz, J.; Fattoyev, F.J.; Horowitz, C.J. Pulsar glitches: The crust may be enough. Phys. Rev. C 2014, 90, 015803. [Google Scholar] [CrossRef]
- Routray, T.R.; Vinas, X.; Basu, D.N.; Pattnaik, S.P.; Centelles, M.; Robledo, L.B.; Behera, B. Exact versus Taylor-expanded energy density in the study of the neutron star crust–core transition. J. Phys. G Nucl. Part. Phys. 2016, 43, 105101. [Google Scholar] [CrossRef]
- Worley, A.; Krastev, P.G.; Li, B.A. Nuclear constraints on the moments of inertia of neutron stars. Astrophys. J. 2008, 685, 390. [Google Scholar] [CrossRef]
- Xu, J.; Chen, L.W.; Li, B.A.; Ma, H.R. Locating the inner edge of the neutron star crust using terrestrial nuclear laboratory data. Phys. Rev. C 2009, 79, 035802. [Google Scholar] [CrossRef]
- Fortin, M.; Providência, C.; Raduta, A.R.; Gulminelli, F.; Zdunik, J.L.; Haensel, P.; Bejger, M. Neutron star radii and crusts: Uncertainties and unified equations of state. Phys. Rev. C 2016, 93, 035804. [Google Scholar] [CrossRef]
- Carreau, T.; Gulminelli, F.; Margueron, J. Bayesian analysis of the crust-core transition with a compressible liquid-drop model. Euro. Phys. J. A 2019, 55, 188. [Google Scholar] [CrossRef]
- Davis, P.J.; Thi, H.D.; Fantina, A.F.; Gulminelli, F.; Oertel, M.; Suleiman, L. Inference of neutron-star properties with unified crust-core equations of state for parameter estimation. Astron. Astrophys. 2024, 687, A44. [Google Scholar] [CrossRef]
- Tsaloukidis, L.; Margaritis, C.; Moustakidis, C.C. Effects of the equation of state on the core-crust interface of slowly rotating neutron stars. Phys. Rev. C 2019, 99, 015803. [Google Scholar] [CrossRef]





Disclaimer/Publisher’s Note: The statements, opinions and data contained in all publications are solely those of the individual author(s) and contributor(s) and not of MDPI and/or the editor(s). MDPI and/or the editor(s) disclaim responsibility for any injury to people or property resulting from any ideas, methods, instructions or products referred to in the content. |
© 2025 by the authors. Licensee MDPI, Basel, Switzerland. This article is an open access article distributed under the terms and conditions of the Creative Commons Attribution (CC BY) license (https://creativecommons.org/licenses/by/4.0/).
Share and Cite
Zhang, N.-B.; Li, B.-A. Imprints of High-Density Nuclear Symmetry Energy on Crustal Fraction of Neutron Star Moment of Inertia. Particles 2025, 8, 12. https://doi.org/10.3390/particles8010012
Zhang N-B, Li B-A. Imprints of High-Density Nuclear Symmetry Energy on Crustal Fraction of Neutron Star Moment of Inertia. Particles. 2025; 8(1):12. https://doi.org/10.3390/particles8010012
Chicago/Turabian StyleZhang, Nai-Bo, and Bao-An Li. 2025. "Imprints of High-Density Nuclear Symmetry Energy on Crustal Fraction of Neutron Star Moment of Inertia" Particles 8, no. 1: 12. https://doi.org/10.3390/particles8010012
APA StyleZhang, N.-B., & Li, B.-A. (2025). Imprints of High-Density Nuclear Symmetry Energy on Crustal Fraction of Neutron Star Moment of Inertia. Particles, 8(1), 12. https://doi.org/10.3390/particles8010012

